Sign in to use this feature.

Years

Between: -

Subjects

remove_circle_outline
remove_circle_outline
remove_circle_outline
remove_circle_outline
remove_circle_outline
remove_circle_outline
remove_circle_outline
remove_circle_outline
remove_circle_outline

Journals

remove_circle_outline
remove_circle_outline
remove_circle_outline
remove_circle_outline
remove_circle_outline
remove_circle_outline
remove_circle_outline
remove_circle_outline
remove_circle_outline

Article Types

Countries / Regions

remove_circle_outline
remove_circle_outline
remove_circle_outline
remove_circle_outline

Search Results (753)

Search Parameters:
Keywords = high-power excitation

Order results
Result details
Results per page
Select all
Export citation of selected articles as:
22 pages, 1930 KB  
Article
Reconfiguration with Low Hardware Cost and High Receiving-Excitation Area Ratio for Wireless Charging System of Drones Based on D3-Type Transmitter
by Han Liu, Lin Wang, Jie Wang, Dengjie Huang and Rong Wang
Drones 2026, 10(1), 3; https://doi.org/10.3390/drones10010003 - 22 Dec 2025
Abstract
Wireless charging for drones is significant for solving problems such as the frequent manual plugging and unplugging of cables. A large number of densely packed transmitting coils and fully independent on-off control can precisely track the receiver with random access location. To balance [...] Read more.
Wireless charging for drones is significant for solving problems such as the frequent manual plugging and unplugging of cables. A large number of densely packed transmitting coils and fully independent on-off control can precisely track the receiver with random access location. To balance the excitation area of the transmitter, additional hardware cost, and receiving voltage fluctuation, the wireless charging system of drones based on a D3-type transmitter is proposed in this article. The circuit model considering states of multiple switches is developed for three excitation modes. The dual-coil excitation mode is selected after comparative analysis. The transmitter reconfiguration method with low hardware cost and high receiving-excitation area ratio is proposed based on one detection sensor of DC current and one relay furtherly. Finally, an experimental prototype is built to verify the theoretical analysis and proposed method. When the output voltage fluctuation is limited to ±10%, the ratios of the maximum misalignment value in the x-axis and y-axis directions to the side length of the receiver reach 66.7% and 46.7%, respectively. The receiving-excitation area ratio of 37.5% is achieved, significantly reducing the excitation area not covered by the receiver. The maximum receiving power is 289.44 W, while the DC-DC efficiency exceeds 87.05%. Full article
(This article belongs to the Section Drone Communications)
12 pages, 3103 KB  
Article
Design and Implementation of a Resonant Inductive Wireless Power Transfer System Powered by a Class D Amplifier for Smart Sensors in Inaccessible Environments
by Anouar Chebbi, Amira Haddouk, Vitor Monteiro, João L. Afonso and Hfaiedh Mechergui
Electronics 2026, 15(1), 33; https://doi.org/10.3390/electronics15010033 - 22 Dec 2025
Abstract
This paper presents a high-efficiency wireless power transfer (WPT) architecture employing a resonant inductive coupling to power smart sensor nodes in remote or sealed environments, where conventional power delivery is unfeasible. The system integrates a photovoltaic (PV) energy source with a step-down DC-DC [...] Read more.
This paper presents a high-efficiency wireless power transfer (WPT) architecture employing a resonant inductive coupling to power smart sensor nodes in remote or sealed environments, where conventional power delivery is unfeasible. The system integrates a photovoltaic (PV) energy source with a step-down DC-DC converter based on the LM2596 buck regulator to adjust the voltage from the PV. The proposed conditioned power system supplies the entire electronic circuit consisting of a PWM modulator based on an NE555, which drives an IR2110 gate driver connected to a Class D power amplifier. The amplifier excites a pair of high-Q resonant coils designed for mid-range inductive coupling. On the receiver side, the inductively coupled AC signal is rectified and regulated through an AC-DC conversion stage to charge a secondary energy storage unit. The design eliminates the need for physical electrical connections, ensuring efficient, contactless energy transfer. The proposed system operates at a resonant frequency of 24.46 kHz and achieves up to 80% transmission efficiency at a distance of 113 mm. The receiver provides a regulated DC output between 4.80 V and 4.97 V, sufficient to power low-consumption smart sensors. Full article
(This article belongs to the Special Issue Emerging Technologies in Wireless Power and Energy Transfer Systems)
Show Figures

Figure 1

16 pages, 5415 KB  
Article
Quantifying Early Electromechanical Integration of Cardiomyocytes Using a Minimalist PCL Nanofiber Platform
by Vitalii Dzhabrailov, Elena Turchaninova, Daria V. Kononova, Egor Ilin, Mikhail Slotvitsky, Anton Efimov, Igor Agapov, Valeriya Tsvelaya, Alexander Romanov and Konstantin Agladze
Polymers 2026, 18(1), 17; https://doi.org/10.3390/polym18010017 - 21 Dec 2025
Abstract
A critical obstacle in cardiac cell therapy is the unpredictable and poorly understood initial electrophysiological integration of grafted cardiomyocytes into the host tissue, a process that dictates therapeutic success and arrhythmic risk. Current models fail to capture the earliest stages of functional coupling [...] Read more.
A critical obstacle in cardiac cell therapy is the unpredictable and poorly understood initial electrophysiological integration of grafted cardiomyocytes into the host tissue, a process that dictates therapeutic success and arrhythmic risk. Current models fail to capture the earliest stages of functional coupling formation. Here, we employed a tailored bioengineering platform, where single cardiomyocytes were stabilized on minimalist electrospun polycaprolactone (PCL) nanofibers, to model the “graft–host” interface and study the dynamics of excitation wave transmission in real-time. Using high-speed optical mapping enhanced by a custom SUPPORT neural network, we achieved the first quantitative insights into the efficiency of nascent intercellular contacts. We determined that within the first 3 h, these initial connections are 39–44 times less effective at conducting excitation than mature contacts within the native monolayer, explaining the observed partial (46%) synchronization of grafted cells. This work provides the first direct measurement of the functional deficit during the initial minutes and hours of graft integration. It establishes that simple, inert polymer fibers can act as a catalytic scaffold to enable this fundamental biological process, offering a powerful strategy to deconstruct and ultimately control the integration of engineered tissues (or cells) for safer cell therapies. Full article
15 pages, 4175 KB  
Article
Low-Frequency Transient Model of Single-Phase Four-Limb Converter Transformer Considering the Nonlinear Excitation Characteristics of the Iron Core
by Xichen Pei, Lan Xiong, Zhanlong Zhang, Zijian Dong, Yu Yang, Jiatai Gao and Tao Feng
Appl. Sci. 2026, 16(1), 16; https://doi.org/10.3390/app16010016 - 19 Dec 2025
Viewed by 41
Abstract
Transformer modeling is a crucial method for analyzing transient phenomena such as inrush currents. The primary characteristic of a transformer transient model is its ability to reflect how the transformer’s structure and material properties influence the magnetic and electric fields. In high-voltage direct [...] Read more.
Transformer modeling is a crucial method for analyzing transient phenomena such as inrush currents. The primary characteristic of a transformer transient model is its ability to reflect how the transformer’s structure and material properties influence the magnetic and electric fields. In high-voltage direct current (HVDC), the single-phase converter adopts a double-core-limb and double-side-limb configuration, whose core structure, magnetic flux distribution, and ferromagnetic materials differ from conventional power transformers. This paper conducts research on low-frequency transient modeling of single-phase four-limb converter transformers. This study first determines the magnetic field distribution of the single-phase converter transformer with the inclusion of leakage flux. Subsequently, a corresponding model is derived from the principle of duality. Due to the laminated structure, the iron core exhibits different excitation characteristics from those of a single silicon steel sheet. For the excitation branch, AC-DC hybrid excitation is used to measure incremental excitation inductance and the nonlinear excitation curve is calculated based on this inductance. Furthermore, the allocation method of this curve in the core limb, side limb, and yoke is proposed to establish the converter transformer model. The results of no-load and inrush current tests based on the scaled model validate the effectiveness of this model, which can accurately calculate the inrush current under different remanence and closing conditions. Full article
(This article belongs to the Section Electrical, Electronics and Communications Engineering)
Show Figures

Figure 1

20 pages, 5408 KB  
Article
High-Temperature Electrical Transport Behavior of p-Doped Boron Diamond Film/n-WS2 Nanosheet Heterojunction
by Changxing Li, Dandan Sang, Yarong Shi, Shunhao Ge, Lena Du and Qinglin Wang
Nanomaterials 2025, 15(24), 1900; https://doi.org/10.3390/nano15241900 - 18 Dec 2025
Viewed by 138
Abstract
WS2 is a promising material for applications in wearable devices, field-effect transistors, and high-performance heterojunctions. However, significant challenges remain regarding effective regulation and temperature stability. This study investigates the temperature-dependent electrical properties of WS2 heterojunctions prepared by electrophoretic deposition on boron-doped [...] Read more.
WS2 is a promising material for applications in wearable devices, field-effect transistors, and high-performance heterojunctions. However, significant challenges remain regarding effective regulation and temperature stability. This study investigates the temperature-dependent electrical properties of WS2 heterojunctions prepared by electrophoretic deposition on boron-doped diamond films. The results reveal that the rectification ratio of lightly doped boron heterojunctions at room temperature is 9.1, indicating thermal excitation behavior at temperatures above 100 °C. In contrast, heavily doped boron heterojunctions maintain a rectification ratio consistently below 1 over a temperature range from room temperature to 180 °C, indicating reverse rectification. The lowest rectification ratio observed at 140 °C is 0.17. Density functional theory (DFT) calculations suggest that hydrogen (H) termination generates an internal electric field in the opposite direction, causing a reversal of the rectification polarity, while oxygen (O) termination favors forward rectification. Additionally, due to vacancy defects in WS2, the heterojunction exhibits negative differential resistance at 120 °C, with a peak-to-valley ratio of 2.4. Higher doping levels, in comparison to lower concentrations, offer a more stable rectification ratio at elevated temperatures, making the material more suitable for high-temperature, high-frequency, and high-power applications. Full article
(This article belongs to the Special Issue Graphene and Other 2D Materials)
Show Figures

Graphical abstract

28 pages, 5033 KB  
Article
Simulation Method for Hydraulic Tensioning Systems in Tracked Vehicles Using Simulink–AMESim–RecurDyn
by Zian Ding, Shufa Sun, Hongxing Zhu, Zhiyong Yan and Yuan Zhou
Actuators 2025, 14(12), 615; https://doi.org/10.3390/act14120615 - 17 Dec 2025
Viewed by 198
Abstract
We developed a robust tri-platform co-simulation framework that integrates Simulink, AMESim, and RecurDyn to address the dynamic inconsistencies observed in traditional tensioning models for tracked vehicles. The proposed framework synchronizes nonlinear hydraulic dynamics, closed-loop control, and track–ground interactions within a unified time step, [...] Read more.
We developed a robust tri-platform co-simulation framework that integrates Simulink, AMESim, and RecurDyn to address the dynamic inconsistencies observed in traditional tensioning models for tracked vehicles. The proposed framework synchronizes nonlinear hydraulic dynamics, closed-loop control, and track–ground interactions within a unified time step, thereby ensuring causal consistency along the pressure–flow–force–displacement power chain. Five representative operating conditions—including steady tension tracking, random road excitation, steering/braking pulses, supply-pressure drops, and parameter perturbations—were analyzed. The results show that the tri-platform model reduces tracking error by up to 60%, shortens recovery time by 35%, and decreases energy consumption by 12–17% compared with dual-platform models. Both simulations and full-scale experiments confirm that strong cross-domain coupling enhances system stability, robustness, and energy consistency under variable supply pressure and parameter uncertainties. The framework provides a high-fidelity validation tool and a transferable modeling paradigm for electro-hydraulic actuation systems in tracked vehicles and other multi-domain machinery. Full article
(This article belongs to the Section Actuators for Surface Vehicles)
Show Figures

Figure 1

37 pages, 8964 KB  
Article
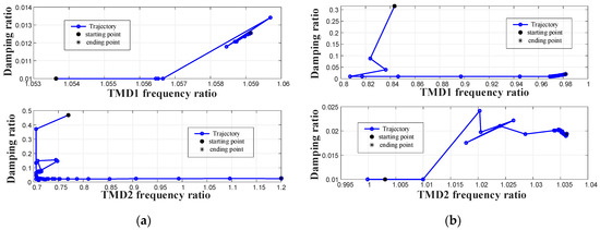
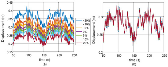
Frequency-Domain Optimization of Multi-TMD Systems Using Hierarchical PSO for Offshore Wind Turbine Vibration Suppression
by Chuandi Zhou, Deyi Fu, Xiaojing Ma, Zongyan Shen and Yin Guan
Energies 2025, 18(24), 6580; https://doi.org/10.3390/en18246580 - 16 Dec 2025
Viewed by 119
Abstract
With the rapid advancement of offshore wind power, structural vibration induced by multi-source excitations in complex marine environments is a critical concern. This study developed a multi-degree-of-freedom (MDOF) dynamic model of an offshore wind turbine using a lumped mass approach, which was then [...] Read more.
With the rapid advancement of offshore wind power, structural vibration induced by multi-source excitations in complex marine environments is a critical concern. This study developed a multi-degree-of-freedom (MDOF) dynamic model of an offshore wind turbine using a lumped mass approach, which was then reduced to a first-order linear system to improve frequency-domain analysis and optimization efficiency. Given the non-stationary, broadband nature of wind and wave loads, a band-pass filtering technique was applied to extract dominant frequency components, enabling linear modeling of excitations within primary modal ranges. The displacement response spectrum, derived via system transfer functions, served as the objective function for optimizing tuned mass damper (TMD) parameters. Both single TMD and multiple TMD (MTMD) strategies were designed and compared. A hierarchical particle swarm optimization (H-PSO) algorithm was proposed for MTMD tuning, using the optimized single TMD as an initial guess to enhance convergence and stability in high-dimensional spaces. The results showed that the frequency-domain optimization framework achieved a balance between accuracy and computational efficiency, significantly reducing structural responses in dominant modes and demonstrating strong potential for practical engineering applications. Full article
Show Figures

Figure 1

14 pages, 2530 KB  
Article
Arrester Fault Recognition Model Based on Thermal Imaging Images Using VMamba
by Lin Lin, Jiantao Li, Jianan Wang, Yong Luo and Yueyue Liu
Electronics 2025, 14(24), 4784; https://doi.org/10.3390/electronics14244784 - 5 Dec 2025
Viewed by 184
Abstract
The intelligent fault detection of power plant equipment in industrial settings often grapples with challenges such as insufficient real-time performance and interference from complex backgrounds. To address these issues, this paper proposes an image recognition and classification model based on the VMamba architecture. [...] Read more.
The intelligent fault detection of power plant equipment in industrial settings often grapples with challenges such as insufficient real-time performance and interference from complex backgrounds. To address these issues, this paper proposes an image recognition and classification model based on the VMamba architecture. At the core of our feature extraction module, we have improved and optimized the two-dimensional state space (SS2D) algorithm to replace the traditional convolution operation. Rooted in State-Space Models (SSMs), the SS2D module possesses a global receptive field by design, enabling it to effectively capture long-range dependencies and establish comprehensive contextual relationships between local and global features. Crucially, unlike the self-attention mechanism in Vision Transformers (ViT) that suffers from quadratic computational complexity, VMamba achieves this global modeling with linear complexity, significantly enhancing computational efficiency. Furthermore, we employ an enhanced PAN-FPN multi-scale feature fusion strategy integrated with the Squeeze-and-Excitation (SE) attention mechanism. This combination optimizes the spatial distribution of feature representations through channel-wise attention weighting, facilitating the effective integration of cross-level spatial features and the suppression of background noise. This study thus presents a solution for industrial equipment fault diagnosis that achieves a superior balance between high accuracy and low latency. Full article
Show Figures

Figure 1

31 pages, 7350 KB  
Article
Broadband Wave Energy Harvesting with a Nonlinear 3DOF Magnetic Spring-Based PTO: Design, Testing and Sustainable Design Considerations
by Raju Ahamed, Ian Howard and Kristoffer McKee
Sustainability 2025, 17(23), 10870; https://doi.org/10.3390/su172310870 - 4 Dec 2025
Viewed by 208
Abstract
Ocean waves constitute a vast renewable resource, yet most linear generator-based wave energy converters (WECs) rely on single-degree-of-freedom (SDOF) linear oscillators that exhibit narrow resonance bandwidths and utilise sliding components prone to wear. To address these limitations, this paper presents a nonlinear three-degree-of-freedom [...] Read more.
Ocean waves constitute a vast renewable resource, yet most linear generator-based wave energy converters (WECs) rely on single-degree-of-freedom (SDOF) linear oscillators that exhibit narrow resonance bandwidths and utilise sliding components prone to wear. To address these limitations, this paper presents a nonlinear three-degree-of-freedom (3DOF) magnetic spring power-take-off (PTO) system for broadband wave energy harvesting. The device comprises three axially levitated NdFeB permanent magnets, each coupled to an independent copper coil, forming a compact, friction-free generator column. A coupled electromechanical state-space model was developed and experimentally validated on a laboratory-scale test rig. The 3DOF PTO exhibited three distinct resonance modes at approximately 35, 48, and 69 rad s−1, enabling multi-mode energy capture across a broad frequency range. Under identical excitation (6.5 N amplitude and 3.13 Hz excitation force), the 3DOF configuration achieved a 114.5% increase in RMS voltage compared with the SDOF design and a 44.10% improvement over the 2DOF benchmark, confirming the effectiveness of the coupled resonance mechanism. The levitated magnetic architecture eliminates mechanical contact and lubrication, reducing wear and maintenance while improving long-term reliability in marine environments. A preliminary life-cycle assessment estimated a cradle-to-gate carbon intensity of 40–80 g CO2-eq kWh−1, significantly lower than that of conventional hydraulic PTOs, owing to reduced steel use and recyclable magnet assemblies. The proposed 3DOF magnetic spring PTO thus offers a sustainable, low-maintenance, and high-efficiency solution for next-generation ocean-energy converters. Full article
Show Figures

Figure 1

10 pages, 15082 KB  
Article
Improving Spectral Resolution of Rydberg Atom-Based Electrometry by 2 × 2 Laser Arrays
by Fengting Zhao, Qiang An, Jinhao Zhang and Yunqi Fu
Photonics 2025, 12(12), 1189; https://doi.org/10.3390/photonics12121189 - 3 Dec 2025
Viewed by 415
Abstract
Rydberg atom-based electrometry based on electromagnetic induced transparency (EIT) and Autler–Townes splitting (EIT-AT) could achieve ultra-high sensitivity measurements. The amplitude and linewidth of EIT spectra significantly impact the accuracy of electric field measurements. This research utilizes cascade diffraction gratings to generate [...] Read more.
Rydberg atom-based electrometry based on electromagnetic induced transparency (EIT) and Autler–Townes splitting (EIT-AT) could achieve ultra-high sensitivity measurements. The amplitude and linewidth of EIT spectra significantly impact the accuracy of electric field measurements. This research utilizes cascade diffraction gratings to generate 2×2 probe laser arrays for the excitation of Rydberg atoms, thereby enhancing spectral resolution under the power broadening. Compared with one laser, the laser array boosts EIT amplitude, narrowing the linewidth from 23.53 MHz to 12.66 MHz, making EIT-AT more distinguishable under identical fields and achieving an enhancement of the sensitivity of 77.96 nV/cm/Hz. These results indicate that laser arrays can optimize the sensitivity of measurement systems based on the Rydberg EIT effect. Full article
Show Figures

Figure 1

11 pages, 3148 KB  
Article
Luminescence of BaFBr and BaF2 Crystals Irradiated by Swift Krypton Ions
by Daurzhan Kenbayev, Abdirash Akilbekov, Alma Dauletbekova, Gulnara Aralbayeva, Balzhan Saduova and Madiyar Knyazev
Crystals 2025, 15(12), 1027; https://doi.org/10.3390/cryst15121027 - 29 Nov 2025
Viewed by 216
Abstract
In this study, radiation damage in BaFBr and BaF2 crystals irradiated with 147 MeV 84Kr ions up to fluences of (1010–1014) ions/cm2 was investigated using X-ray excited optical luminescence (XEOL) and pulsed cathodoluminescence (PCL). The effect [...] Read more.
In this study, radiation damage in BaFBr and BaF2 crystals irradiated with 147 MeV 84Kr ions up to fluences of (1010–1014) ions/cm2 was investigated using X-ray excited optical luminescence (XEOL) and pulsed cathodoluminescence (PCL). The effect of oxygen impurities present in the studied crystals was also considered. XEOL spectra revealed bands associated with oxygen impurities occupying halide sites, as well as luminescence bands with maxima at approximately 2.81 eV, 3.7–4 eV, and 2.3 eV. The luminescence at 2.81 eV can be attributed to the recombination of electrons released during X-ray irradiation with holes trapped at specific sites (Type I, PL). The observed highly energetic luminescence is most likely due to perturbed exciton. Such a perturbed exciton can be formed in the configuration F + Vk (Br2) in the presence of the neighboring impurity ion O2. Oxygen impurities play an important role in the formation mechanisms of these centers. High radiation doses lead to crystal degradation. Excitation by a high-power electron pulse induces excitonic luminescence near the oxygen impurity at 4.2 eV. A distinctive feature of the 4.2 eV emission band is its strong intensity at high temperatures. In the decay kinetics of the PCL spectra, a fast component in the nanosecond range dominates, which remains independent of fluence in BaFBr and BaF2 crystals irradiated with krypton ions. Full article
(This article belongs to the Section Crystal Engineering)
Show Figures

Figure 1

20 pages, 2909 KB  
Article
Effects of Unbalance Identification Locations on Transient Dynamic Balancing Without Trial Weights Performance of Power Turbine Rotor
by Jiepeng Zhao, Yongfeng Yang, Wangqun Deng, Shibo Zhao, Chao Fu, Xingmin Ren and Zhihua Nie
Sensors 2025, 25(23), 7242; https://doi.org/10.3390/s25237242 - 27 Nov 2025
Viewed by 321
Abstract
This study proposes a dynamic balancing method without trial weights for power turbine rotors and investigates how the axial location chosen for unbalance identification affects the balancing performance. A finite element model of the power turbine rotor system was established to compute transient [...] Read more.
This study proposes a dynamic balancing method without trial weights for power turbine rotors and investigates how the axial location chosen for unbalance identification affects the balancing performance. A finite element model of the power turbine rotor system was established to compute transient vibration responses and principal modes. Both continuous and isolated unbalances are employed to identify unbalanced excitation forces, enabling the determination of unbalance parameters. Furthermore, variations in identification accuracy across four designated axial positions on the rotor were analyzed. Simulations and experiments conducted on boss 2 and boss 3 confirmed the method’s efficacy: the maximum vibration amplitudes were reduced by 70.48% and 45.81% for boss 2, and by 64.48% and 61.00% for boss 3, respectively. These results verify the effectiveness of the proposed method. The unbalance parameters identified from simulations exhibited errors within ±6°, ±0.12 g, and ±0.15 × 10−4 m, while experimental errors remained within ±5°, ±0.11 g, and ±0.10 × 10−4 m, demonstrating high accuracy and reliability. Notably, this method improves balancing efficiency by requiring only a single startup and facilitates vibration data acquisition in confined spaces. Full article
(This article belongs to the Special Issue Fault Diagnosis and Vibration Signal Processing in Rotor Systems)
Show Figures

Figure 1

16 pages, 11356 KB  
Article
Extraction of Electron and Hole Drift Velocities in Thin 4H-SiC PIN Detectors Using High-Frequency Readout Electronics
by Andreas Gsponer, Sebastian Onder, Stefan Gundacker, Jürgen Burin, Matthias Knopf, Daniel Radmanovac, Simon Waid and Thomas Bergauer
Sensors 2025, 25(23), 7196; https://doi.org/10.3390/s25237196 - 25 Nov 2025
Viewed by 333
Abstract
Silicon carbide (SiC) has been widely adopted in the semiconductor industry, particularly in power electronics, because of its high temperature stability, high breakdown field, and fast switching speeds. Its wide bandgap makes it an interesting candidate for radiation-hard particle detectors in high-energy physics [...] Read more.
Silicon carbide (SiC) has been widely adopted in the semiconductor industry, particularly in power electronics, because of its high temperature stability, high breakdown field, and fast switching speeds. Its wide bandgap makes it an interesting candidate for radiation-hard particle detectors in high-energy physics and medical applications. Furthermore, the high electron and hole drift velocities in 4H-SiC enable devices suitable for ultra-fast particle detection and timing applications. However, currently, the front-end readout electronics used for 4H-SiC detectors constitute a bottleneck in investigations of the charge carrier drift. To address these limitations, a high-frequency readout board with an intrinsic bandwidth of 10 GHz was developed. With this readout, the transient current signals of a 4H-SiC diode with a diameter of 141 μm and a thickness of 50 μm upon UV laser, alpha particle, and high-energy proton beam excitation were recorded. In all three cases, the electron and hole drift can clearly be separated, which enables the extraction of the charge carrier drift velocities as a function of the electric field. These velocities, directly measured for the first time, provide a valuable comparison to Monte Carlo-simulated literature values and constitute an essential input for TCAD simulations. Finally, a complete simulation environment combining TCAD, the Allpix2 framework, and SPICE simulations is presented, which is in good agreement with the measured data. Full article
(This article belongs to the Section Physical Sensors)
Show Figures

Figure 1

25 pages, 11045 KB  
Article
Research on Dynamic Characteristics of High-Speed Helical Gears with Crack Faults in Electric Vehicle Deceleration Systems
by Hongyuan Zhang, Dongsheng Li, He Wang and Hongyun Sun
Appl. Sci. 2025, 15(23), 12497; https://doi.org/10.3390/app152312497 - 25 Nov 2025
Viewed by 164
Abstract
As a key component of pure electric vehicles, the reducer plays a vital role in power transmission and overall drive system performance. This study investigates the nonlinear dynamic characteristics of helical gears with tooth root crack faults in high-speed reducers. A coupled bending–torsional–shaft [...] Read more.
As a key component of pure electric vehicles, the reducer plays a vital role in power transmission and overall drive system performance. This study investigates the nonlinear dynamic characteristics of helical gears with tooth root crack faults in high-speed reducers. A coupled bending–torsional–shaft dynamic model is developed, in which the time-varying mesh stiffness of cracked helical gears is calculated using an improved potential energy method. The system’s nonlinear dynamic responses under varying mesh error excitation, gear backlash, and damping ratio are numerically obtained via the variable-step Runge–Kutta method. The results reveal that under high input speed conditions, the motion of the faulted system evolves from single-period to quasi-periodic motion as bifurcation parameters change. In the stable state, fault characteristic signals are apparent, whereas under strong nonlinear vibrations and chaotic motion, they become difficult to distinguish in traditional time- and frequency-domain analyses. To address this limitation, the DBSCAN clustering algorithm is introduced, which applies machine learning to cluster the Poincaré cross-sections of the system under different motion states. This approach enables the effective classification and identification of crack-induced and fault-related noise, thereby improving the accuracy of fault detection in nonlinear dynamic gear systems. Full article
Show Figures

Figure 1

15 pages, 2354 KB  
Article
The Association of EEG μ Rhythm Phase and Power with TMS-Assessed Cortical Excitability States
by Wenshu Mai, Xinyu Zhao, Panli Chen, Yuezhuo Zhao, He Wang, Xin Wang, Zhipeng Liu, Jingna Jin and Tao Yin
Sensors 2025, 25(23), 7187; https://doi.org/10.3390/s25237187 - 25 Nov 2025
Viewed by 514
Abstract
The efficacy of transcranial magnetic stimulation (TMS) is influenced by the brain’s real-time activity state. This study aimed to investigate the correlation between cortical excitability states and EEG features, specifically the phase and power of the sensorimotor μ rhythm. We developed a high-precision [...] Read more.
The efficacy of transcranial magnetic stimulation (TMS) is influenced by the brain’s real-time activity state. This study aimed to investigate the correlation between cortical excitability states and EEG features, specifically the phase and power of the sensorimotor μ rhythm. We developed a high-precision real-time phase prediction algorithm based on a Long Short-Term Memory (LSTM) network and constructed a closed-loop TMS system dependent on EEG phase and power. Thirty healthy subjects were recruited for single-pulse TMS experiments. Motor evoked potentials (MEPs) and TMS-evoked potentials (TEPs) were recorded simultaneously to assess cortical excitability states triggered in real time based on different EEG phase and power features. The results demonstrated no significant correlation between the μ rhythm phase and the amplitudes of MEPs or most TEP components. In contrast, pre-stimulus μ rhythm power showed a significant positive correlation with MEP amplitude. Under high-power conditions, the amplitude of the late P180 component in the sensorimotor cortex was significantly enhanced. The early-to-mid components (N15-N100) of the global mean field potential (GMFP) also exhibited significantly increased amplitudes. This study found that, compared to phase, EEG μ rhythm power exhibits a more significant correlation with TMS-assessed cortical excitability states. This finding provides a key basis for developing EEG power-dependent closed-loop TMS methods to enhance the efficacy of TMS modulation. Full article
(This article belongs to the Section Biomedical Sensors)
Show Figures

Figure 1

Back to TopTop