Research on Dynamic Characteristics of High-Speed Helical Gears with Crack Faults in Electric Vehicle Deceleration Systems
Abstract
1. Introduction
2. Establishment of a Dynamic Model of a Helical Gear Transmission System
- (1)
- Rigid gear bodies. The gears were modeled as rigid disks with local tooth flexibility represented by meshing stiffness. This assumption is widely used in high-speed gear dynamics because the bending and torsional deformations of the gear bodies are significantly smaller than the local tooth compliance. Therefore, the rigid-body assumption has only a minor influence on the predicted meshing vibration.
- (2)
- Time-varying meshing stiffness based on cantilever-beam theory. The meshing stiffness was calculated using a discrete integration method combined with a cantilever-beam representation of the tooth. Although this introduces slight simplifications to the real tooth geometry, previous studies have confirmed that this method can accurately capture the primary stiffness fluctuation pattern, even in the presence of cracks [4].
- (3)
- Neglecting friction-induced excitation in the axial direction. Frictional forces were included only in the transverse plane. This simplification is reasonable because axial friction forces are typically much smaller compared with the normal and tangential contact forces. Consequently, their influence on the overall dynamic response is limited.
- (4)
- Crack modeled as a stiffness-reduction zone. The tooth crack was represented by a local reduction in the tooth-root stiffness. This approximation has been validated in earlier works and effectively describes the dominant influence of root cracks on the meshing characteristics. Nevertheless, secondary effects such as crack propagation direction and stress redistribution are not considered, which may cause slight deviations in extreme loading conditions.
3. Calculation of Time-Varying Meshing Stiffness of Helical Gear with Tooth Root Crack
4. Analysis of Dynamic Characteristics of Helical Gear Transmission System with Root Crack Fault
4.1. The Influence of Input Speed on the System Under the Fault of Tooth Root Crack
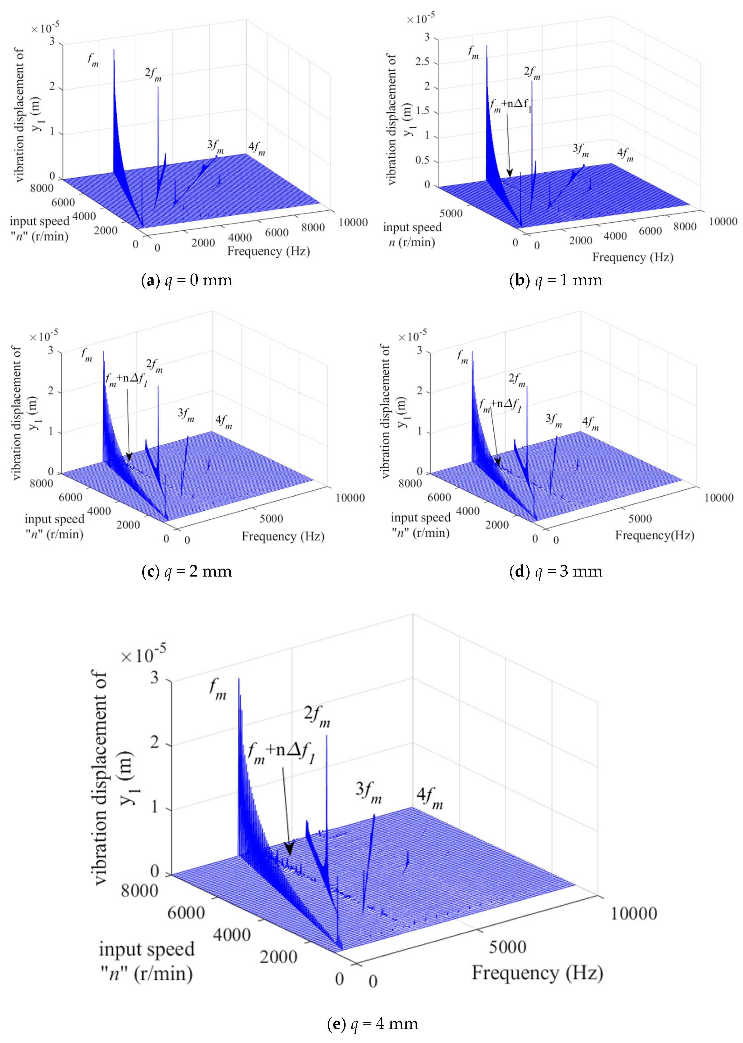
4.2. The Influence of Backlash on the System Under Tooth Root Crack Fault
4.3. The Influence of Error Excitation Amplitude on the System Under Tooth Root Crack Fault
4.4. The Influence of Meshing Damping Ratio on the System Under Tooth Root Crack Fault
4.5. Recognition Verification Based on the DBSCAN Clustering Algorithm
5. Conclusions
- (1)
- For the helical gear transmission system used in electric vehicle reducers, the system demonstrates a highly stable single-period motion state within the low-speed range. As the input speed increases, the system experiences abrupt transitions and exhibits pronounced nonlinear behavior along with complex motion state transformations. Therefore, investigating the dynamic characteristics of helical gear systems under high-speed input conditions holds considerable theoretical and practical significance. Such research is of great engineering value in ensuring the operational reliability and performance of high-speed electric drive systems.
- (2)
- For helical gear transmission systems with crack faults, the introduction of fault characteristics significantly alters the dynamic response characteristics of the system. Within the parameter range where the gear backlash and error excitation amplitude are relatively small and the meshing damping is relatively high, the original single-period or double-period motion has evolved into quasi-period motion. The quasi-periodic behavior caused by the fault masked the first bifurcation phenomenon that occurred in the healthy system under small gaps. When the system operates in a stable motion state, the fault characteristics have high identifiability. Periodic impact components caused by crack propagation appear in the time-domain response, while obvious fault modulation sideband and its multiple frequency components appear on both sides of the meshing frequency in the spectrum. However, when the system enters the chaotic motion state, the intense nonlinear background noise drowns out the fault characteristic signals, making them undetectable in both the time domain and the frequency domain. By using the DBSCAN clustering algorithm to conduct cluster analysis on the Poincare section points, single-period classes, fault noise points, and chaotic noise points can be easily identified.
Author Contributions
Funding
Institutional Review Board Statement
Informed Consent Statement
Data Availability Statement
Conflicts of Interest
References
- Mughal, H.; Sivayogan, G.; Dolatabadi, N.; Rahmani, R. An efficient analytical approach to assess root cause of nonlinear electric vehicle gear whine. Nonlinear Dyn. 2022, 110, 3167–3186. [Google Scholar] [CrossRef]
- Sun, M.; Lu, C.; Liu, Z.; Sun, Y.; Chen, H.; Shen, C. Classifying, Predicting, and Reducing Strategies of the Mesh Excitations of Gear Whine Noise: A Survey. Shock Vib. 2020, 2020, 9834939. [Google Scholar] [CrossRef]
- Lekshmi, S.; Lal Priya, P.S. Mathematical modeling of Electric vehicles—A survey. Control Eng. Pract. 2019, 92, 104138. [Google Scholar]
- Wan, Z.; Zi, Y.; Cao, H.; He, Z.; Wang, S. Time-varying mesh stiffness algorithm correction and tooth crack dynamic modeling. J. Mech. Eng. 2013, 49, 153–160. [Google Scholar] [CrossRef]
- Wan, Z.; Cao, H.; Zi, Y.; He, W.; Chen, Y. Mesh stiffness calculate-on using an accumulated integral potential energy method and dynamic analysis of helical gears. Mech. Mach. Theory 2015, 92, 447–463. [Google Scholar] [CrossRef]
- Liu, W.; Li, R.; Zhang, J.; Lin, T.; Yang, Y. Study on correction algorithm of time-varying mesh stiffness of helical gears and its influencing factors. J. Hunan Univ. (Nat. Sci.) 2018, 45, 1–10. [Google Scholar]
- Zhu, G.; Huang, K.; Xiong, Y.; Li, A.; Peng, J.; Ding, W. An improved model for time-varying mesh stiffness of super-high-contact-ratio helical gear pair considering contact disparities on differently sliced fractal surfaces. Commun. Nonlinear Sci. Numer. Simul. 2025, 146, 108806. [Google Scholar] [CrossRef]
- He, X.; Zhou, X.; Xue, Z.; Hou, Y.; Liu, Q.; Wang, R. Effects of gear eccentricity on time-varying mesh stiffness and dynamic behavior of a two-stage gear system. J. Mech. Sci. Technol. 2019, 33, 1019–1032. [Google Scholar] [CrossRef]
- Hu, X.; Liu, X.; Zhang, D.; Zhou, B.; Shen, Y.; Zhou, Y. An improved time-varying mesh stiffness calculation method and dynamic characteristic analysis for helical gears under variable torque conditions. Adv. Mech. Eng. 2023, 15, 16878132231203132. [Google Scholar] [CrossRef]
- Yang, H.; Shi, W.; Chen, Z.; Guo, N. An improved analytical method for mesh stiffness calculation of helical gear pair considering time-varying backlash. Mech. Syst. Signal Process. 2022, 170, 108882. [Google Scholar] [CrossRef]
- Zhang, H.; Li, S.; Sun, H. Study on time-varying meshing stiffness of helical gears with root crack faults based on improved potential energy method. Adv. Mech. Eng. 2024, 16, 16878132241240928. [Google Scholar] [CrossRef]
- Mo, S.; Wang, D.; Hu, X.; Bao, H.; Cen, G.; Huang, Y. Dynamic characteristics of helical gear with root crack and friction. Proceedings of the Institution of Mechanical Engineers. J. Mech. Eng. Sci. 2023, 237, 3163–3180. [Google Scholar] [CrossRef]
- Ning, J.; Chen, Z.; Zhai, W. Improved analytical model for mesh stiffness calculation of cracked helical gear considering interactions between neighboring teeth. Sci. China Technol. Sci. 2023, 66, 706–720. [Google Scholar] [CrossRef]
- Liu, Z.; Chang, C.; Hu, H.; Ma, H.; Yuan, K.; Li, X.; Zhao, X.; Peng, Z. Dynamic characteristics of spur gear system with tooth root crack considering gearbox flexibility. Mech. Syst. Signal Process. 2024, 208, 110966. [Google Scholar] [CrossRef]
- Kumar, V.; Wasnik, S.; Sarangi, S. Nonlinear dynamic analysis of spur gear pair for varying crack depth scenario. Nonlinear Dyn. 2024, 12, 15771–15796. [Google Scholar] [CrossRef]
- Jiang, H.; Liu, F. Mesh stiffness modelling and dynamic simulation of helical gears with tooth crack propagation. Meccanica 2020, 55, 1215–1236. [Google Scholar] [CrossRef]
- Zhang, J.; Cai, L.; Chen, Z.; Qi, X.-K. Effect of Gear Tooth Cracks on the Dynamic Characteristics of Gear Transmission System of High-Speed Train. J. Comput. Nonlinear Dyn. 2024, 19, 051003. [Google Scholar] [CrossRef]
- Yang, J.; Sun, R.; Yao, D.; Wang, J.; Liu, C. Nonlinear Dynamic Analysis of high speed multiple units Gear Transmission System with Wear Fault. Mech. Sci. 2019, 10, 187–197. [Google Scholar] [CrossRef]
- Jiang, H.; Shao, Y.; Mechefske, C.K. Dynamic characteristics of helical gears under sliding friction with spalling defect. Eng. Fail. Anal. 2014, 39, 92–107. [Google Scholar] [CrossRef]
- Braumann, L.; de Viteri, V.S.; Morhard, B.; Lohner, T.; Ochoa, J.; Amri, H. Tribology technologies for gears in loss of lubrication conditions: A review. J. Mater. Sci. Mater. Eng. 2025, 20, 29. [Google Scholar] [CrossRef]
- Zhao, J.; Hou, L.; Li, Z.; Zhang, H.; Zhu, R. Prediction of tribological and dynamical behaviors of spur gear pair considering tooth root crack. Eng. Fail. Anal. 2022, 135, 106145. [Google Scholar] [CrossRef]
- Wang, S.; Zhu, R. Evaluating the time-varying mesh stiffness of planetary gear set with gear crack considering the friction force under mixed elastohydrodynamic lubrication condition. J. Tribol. 2023, 145, 044102. [Google Scholar] [CrossRef]
- Wu, J.; Cui, J.; Shu, W.; Wang, L.; Chen, R. Elastohydrodynamic lubrication model and failure test for micro-contact thermodynamic characteristics of friction interface. Tribol. Int. 2023, 185, 108499. [Google Scholar] [CrossRef]
- Ezugwu, A.E.; Ikotun, A.M.; Oyelade, O.O.; Abualigah, L.; Agushaka, J.O.; Eke, C.I.; Akinyelu, A.A. A comprehensive survey of clustering algorithms: State-of-the-art machine learning applications, taxonomy, challenges, and future research prospects. Eng. Appl. Artif. Intell. 2022, 110, 104743. [Google Scholar] [CrossRef]
- Bhattacharjee, P.; Mitra, P. A survey of density based clustering algorithms. Front. Comput. Sci. 2021, 15, 151308. [Google Scholar] [CrossRef]
- Kulkarni, O.; Burhanpurwala, A. A survey of advancements in DBSCAN clustering algorithms for big data. In Proceedings of the 2024 3rd International Conference on Power Electronics and IoT Applications in Renewable Energy and Its Control (PARC), Mathura, India, 23–24 February 2024; IEEE: Piscataway, NJ, USA, 2024; pp. 106–111. [Google Scholar]
- Diez-Ibarbia, A.; Fernandez-Del-Rincon, A.; Garcia, P.; De-Juan, A.; Iglesias, M.; Viadero, F. Assessment of load dependent friction coefficients and their influence on spur gears efficiency. Meccanica 2018, 53, 425–445. [Google Scholar] [CrossRef]
- Ester, M.; Kriegel, H.P.; Sander, J.; Xu, X. A density-based algorithm for discovering clusters in large spatial databases with noise. In Proceedings of the Second International Conference on Knowledge Discovery and Data Mining, Portland, OR, USA, 2–4 August 1996; Volume 96, pp. 226–231. [Google Scholar]



























| Properties | Unit | Pinion | Gear |
|---|---|---|---|
| Number of teeth Z | - | 21 | 65 |
| mm | 1.6 | 1.6 | |
| Pressure angle | ° | 19 | 19 |
| Helix angle | ° | 23.5 | 23.5 |
| Gear width B | mm | 32 | 32 |
| Mass m | kg | 0.92 | 1.45 |
| N/m | 6.0 × 108 | 1.5 × 108 | |
| N/m | 6.0 × 108 | 1.5 × 108 | |
| Rotation direction | - | Right | Left |
| Poisson’s ratio | - | 0.3 | 0.3 |
| Modulus of elasticity E | GPa | 206 | 206 |
| Parameter/Sort | 1 | 2 | 3 | 4 |
|---|---|---|---|---|
| q | 0 mm | 1 mm | 2 mm | 3 mm |
| v | - | 20° | 20° | 20° |
| Parameter/Sort | 1 | 2 | 3 | 4 |
|---|---|---|---|---|
| q | 0 mm | 1 mm | 1 mm | 1 mm |
| v | - | 15° | 30° | 50° |
Disclaimer/Publisher’s Note: The statements, opinions and data contained in all publications are solely those of the individual author(s) and contributor(s) and not of MDPI and/or the editor(s). MDPI and/or the editor(s) disclaim responsibility for any injury to people or property resulting from any ideas, methods, instructions or products referred to in the content. |
© 2025 by the authors. Licensee MDPI, Basel, Switzerland. This article is an open access article distributed under the terms and conditions of the Creative Commons Attribution (CC BY) license (https://creativecommons.org/licenses/by/4.0/).
Share and Cite
Zhang, H.; Li, D.; Wang, H.; Sun, H. Research on Dynamic Characteristics of High-Speed Helical Gears with Crack Faults in Electric Vehicle Deceleration Systems. Appl. Sci. 2025, 15, 12497. https://doi.org/10.3390/app152312497
Zhang H, Li D, Wang H, Sun H. Research on Dynamic Characteristics of High-Speed Helical Gears with Crack Faults in Electric Vehicle Deceleration Systems. Applied Sciences. 2025; 15(23):12497. https://doi.org/10.3390/app152312497
Chicago/Turabian StyleZhang, Hongyuan, Dongsheng Li, He Wang, and Hongyun Sun. 2025. "Research on Dynamic Characteristics of High-Speed Helical Gears with Crack Faults in Electric Vehicle Deceleration Systems" Applied Sciences 15, no. 23: 12497. https://doi.org/10.3390/app152312497
APA StyleZhang, H., Li, D., Wang, H., & Sun, H. (2025). Research on Dynamic Characteristics of High-Speed Helical Gears with Crack Faults in Electric Vehicle Deceleration Systems. Applied Sciences, 15(23), 12497. https://doi.org/10.3390/app152312497

