Sign in to use this feature.

Years

Between: -

Subjects

remove_circle_outline
remove_circle_outline
remove_circle_outline
remove_circle_outline
remove_circle_outline
remove_circle_outline
remove_circle_outline

Journals

Article Types

Countries / Regions

Search Results (53)

Search Parameters:
Keywords = herbicide resistance trait

Order results
Result details
Results per page
Select all
Export citation of selected articles as:
24 pages, 5732 KB  
Article
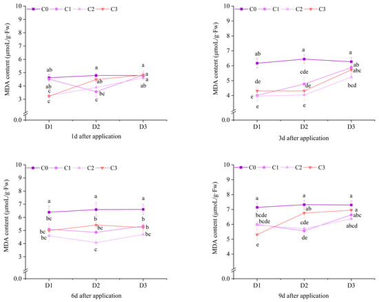
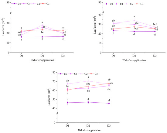
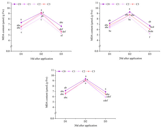
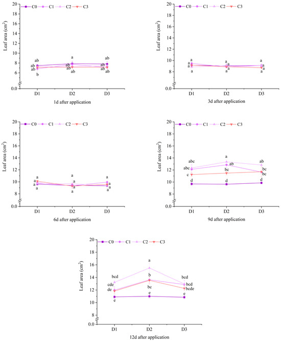
Effect of Brassinolide on the Growth and Physiological Indicators of Foxtail Millet Under Cyhalofop-Butyl Damage
by Chunyan Hu, Jiaxin Dong, Jingtao Yuan, Suqi Shang, Xutao Zhai, Yinyuan Wen, Xi’e Song, Juan Zhao, Hui Cao and Shuqi Dong
Plants 2025, 14(22), 3421; https://doi.org/10.3390/plants14223421 - 8 Nov 2025
Viewed by 659
Abstract
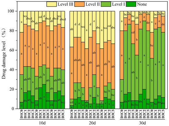
Cyhalofop-butyl is a gramineous herbicide with good control effect, but it causes some damage when used in foxtail millet fields. Brassinolide (BR) is a type of plant growth hormone that can enhance the stress resistance of crops and plays a crucial role in [...] Read more.
Cyhalofop-butyl is a gramineous herbicide with good control effect, but it causes some damage when used in foxtail millet fields. Brassinolide (BR) is a type of plant growth hormone that can enhance the stress resistance of crops and plays a crucial role in eliminating and alleviating herbicide damage. To investigate the alleviating effect of BR on cyhalofop-butyl damage in foxtail millet, a study was conducted using Jingu 21 as the test material, combining pot experiments and field experiments. All test treatments were sprayed with cyhalofop-butyl at a concentration of 67.5 g a.i./ha. Three BR spraying times were set: the same day as cyhalofop-butyl spraying (D1), one day later (D2), and three days later (D3). Four BR concentrations were set—0 mg/L (C0), 0.05 mg/L (C1), 0.1 mg/L (C2), and 0.2 mg/L (C3)—resulting in a total of 12 treatments. The results showed that after BR spraying, all agronomic trait indicators of Jingu 21 in both pot and field experiments were alleviated. Compared with the control treatment, the activities of superoxide dismutase (SOD), peroxidase (POD), and catalase (CAT) increased to varying degrees, the malondialdehyde (MDA) content decreased, and the drug damage level was alleviated to different extents. In addition, spraying BR can increase the yield of Jingu 21 under cyhalofop-butyl herbicide damage. The results of all indicators indicated that spraying BR one day after cyhalofop-butyl spraying had the best effect. Therefore, spraying BR at a concentration of 0.1 mg/L can effectively alleviate the damage of Jingu 21 plants. It is recommended that when using BR to alleviate damage in foxtail millet, the application should be spaced one day apart from the herbicide spraying. Full article
(This article belongs to the Section Plant Protection and Biotic Interactions)
Show Figures

Figure 1

19 pages, 1143 KB  
Review
Advances and Applications of Plant Base Editing Technologies
by Hao Peng, Jiajun Li, Kehui Sun, Huali Tang, Weihong Huang, Xi Li, Surong Wang, Ke Ding, Zhiyang Han, Zhikun Li, Le Xu and Ke Wang
Int. J. Mol. Sci. 2025, 26(19), 9452; https://doi.org/10.3390/ijms26199452 - 27 Sep 2025
Cited by 1 | Viewed by 2148
Abstract
Base editing represents a major breakthrough in the field of genome editing in recent years. By fusing deaminases with the CRISPR/Cas system, it enables precise single-base modifications of DNA. This review systematically summarizes the development of base editing technologies, including cytosine base editors [...] Read more.
Base editing represents a major breakthrough in the field of genome editing in recent years. By fusing deaminases with the CRISPR/Cas system, it enables precise single-base modifications of DNA. This review systematically summarizes the development of base editing technologies, including cytosine base editors (CBEs), adenine base editors (ABEs), and glycosylase base editors (GBEs), with a particular focus on their applications in crop improvement as well as future trends and prospects. We highlight advances in the creation of novel germplasm with enhanced stress resistance and desirable agronomic traits through base editing in rice, wheat, maize, potato, and other crops, particularly for improving herbicide resistance, disease resistance, and grain quality. Furthermore, we analyze factors that influence base editing efficiency, noting that challenges remain, such as PAM sequence constraints, limited base conversion types, off-target effects, narrow editing windows, and efficiency variation. Future efforts should aim to optimize deaminase activity, expand PAM compatibility, and develop versatile tools to facilitate the broad application of base editing in molecular breeding. This review provides a timely reference for researchers and breeders, offering theoretical guidance and practical insights into harnessing base editing for crop genetic improvement. Full article
(This article belongs to the Special Issue Gene Editing for Cereal Crops)
Show Figures

Figure 1

28 pages, 4157 KB  
Article
Comprehensive Analysis of Genetic and Morphological Diversity in Echinochloa spp. Populations Infesting Paddy Fields in Ningxia, China
by Jinhui Li, Yi Zhang, Yan Liu, Shouhui Wei, Zhaofeng Huang, Lu Chen and Hongjuan Huang
Int. J. Mol. Sci. 2025, 26(12), 5623; https://doi.org/10.3390/ijms26125623 - 12 Jun 2025
Viewed by 1014
Abstract
Barnyard grass is the most problematic weed in paddy fields in Ningxia. Its substantial morphological variation complicates both identification and control, yet the genetic diversity of barnyard grass infesting paddy fields in Ningxia has not been thoroughly studied. In this research, we analyzed [...] Read more.
Barnyard grass is the most problematic weed in paddy fields in Ningxia. Its substantial morphological variation complicates both identification and control, yet the genetic diversity of barnyard grass infesting paddy fields in Ningxia has not been thoroughly studied. In this research, we analyzed the genetic diversity of 46 barnyard grass populations from Ningxia’s paddy fields based on the assessment of morphological traits, DNA barcoding, and SCoT-targeted gene markers. Nine morphological traits were quantitatively analyzed, among which three phenological traits, i.e., leaf length, stem diameter, and plant height, exhibited notable variations. Correlational analysis revealed a positive relationship between morphological traits and multi-herbicide resistance profiles. To assess genetic diversity, four DNA barcodes (ITS, psbA, matK, and trnL-F) were used, among which ITS demonstrated the strongest potential in single-gene barcoding for barnyard grass species identification. Cluster analysis based on ITS barcode sequences was performed to group the populations into five main categories. Additionally, SCoT marker analysis using six primers was performed to classify the 46 barnyard grass samples into five groups. The results showed that the predominant barnyard grass species in Ningxia were E. colona, E. crus-galli var. Formosensis, E. crusgalli, E. oryzoides, and E. crusgalli var. Zelayensis, with E. colona being the most prevalent. The differences observed between the morphological and molecular marker-based classifications were method-dependent. However, both SCoT molecular marker technology and DNA barcoding contributed to identifying the genetic diversity of barnyard grass. Taken together, our study revealed significant morphological and genetic variations among barnyard grass populations, which correlated with herbicide sensitivity in Ningxia’s paddy fields, underscoring the necessity for an integrated weed management approach to combat this troublesome weed species. Full article
Show Figures

Figure 1

18 pages, 4237 KB  
Article
Characterization of the Giant Foxtail’s (Setaria faberi) ALS Gene and Its Enhanced Metabolism-Based Cross-Resistance to Nicosulfuron and Rimsulfuron
by Aristeidis P. Papapanagiotou, Maria V. Alvanou, Ioannis A. Giantsis, Ioannis Vasilakoglou and Ilias G. Eleftherohorinos
Genes 2025, 16(5), 505; https://doi.org/10.3390/genes16050505 - 27 Apr 2025
Cited by 1 | Viewed by 956
Abstract
Background: Weed herbicide resistance is a serious problem in crop protection globally. Giant foxtail (Setaria faberi R.A.N. Herrm.) populations cannot be controlled by acetolactate synthase (ALS)-inhibiting herbicides in a few corn (Zea mays L.) monoculture fields. Methods: Five putative resistant giant [...] Read more.
Background: Weed herbicide resistance is a serious problem in crop protection globally. Giant foxtail (Setaria faberi R.A.N. Herrm.) populations cannot be controlled by acetolactate synthase (ALS)-inhibiting herbicides in a few corn (Zea mays L.) monoculture fields. Methods: Five putative resistant giant foxtail populations, originating from corn monoculture fields in northeastern Greece, were evaluated for possible evolution of ALS-inhibitor resistance (nicosulfuron, rimsulfuron). The resistance ratio, the underlying resistance mechanism, and its impact on competitive ability against corn were studied. Results: The whole-plant rate-response assays showed that these populations were resistant (R) to the sulfonylureas nicosulfuron and rimsulfuron, but susceptible (S) to imidazolinone imazamox, triketone 4-hydroxyphenylpyruvate dioxygenase inhibitor tembotrione, and acetyl-CoA carboxylase inhibitor cycloxydim. The sequencing of the ALS gene did not reveal the presence of resistance-associated point mutations, indicating that the resistance was probably not target-site mediated. This was confirmed by the application of piperonyl butoxide two hours before nicosulfuron application, which reversed the resistance in all R giant foxtail populations, supporting the evidence of enhanced metabolism-mediated resistance. The competition study between corn and R or S giant foxtail populations indicated no stable trend reduction in corn traits, suggesting that the resistance mechanism was not associated with the competitive ability of the R populations. The novel ALS genotype in S. faberi, characterized for the first time and submitted to the GenBank database with accession number PV016837, indicated a closer genetic relationship with the S. viridis ALS gene than with S. italica. Conclusions: Five giant foxtail populations have evolved metabolism-based resistance to the ALS-inhibiting herbicides nicosulfuron and rimsulfuron. Full article
(This article belongs to the Section Plant Genetics and Genomics)
Show Figures

Figure 1

22 pages, 3697 KB  
Article
Plant Growth-Promoting and Herbicidal Bacteria as Potential Bio-Based Solutions for Agriculture in Desertic Regions
by Patricio Muñoz-Torres, Wilson Huanca-Mamani, Steffany Cárdenas-Ninasivincha, Yola Aguilar, Antonio Quezada and Franco Bugueño
Plants 2025, 14(1), 9; https://doi.org/10.3390/plants14010009 - 24 Dec 2024
Cited by 1 | Viewed by 1303
Abstract
The region of Arica and Parinacota hosts unexplored remote sites with unique characteristics suitable for developing novel agricultural bioproducts. Notable locations include Jurasi Hot Springs, Polloquere Hot Springs, and Amuyo Lagoons, featuring open pools fed by thermal mountain springs. These geothermal sites harbor [...] Read more.
The region of Arica and Parinacota hosts unexplored remote sites with unique characteristics suitable for developing novel agricultural bioproducts. Notable locations include Jurasi Hot Springs, Polloquere Hot Springs, and Amuyo Lagoons, featuring open pools fed by thermal mountain springs. These geothermal sites harbor bacteria with plant growth-promoting activities, particularly interesting to the strains J19, TP22, A20, and A3. These bacteria possess in vitro plant growth-promoting traits, the ability to produce hydrolytic enzymes, and the capacity to inhibit phytopathogenic fungi. Moreover, they can tolerate different concentrations of NaCl and boron, making them suitable for developing new agricultural bioproducts for arid environments. The bacterial strains A3 and A20 have a positive effect on the growth of the aerial part of tomato plants (increased stem length, fresh and dry weight), with a significant increment in proline concentration and chlorophyll A and B content under saline conditions. Meanwhile, the strains J19 and TP22 exhibit herbicidal activity against Cenchrus echinatus by reducing root elongation and germination of the weed. These strains possess plant growth-promoting traits and improve plant resistance to salinity stress. They are promising candidates for developing innovative bio-based agricultural products suited to arid and semi-arid regions. Full article
(This article belongs to the Special Issue Plant–Microbe Interaction)
Show Figures

Figure 1

11 pages, 774 KB  
Review
Application of CRISPR/Cas9 Technology in Rice Germplasm Innovation and Genetic Improvement
by Jijin Chen, Zhening Miao, Deyan Kong, Anning Zhang, Feiming Wang, Guolan Liu, Xinqiao Yu, Lijun Luo and Yi Liu
Genes 2024, 15(11), 1492; https://doi.org/10.3390/genes15111492 - 20 Nov 2024
Cited by 9 | Viewed by 5987
Abstract
Improving the efficiency of germplasm innovation has always been the aim of rice breeders. Traditional hybrid breeding methods for variety selection rarely meet the practical needs of rice production. The emergence of genome-editing technologies, such as CRISPR/Cas9, provides a new approach to the [...] Read more.
Improving the efficiency of germplasm innovation has always been the aim of rice breeders. Traditional hybrid breeding methods for variety selection rarely meet the practical needs of rice production. The emergence of genome-editing technologies, such as CRISPR/Cas9, provides a new approach to the genetic improvement of crops such as rice. The number of published scientific papers related to “gene editing” and “CRISPR/Cas9” retrievable on websites both from China and other countries exhibited an increasing trend, year by year, from 2014 to 2023. Research related to gene editing in rice accounts for 33.4% and 12.3% of all the literature on gene editing published in China and other countries, respectively, much higher than that on maize and wheat. This article reviews recent research on CRISPR/Cas9 gene-editing technology in rice, especially germplasm innovation and genetic improvement of commercially promoted varieties with improved traits such as disease, insect, and herbicide resistance, salt tolerance, quality, nutrition, and safety. The aim is to provide a reference for the precise and efficient development of new rice cultivars that meet market demand. Full article
(This article belongs to the Special Issue Genetics Improvement and Breeding of Rice)
Show Figures

Figure 1

25 pages, 1579 KB  
Review
Advances in Soybean Genetic Improvement
by Adriana Vargas-Almendra, Roberto Ruiz-Medrano, Leandro Alberto Núñez-Muñoz, José Abrahán Ramírez-Pool, Berenice Calderón-Pérez and Beatriz Xoconostle-Cázares
Plants 2024, 13(21), 3073; https://doi.org/10.3390/plants13213073 - 31 Oct 2024
Cited by 12 | Viewed by 9711
Abstract
The soybean (Glycine max) is a globally important crop due to its high protein and oil content, which serves as a key resource for human and animal nutrition, as well as bioenergy production. This review assesses recent advancements in soybean genetic [...] Read more.
The soybean (Glycine max) is a globally important crop due to its high protein and oil content, which serves as a key resource for human and animal nutrition, as well as bioenergy production. This review assesses recent advancements in soybean genetic improvement by conducting an extensive literature analysis focusing on enhancing resistance to biotic and abiotic stresses, improving nutritional profiles, and optimizing yield. We also describe the progress in breeding techniques, including traditional approaches, marker-assisted selection, and biotechnological innovations such as genetic engineering and genome editing. The development of transgenic soybean cultivars through Agrobacterium-mediated transformation and biolistic methods aims to introduce traits such as herbicide resistance, pest tolerance, and improved oil composition. However, challenges remain, particularly with respect to genotype recalcitrance to transformation, plant regeneration, and regulatory hurdles. In addition, we examined how wild soybean germplasm and polyploidy contribute to expanding genetic diversity as well as the influence of epigenetic processes and microbiome on stress tolerance. These genetic innovations are crucial for addressing the increasing global demand for soybeans, while mitigating the effects of climate change and environmental stressors. The integration of molecular breeding strategies with sustainable agricultural practices offers a pathway for developing more resilient and productive soybean varieties, thereby contributing to global food security and agricultural sustainability. Full article
Show Figures

Figure 1

11 pages, 2580 KB  
Article
Introgression of Herbicide-Resistant Gene from Genetically Modified Brassica napus L. to Brassica rapa through Backcrossing
by Subramani Pandian, Young-Sun Ban, Eun-Kyoung Shin, Senthil Kumar Thamilarasan, Muthusamy Muthusamy, Young-Ju Oh, Ho-Keun An and Soo-In Sohn
Plants 2024, 13(20), 2863; https://doi.org/10.3390/plants13202863 - 13 Oct 2024
Cited by 1 | Viewed by 1929
Abstract
Interspecific hybridization between two different Brassicaceae species, namely Brassica rapa ssp. pekinensis (♀) (AA, 2n = 2x = 20) and genetically modified Brassica napus (♂) (AACC, 2n = 4x = 38), was performed to study the transmission of a herbicide resistance gene from [...] Read more.
Interspecific hybridization between two different Brassicaceae species, namely Brassica rapa ssp. pekinensis (♀) (AA, 2n = 2x = 20) and genetically modified Brassica napus (♂) (AACC, 2n = 4x = 38), was performed to study the transmission of a herbicide resistance gene from a tetraploid to a diploid Brassica species. Initially, four different GM B. napus lines were used for hybridization with B. rapa via hand pollination. Among the F1 hybrids, the cross involving the B. rapa (♀) × GM B. napus (♂) TG#39 line exhibited the highest recorded crossability index of 14.7 ± 5.7. However, subsequent backcross progenies (BC1, BC2, and BC3) displayed notably lower crossability indices. The F1 plants displayed morphological characteristics more aligned with the male parent B. napus, with significant segregation observed in the BC1 generation upon backcrossing with the recurrent parent B. rapa. By the BC2 and BC3 generations, the progeny stabilized, manifesting traits from both parents to varying degrees. Cytogenetic analysis revealed a substantial reduction in chromosome numbers, particularly in backcrossing progenies. BC1 plants typically exhibited 21–25 chromosomes, while BC2 progenies showed 21–22 chromosomes, and by the BC3 generation, stability was achieved with an average of 20 chromosomes. SSR marker analysis confirmed the progressive reduction of C-genome regions, retaining minimal C-genome-specific bands throughout successive backcrossing. Despite the extensive elimination of C-genome-specific genomic regions, the glyphosate resistance gene from the male parent B. napus was introgressed into BC3 progenies, suggesting that the glyphosate resistance gene located and introgressed in A-chromosome/genome regions of the Brassica plants. Full article
(This article belongs to the Special Issue Advances in Molecular Genetics and Breeding of Brassica napus L.)
Show Figures

Figure 1

17 pages, 3697 KB  
Article
Diversity and Life History Traits of Native Weed Communities in Agricultural Areas: A Case Study in Eastern China
by Guoqi Chen, Zeyue Huang, Kai An, Yang Chen and Jiahao Xue
Biology 2024, 13(9), 704; https://doi.org/10.3390/biology13090704 - 7 Sep 2024
Cited by 2 | Viewed by 1714
Abstract
Native weeds have a long history of adaptation to local environments. Understanding the relationship between the occurrence of native weeds and their life history traits is crucial for effective weed management and risk assessment of plant invasions. In this study, we surveyed native [...] Read more.
Native weeds have a long history of adaptation to local environments. Understanding the relationship between the occurrence of native weeds and their life history traits is crucial for effective weed management and risk assessment of plant invasions. In this study, we surveyed native weed species and their dominance across 666 field sites in agricultural areas of Yangzhou City, China, and each site was 13.3 hectares in area. A total of 287 native weed species were recorded, referring to 63 families, among which 45% were 50–100 cm in plant height and 47% were of an erect life type. In terms of the proportions out of the total native weed occurrence dominance, Poaceae, Compositae, and Fabaceae weeds accounted for 30%, 13%, and 11%; liana and perennials both occupied 32%; and aquatic, hygrophyte, sun plant, and shade plant all occupied < 10%. Additionally, the proportions increased with increasing seed production per plant and with increasing weediness reported worldwide. Native weed groups holding moderate vegetative reproduction abilities, moderate seed sizes, or herbicide resistance showed higher proportions. Moreover, most of the native weeds surveyed were not succulent or thorny plants and did not hold thorns, awns, obvious hairs, or mucilage on their fruits. Full article
(This article belongs to the Special Issue Biology, Ecology and Management of Invasive Alien Plants)
Show Figures

Figure 1

12 pages, 2803 KB  
Article
Genotype-by-Environment Interaction and Stability of Canola (Brassica napus L.) for Weed Suppression through Improved Interference
by Md Asaduzzaman, Hanwen Wu, Gregory Doran and Jim Pratley
Agronomy 2024, 14(9), 1965; https://doi.org/10.3390/agronomy14091965 - 30 Aug 2024
Cited by 1 | Viewed by 1746
Abstract
Canola (Brassica napus L.) is a profitable grain crop for Australian growers. However, weeds remain a major constraint for its production. Chemical herbicides are used for weed control, but this tactic also leads to the evolution of herbicide resistance in different weed [...] Read more.
Canola (Brassica napus L.) is a profitable grain crop for Australian growers. However, weeds remain a major constraint for its production. Chemical herbicides are used for weed control, but this tactic also leads to the evolution of herbicide resistance in different weed species. The suppression of weeds by crop interference (competition and allelopathic) mechanisms has been receiving significant attention. Here, the weed suppressive ability and associated functional traits and stability of four selected canola genotypes (PAK85388-502, AV-OPAL, AV-GARNET, and BAROSSA) were examined at different locations in NSW, Australia. The results showed that there were significant effects of canola genotypes and of genotypes by crop density interaction on weed growth. Among the tested genotypes, PAK85388-502 and AV-OPAL were the most weed suppressive and, at a plant density of 10 plants/m2, they reduced the weed biomass of wild radish, shepherd’s purse, and annual ryegrass by more than 80%. No significant differences were found in the primary root lengths among canola varieties; however, plants of the most weed-suppressive genotype PAK8538-502 exhibited a 35% increase in lateral root number relative to plants of the less weed-suppressive genotype BAROSSA. The analysis of variance revealed a significant influence of genotypes with PAK85388-502 and AV-OPAL performing the best across all the research sites. Results showed that canola genotypes PAK85388-502 and AV-OPAL were more weed suppressive than AV-GARNET and BAROSSA and may release specific bioactive compounds in their surroundings to suppress neighboring weeds. This study provides valuable information that could be utilised in breeding programs to select weed-suppressive varieties of canola in Australia. Thus, lateral root number could be a potential target trait for weed-suppressive varieties. Additionally, other root architecture traits may contribute to the underground allelopathic interaction to provide a competitive advantage to the crop. Full article
(This article belongs to the Special Issue Weed Biology and Ecology: Importance to Integrated Weed Management)
Show Figures

Figure 1

17 pages, 1616 KB  
Systematic Review
Resistance of Transgenic Maize Cultivars to Mycotoxin Production—Systematic Review and Meta-Analysis
by Ana Silvia de Lara Pires Batista Gomes, Saulo Henrique Weber and Fernando Bittencourt Luciano
Toxins 2024, 16(8), 373; https://doi.org/10.3390/toxins16080373 - 22 Aug 2024
Cited by 3 | Viewed by 3062
Abstract
Approximately 25% of cereal grains present with contamination caused by fungi and the presence of mycotoxins that may cause severe adverse effects when consumed. Maize has been genetically engineered to present different traits, such as fungal or insect resistance and herbicide tolerance. This [...] Read more.
Approximately 25% of cereal grains present with contamination caused by fungi and the presence of mycotoxins that may cause severe adverse effects when consumed. Maize has been genetically engineered to present different traits, such as fungal or insect resistance and herbicide tolerance. This systematic review compared the observable quantities, via meta-analysis, of four mycotoxins (aflatoxins—AFL, fumonisins—FUM, deoxynivalenol—DON, zearalenone—ZEA) between genetically modified (GM) and conventional maize kernels. This study was conducted following the PRISMA guidelines, with searches performed using PubMed, Web of Science, Scopus, Google Scholar, and CAPES journals databases. Analyses were conducted using RevMan v.5.4 software. Transgenic maize showed a 58% reduction in total mycotoxins (p < 0.001) compared to conventional maize. FUM were the most impacted, with a 59% reduction (p < 0.001) in GM maize. AFL and ZEA levels were also lower in GM maize by 49% (p = 0.02) and 51% (p < 0.001), respectively. On the other hand, DON levels increased by 6% (p < 0.001) in GM maize compared to conventional maize. However, results for ZEA and DON were inconclusive due to the limited research and sample sizes. We conclude that transgenic maize reduces total mycotoxins by over 50%, primarily fumonisin and aflatoxin. Most studies presented maize varieties that were resistant to insects or herbicides, not fungal pathogens, showing a positive collateral effect of these genetic alterations. Therefore, transgenic maize appears to be a safer product for animal and human consumption from a toxicological point of view. Further studies with larger sample sizes are needed to confirm our findings for ZEA and DON in transgenic maize. Full article
(This article belongs to the Special Issue Effect of Mycotoxins on Crops and Their Prevention)
Show Figures

Figure 1

14 pages, 1478 KB  
Article
Investigation of Imidazolinone Herbicide Resistance Gene with KASP Markers for Japonica/Geng Rice Varieties in the Huanghuaihai Region of China
by Peng Liu, Wenjie Feng, Tao Wang, Huadong Zhang, Shuaige Mao, Hua Zhang, Wenchao Huang, Haifeng Liu, Shangzong Feng and Zhaohui Chu
Plants 2024, 13(8), 1097; https://doi.org/10.3390/plants13081097 - 14 Apr 2024
Cited by 1 | Viewed by 2363
Abstract
Rice is a staple food for more than half of the global population due to its food security and sustainable development. Weeds compete with crops for sunlight and indispensable nutrients, affecting the yield and quality of crops. Breeding herbicide-tolerant rice varieties paired with [...] Read more.
Rice is a staple food for more than half of the global population due to its food security and sustainable development. Weeds compete with crops for sunlight and indispensable nutrients, affecting the yield and quality of crops. Breeding herbicide-tolerant rice varieties paired with herbicide application is expected to help with weed control. In this study, 194 Japonica/Geng rice varieties or lines collected from the Huanghuaihai region of China were screened by Kompetitive Allele-Specific PCR (KASP) markers based on four mutation sites within OsALS1 (LOC_Os02g30630), which is the target of imidazolinone (IMI) herbicides. Only the OsALS1627N haplotype was identified in 18 varieties, including the previously reported Jingeng818 (JG818), and its herbicide resistance was validated by treatment with three IMIs. To investigate the origin of the OsALS1627N haplotype in the identified varieties, six codominant PCR-based markers tightly linked with OsALS1 were developed. PCR analysis revealed that the other 17 IMI-tolerant varieties were derived from JG818. We randomly selected three IMI-tolerant varieties for comparative whole-genome resequencing with known receptor parent varieties. Sequence alignment revealed that more loci from JG818 have been introduced into IMI-tolerant varieties. However, all three IMI-tolerant varieties carried clustered third type single nucleotide polymorphism (SNP) sites from unknown parents, indicating that these varieties were not directly derived from JG818, whereas those from different intermediate improved lines were crossed with JG818. Overall, we found that only OsALS1627N from JG818 has been broadly introduced into the Huanghuaihai region of China. Additionally, the 17 identified IMI-tolerant varieties provide alternative opportunities for improving such varieties along with other good traits. Full article
Show Figures

Figure 1

16 pages, 1689 KB  
Review
Soybean Seed Coat Cracks and Green Seeds—Predisposing Conditions, Identification and Management
by Ernane Miranda Lemes and Hugo César Rodrigues Moreira Catão
Seeds 2024, 3(1), 133-148; https://doi.org/10.3390/seeds3010011 - 12 Mar 2024
Cited by 7 | Viewed by 4714
Abstract
Seed coat cracking and green seeds threaten soybean crop production. Seed coat cracking results from a complex interplay of genetic factors, environmental stresses, and crop management practices. Green seeds, linked to water deficit, nutritional deficiencies, and environmental stresses, exhibit reduced quality and viability. [...] Read more.
Seed coat cracking and green seeds threaten soybean crop production. Seed coat cracking results from a complex interplay of genetic factors, environmental stresses, and crop management practices. Green seeds, linked to water deficit, nutritional deficiencies, and environmental stresses, exhibit reduced quality and viability. The intricate relationships between seed coat integrity and seed permeability, influenced by the lignin content, porosity, and color, play a pivotal role in seed germination, storage potential, and resistance to field stresses. These issues reverberate through the soybean agricultural supply chain. Strategic interventions are crucial to address these abnormalities and ensure soybean productivity. Seed germination and vigor are reduced due to seed coat cracking and green seeds, undermining food security and necessitating additional resources for disease management. The occurrence and identification of green seeds and seeds with cracks in the seed coat were also reported by identifying the genes and QTLs (quantitative trait loci) associated with these characteristics. Herbicides, commonly used in weed management, may offer a strategic approach to mitigating seed coat cracking and green seed occurrence. Understanding the complex interactions between the genetics, environmental factors, and management practices influencing seed abnormalities is essential as global climate change intensifies. This review emphasizes the need for integrated strategies, balanced plant nutrition, and cohesive phytosanitary management to mainly alleviate seed coat cracking and greenish occurrences in soybeans and other plant species. Full article
Show Figures

Figure 1

18 pages, 5275 KB  
Article
Genetic Transformation of Potato without Antibiotic-Assisted Selection
by Dmitry Miroshnichenko, Anna Klementyeva, Tatiana Sidorova, Alexander S. Pushin and Sergey Dolgov
Horticulturae 2024, 10(3), 222; https://doi.org/10.3390/horticulturae10030222 - 26 Feb 2024
Cited by 3 | Viewed by 3366
Abstract
The genetic engineering of plants often relies on the use of antibiotic or herbicide resistance genes for the initial selection of primary transgenic events. Nevertheless, the commercial release of genetically modified crops containing any marker gene encounters several challenges stemming from the lack [...] Read more.
The genetic engineering of plants often relies on the use of antibiotic or herbicide resistance genes for the initial selection of primary transgenic events. Nevertheless, the commercial release of genetically modified crops containing any marker gene encounters several challenges stemming from the lack of consumer acceptance. The development of strategies enabling the generation of marker-free transgenic plants presents an alternative to address public concerns regarding the safety of biotech crops. This study examined the capabilities of highly regenerative potato cultivars to develop transgenic plants without the presence of selective substances in their media. Internodal segments of in vitro potato plants were inoculated with the Agrobacterium strain AGL0 carrying plasmids, which contained the GFP or RFP gene driven by the CaMV 35S promoter to monitor the transformation process by observing in vivo green or red fluorescence. Despite the absence of selective pressure, inoculated explants demonstrated comparable or even higher transient expression compared to experiments based on antibiotic assistant selection. Consequently, under non-selective conditions, non-transgenic, chimeric, and fully fluorescent potato plantlets were concurrently developed. Among the five tested cultivars, the regeneration efficiency of non-chimeric transgenic plants varied from 0.9 (‘Chicago’) to 2.7 (#12-36-42) plants per 100 detached plantlets. Depending on the regenerative characteristics of potato varieties (early, intermediate, or late), a specific time interval can be determined when a blind collection of transgenic plantlets is more successful, streamlining the transformation procedure. The results indicate that the outlined procedure is simple and reproducible, consistently achieving the transformation efficiency of 7.3–12.0% (per 100 inoculated explants) in potato cultivars without selective pressure. The described transformation procedure holds the potential for obtaining cisgenic or intragenic potato plants with new valuable traits that do not carry marker genes. Full article
(This article belongs to the Special Issue Plant Tissue and Organ Cultures for Crop Improvement in Omics Era)
Show Figures

Figure 1

20 pages, 2578 KB  
Article
Identifying Plant Functional Traits of Weeds in Fields Planted with Glyphosate-Tolerant Maize for Preferable Weed Management Practices
by Murendeni Kwinda, Stefan John Siebert, Helga Van Coller and Tlou Samuel Masehela
Agriculture 2024, 14(2), 223; https://doi.org/10.3390/agriculture14020223 - 30 Jan 2024
Cited by 2 | Viewed by 2204
Abstract
Weed responses in disturbance-prone agroecosystems are linked to specific plant traits that enable their persistence. Understanding how weeds adapt to thrive in these systems in response to herbicide application is important for farmers to improve weed management for enhanced crop productivity. In this [...] Read more.
Weed responses in disturbance-prone agroecosystems are linked to specific plant traits that enable their persistence. Understanding how weeds adapt to thrive in these systems in response to herbicide application is important for farmers to improve weed management for enhanced crop productivity. In this study, we investigated the functional traits and types of weed species able to persist within fields of glyphosate-tolerant maize in the Oliver Tambo District of the Eastern Cape Province, South Africa. This was accomplished by exploring the abundance patterns, composition, and richness of specific weed traits and functional types. Frequency measures (%) were used to identify indicator species. A data set comprising 42 indicator weed species and 11 predefined disturbance traits from 28 fields of glyphosate-tolerant maize was considered for functional analysis. Clusters were identified according to the grouping of weed species based on their trait scores, which revealed ten plant functional types (PFTs). Disturbances associated with post-emergence (after ploughing, sowing, and herbicide application) act as filters that select for weed species with traits such as life span, life form, growth form, photosynthetic pathway, carbon storage, and nitrogen-fixing ability to colonise fields. Trait richness did not differ significantly across maize fields. Our results highlighted the functional types and traits that are favourable to weed resistance and survival, and these need to be considered when developing different herbicide application protocols. By understanding which traits are favourable for weed survival post-emergence, farmers can apply targeted weed management to safeguard maize productivity. In addition, successful control of weeds will contribute to landscape-targeted herbicide applications that are less harmful to the environment. Full article
(This article belongs to the Section Crop Protection, Diseases, Pests and Weeds)
Show Figures

Figure 1

Back to TopTop