Characterization of the Giant Foxtail’s (Setaria faberi) ALS Gene and Its Enhanced Metabolism-Based Cross-Resistance to Nicosulfuron and Rimsulfuron
Abstract
1. Introduction
2. Materials and Methods
2.1. Seed Source of Giant Foxtail Populations
2.2. Preliminary Screening and Whole-Plant Rate-Response Assays
2.3. Molecular Analysis of the Giant Foxtail ALS Gene
2.4. Metabolism Study
2.5. Giant Foxtail—Corn Competitiion Study
2.6. Statistical Analyses
3. Results
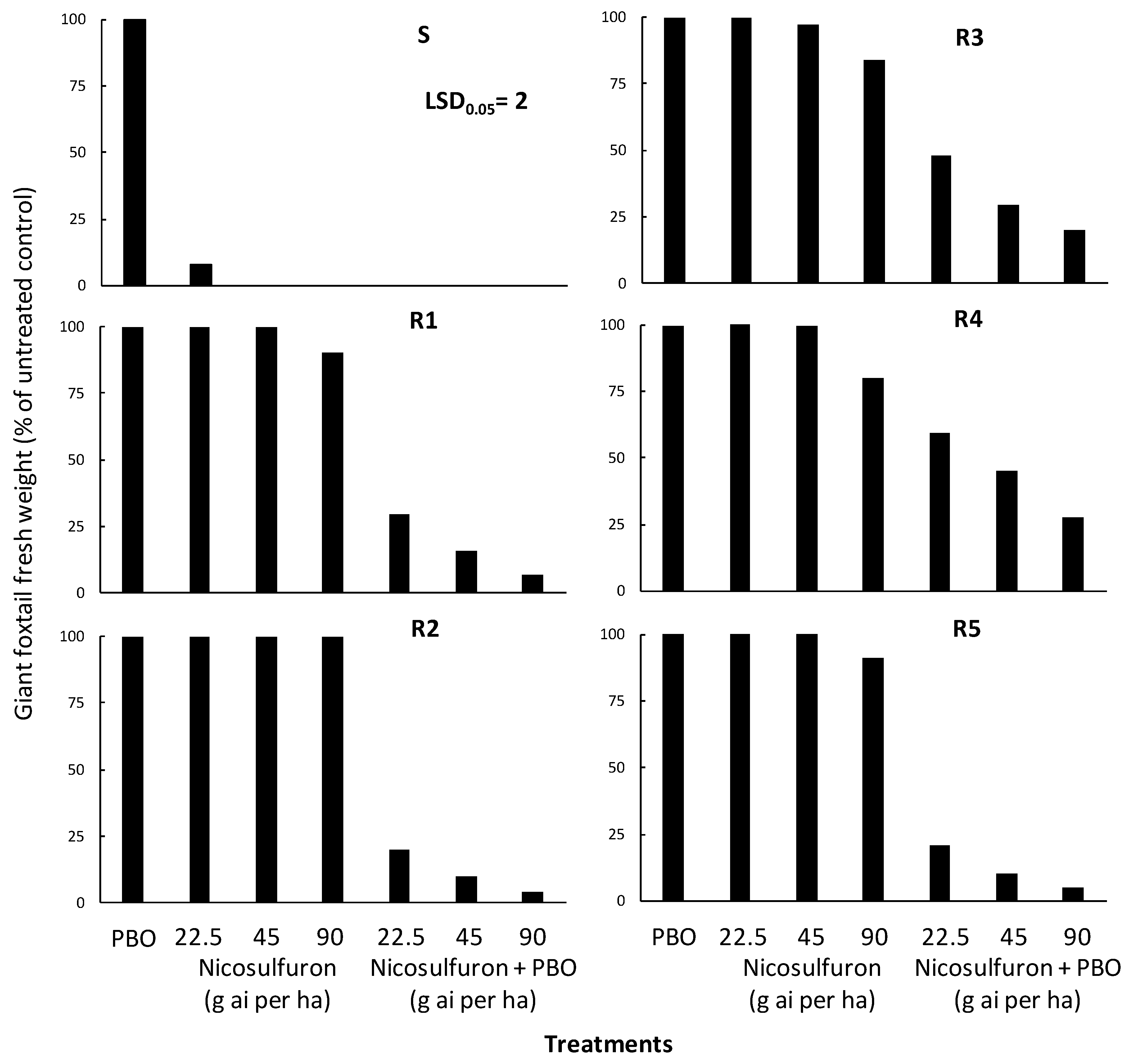
3.1. Preliminary Screening and Whole-Plant Rate-Response Results
3.2. Characterization and Phylogeny of the Giant Foxtail ALS Gene
3.3. Metabolism Study Results
3.4. Giant Foxtail Competition with Corn
4. Discussion
5. Conclusions
Author Contributions
Funding
Institutional Review Board Statement
Informed Consent Statement
Data Availability Statement
Conflicts of Interest
References
- Nurse, R.E.; Darbyshire, S.J.; Bertin, C.; DiTommaso, A. The Biology of Canadian Weeds. 141. Setaria faberi Herrm. Can. J. Plant Sci. 2009, 89, 379–404. [Google Scholar] [CrossRef]
- Holm, L.; Doll, J.; Holm, E.; Pancho, J.; Herberger, J.P. World Weeds: Natural Histories and Distribution; John Wiley & Sons, Inc.: New York, NY, USA, 1997; p. 1152. [Google Scholar]
- Wang, R.-L.; Wendel, J.F.; Dekker, J.H. Weedy adaptation in Setaria spp. II. Genetic diversity and population genetic structure in Setaria glauca, S. geniculata, and S. faberi. Amer. J. Bot. 1995, 82, 1031–1039. [Google Scholar] [CrossRef]
- Buhler, D.D.; Oplinger, E.S. Influence of tillage systems on annual weed densities and control in solid-seeded soybean (Glycine max). Weed Sci. 1990, 38, 158–165. [Google Scholar] [CrossRef]
- Dekker, J.H. The foxtail (Setaria) species-group. Weed Sci. 2003, 51, 641–656. [Google Scholar] [CrossRef]
- Fausey, J.C.; Kells, J.J.; Swinton, S.M.; Renner, K.A. Giant foxtail (Setaria faberi) interference in nonirrigated corn (Zea mays). Weed Sci. 1997, 42, 256–260. [Google Scholar] [CrossRef]
- Volenberg, D.S.; Stoltenberg, D.E. Giant foxtail (Setaria faberi) outcrossing and inheritance of resistance to acetyl-coenzyme A carboxylase inhibitors. Weed Sci. 2002, 50, 622–627. [Google Scholar] [CrossRef]
- Beckie, H.J.; Tardif, F.J. Herbicide cross resistance in weeds. Crop Prot. 2012, 35, 15–28. [Google Scholar] [CrossRef]
- Heap, I. The International Survey of Herbicide Resistant Weeds. Available online: http://www.weedscience.org (accessed on 20 February 2025).
- Tranel, P.J.; Wright, T.R.; Heap, I.M. Mutations in Herbicide-Resistant Weeds to ALS Inhibitors. 2019. Available online: http://www.weedscience.com (accessed on 20 February 2025).
- Zhan, Y.; Liu, H.; Cao, Z.; Qi, J.; Bai, L.; Pan, L. Target-site and non-target-site resistance mechanisms confer mesosulfuron-methyl resistance in Alopecurus aequalis. Plant Physiol. Biochem. 2024, 210, 108597. [Google Scholar] [CrossRef]
- Kaundun, S.S. Resistance to acetyl-CoA carboxylase-inhibiting herbicides. Pest Manag. Sci. 2014, 70, 1405–1417. [Google Scholar] [CrossRef]
- Wang, R.; Sun, Y.; Lan, Y.; Wei, S.; Huang, H.; Li, X.; Huang, Z. ALS gene overexpression and enhanced metabolism conferring Digitaria sanguinalis resistance to nicosulfuron in China. Front. Plant Sci. 2023, 14, 1290600. [Google Scholar] [CrossRef]
- Sen, M.K.; Hamouzova, K.; Mikulka, J.; Bharati, R.; Kosnarova, P.; Hamouz, P.; Roy, A.; Soukup, J. Enhanced metabolism and target gene overexpression confer resistance against acetolactate synthase-inhibiting herbicides in Bromus sterilis. Pest Manag. Sci. 2021, 77, 2122–2128. [Google Scholar] [CrossRef]
- Anthimidou, E.; Ntoanidou, S.; Madesis, P.; Eleftherohorinos, I. Mechanisms of Lolium rigidum multiple resistance to ALS-and ACCase-inhibiting herbicides and their impact on plant fitness. Pestic. Biochem. Physiol. 2020, 164, 65–72. [Google Scholar] [CrossRef]
- Délye, C.; Jasieniuk, M.; Le Corre, V. Deciphering the evolution of herbicide resistance in weeds. Trends Genet. 2013, 29, 649–658. [Google Scholar] [CrossRef]
- Délye, C. Unravelling the genetic bases of non-target-site-based resistance (NTSR) to herbicides: A major challenge for weed science in the forthcoming decade. Pest Manag. Sci. 2013, 69, 176–187. [Google Scholar] [CrossRef]
- Suzukawa, A.K.; Bobadilla, L.K.; Mallory-Smith, C.; Brunharo, C.A.C.G. Non-target-site resistance in Lolium spp. Globally: A review. Front. Plant Sci. 2021, 11, 609209. [Google Scholar] [CrossRef]
- Wang, X.; Hu, W.; Li, Y.; Jiang, M.; Zhao, N.; Cao, H.; Liao, M. Cytochrome P-450s-involved enhanced metabolism contributes to the high level of nicosulfuron resistance in Digitaria sanguinalis from China. Biology 2023, 12, 1192. [Google Scholar] [CrossRef]
- Cao, Y.; Lan, Y.; Huang, H.; Wei, S.; Li, X.; Sun, Y.; Wang, R.; Huang, Z. Molecular characterization of resistance to nicosulfuron in Setaria viridis. Int. J. Mol. Sci. 2023, 24, 7105. [Google Scholar] [CrossRef]
- Fang, J.; Zhang, Y.; Liu, T.; Yan, B.; Li, J.; Dong, L. Target-site and metabolic resistance mechanisms to penoxsulam in barnyardgrass (Echinochloa crus-galli (L.) P. Beauv). J. Agric. Food Chem. 2019, 67, 8085–8095. [Google Scholar] [CrossRef]
- Jugulam, M.; Shyam, C. Non-target-site resistance to herbicides: Recent developments. Plants 2019, 8, 417. [Google Scholar] [CrossRef]
- Ghanizadeh, H.; Harrington, K.C. Non-target site mechanisms of resistance to herbicides. Crit. Rev. Plant Sci. 2017, 36, 24–34. [Google Scholar] [CrossRef]
- Darmency, H.; Waang, T.Y.; Délye, C. Herbicide resistance in Setaria. In Genetics and Genomics of Setaria; Plant Genetics and Genomics: Crops and Models; Doust, A., Diao, X., Eds.; Springer International Publishing: Cham, Switzerland, 2017; pp. 251–266. [Google Scholar]
- Volenberg, D.S.; Stoltenberg, D.E. Altered acetyl-coenzyme A carboxylase confers resistance to clethodim, fluazifop and sethoxydim in Setaria faberi and Digitaria sanguinalis. Weed Res. 2002, 42, 342–350. [Google Scholar] [CrossRef]
- Volenberg, D.S.; Stoltenberg, D.E.; Boerboom, C.M. Biochemical mechanism and inheritance of cross-resistance to acetolactate synthase inhibitors in giant foxtail. Weed Sci. 2001, 49, 635–641. [Google Scholar] [CrossRef]
- Laplante, J.; Rajcan, I.; Tardif, F.J. Multiple allelic forms of acetohydroxyacid synthase are responsible for herbicide resistance in Setaria viridis. Theor. Appl. Genet. 2009, 119, 577–585. [Google Scholar] [CrossRef]
- Stoltenberg, D.E.; Wiederholt, R.J. Giant foxtail (Setaria faberi) resistance to aryloxyphenoxypropionate and cyclohexanedione herbicides. Weed Sci. 1995, 43, 527–535. [Google Scholar] [CrossRef]
- Kosnarová, P.; Hamouz, P.; Hamouzová, K.; Linn, A.; Sen, M.K.; Mikulka, J.; Šuk, J.; Soukup, J. Apera spica-venti in the Czech Republic develops resistance to three herbicide modes of action. Weed Res. 2021, 61, 420–429. [Google Scholar] [CrossRef]
- Meier, U. Growth Stages of Mono- and Dicotyledonous Plants. BBCH Monograph; Julius Kuhn-Institut: Quedlinburg, Germany, 2018; p. 204. [Google Scholar]
- Huang, Z.; Lu, Z.; Huang, H.; Li, W.; Cao, Y.; Wei, S. Target site mutations and cytochrome P450s-involved metabolism confer resistance to nicosulfuron in green foxtail (Setaria viridis). Pestic. Biochem. Physiol. 2021, 179, 104956. [Google Scholar] [CrossRef]
- Larsson, A. AliView: A fast and lightweight alignment viewer and editor for large datasets. Bioinformatics 2014, 30, 3276–3278. [Google Scholar] [CrossRef]
- Tamura, K.; Stecher, G.; Kumar, S. MEGA11: Molecular evolutionary genetics analysis version 11. Mol. Biol. Evol. 2021, 38, 3022–3027. [Google Scholar] [CrossRef]
- Seefeldt, S.S.; Jensen, J.E.; Fuerst, E.P. Log-logistic analysis of herbicide dose-response relationships. Weed Technol. 1995, 9, 218–227. [Google Scholar] [CrossRef]
- MSTAT-C. A Microcomputer Program for the Design, Management, and Analysis of Agronomic Research Experiments; Crop and Soil Sciences Department, Michigan State University: East Lansing, MI, USA, 1988. [Google Scholar]
- Ritz, C.; Streibig, J.C. Bioassay analysis using R. J. Stat. Softw. 2005, 12, 1–22. [Google Scholar] [CrossRef]
- Gaines, T.A.; Duke, S.O.; Morran, S.; Rigon, C.A.G.; Tranel, P.J.; Küpper, A.; Dayan, F.E. Mechanisms of evolved herbicide resistance. J. Biol. Chem. 2020, 295, 10307–10330. [Google Scholar] [CrossRef]
- Silva, T.S.; Arneson, N.J.; DeWerff, R.P.; Smith, D.H.; Silva, D.V.; Werle, R. Preemergence herbicide premixes reduce the risk of soil residual weed control failure in corn. Weed Technol. 2023, 37, 410–421. [Google Scholar] [CrossRef]
- Busi, R.; Gaines, T.A.; Powles, S.B. Phorate can reverse P450 metabolism-based herbicide resistance in Lolium rigidum. Pest Manag. Sci. 2017, 73, 410–417. [Google Scholar] [CrossRef]
- Iwakami, S.; Kamidate, Y.; Yamaguchi, T.; Ishizaka, M.; Endo, M.; Suda, H.; Nagai, K.; Sunohara, Y.; Toki, S.; Uchino, A.; et al. CYP81A P450s are involved in concomitant cross-resistance to acetolactate synthase and acetyl-CoA carboxylase herbicides in Echinochloa phyllopogon. New Phytol. 2019, 221, 2112–2122. [Google Scholar] [CrossRef]
- Baucom, R.S. Evolutionary and ecological insights from herbicide-resistant weeds: What have we learned about plant adaptation, and what is left to uncover? New Phytol. 2019, 233, 68–82. [Google Scholar] [CrossRef]
- Goldberg-Cavalleri, A.; Onkokesung, N.; Franco-Ortega, S.; Edwards, R. ABC transporters linked to multiple herbicide resistance in blackgrass (Alopecurus myosuroides). Front. Plant Sci. 2023, 14, 1082761. [Google Scholar] [CrossRef]
- Nandula, V.K.; Riechers, D.E.; Ferhatoglu, Y.; Barrett, M.; Duke, S.O.; Dayan, F.E.; Goldberg-Cavalleri, A.; Tétard-Jones, C.; Wortley, D.J.; Onkokesung, N.; et al. Herbicide metabolism: Crop selectivity, bioactivation, weed resistance, and regulation. Weed Sci. 2018, 67, 149–175. [Google Scholar] [CrossRef]
- Iwakami, S.; Endo, M.; Saika, H.; Okuno, J.; Nakamura, Y.; Yokoyama, M.; Watanabe, H.; Toki, S.; Uchino, A.; Inamura, T. Cytochrome P450 CYP81A12 and CYP81A21 are associated with resistance to two acetolactate synthase inhibitors in Echinochloa phyllopogon. Plant Physiol. 2014, 165, 618–629. [Google Scholar] [CrossRef]
- Babineau, M.; Mathiassen, S.K.; Kristensen, M.; Kudsk, P. Fitness of ALS-inhibitors herbicide resistant population of loose silky bentgrass (Apera spica-venti). Front. Plant Sci. 2017, 8, 1660. [Google Scholar] [CrossRef]
- Keshtkar, E.; Mathiassen, S.K.; Kudsk, P. No vegetative and fecundity fitness cost associated with acetyl-Coenzyme A carboxylase non-target-site resistance in a black-grass (Alopecurus myosuroides Huds) population. Front. Plant Sci. 2017, 8, 2011. [Google Scholar] [CrossRef]
- Vila-Aiub, M.M.; Neve, P.; Steadman, K.J.; Powles, S.B. Ecological fitness of a multiple herbicide-resistant Lolium rigidum population: Dynamics of seed germination and seedling emergence of resistant and susceptible phenotypes. J. Appl. Ecol. 2005, 42, 288–298. [Google Scholar] [CrossRef]
- Wiederholt, R.J.; Stoltenberg, D.E. Absence of differential fitness between giant foxtail (Setaria faberi) accessions resistant and susceptible to acetyl-coenzyme A carboxylase inhibitors. Weed Sci. 1996, 44, 18–24. [Google Scholar] [CrossRef]
- Wang, T.; Picard, J.C.; Tian, X.; Darmency, H. A herbicide-resistant ACCase 1781 Setaria mutant shows higher fitness than wild type. Heredity 2010, 105, 394–400. [Google Scholar] [CrossRef]
- Yu, Q.; Powles, S. Metabolism-based herbicide resistance and cross-resistance in crop weeds: A threat to herbicide sustainability and global crop production. Plant Physiol. 2014, 166, 1106–1118. [Google Scholar] [CrossRef] [PubMed]








| Herbicide a | Trade Name | Form b | Rates | Manufacturer |
|---|---|---|---|---|
| g ai ha−1 | ||||
| Nicosulfuron | Samson Extra | OD | 5.6 | Bayer Crop Science Hellas |
| 11.2 | ||||
| 22.5 | ||||
| 45 c | ||||
| 90 | ||||
| 180 | ||||
| 360 | ||||
| Rimsulfuron | Rush | WDG | 1.87 | Corteva Agriscience Hellas |
| 3.75 | ||||
| 7.5 | ||||
| 15 c | ||||
| 30 | ||||
| 60 | ||||
| 120 | ||||
| Imazamox | Pulsar® | SL | 50 c | BASF Hellas |
| 100 | ||||
| Tembotrione | Laudis® | OD | 60 c | Bayer Crop Science Hellas |
| 120 | ||||
| Cycloxydim | Focus® | EC | 200 c | BASF Hellas |
| 400 |
| Parameters | Giant Foxtail Populations | |||||
|---|---|---|---|---|---|---|
| Nicosulfuron | S (±SE) | R1 (±SE) | R2 (±SE) | R3 (±SE) | R4 (±SE) | R5 (±SE) |
| b | 2.14 ± 0.14 *** | 3.12 ± 0.52 *** | 2.04 | 3.54 ± 0.77 *** | 2.21 ± 0.37 *** | 3.71 ± 0.98 *** |
| c | −1.41 ± 0.69 ns | 69.02 ± 1.75 *** | −49.45 | 62.57 ± 1.68 *** | 55.13 ± 3.68 *** | 69.94 ± 2.27 *** |
| d | 100.03 ± 0.67 *** | 100.54 ± 1.00 *** | 100.71 ± 0.62 *** | 99.32 ± 1.28 *** | 101.64 ± 1.48 *** | 100.08 ± 0.75 *** |
| e (GR50) (g ai ha−1) | 4.16 ± 0.10 *** | 123.64 ± 9.23 *** | 703.72 | 102.65 ± 5.99 *** | 115.20 ± 14.22 *** | 182.20 ± 10.91 *** |
| Lower/upper | 3.95/4.37 | 104.66/142.61 | - | 90.33/114.97 | 85.97/144.43 | 159.77/204.63 |
| Rimsulfuron | S (±SE) | R1 (±SE) | R2 (±SE) | R3 (±SE) | R4 (±SE) | R5 (±SE) |
| b | 2.27 ± 0.15 *** | 1.75 ± 0.42 *** | 1.62 ± 0.31 *** | 1.86 ± 0.30 *** | 2.34 ± 0.28 *** | 3.22 ± 0.38 *** |
| c | −1.49 ± 0.77 ns | 62.25 ± 7.93 *** | 53.48 ± 2.39 *** | 56.08 ± 2.65 *** | 43.98 ± 2.14 *** | 50.79 ± 1.96 *** |
| d | 100.19 ± 0.77 *** | 100.84 ± 1.26 *** | 100.07 ± 1.22 *** | 99.78 ± 1.41 *** | 98.95 ± 1.21 *** | 100.69 ± 1.11 *** |
| e (GR50) (g ai ha−1) | 1.58 ± 0.03 *** | 61.71 ± 17.98 ** | 17.97 ± 1.56 *** | 29.69 ± 3.01 *** | 37.10 ± 1.93 *** | 43.25 ± 2.22 *** |
| Lower/upper | 1.51/1.65 | 24.74/98.68 | 14.76/21.19 | 23.50/35.88 | 33.13/41.08 | 38.70/47.81 |
| Corn | ||
|---|---|---|
| Populations | Height | Fresh Weight |
| S | y = −5.2x + 231.5, R2 = 0.79 | y = −30.4x + 738.6, R2 = 0.83 |
| R1 | y = −7.0x + 235.4, R2 = 0.96 | y = −49.9x + 780.6, R2 = 0.98 |
| R3 | y = −5.3x + 232.1, R2 = 0.78 | y = −43.3x + 754.7, R2 = 0.95 |
| R5 | y = −5.8x + 229.7, R2 = 0.90 | y = −49.4x + 773.9, R2 = 0.98 |
| Giant Foxtail | ||
| Height | Fresh Weight | |
| S | y = 4.2x + 62.8, R2 = 0.96 | y = 18.7x − 11.5, R2 = 0.93 |
| R1 | y = 6.7x + 57.5, R2 = 0.86 | y = 12.5x + 1.7, R2 = 0.93 |
| R3 | y = 5.4x + 49.4, R2 = 0.71 | y = 11.9x − 3.3, R2 = 0.94 |
| R5 | y = 4.3x + 66.8, R2 = 0.79 | y = 9.6x + 20.7, R2 = 0.96 |
| Tillers | Panicles | |
| S | y = 6.4x − 3.8, R2 = 0.83 | y = 4.9x − 3.3, R2 = 0.73 |
| R1 | y = 5.7x − 2.1, R2 = 0.95 | y = 2.5x − 1.3, R2 = 0.96 |
| R3 | y = 3.7x − 0.7, R2 = 0.90 | y = 2.7x − 1.7, R2 = 0.91 |
| R5 | y = 4.9x + 1.8, R2 = 0.84 | y = 2.1x + 2.3, R2 = 0.99 |
Disclaimer/Publisher’s Note: The statements, opinions and data contained in all publications are solely those of the individual author(s) and contributor(s) and not of MDPI and/or the editor(s). MDPI and/or the editor(s) disclaim responsibility for any injury to people or property resulting from any ideas, methods, instructions or products referred to in the content. |
© 2025 by the authors. Licensee MDPI, Basel, Switzerland. This article is an open access article distributed under the terms and conditions of the Creative Commons Attribution (CC BY) license (https://creativecommons.org/licenses/by/4.0/).
Share and Cite
Papapanagiotou, A.P.; Alvanou, M.V.; Giantsis, I.A.; Vasilakoglou, I.; Eleftherohorinos, I.G. Characterization of the Giant Foxtail’s (Setaria faberi) ALS Gene and Its Enhanced Metabolism-Based Cross-Resistance to Nicosulfuron and Rimsulfuron. Genes 2025, 16, 505. https://doi.org/10.3390/genes16050505
Papapanagiotou AP, Alvanou MV, Giantsis IA, Vasilakoglou I, Eleftherohorinos IG. Characterization of the Giant Foxtail’s (Setaria faberi) ALS Gene and Its Enhanced Metabolism-Based Cross-Resistance to Nicosulfuron and Rimsulfuron. Genes. 2025; 16(5):505. https://doi.org/10.3390/genes16050505
Chicago/Turabian StylePapapanagiotou, Aristeidis P., Maria V. Alvanou, Ioannis A. Giantsis, Ioannis Vasilakoglou, and Ilias G. Eleftherohorinos. 2025. "Characterization of the Giant Foxtail’s (Setaria faberi) ALS Gene and Its Enhanced Metabolism-Based Cross-Resistance to Nicosulfuron and Rimsulfuron" Genes 16, no. 5: 505. https://doi.org/10.3390/genes16050505
APA StylePapapanagiotou, A. P., Alvanou, M. V., Giantsis, I. A., Vasilakoglou, I., & Eleftherohorinos, I. G. (2025). Characterization of the Giant Foxtail’s (Setaria faberi) ALS Gene and Its Enhanced Metabolism-Based Cross-Resistance to Nicosulfuron and Rimsulfuron. Genes, 16(5), 505. https://doi.org/10.3390/genes16050505

