Sign in to use this feature.

Years

Between: -

Subjects

remove_circle_outline
remove_circle_outline
remove_circle_outline
remove_circle_outline
remove_circle_outline
remove_circle_outline
remove_circle_outline
remove_circle_outline
remove_circle_outline

Journals

remove_circle_outline
remove_circle_outline
remove_circle_outline
remove_circle_outline
remove_circle_outline
remove_circle_outline
remove_circle_outline
remove_circle_outline
remove_circle_outline
remove_circle_outline
remove_circle_outline
remove_circle_outline
remove_circle_outline
remove_circle_outline
remove_circle_outline
remove_circle_outline
remove_circle_outline
remove_circle_outline
remove_circle_outline
remove_circle_outline
remove_circle_outline
remove_circle_outline
remove_circle_outline
remove_circle_outline
remove_circle_outline

Article Types

Countries / Regions

remove_circle_outline
remove_circle_outline
remove_circle_outline
remove_circle_outline
remove_circle_outline
remove_circle_outline
remove_circle_outline
remove_circle_outline

Search Results (3,002)

Search Parameters:
Keywords = health insurers

Order results
Result details
Results per page
Select all
Export citation of selected articles as:
14 pages, 1167 KB  
Article
Nationwide Survival Impact of Bevacizumab Under National Reimbursement for Advanced Cervical Cancer in South Korea
by Junhwan Kim, Jieun Jang, Krishnansu S. Tewari, Kyung Su Kim, Hyun-Cheol Kang and Sokbom Kang
Cancers 2026, 18(2), 346; https://doi.org/10.3390/cancers18020346 (registering DOI) - 22 Jan 2026
Abstract
Background: The aim of this study was to evaluate the effectiveness of bevacizumab in advanced cervical cancer (CC) patients using nationwide data after its inclusion in South Korea’s National Health Insurance (NHI), considering various clinicopathologic factors. Methods: This retrospective study analyzed 3869 advanced [...] Read more.
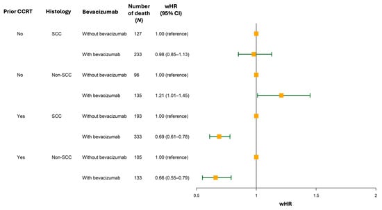
Background: The aim of this study was to evaluate the effectiveness of bevacizumab in advanced cervical cancer (CC) patients using nationwide data after its inclusion in South Korea’s National Health Insurance (NHI), considering various clinicopathologic factors. Methods: This retrospective study analyzed 3869 advanced CC patients from South Korea’s cancer registry (2012–2019), alongside claims and death records (2012–2021). Among these 2792 patients diagnosed after bevacizumab’s NHI inclusion (August 2015), survival outcomes were compared between those receiving bevacizumab with platinum-based chemotherapy (n = 1787, 64.0%) versus chemotherapy alone (n = 1005, 36.0%). Overall survival (OS) was assessed using Cox proportional hazard regression with inverse probability of treatment weighting. Results: Following NHI coverage of bevacizumab, median OS increased from 1.5 to 2.5 years, and the 5-year OS rate increased from 25.6% to 41.4% (weighted hazard ratio [wHR], 0.63; 95% confidence interval [CI], 0.60–0.67). Among patients receiving bevacizumab, median OS was 2.6 years compared to 2.2 years for those not receiving bevacizumab, with 5-year OS rates of 42.0% and 40.2%, respectively (wHR, 0.84; 95% CI, 0.78–0.90). Subgroup analyses revealed that bevacizumab was associated with significantly better OS in patients with prior concurrent chemoradiation therapy (CCRT) history (wHR, 0.67; 95% CI, 0.61–0.75), regardless of histologic subtype (squamous cell carcinoma [SCC]: wHR, 0.69 [95% CI, 0.61–0.78] vs. non-SCC: wHR, 0.66 [95% CI, 0.55–0.79]). Conclusions: The national investment in the implementation of bevacizumab was associated with favorable survival outcomes in advanced CC patients. Particularly, bevacizumab showed pronounced survival benefit for patients with prior CCRT history, regardless of histologic subtype. Full article
(This article belongs to the Section Clinical Research of Cancer)
Show Figures

Figure 1

13 pages, 318 KB  
Article
Comparison of Mental Illness Comorbidity Pre-Pandemic vs. Pandemic-Era and Associations with Clinical and Demographic Characteristics for Virginia Public Hospital Inpatient Discharges with a Substance Use Disorder
by Marilyn Bartholmae and Tharidu Gunawardena
Int. J. Environ. Res. Public Health 2026, 23(1), 129; https://doi.org/10.3390/ijerph23010129 - 21 Jan 2026
Abstract
The rise in mental illnesses after the COVID-19 pandemic is well documented. However, it is not known whether the rates of mental illness comorbidity increased. The objectives of this study were to compare mental illness comorbidity rates before and after the pandemic among [...] Read more.
The rise in mental illnesses after the COVID-19 pandemic is well documented. However, it is not known whether the rates of mental illness comorbidity increased. The objectives of this study were to compare mental illness comorbidity rates before and after the pandemic among inpatients with SUD and to test associations between mental illness comorbidity, physical illness, and demographics. We used a retrospective cross-sectional design in a sample of inpatient discharges (N = 233,017) at Virginia public hospitals from January 2018 to December 2022. We used Z tests to compare rates of mental illness comorbidity pre- and post-pandemic and Chi-square tests to examine associations of mental illness comorbidity with physical illness and demographics. Single and comorbid mental illness significantly increased from pre- to post-pandemic, p < 0.0001. Mental illness comorbidity was significantly associated with sex, age, race, insurance, COVID-19/Long COVID, HIV/AIDS, COPD, hypertension, obesity, CVD, cancer, and diabetes (p < 0.0001). There was a significant increase in mental illness comorbidity, which was significantly associated with age, race, sex, and physical illnesses. Children/adolescents, females, American Indians, and individuals with HIV/AIDS had the highest rates of mental illness comorbidity. Public health action is needed to address the increase in complex medical needs among people with SUD. Full article
18 pages, 1235 KB  
Article
Parental Attitudes and Hesitancy Towards Childhood Influenza Vaccination in Slovakia: A Cross-Sectional Survey of 301 Parents
by Peter Kunč, Jaroslav Fábry, Martina Neuschlová, Matúš Dohál, Renata Péčová, Jana Mazuchová and Miloš Jeseňák
Children 2026, 13(1), 144; https://doi.org/10.3390/children13010144 - 20 Jan 2026
Abstract
Background/Objectives: Seasonal influenza imposes a significant burden on pediatric public health. Despite official recommendations and full insurance coverage, vaccination rates among children in Slovakia remain critically low. This study aims to analyze the attitudes, beliefs, and determinants of parental hesitancy regarding childhood [...] Read more.
Background/Objectives: Seasonal influenza imposes a significant burden on pediatric public health. Despite official recommendations and full insurance coverage, vaccination rates among children in Slovakia remain critically low. This study aims to analyze the attitudes, beliefs, and determinants of parental hesitancy regarding childhood influenza vaccination in the post-pandemic context. Methods: A single-center cross-sectional survey was conducted between February and March 2025 using convenience sampling among parents of children attending a pediatric immunoallergology center. An anonymous questionnaire collected data on demographics, risk perception, and attitudes. Data from 301 parents were analyzed using descriptive statistics, chi-squared tests, and odds ratios (OR) to identify key predictors of hesitancy. Results: Only 27.6% of parents expressed willingness to vaccinate their children, while 42.5% were opposed and 29.9% hesitant. Statistical analysis revealed no significant association between parental university education and vaccination intent (p > 0.05), indicating that vaccine hesitancy in this specific setting was present across all educational backgrounds. However, the source of information proved to be a critical determinant: consulting a pediatrician significantly increased the odds of acceptance (OR = 6.32; 95% CI: 3.54–11.28), whereas reliance on the internet and social media was a significant predictor of refusal (OR = 0.29; 95% CI: 0.17–0.50). The primary reported barrier was fear of adverse effects (70.4%), which significantly outweighed doubts about efficacy (30.2%). Conclusions: Parental hesitancy in Slovakia is a widespread phenomenon pervasive across all educational backgrounds, driven primarily by safety concerns and digital misinformation. The contrast between the protective influence of pediatricians and the negative impact of digital media underscores that clinical encounters are currently the most effective firewall against hesitancy. Public health strategies must therefore pivot from general education to empowering pediatricians with active, presumptive communication strategies. Full article
(This article belongs to the Special Issue Pediatric Infectious Disease Epidemiology)
Show Figures

Figure 1

16 pages, 1167 KB  
Article
Demographic Factors and Trends Associated with Mortality After AIDS Diagnosis in Puerto Rico
by Grisel Burgos-Barreto, Daniel Reyes and Raymond L. Tremblay
Infect. Dis. Rep. 2026, 18(1), 13; https://doi.org/10.3390/idr18010013 - 20 Jan 2026
Abstract
Background: Millions of people have died from AIDS-related illnesses since the start of the epidemic. The objective of this study is to determine the relationship between life years lost and demographic factors in the subset of individuals in Puerto Rico with advanced HIV [...] Read more.
Background: Millions of people have died from AIDS-related illnesses since the start of the epidemic. The objective of this study is to determine the relationship between life years lost and demographic factors in the subset of individuals in Puerto Rico with advanced HIV disease, i.e., who received a diagnosis of AIDS, and to evaluate trends in poverty, age, and number of diagnoses and deaths over this timeframe. Methods: We identified 3624 individuals diagnosed with AIDS who received services under the Eligible Metropolitan Area (EMA) of San Juan, Puerto Rico, between 2000–2020, and correlated demographic factors with AIDS descriptive statistics using a retrospective cohort study design. We used socioeconomic characteristics to describe the population, estimated the life years lost (LYL) compared with the life expectancy of the general population of Puerto Rico at a given age as the null model, and evaluated the relationship of demographic variables with LYL, as well as trends in poverty and age/number of deaths/diagnoses over time. Results: More life years are lost with earlier AIDS onset, and there is also an association between LYL and the level of poverty, documented mode of transmission, and insurance status. LYL were higher among AIDS patients with lower income, with perinatal transmission, and among those without insurance in the age bracket of 40–49 years. No relationship between LYL and gender was detected. Moreover, over the years included in the timeframe of this study, certain trends emerged: we observed a greater proportion of AIDS to HIV diagnoses over time; HIV/AIDS diagnoses and deaths occurred on average at a higher age; the number of diagnoses per year initially rose over time and then declined; and the number of deaths per year as well as the poverty level in those diagnosed with HIV/AIDS increased over time. Conclusions: This study demonstrates the continued recent impact of the HIV epidemic specifically on those with advanced disease (AIDS), and further reaffirms the importance of treatment and prevention as well as demographic and social determinants of health, including age, poverty level, insurance status, and lifestyle, highlighting the disproportionate burden of HIV/AIDS among those with greater levels of poverty. Full article
(This article belongs to the Section Sexually Transmitted Diseases)
Show Figures

Figure 1

25 pages, 657 KB  
Systematic Review
The Impact of Societal Ageing on Individual Consumers’ Insurance Purchase Intentions: A Review and Research Agenda
by Mohd Hafizuddin-Syah Bangaan Abdullah, Zhangwei Zheng, Hafizah Omar Zaki and Qin Lingda Tan
Behav. Sci. 2026, 16(1), 143; https://doi.org/10.3390/bs16010143 - 20 Jan 2026
Abstract
This study examines how societal ageing influences insurance purchasing intentions, addressing the prevailing emphasis on elderly consumers and the limited conceptual integration of ageing within existing behavioural models. Following the Preferred Reporting Items for Systematic Reviews and Meta-Analyses (PRISMA) guidelines, a systematic review [...] Read more.
This study examines how societal ageing influences insurance purchasing intentions, addressing the prevailing emphasis on elderly consumers and the limited conceptual integration of ageing within existing behavioural models. Following the Preferred Reporting Items for Systematic Reviews and Meta-Analyses (PRISMA) guidelines, a systematic review was conducted using an initial search (forty-three studies) supplemented by a top-up search in November 2025 that identified fourteen additional articles. Using the theories-contexts-characteristics-methods (TCCM) framework, the review synthesises theoretical, contextual, characteristic, and methodological patterns in this field. The findings indicate that although variables such as risk perception, anticipated dependence, and interpersonal influence are frequently examined, ageing itself is seldom conceptualised as an explanatory construct, constraining theoretical precision and practical relevance. To bridge this gap, the study introduces ageing risks (AR)—capturing perceived financial, health, and intergenerational uncertainties associated with demographic ageing—and illustrates its integration within the Theory of Planned Behaviour (TPB). The review highlights the need to validate AR empirically, extend research to non-elderly populations and underexplored regions, and broaden methodological approaches. These contributions strengthen theoretical development and inform more responsive insurance strategies in ageing societies. Full article
(This article belongs to the Section Behavioral Economics)
Show Figures

Figure 1

13 pages, 302 KB  
Article
Gastrointestinal Diagnostic Coding After Spinal Cord Injury: Health Behavior Correlates and Implications for Neurogenic Bowel Management in a Nationwide Claim-Based Cohort
by Young-Hwan Lim, Jae-Hyeong Yoo, Jeong-Won Park, Jong-Moon Hwang, Dongwoo Kang, Jungkuk Lee, Hyun Wook Han, Kyung-Tae Kim, Myung-Gwan Kim and Tae-Du Jung
J. Clin. Med. 2026, 15(2), 760; https://doi.org/10.3390/jcm15020760 - 16 Jan 2026
Viewed by 161
Abstract
Background: Neurogenic bowel dysfunction (NBD) is a major chronic sequela of spinal cord injury (SCI) with substantial implications for rehabilitation and long-term management. However, population-level evidence describing how gastrointestinal (GI) diagnostic codes are used following SCI, particularly within administrative healthcare systems, remains [...] Read more.
Background: Neurogenic bowel dysfunction (NBD) is a major chronic sequela of spinal cord injury (SCI) with substantial implications for rehabilitation and long-term management. However, population-level evidence describing how gastrointestinal (GI) diagnostic codes are used following SCI, particularly within administrative healthcare systems, remains limited. Methods: We conducted a nationwide retrospective cohort study using administrative claims data from the Korean National Health Insurance Service (NHIS). A total of 584,266 adults with trauma-related SCI encounters between 2009 and 2019 were identified. GI diagnostic codes—paralytic ileus (K56), irritable bowel syndrome (K58), and functional bowel disorders (K59)—were evaluated as administrative proxies for bowel dysfunction. Demographic characteristics, disability status, regional factors, and health behaviors were analyzed using multivariable logistic regression. Results: GI diagnostic codes were frequently recorded after SCI, most commonly irritable bowel syndrome (approximately 30%) and functional bowel disorders (approximately 37%), whereas paralytic ileus was uncommon. Greater disability severity, female sex, older age, and rural residence were consistently associated with higher odds of GI diagnostic coding. Physical activity showed robust inverse associations across all models. Inverse associations observed with smoking and alcohol consumption were interpreted as reflecting residual confounding or health-related selection, rather than biological protective effects. Conclusions: Patterns of GI diagnostic coding after SCI likely reflect the clinical burden and management needs of neurogenic bowel dysfunction within healthcare systems, rather than the development of new gastrointestinal diseases. These findings underscore the importance of individualized bowel management, incorporation of structured physical activity into rehabilitation programs, and equitable access to SCI rehabilitation services, particularly for individuals with greater disability or those living in rural areas. Full article
Show Figures

Figure 1

21 pages, 1337 KB  
Article
The Health-Wealth Gradient in Labor Markets: Integrating Health, Insurance, and Social Metrics to Predict Employment Density
by Dingyuan Liu, Qiannan Shen and Jiaci Liu
Computation 2026, 14(1), 22; https://doi.org/10.3390/computation14010022 - 15 Jan 2026
Viewed by 133
Abstract
Labor market forecasting relies heavily on economic time-series data, often overlooking the “health–wealth” gradient that links population health to workforce participation. This study develops a machine learning framework integrating non-traditional health and social metrics to predict state-level employment density. Methods: We constructed a [...] Read more.
Labor market forecasting relies heavily on economic time-series data, often overlooking the “health–wealth” gradient that links population health to workforce participation. This study develops a machine learning framework integrating non-traditional health and social metrics to predict state-level employment density. Methods: We constructed a multi-source longitudinal dataset (2014–2024) by aggregating county-level Quarterly Census of Employment and Wages (QCEW) data with County Health Rankings to the state level. Using a time-aware split to evaluate performance across the COVID-19 structural break, we compared LASSO, Random Forest, and regularized XGBoost models, employing SHAP values for interpretability. Results: The tuned, regularized XGBoost model achieved strong out-of-sample performance (Test R2 = 0.800). A leakage-safe stacked Ridge ensemble yielded comparable performance (Test R2 = 0.827), while preserving the interpretability of the underlying tree model used for SHAP analysis. Full article
Show Figures

Figure 1

10 pages, 787 KB  
Article
Risk Stratification of Long-Term Mortality in Infants with Congenital Diaphragmatic Hernia Using the National Health Insurance Service (NHIS) Data
by Hye Ji Han, Min Ji Suh, In Young Choi, Ji Soo Park, Hwan Soo Kim, Hyeon-Jong Yang, Dong In Suh, Eun Lee and Kyung Hoon Kim
Children 2026, 13(1), 108; https://doi.org/10.3390/children13010108 - 12 Jan 2026
Viewed by 129
Abstract
Background: Congenital diaphragmatic hernia (CDH) is a rare but serious congenital anomaly linked to high mortality rates and significant long-term morbidity. Although numerous prognostic factors for short-term outcomes have been identified through hospital-based studies, data on long-term mortality at the population level are [...] Read more.
Background: Congenital diaphragmatic hernia (CDH) is a rare but serious congenital anomaly linked to high mortality rates and significant long-term morbidity. Although numerous prognostic factors for short-term outcomes have been identified through hospital-based studies, data on long-term mortality at the population level are limited. Specifically, nationwide assessments of long-term outcomes for infants with CDH are scarce. This study aimed to estimate the national 5-year all-cause mortality for CDH and to create a population-level risk stratification nomogram utilizing nationwide health insurance claims data. Methods: We conducted a retrospective cohort study of infants with CDH using nationwide insurance claims data from 2002 to 2016, allowing for complete 5-year follow-up. We analyzed population-level demographic and clinical proxy variables with Cox proportional hazards models and developed a nomogram for long-term mortality risk stratification. Results: Factors such as rural residence, middle-to-high SES, respiratory distress in newborns, and CHD were associated with increased 5-year mortality in infants with CDH. The claims-based nomogram, which incorporated sociodemographic and comorbidity variables, demonstrated moderate discriminatory power (AUC 0.76; C-index 0.78) for population-level risk stratification. Conclusions: This nationwide claims-based cohort study provides population-level estimates of 5-year mortality associated with CDH and introduces a nomogram that offers moderate discriminatory ability for long-term risk stratification. Full article
(This article belongs to the Section Pediatric Surgery)
Show Figures

Graphical abstract

17 pages, 388 KB  
Article
Considering Glucagon-like Peptide-1 Receptor Agonists (GLP-1RAs) for Weight Loss: Insights from a Pragmatic Mixed-Methods Study of Patient Beliefs and Barriers
by Regina DePietro, Isabella Bertarelli, Chloe M. Zink, Shannon M. Canfield, Jamie Smith and Jane A. McElroy
Healthcare 2026, 14(2), 186; https://doi.org/10.3390/healthcare14020186 - 12 Jan 2026
Viewed by 205
Abstract
Background/Objective: Glucagon-like peptide-1 receptor agonists (GLP-1RAs) have received widespread attention as effective obesity treatments. However, limited research has examined the perspectives of patients contemplating GLP-1RAs. This study explored perceptions, motivations, and barriers among individuals considering GLP-1RA therapy for obesity treatment, with the [...] Read more.
Background/Objective: Glucagon-like peptide-1 receptor agonists (GLP-1RAs) have received widespread attention as effective obesity treatments. However, limited research has examined the perspectives of patients contemplating GLP-1RAs. This study explored perceptions, motivations, and barriers among individuals considering GLP-1RA therapy for obesity treatment, with the goal of informing patient-centered care and enhancing clinician engagement. Methods: Adults completed surveys and interviews between June and November 2025. In this pragmatic mixed-methods study, both survey and interview questions explored perceived benefits, barriers, and decision-making processes. Qualitative data, describing themes based on the Health Belief Model, were analyzed using Dedoose (version 9.0.107), and quantitative data were analyzed using SAS (version 9.4). Participant characteristics included marital status, income, educational attainment, employment status, insurance status, age, race/ethnicity, and sex. Anticipated length on GLP-1RA medication and selected self-reported health conditions (depression, anxiety, hypertension, heart disease, back pain, joint pain), reported physical activity level, and perceived weight loss competency were also recorded. Results: Among the 31 non-diabetic participants who were considering GLP-1RA medication for weight loss, cost emerged as the most significant barrier. Life course events, particularly (peri)menopause among women over 44, were commonly cited as contributors to weight gain. Participants expressed uncertainty about eligibility, long-term safety, and treatment expectations. Communication gaps were evident, as few participants initiated discussions and clinician outreach was rare, reflecting limited awareness and discomfort around the topic. Conclusions: Findings highlight that individuals considering GLP-1RA therapy face multifaceted emotional, financial, and informational barriers. Proactive, empathetic clinician engagement, through validation of prior efforts, clear communication of risks and benefits, and correction of misconceptions, can support informed decision-making and align treatment with patient goals. Full article
Show Figures

Figure 1

14 pages, 246 KB  
Article
Comparing the Relationship Between Social Determinants of Health and Frailty Status of Medicare Beneficiaries in Rural and Urban Areas in the United States
by Hillary B. Spangler, David H. Lynch, Wenyi Xie, Nina Daneshvar, Haiyi Chen, Feng-Chang Lin, Elizabeth Vásquez and John A. Batsis
J. Ageing Longev. 2026, 6(1), 6; https://doi.org/10.3390/jal6010006 - 9 Jan 2026
Viewed by 130
Abstract
Background: Frailty is a geriatric syndrome of increased physiological vulnerability, decreasing an older adult’s ability to successfully cope with health stressors. Social determinants of health (SDOH), including rural residence, can amplify healthcare disparities for older adults due to less accessibility to resources and [...] Read more.
Background: Frailty is a geriatric syndrome of increased physiological vulnerability, decreasing an older adult’s ability to successfully cope with health stressors. Social determinants of health (SDOH), including rural residence, can amplify healthcare disparities for older adults due to less accessibility to resources and lead to worse health outcomes. While the impact of rurality on older adult health is well-established, little is known about how the interaction of SDOH and geographical residence impact frailty status in older adults. Methods: Older adults (65+ years) in the National Health and Aging Trend Study (2011–2021) were categorized using Fried’s frailty phenotype (robust, pre-frail, frail). Rurality was defined using the 2013 Rural–Urban Continuum Codes. Generalized estimation equations with generalized logit link function determined the relationship between SDOHs (healthcare access, community support, income, education) and frailty status. Results: Of n = 6082 participants (56.4% female), the mean age was 75.12 years (SE 0.10), 1133 (18.6%) lived in rural residence, and 2652 (53.0%) had pre-frailty. Although there was no relationship between geographical residence and frailty status (p = 0.73), we did observe lower associated odds of worse frailty status for those with Medigap insurance coverage (0.81, SE 0.08; p = 0.04) and inconsistent frailty status trends for those of divorced (1.12, SE 0.05; p = 0.007) and never married (0.20, SE 0.03; p < 0.001) status in urban areas. Conclusions: Our findings suggest that geographic residence may modify the relationship between SDOH and frailty status in older adults, providing novel insight into the complexity of these interactions. This work is important for identifying modifiable areas where additional support interventions may be important for mitigating frailty development and progression for older adults with efforts at both the individual and system levels. Full article
12 pages, 379 KB  
Article
Impact of Social Determinants of Health in the Treatment of Closed Nasal Bone Fractures
by Nicholas A. Frisco, Nicholas W. Clark, Kayla W. Kilpatrick, Maragatha Kuchibhatla, David B. Powers, Charles R. Woodard, Nosayaba Osazuwa-Peters and Dane M. Barrett
Craniomaxillofac. Trauma Reconstr. 2026, 19(1), 4; https://doi.org/10.3390/cmtr19010004 - 8 Jan 2026
Viewed by 125
Abstract
Study Design: Retrospective cohort study. Objective: To determine the association of social determinants of health with rates of closed nasal bone reduction. Methods: A retrospective analysis of the National Trauma Data Bank (NTDB) from 2011 to 2019 was performed, including only adult patients [...] Read more.
Study Design: Retrospective cohort study. Objective: To determine the association of social determinants of health with rates of closed nasal bone reduction. Methods: A retrospective analysis of the National Trauma Data Bank (NTDB) from 2011 to 2019 was performed, including only adult patients with isolated nasal bone fractures. Logistic regression modeling was used to estimate the association between closed nasal bone reduction and sociodemographic variables. Results: A total of 149,312 patients were included, with an average age of 50. Most patients were male (68%), White (72%), and non-Hispanic/Latino (77%), with Medicare insurance (25%). Most patients were cared for at non-university (54%) and non-profit hospitals (88%). A total of 39% were cared for at an ACS level 1 trauma center. Finally, 3.3% of the patients in this study underwent closed reduction. The odds of undergoing reduction decreased with increasing age (OR: 0.99, CI: (0.99, 0.99)). Compared to White patients, Asian and Black/African American patients had decreased odds of closed reduction (Asian: OR (CI) 0.71 (0.53, 0.95); Black: OR (CI): 0.71 (0.65, 0.79)). Patients with government insurance or who were uninsured had lower odds of closed reduction compared to private/commercial insurance, with Medicaid, Medicare, and not billed/self-pay odds ratios of 0.83 (CI: (0.76, 0.90)), 0.81 (CI: (0.73, 0.89)), and 0.79 (CI: (0.72, 0.86)), respectively. Conclusions: Social determinants of health are associated with differential rates of inpatient closed nasal bone reduction. Further studies in the outpatient setting are needed to determine if these associations remain consistent. Full article
Show Figures

Figure 1

8 pages, 207 KB  
Article
Sociodemographic and Health-Seeking Factors Associated with First-Trimester Prenatal Care: A Cross-Sectional Study of PRAMS Data
by Melissa B. Eggen, Seyed M. Karimi, Liza Creel, Bertis Little and Bridget Basile
Healthcare 2026, 14(2), 146; https://doi.org/10.3390/healthcare14020146 - 7 Jan 2026
Viewed by 167
Abstract
Objective: This study assessed sociodemographic, health-seeking and social services related factors associated with first-trimester prenatal care. Study Design: This cross-sectional study used Phase 8 pooled data from the Kentucky Pregnancy Risk Assessment Monitoring System (PRAMS) for 2017 to 2020 and 2022. [...] Read more.
Objective: This study assessed sociodemographic, health-seeking and social services related factors associated with first-trimester prenatal care. Study Design: This cross-sectional study used Phase 8 pooled data from the Kentucky Pregnancy Risk Assessment Monitoring System (PRAMS) for 2017 to 2020 and 2022. A logistic regression model was used to estimate unadjusted and adjusted odds ratios and 95% confidence intervals. Results: Among the 3502 women in the analytic sample, 89.3% had first-trimester prenatal care. Most respondents were White (weighted percentage, 83.3%), between the ages of 25 and 29 (31.2%), had more than a high school education (59.5%), were married (59.8%), lived in an urban area (59.4%), and had public insurance (53.9%). Maternal education was associated with the highest odds of first-trimester prenatal care, relative to other covariates, and was highest among those who completed more than high school (aOR 4.23, 95% CI 2.72–6.59) and high school (aOR 3.09, 95% CI 2.06–4.64) relative to less than high school. Private insurance, having a healthcare visit one year prior to pregnancy, and WIC receipt during pregnancy were associated with higher odds of first-trimester prenatal care. Conclusions: The findings of this study suggest that sociodemographic factors and access to healthcare and social services are important factors in first-trimester prenatal care. Full article
11 pages, 226 KB  
Perspective
Corporate Profits and the Health of Americans
by Anthony Biglan, Ronald J. Prinz and Diana H. Fishbein
Healthcare 2026, 14(1), 119; https://doi.org/10.3390/healthcare14010119 - 4 Jan 2026
Viewed by 648
Abstract
A large and growing empirical literature documents that privatization, deregulation, financialization, and under-regulation of harmful industries are associated with adverse health outcomes in the United States. However, this evidence remains fragmented across sectors and rarely articulates a unifying causal framework. This paper advances [...] Read more.
A large and growing empirical literature documents that privatization, deregulation, financialization, and under-regulation of harmful industries are associated with adverse health outcomes in the United States. However, this evidence remains fragmented across sectors and rarely articulates a unifying causal framework. This paper advances the literature by integrating findings across health care, harmful-product industries, and economic and social policy to demonstrate that corporate profit maximization functions as a cross-cutting driver of health disparities and premature mortality in the United States. We synthesize evidence showing that profit-driven incentives shape insurance markets, hospital and physician practice ownership, pharmaceutical marketing, and the aggressive promotion of tobacco, alcohol, ultra-processed foods, opioids, firearms, and fossil fuels—together contributing to more than one million deaths annually. We further document how corporate influence over public policy has increased poverty, economic inequality, and discrimination, all of which are powerful social determinants of health. In contrast to sector-specific analyses, this paper presents a unified, systems-level account of how profit-first governance undermines population health. We conclude by describing how a social movement to achieve a single payer system that provides Medicare for All would not only vastly improve public health, it would be a catalyst for numerous other reforms that enhance the general wellbeing. Full article
15 pages, 1408 KB  
Article
Medical Service Utilization for Carpal Tunnel Syndrome in Korea (2010–2017): A Retrospective, Cross-Sectional Study Using a Nationally Representative Sample from the HIRA-National Patient Sample Database
by Ji Won Kim, Soo Jin Kim, Ye-Seul Lee, Yoon Jae Lee, In-Hyuk Ha, Ju Yeon Kim and Doori Kim
Healthcare 2026, 14(1), 109; https://doi.org/10.3390/healthcare14010109 - 2 Jan 2026
Viewed by 246
Abstract
Background: Carpal tunnel syndrome (CTS) is a common peripheral neuropathy with increasing prevalence and economic burden. This study aimed to analyze recent trends in CTS treatment patterns, healthcare utilization, and costs within the dualized healthcare system in Korea, using nationwide claim data. [...] Read more.
Background: Carpal tunnel syndrome (CTS) is a common peripheral neuropathy with increasing prevalence and economic burden. This study aimed to analyze recent trends in CTS treatment patterns, healthcare utilization, and costs within the dualized healthcare system in Korea, using nationwide claim data. Methods: This cross-sectional study used data from the Korean Health Insurance Review and Assessment Service National Patient Sample (HIRA-NPS) between 2010 and 2017. Patients with a primary diagnosis of CTS (KCD-10: G56.0) were included. Descriptive analyses were performed to examine trends in patient characteristics, healthcare utilization, treatment patterns, and medical costs in Western and Korean medicine. Results: A total of 29,112 patients with CTS were analyzed. In Western medicine, diagnostic tests accounted for the highest expenditure, particularly X-ray, nerve conduction studies, and electromyography. Over time, X-ray utilization increased, while nerve conduction and electromyography tests decreased. The proportion of surgical treatment declined from 11.28% in 2010 to 8.55% in 2017, whereas Korean medicine use increased from 9.41% to 15.08%, mainly consisting of acupuncture and related procedures. Conclusions: Korea exhibited a lower CTS surgery rate than other countries, alongside a rising trend in Korean medicine utilization. These findings underscore the distinctive dual healthcare system in Korea and highlight the need for prospective studies to assess the long-term effectiveness of Korean medicine-based conservative treatments. Additionally, the results may inform national health policy decisions, including insurance coverage and resource allocation for CTS management. Full article
Show Figures

Figure 1

14 pages, 631 KB  
Article
Effect of Surgeon Service Volume on Survival of Liver Transplant Patients: A Nationwide Cohort Study
by Liang-Yu Chiang, Tzu-Wei Wang, Pei-Tseng Kung and Wen-Chen Tsai
J. Clin. Med. 2026, 15(1), 321; https://doi.org/10.3390/jcm15010321 - 1 Jan 2026
Viewed by 211
Abstract
Background/Objectives: Liver transplantation is an effective treatment for end-stage liver disease, and patients treated by surgeons with higher service volumes have better therapeutic outcomes. However, few studies have examined the effects of cumulative service volume on the survival of liver transplant patients. [...] Read more.
Background/Objectives: Liver transplantation is an effective treatment for end-stage liver disease, and patients treated by surgeons with higher service volumes have better therapeutic outcomes. However, few studies have examined the effects of cumulative service volume on the survival of liver transplant patients. The objective of this study was to investigate the effect of a surgeon’s cumulative service volume on the survival rates of liver transplant patients. Methods: The study was a retrospective and nationwide cohort study. Patients who underwent a liver transplant in 2005–2013 were identified. The data were from the Taiwan National Health Insurance Research Database. The primary outcome was the effect of surgeon service volume on 1-year survival after surgery for liver transplant patients. Results: A total of 3233 patients who underwent liver transplantation had a first-year survival rate of 85.8%. The high relative service volume group (>307 cases) had the highest patient survival rate at 1 year after operation (95.31%), while the low relative service volume group (<31 cases) had the lowest survival rate (71.39%). After relevant adjustment variables, the risk of mortality was significantly higher among patients operated on when their surgeons had accumulated fewer than 41 prior transplant cases, and the risk of mortality decreased as the cumulative service volume of surgeons rose. Conclusions: This nationwide cohort study demonstrated an association, rather than a causal relationship, between surgeon cumulative service volume and 1-year survival after liver transplantation. One-year survival reached approximately 85% once surgeons had accumulated 41–60 prior transplant cases. These findings may provide a reference for understanding the clinical learning curve in liver transplantation. Full article
(This article belongs to the Section General Surgery)
Show Figures

Figure 1

Back to TopTop