Sign in to use this feature.

Years

Between: -

Subjects

remove_circle_outline
remove_circle_outline
remove_circle_outline
remove_circle_outline
remove_circle_outline
remove_circle_outline
remove_circle_outline
remove_circle_outline
remove_circle_outline

Journals

remove_circle_outline
remove_circle_outline
remove_circle_outline
remove_circle_outline
remove_circle_outline
remove_circle_outline
remove_circle_outline
remove_circle_outline

Article Types

Countries / Regions

remove_circle_outline
remove_circle_outline
remove_circle_outline
remove_circle_outline

Search Results (907)

Search Parameters:
Keywords = gsk3β

Order results
Result details
Results per page
Select all
Export citation of selected articles as:
20 pages, 4663 KB  
Article
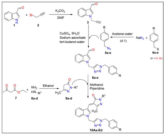
Synthesis, In Vitro Cytotoxicity Evaluation and GSK-3β Binding Study of Some Indole–Triazole-Linked Pyrazolone Derivatives
by Ashok Madarakhandi, Sujeet Kumar, Nishith Teraiya, Gokulakrishnan Sakthivel, Basavaraj Metikurki, Veda B. Hacholli, Dominique Schols, Febina Ravindran, Bibha Choudhary and Subhas S. Karki
Chemistry 2026, 8(2), 17; https://doi.org/10.3390/chemistry8020017 (registering DOI) - 31 Jan 2026
Abstract
Glycogen synthase kinase-3 beta (GSK-3β) is a multifunctional serine/threonine kinase mediating multiple cellular functions, such as differentiation, apoptosis, and cell proliferation. Because of their ability to alter carcinogenic pathways, GSK-3β inhibitors are being explored for the development of anticancer molecules. [...] Read more.
Glycogen synthase kinase-3 beta (GSK-3β) is a multifunctional serine/threonine kinase mediating multiple cellular functions, such as differentiation, apoptosis, and cell proliferation. Because of their ability to alter carcinogenic pathways, GSK-3β inhibitors are being explored for the development of anticancer molecules. In the present study, we synthesized and evaluated the cytotoxic properties of a series of twenty indole–triazole-linked pyrazolone derivatives, 10AaEd. All derivatives were characterized by FTIR, 1H/13C NMR, and high-resolution mass spectrometry (HRMS) methods. All compounds and standards, sunitinib and 5-Fluorouracil (5-FU), were screened against four adherent cell lines, including pancreatic adenocarcinoma (Capan-1), colorectal carcinoma (HCT-116), glioblastoma(LN229), and lung carcinoma (NCI-4460), and four non-adherent cell lines, including acute myeloid leukemia (HL-60), chronic myeloid leukemia (K562), T lymphoblast (MOLT4), and non-Hodgkin lymphoma (Z138). Among the screened derivatives, molecule 10Aa showed cytotoxicity against MOLT 4, Z138, and HL60 with CC50 values of 14.45 μM, 15.34 μM, and 17.56 μM, respectively. GSK-3β kinase inhibition was evaluated with the 10Aa, which is capable of inhibiting GSK-3β in a dose-dependent manner. Additionally, molecular docking was performed to estimate the correlation between invitro data and GSK-3β binding affinity. The outcomes of the invitro experiments demonstrated strong concordance with the insilico data. The discovery yielded compounds 10Aa and 10Cd, which can be modified to create effective anticancer agents that target GSK-3β. Full article
(This article belongs to the Section Medicinal Chemistry)
Show Figures

Figure 1

32 pages, 6189 KB  
Article
Spirulina Peptides Suppress UVB-Induced Skin Hyperpigmentation via Integrated Modulation of Melanogenesis and Inflammatory Pathways
by Qiying Zeng, Kaiye Yang, Hongtao Gu, Changzhi Dong, Wei Zhou and Zhiyun Du
Antioxidants 2026, 15(2), 181; https://doi.org/10.3390/antiox15020181 - 30 Jan 2026
Abstract
Background: Hyperpigmentation disorders lack effective therapies due to efficacy and safety limitations. Spirulina-derived peptides (SPs) show promises as anti-melanogenic agents, but their mechanisms remain unclear. Methods: SPs (<1 kDa, 3–6 amino acids) were isolated and assessed for tyrosinase inhibition, antioxidant, and anti-glycation [...] Read more.
Background: Hyperpigmentation disorders lack effective therapies due to efficacy and safety limitations. Spirulina-derived peptides (SPs) show promises as anti-melanogenic agents, but their mechanisms remain unclear. Methods: SPs (<1 kDa, 3–6 amino acids) were isolated and assessed for tyrosinase inhibition, antioxidant, and anti-glycation activities. In vitro effects were tested in B16F10 cells; transcriptomic profiling used RNA sequencing. In vivo efficacy was evaluated in UVB-induced hyperpigmentation mouse models. Results: SPs exhibited mixed-type kinetic inhibition of tyrosinase along with strong antioxidant and anti-glycation activities. In vitro, SP suppressed melanin synthesis by directly inhibiting tyrosinase, downregulating the cAMP/PKA/CREB cascade, and activating the PI3K/Akt/GSK-3β pathway, resulting in reduced MITF and tyrosinase expression. Transcriptomic analysis revealed broad regulation of melanogenesis and inflammatory pathways. In vivo, topical SP treatment significantly reduced UVB-induced hyperpigmentation and skin inflammation, correlating with decreased CREB phosphorylation and tyrosinase expression. Conclusions: SP acts as a dual anti-melanogenic/anti-inflammatory agent through enzyme inhibition and signaling modulation, offering a novel therapeutic strategy for inflammation-associated hyperpigmentation. Full article
31 pages, 10959 KB  
Article
Pro-Apoptotic and Anti-EMT Activity of Wild Ginseng Adventitious Root Extract in MDA-MB-231 TNBC Cells: Association with GSK-3β/β-Catenin Signaling
by Chang-Eui Hong, Ducdat Le, Mina Lee and Su-Yun Lyu
Pharmaceuticals 2026, 19(2), 216; https://doi.org/10.3390/ph19020216 - 26 Jan 2026
Viewed by 154
Abstract
Background/Objectives: Triple-negative breast cancer (TNBC) lacks targeted therapies and has a poor prognosis. Wild ginseng (Panax ginseng) is traditionally valued for its medicinal properties, but its scarcity limits therapeutic application. Adventitious root culture technology provides a sustainable source of wild [...] Read more.
Background/Objectives: Triple-negative breast cancer (TNBC) lacks targeted therapies and has a poor prognosis. Wild ginseng (Panax ginseng) is traditionally valued for its medicinal properties, but its scarcity limits therapeutic application. Adventitious root culture technology provides a sustainable source of wild ginseng-derived bioactive compounds. This study investigated the anticancer effects of wild ginseng adventitious root extract (WGAR) on MDA-MB-231 TNBC cells and elucidated the underlying molecular mechanisms. Methods: WGAR was prepared from cultured adventitious roots of 100-year-old wild ginseng, and its chemical composition was analyzed by LC-MS/MS. Anticancer effects were evaluated using MTT assay, acridine orange/propidium iodide (AO/PI) staining, Matrigel invasion assay, Western blot analysis, and proteome profiler array. Molecular docking was performed to predict interactions between WGAR constituents and target proteins poly (ADP-ribose) polymerase (PARP)-1 and β-catenin. Results: LC-MS/MS analysis tentatively identified 17 compounds, including ginsenosides (Rg3, Rh1, Rf) and terpenoids (ursolic acid). WGAR reduced cell viability with an IC50 of 79 μg/mL at 48 h, inducing 51.2% cell death. WGAR activated the intrinsic apoptotic pathway through sequential caspase-9 and caspase-3 activation, followed by PARP cleavage, and was associated with changes in epithelial–mesenchymal transition (EMT)-related markers (reduced N-cadherin, Slug, and β-catenin) alongside decreased inhibitory Ser9 phosphorylation of GSK-3β. Proteome array analysis revealed suppression of ECM remodeling proteins (tenascin C, u-PA) and inflammatory mediators (IL-6, CXCL8). Molecular docking predicted that selected WGAR constituents, particularly terpenoid-type compounds, may potentially interact with PARP-1 and β-catenin; however, these in silico findings are hypothesis-generating and require experimental validation. Conclusions: WGAR exerts multi-target anticancer effects on TNBC cells through apoptosis induction and EMT suppression associated with modulation of GSK-3β/β-catenin signaling, suggesting its potential as a source of therapeutic agents for TNBC. Full article
Show Figures

Graphical abstract

29 pages, 6922 KB  
Article
Protection by Vitis vinifera L. Against Cisplatin-Induced Testicular Injury: Oxidative Stress, Inflammation, and Ferroptosis
by Salman A. A. Mohammed, Hebatallah M. Saad, Kariman A. Esmail, Duaa Eliwa, Aya H. Rohiem, Amal A. Awad, Samar A. El-Adawy, Shimaa S. Amer and Ehab Y. Abdelhiee
Pharmaceuticals 2026, 19(1), 178; https://doi.org/10.3390/ph19010178 - 20 Jan 2026
Viewed by 238
Abstract
Background/Objectives: Testicular toxicity is one of the most important chemotherapeutic adverse effects of Cisplatin (Cisp), which restricts its use and effectiveness. This study investigated the preventive effects of Vitis vinifera L. extract on Cisp-induced testicular injury in rats. Methods: Forty adult [...] Read more.
Background/Objectives: Testicular toxicity is one of the most important chemotherapeutic adverse effects of Cisplatin (Cisp), which restricts its use and effectiveness. This study investigated the preventive effects of Vitis vinifera L. extract on Cisp-induced testicular injury in rats. Methods: Forty adult albino male rats were allocated into four groups: control, Vitis vinifera L. extract, Cisp, and co-treated (Vitis vinifera L. extract + Cisp). Sperm motility and count, serum reproductive hormones, oxidative/antioxidant biomarkers, pro-inflammatory cytokines, ferroptosis biomarkers, and gene expression profiles were evaluated. Results: Cisp administration markedly impaired reproductive performance, as evidenced by significant declines in serum FSH, LH, testosterone, and sperm motility and count. Cisp also induced oxidative stress by elevating MDA, GSSG, GPx, and 8-OHdG, while reducing SOD, Catalase, NRF2, and Ho-1 along with total and reduced GSH levels. Moreover, it triggered strong inflammatory responses and ferroptosis activation, with notable up-regulation of NFκB, TNF-α, IL-1β, ferritin, and cathepsin. Gene expression analysis revealed down-regulation of ARNTL, PI3K, and miR-125b and up-regulation of ASCL4, GSK3B, and COX2 following Cisp exposure. Conversely, co-treatment with Vitis vinifera L. extract significantly ameliorated these alterations, restoring sperm quality, hormone balance, antioxidant defenses, and modulating inflammatory, ferroptosis, and genetic responses toward normalcy in addition to restoring testicular and epididymal histoarchitecture without any significant effect in NRF2 and ARNTL expression. Additionally, co-treated groups with Vitis vinifera L. extract showed a significant decline in NF-kB p65 and increased PCNA testicular immunoreactivity with a substantial down-regulation in NF-kB p65 and PCNA epididymal immunoreactivity. Vitis vinifera L. extract alone did not affect any studied parameters as compared to the control group. Conclusions: These findings suggested that Vitis vinifera L. extract has a significant protective effect against Cisp-related testicular injury through antioxidative, anti-inflammatory, and anti-ferroptotic mechanisms. Full article
(This article belongs to the Section Natural Products)
Show Figures

Figure 1

43 pages, 2464 KB  
Review
An Overview of the Mechanisms of HPV-Induced Cervical Cancer: The Role of Kinase Targets in Pathogenesis and Drug Resistance
by Medha Karnik, SubbaRao V. Tulimilli, Preethi G. Anantharaju, Anjali Devi S. Bettadapura, Suma M. Natraj, Habeeb S. Mohideen, Sinisa Dovat, Arati Sharma and SubbaRao V. Madhunapantula
Cancers 2026, 18(2), 318; https://doi.org/10.3390/cancers18020318 - 20 Jan 2026
Viewed by 259
Abstract
Despite a thorough understanding of the structure of human papillomavirus (HPV) and its genotypic variations (high-risk and low-risk variants), the mechanisms underlying HPV-induced cervical cancer (CC) pathogenesis and the molecular signatures of drug resistance remain to be fully understood. Accumulating evidence has shown [...] Read more.
Despite a thorough understanding of the structure of human papillomavirus (HPV) and its genotypic variations (high-risk and low-risk variants), the mechanisms underlying HPV-induced cervical cancer (CC) pathogenesis and the molecular signatures of drug resistance remain to be fully understood. Accumulating evidence has shown the involvement of kinase targets in the induction of drug resistance in high-risk (HR) HPV-CC. Molecularly, the genome of high-risk HPV is reported to control the expression of host kinases. In particular, Aurora kinases A, B, and C (ARKA, ARKB, and ARKC), phosphotidylinositol–trisphosphate kinase (PI3K)-Akt, and Glycogen synthase kinase3-α/β (GSK3 α/β) promote the transformation of infected cells, and also enhance the resistance of cells to various chemotherapeutic agents such as nelfinavir and cisplatin. However, the precise mechanisms through which HPV activates these kinases are yet to be fully elucidated. Furthermore, there is still ambiguity surrounding whether targeting HPV-induced kinases along with HPV-targeted therapies (such as phytopharmaceuticals and PROTAC/CRISPR-CAS-based systems) synergistically inhibit cervical tumor growth. Given the critical role of kinases in the pathogenesis and treatment of CC, a comprehensive review of current evidence is warranted. This review aims to provide key insights into the mechanisms of HPV-induced CC development, the involvement of kinases in drug resistance induction, and the rationale for combination therapies to improve clinical outcomes. Full article
Show Figures

Graphical abstract

19 pages, 1706 KB  
Review
The GLI3–Androgen Receptor Axis: A Feedback Circuit Sustaining Shh Signaling in Prostate Cancer
by Stephanie I. Nuñez-Olvera, Enoc Mariano Cortés-Malagón, Isela Montúfar-Robles, José Javier Flores-Estrada, María Elizbeth Alvarez-Sánchez and Jonathan Puente-Rivera
Receptors 2026, 5(1), 4; https://doi.org/10.3390/receptors5010004 - 19 Jan 2026
Viewed by 118
Abstract
The Hedgehog (Hh) signaling pathway regulates key cellular processes, such as proliferation, differentiation, and morphogenesis. Although its canonical activation involves ligand binding to PTCH1, which activates Smoothened (SMO), noncanonical features of the pathway significantly contribute to cancer progression, particularly in prostate cancer (PCa). [...] Read more.
The Hedgehog (Hh) signaling pathway regulates key cellular processes, such as proliferation, differentiation, and morphogenesis. Although its canonical activation involves ligand binding to PTCH1, which activates Smoothened (SMO), noncanonical features of the pathway significantly contribute to cancer progression, particularly in prostate cancer (PCa). GLI3, a central transcription factor in the Hh pathway, can act as a repressor or activator depending on posttranslational modifications. In androgen-deprived PCa, GLI3 plays a critical role in driving castration-resistant phenotypes by interacting with the androgen receptor (AR), particularly the AR-V7 variant. This interaction enhances tumor survival and growth even under androgen deprivation therapy (ADT). Aberrant GLI3 activity is further driven by mutations in upstream regulators such as SPOP and MED12, which contribute to the progression of both prostate and other malignancies. Preclinical studies have shown promise in reducing tumor cell proliferation and migration, and in inducing apoptosis, by pharmacologically inhibiting the GLI3 pathway with SMO antagonists or GSK3β inhibitors. Recent evidence also highlights reciprocal interactions between Sonic Hedgehog (Shh) signaling and the AR that sustain tumor growth under ADT. GLI3 engagement with AR reinforces AR-dependent transcription, supporting tumor progression through noncanonical pathways. These findings suggest that targeting GLI3, particularly in combination with AR inhibition, could effectively overcome castration resistance and improve outcomes in patients with castration-resistant prostate cancer (CRPC). This review explores the role of GLI3 in both canonical and noncanonical Hh signaling, its potential as a therapeutic target, and future directions for overcoming resistance in Hh-driven cancers. Full article
Show Figures

Figure 1

20 pages, 12843 KB  
Article
Network Analysis to Identify MicroRNAs Involved in Alzheimer’s Disease and to Improve Drug Prioritization
by Aldo Reyna and Simona Panni
Biomedicines 2026, 14(1), 147; https://doi.org/10.3390/biomedicines14010147 - 11 Jan 2026
Viewed by 366
Abstract
Background: Advances in the understanding of molecular mechanisms of human diseases, along with the generation of large amounts of molecular datasets, have highlighted the variability between patients and the need to tailor therapies to individual characteristics. In particular, RNA-based therapies hold strong [...] Read more.
Background: Advances in the understanding of molecular mechanisms of human diseases, along with the generation of large amounts of molecular datasets, have highlighted the variability between patients and the need to tailor therapies to individual characteristics. In particular, RNA-based therapies hold strong promise for new drug development, as they can be easily designed to target specific molecules. Gene and protein functions, however, operate within a highly interconnected network, and inhibiting a single function or repressing a single gene may lead to unexpected secondary effects. In this study, we focused on genes associated with Alzheimer’s disease, a progressive neurodegenerative disorder characterized by complex pathological processes leading to cognitive decline and dementia. Its hallmark features include the accumulation of extracellular amyloid-β plaques and intracellular neurofibrillary tangles composed of hyperphosphorylated tau. Methods: We built a protein interaction network subgraph seeded on five Alzheimer’s-associated genes, including tau and amyloid-β precursor, and integrated it with microRNAs in order to select regulated nodes, study the effects of their depletion on signaling pathways, and prioritize targets for microRNA-based therapeutic approaches. Results: We identified nine protein nodes as potential candidates (Pik3R1, Bace1, Traf6, Gsk3b, Akt1, Cdk2, Adam10, Mapk3 and Apoe) and performed in silico node depletion to simulate the effects of microRNA regulation. Conclusions: Despite intrinsic limitations of the approach, such as the incompleteness of the available information or possible false associations, the present work shows clear potential for drug design and target prioritization and underscores the need for reliable and comprehensive maps of interactions and pathways. Full article
(This article belongs to the Special Issue Bioinformatics Analysis of RNA for Human Health and Disease)
Show Figures

Figure 1

30 pages, 5568 KB  
Article
Anticancer Activity of 2,3′-Dihydroxy-5′-Methoxystilbene Against NSCLC Cell Lines Through AKT-Dependent Mechanisms: A Comprehensive In Vitro and Computational Analysis
by Phisit Pouyfung, Nonthalert Lertnitikul, Noriyoshi Ogino, Achitphol Chookaew, Varisa Pongrakhananon, Piriya Chonsut, Natthaporn Sueangoen and Suwichak Chaisit
Int. J. Mol. Sci. 2026, 27(2), 719; https://doi.org/10.3390/ijms27020719 - 10 Jan 2026
Viewed by 221
Abstract
Lung cancer remains a major clinical challenge, with therapy resistance in non-small-cell lung cancer (NSCLC) driving the search for novel selective agents. This study demonstrates that 2,3′-dihydroxy-5′-methoxystilbene exhibits significant anticancer activity in NSCLC cell lines (A549, H23, and H460) while displaying substantially lower [...] Read more.
Lung cancer remains a major clinical challenge, with therapy resistance in non-small-cell lung cancer (NSCLC) driving the search for novel selective agents. This study demonstrates that 2,3′-dihydroxy-5′-methoxystilbene exhibits significant anticancer activity in NSCLC cell lines (A549, H23, and H460) while displaying substantially lower toxicity toward normal NIH/3T3 fibroblasts. The compound reduced the viability of H23 and H460 cells after 48 h. (IC50: 23.39 ± 3.27 μM and 24.20 ± 2.61 μM, respectively), with NIH/3T3 cells remaining comparatively resistant (IC50 > 100 μM). At 25 μM, it suppressed proliferation by approximately 40% in H23, 30% in H460, and 20% in A549 cells, and dose-dependently impaired colony formation and migration, leading to near-complete migration arrest in H460 cells. Apoptosis induction peaked at 19% in H23, 17% in H460, and 8% in A549 cells at 25 μM. Mechanistic studies and molecular modeling revealed AKT-dependent activity, with decreased p-AKT and p-GSK3β levels (0.70 and 0.75 in H23; 0.65 and 0.70 in H460 at 25 μM), without changes in total protein expression. Combination treatment with cisplatin yielded synergistic effects in A549 (CI = 0.83) and H460 (CI = 0.94) cells, but antagonistic effects in H23 cells (CI = 1.32). These findings identify 2,3′-dihydroxy-5′-methoxystilbene as a selective AKT-targeting stilbene with promising anticancer potential and context-dependent chemosensitizing activity in NSCLC cells. Full article
Show Figures

Graphical abstract

12 pages, 1648 KB  
Opinion
Crocin Modified Drugs for Neuronal Trans-Differentiation: A Future Regenerative Approach
by Pratikshya Paudel and Prabir Kumar Gharai
Sci. Pharm. 2026, 94(1), 6; https://doi.org/10.3390/scipharm94010006 - 8 Jan 2026
Viewed by 278
Abstract
Neurodegeneration—driven by oxidative stress, chronic inflammation, and protein aggregation—underlies disorders such as Alzheimer’s disease, Parkinson’s disease, Huntington’s disease, and stroke. Current pharmacological treatments are largely symptomatic and do not restore lost neural circuitry, motivating regenerative approaches. Mesenchymal stem cells (MSCs) provide neurotrophic and [...] Read more.
Neurodegeneration—driven by oxidative stress, chronic inflammation, and protein aggregation—underlies disorders such as Alzheimer’s disease, Parkinson’s disease, Huntington’s disease, and stroke. Current pharmacological treatments are largely symptomatic and do not restore lost neural circuitry, motivating regenerative approaches. Mesenchymal stem cells (MSCs) provide neurotrophic and immunomodulatory benefits and can support synaptic repair, yet robust conversion into mature, electrophysiologically functional neurons remain challenging and often depends on complex inducer cocktails with translational limitations. Crocin, a saffron-derived carotenoid, is reported to enhance neurogenesis and neuroprotection in preclinical models through pathways including Wnt/β-catenin, Notch1, CREB/BDNF, and modulation of GSK-3β, while reducing apoptosis and inflammatory signaling. Here, we synthesize evidence supporting crocin’s neuroprotective and proneurogenic activity and propose a testable hypothesis that crocin-based or crocin-modified formulations could be evaluated as adjuncts to guide MSC neuronal lineage commitment. Importantly, direct evidence that crocin alone can drive MSC trans-differentiation into fully functional neurons is currently insufficient; future work should define functional benchmarks (electrophysiology, synaptogenesis, and phenotypic stability) and rigorously validate safety, dosing, and delivery strategies for neuroregenerative translation. Full article
Show Figures

Figure 1

17 pages, 3886 KB  
Article
Propyl Gallate Attenuates Methylglyoxal-Induced Alzheimer-like Cognitive Deficits and Neuroinflammation in Mice
by Hui-Yun Tsai, Jing Qiu, Han-Wei Liao, Chi-I Chang, Yu-Hsiang Chen, Chi-Tang Ho and Yu-Kuo Chen
Int. J. Mol. Sci. 2026, 27(1), 511; https://doi.org/10.3390/ijms27010511 - 4 Jan 2026
Viewed by 469
Abstract
Methylglyoxal (MG), a reactive dicarbonyl metabolite associated with diabetes and metabolic disorders, contributes to carbonyl stress, neuroinflammation, and Alzheimer-like neurodegeneration. This study investigated the neuroprotective effects of propyl gallate (PG), a phenolic antioxidant widely used as a food additive, against MG-induced cognitive impairment [...] Read more.
Methylglyoxal (MG), a reactive dicarbonyl metabolite associated with diabetes and metabolic disorders, contributes to carbonyl stress, neuroinflammation, and Alzheimer-like neurodegeneration. This study investigated the neuroprotective effects of propyl gallate (PG), a phenolic antioxidant widely used as a food additive, against MG-induced cognitive impairment in mice. Male C57BL/6J mice were exposed to 1% MG in drinking water for eight weeks and orally administered PG (20, 40, or 100 mg/kg/d). Behavioral tests demonstrated that PG significantly improved spatial learning and recognition memory and alleviated anxiety-like behavior induced by MG. Histological and biochemical analyses revealed that PG reduced hippocampal neuronal damage, suppressed tau hyperphosphorylation and amyloid-β (Aβ) accumulation, and attenuated the overexpression of pro-inflammatory cytokines TNF-α and IL-6. Furthermore, PG increased PI3K expression and Akt phosphorylation while reducing activation of GSK-3β, counteracting the MG-induced suppression of this pathway and aligning with reduced tau hyperphosphorylation. These findings indicate that PG protects against MG-related cognitive dysfunction through modulation of neuroinflammatory responses and survival-related signaling pathways, highlighting its potential as a neuroprotective dietary antioxidant for metabolic stress-associated neurodegenerative disorders. Full article
Show Figures

Figure 1

6 pages, 179 KB  
Editorial
From Molecules to Medicine: Deciphering Obesity and Lipid Metabolism for Translational Insights
by Sandeep Kumar and Abhishek Gupta
Biomedicines 2026, 14(1), 68; https://doi.org/10.3390/biomedicines14010068 - 29 Dec 2025
Viewed by 294
Abstract
Obesity, type 2 diabetes (T2D), and insulin resistance are pervasive metabolic disorders marked by chronic low-grade inflammation and systemic metabolic disorders. The emerging field of immunometabolism highlights how interactions between immune processes and metabolic pathways in adipose tissue, liver, muscle, and pancreatic islets [...] Read more.
Obesity, type 2 diabetes (T2D), and insulin resistance are pervasive metabolic disorders marked by chronic low-grade inflammation and systemic metabolic disorders. The emerging field of immunometabolism highlights how interactions between immune processes and metabolic pathways in adipose tissue, liver, muscle, and pancreatic islets contribute to disease pathogenesis. Lipid dysregulation plays a central role in these processes, with distinct lipid molecules identified in obese patients as compared to lean patients that correlate with insulin resistance, inflammation, and vascular dysfunction. This Special Issue compiles a multidisciplinary body of research aimed at elucidating molecular mechanisms, identifying novel biomarkers, and exploring innovative therapeutic strategies. Key contributions include studies on omega-3 long-chain polyunsaturated fatty acids (LCPUFAs) and their differential associations with neurocognitive development; the potential of beta-defensin 2 as a biomarker linking gut-derived inflammation and metabolic dysfunction; and the promotion of adipocyte browning by Carnosic acid via AMPK activation and GSK3β inhibition. Additionally, reviews of phytochemicals underscore their multisystem therapeutic potential, while investigations into sodium–glucose cotransporter-2 (SGLT2) inhibitors suggest possible metabolic and neuroprotective benefits beyond glucose control. Maternal lipid metabolism during pregnancy and its impact on maternal fetal health further emphasize the clinical complexity of lipid dysregulation. Despite promising insights, significant gaps remain regarding causality versus correlation in lipid biomarkers, standardization of analytical methodologies, tissue heterogeneity, and unintended effects of metabolic interventions. Collectively, these studies underscore the necessity of integrative, mechanism-driven research to bridge fundamental biology with translational and clinical applications, ultimately advancing precision therapies for metabolic diseases. Full article
24 pages, 2822 KB  
Article
Discovering the Anti-Inflammatory Potential of Compounds Isolated from the Aerial Parts of Gelasia tomentosa (L.) Zaika, Sukhor. & N.Kilian (Syn. Scorzonera tomentosa), Through In Vitro Techniques and Advanced In Silico Modeling Approaches
by Özlem Bahadır-Acıkara, Beyzanur Akcan, Sezen Yılmaz-Sarıaltın and Christian Zidorn
Molecules 2026, 31(1), 19; https://doi.org/10.3390/molecules31010019 - 20 Dec 2025
Viewed by 477
Abstract
Gelasia tomentosa (L.) Zaika, Sukhor. & N.Kilian which is known formerly as Scorzonera tomentosa L., a wild edible plant species in Turkey, is traditionally used against rheumatism and for wound healing. In this study, we explore its anti-inflammatory compounds, evaluating effectiveness through human [...] Read more.
Gelasia tomentosa (L.) Zaika, Sukhor. & N.Kilian which is known formerly as Scorzonera tomentosa L., a wild edible plant species in Turkey, is traditionally used against rheumatism and for wound healing. In this study, we explore its anti-inflammatory compounds, evaluating effectiveness through human red blood cell stabilization and in silico models, alongside physico-chemical and pharmacokinetic profiles. In vitro activity-guided fractionation allowed the isolation of sixteen compounds from the aerial parts of G. tomentosa, which were identified as hyperoside (1), isoquercetin (2), quercetin 3-O-β-apiofuranosyl-(1→2)-β-galactopyranoside (3), quercetin 3-O-β-apiofuranosyl-(1→2)-β-glucopyranoside (4), 7-methoxyapigenin-6-C-β-apiofuranosyl-(1→2)-β-glucopyranoside (5), apigenin-6-C-β-apiofuranosyl-(1→2)-β-glucopyranoside (6), dihydrodehydrodiconiferyl-alcohol-4-O-β-glucopyranoside (7), cichoriin (8), 7-O-methylisoorientin (9), isoorientin (10), swertisin (11), 3,5-O-dicaffeoylquinic acid methyl ester (12), 4,5-O-dicaffeoylquinic acid methyl ester (13), staphylinioside E (14), 3,5-O-dicaffeoylquinic acid (15), and 4,5-O-dicaffeoylquinic acid (16). Compound 16 displayed the highest potential anti-inflammatory activity (IC50 = 0.55 ± 0.00 mg/mL). However, the fraction with compounds displayed stronger biological activity than the isolated ones. In silico findings supported the anti-inflammatory potential, enhancing TP53 expression and cell membrane protection. Cichoriin (8) and staphylinioside E (14) are in accordance with Lipinski’s, Pfizer’s, GSK’s, and Golden Triangle rules, indicating a favorable ADME profile as a drug candidate. Further studies are needed to test this potential in specific inflammation models. Full article
(This article belongs to the Special Issue Natural Products with Pharmaceutical Activities, 2nd Edition)
Show Figures

Figure 1

29 pages, 43421 KB  
Article
From Microbiota to Metabolomics: How Corylus heterophylla Fisch. Male Flower Extract Shields Mice from Cognitive Decline
by Wei Lu, Yujie Li, Xinyuan Liao, Han Hu, Bolin Zhang, Lisong Liang and Haina Gao
Nutrients 2025, 17(24), 3958; https://doi.org/10.3390/nu17243958 - 18 Dec 2025
Cited by 1 | Viewed by 555
Abstract
Background/Objectives: Emerging evidence suggests that hippocampal neuroinflammation (HNF) drives cognitive decline via dysregulation of the microbiota-gut-brain axis. Corylus heterophylla Fisch. male flower extract (CFE), a flavonoid-rich by-product of hazelnut processing, presents a promising yet unexplored neuroprotective candidate. This study investigated the preventive effects [...] Read more.
Background/Objectives: Emerging evidence suggests that hippocampal neuroinflammation (HNF) drives cognitive decline via dysregulation of the microbiota-gut-brain axis. Corylus heterophylla Fisch. male flower extract (CFE), a flavonoid-rich by-product of hazelnut processing, presents a promising yet unexplored neuroprotective candidate. This study investigated the preventive effects and mechanisms of CFE against HNF-induced cognitive decline. Methods: In the present study, mice were pretreated with CFE (200 mg/kg) before the Lipopolysaccharide (LPS) administration. Cognitive function, inflammation, core pathology, neuroplasticity, gut microbiota and serum metabolites were assessed. The chemical composition of CFE was analyzed by UHPLC-MS and its direct immunomodulatory effects were investigated in BV2 cells. Results: Behavioral assessments demonstrated significant therapeutic efficacy. This was evidenced by the recovery from hippocampal damage, accompanied by reduced levels of core pathological markers (Aβ1–42, Tau, p-Tau (Ser404), GSK-3β), decreased expression of pro-inflammatory mediators including IL-33, elevated levels of neurotrophic factors (BDNF and MAP2), and attenuated abnormal activation of astrocytes and microglia. The 16S rRNA analysis confirmed that CFE ameliorated gut microbial dysbiosis. Notably, CFE significantly increased the relative abundance of Muribaculaceae and Lachnospiraceae, while significantly decreased Staphylococcus and Helicobacter. Metabolomics revealed enhanced levels of α-linolenic acid (ALA), serotonin (5-HT) and acetic acid, which correlated positively with Muribaculaceae and Lachnospiraceae. Phytochemical analysis identified luteolin and kaempferol as the predominant flavonoids in CFE. In BV2 cells, CFE, luteolin and kaempferol shifted microglial polarization from the M1 phenotype toward the M2 phenotype. Conclusions: CFE alleviated HNF-induced cognitive decline by regulating microbiota-gut-brain axis and microglial M1/M2 polarization. Full article
(This article belongs to the Special Issue Effects of Plant Extracts on Human Health—2nd Edition)
Show Figures

Figure 1

22 pages, 4620 KB  
Article
Molecular Mechanisms and Antidiabetic Effects of Mango (Mangifera indica) Leaf Extract as a GLP-1 Analogue in Type 2 Diabetic Rats
by Amporn Jariyapongskul, Pornthip Boonsri, Itthipol Sungwienwong, Kulvadee Dolsophon, Nuttapon Apiratikul, Piyada Jittangprasert, Pornnapa Sitthisuk, Ruttachuk Rungsiwiwut, Siritron Samosorn, Sunit Suksamrarn and Ramida Watanapokasin
Int. J. Mol. Sci. 2025, 26(24), 12149; https://doi.org/10.3390/ijms262412149 - 17 Dec 2025
Viewed by 693
Abstract
This study investigated the potential of scale-up mango leaf extract (MLE) as a treatment for diabetes, a global public health concern. MLE was prepared by boiling in water, yielding 12.07% (w/w), with a bioactive mangiferin content of 165.67 ± [...] Read more.
This study investigated the potential of scale-up mango leaf extract (MLE) as a treatment for diabetes, a global public health concern. MLE was prepared by boiling in water, yielding 12.07% (w/w), with a bioactive mangiferin content of 165.67 ± 10.88 μg/g in the crude powder. Mechanistically, MLE demonstrated a hypoglycemic effect by stimulating glucagon-like peptide-1 (GLP-1) secretion in NCI-H716 L-cells. This occurred through activation of the MAPK signaling pathway, evidenced by increased p-ERK1/2, p-p38, and p-c-Jun expression, and the Wnt signaling pathway, shown by increased β-catenin and decreased GSK-3β and Axin1 expression, consistent with molecular docking. In a type 2 diabetic rat model, MLE administration (40 mg/kg) significantly reduced metabolic parameters, including fasting blood glucose (FBG), body weight, cholesterol (CHOL), triglycerides (TGs), and HbA1c. Notably, MLE lowered serum insulin and the HOMA-IR index, and reduced serum dipeptidyl peptidase-IV (DPP-IV) levels, resulting in increased serum GLP-1, comparable to the drug sitagliptin. These findings suggest that MLE has great potential to lower blood glucose by inducing GLP-1 secretion via MAPKs and Wnt signaling pathways, positioning it as a promising candidate for alternative diabetes treatment or development as a dietary supplement. Full article
(This article belongs to the Section Bioactives and Nutraceuticals)
Show Figures

Figure 1

16 pages, 1379 KB  
Article
The Impact of Decreased GSK3β and S6K1 Expression in TNBC Patients
by Tijana Tomić, Mirjana Prvanović, Jovan Jevtić, Blagoje Murganić, Nejla Ademović, Milica Nedeljković, Irena Jovanić, Nikola Tanić and Nasta Tanić
Life 2025, 15(12), 1917; https://doi.org/10.3390/life15121917 - 15 Dec 2025
Viewed by 349
Abstract
Breast cancer is the most frequent and lethal type of cancer that affects women worldwide. Triple-negative breast cancer (TNBC) is the most aggressive type of breast cancer, having high rate of recurrence, metastasis, and mortality, with very limited options for treatment, and a [...] Read more.
Breast cancer is the most frequent and lethal type of cancer that affects women worldwide. Triple-negative breast cancer (TNBC) is the most aggressive type of breast cancer, having high rate of recurrence, metastasis, and mortality, with very limited options for treatment, and a tendency to develop resistance to conventional therapy. These circumstances mean that it is necessary to develop effective therapies for TNBC patients which would circumvent resistance mechanisms. The PAM and Wnt signaling pathways are among those responsible for therapy resistance in TNBC, as they also have major roles in different cellular processes such as metabolism, proliferation, metastasis, stemness, and survival. We analysed the expression of GSK3β and S6K1 as interacting components of the two pathways in order to examine the relation between them and determine whether they could be used as predictive markers in TNBC. The expression of mRNA was examined with real-time PCR and protein expression with immunohistochemistry. Our results showed that protein expression is in line with mRNA expression. We found a positive correlation between the mRNA expressions of GSK3β and S6K1, showing their coordinated transcription. We also showed that their simultaneous low expression is unfavorable for TNBC patients and could possibly be used as a predictive marker. Full article
(This article belongs to the Special Issue Regulation of Cellular Signaling Pathways in the Metabolic Syndrome)
Show Figures

Figure 1

Back to TopTop