Sign in to use this feature.

Years

Between: -

Subjects

remove_circle_outline
remove_circle_outline
remove_circle_outline
remove_circle_outline
remove_circle_outline
remove_circle_outline
remove_circle_outline
remove_circle_outline
remove_circle_outline

Journals

Article Types

Countries / Regions

Search Results (145)

Search Parameters:
Keywords = grafted polypropylenes

Order results
Result details
Results per page
Select all
Export citation of selected articles as:
17 pages, 3528 KB  
Article
Functionalization of Polypropylene Films with 2-(Diethylamino)ethyl Methacrylate for Dual Stimuli-Responsive Drug Loading and Release Studies
by José M. Pérez-Larios, Miguel S. Pérez-Garibay and Emilio Bucio
Polymers 2026, 18(1), 68; https://doi.org/10.3390/polym18010068 - 26 Dec 2025
Viewed by 257
Abstract
This research involved functionalizing polypropylene (PP) films with 2-(Diethylamino)ethyl methacrylate (DEAEM), a monomer that responds to both temperature and pH. For this, Gamma-ray irradiation was used at a dose rate of 11.75 kGy h−1, doses ranging from 30 to 100 kGy, [...] Read more.
This research involved functionalizing polypropylene (PP) films with 2-(Diethylamino)ethyl methacrylate (DEAEM), a monomer that responds to both temperature and pH. For this, Gamma-ray irradiation was used at a dose rate of 11.75 kGy h−1, doses ranging from 30 to 100 kGy, and a monomer concentration of 50% (v/v). The modified films (PP-g-DEAEM) were characterized by thermal analysis, FTIR-ATR, swelling, and contact angle. Confirming that the films were successfully grafted with DEAEM, improving the wettability of the pristine PP films, with a critical pH of 5.6 and a temperature response at 45.7 °C. Subsequently, the films were subjected to ciprofloxacin loading and release, and their in vitro efficacy against the E. coli strain was assessed using the Kirby-Bauer method. This work suggests potential applications in biomedical devices; however, further studies are needed. Full article
(This article belongs to the Section Polymer Analysis and Characterization)
Show Figures

Figure 1

17 pages, 7009 KB  
Article
Performance Degradation Mechanism of Hemp Fiber-Reinforced Polypropylene Composites Under Accelerated Aging
by Wei Guo, Xiaorui Liu, Feng Zhao, Huayao Huang and Bo Li
Polymers 2025, 17(24), 3309; https://doi.org/10.3390/polym17243309 - 14 Dec 2025
Viewed by 283
Abstract
In the context of increasing resource scarcity and environmental concerns, the development of green composite materials is essential for promoting sustainability in the automotive industry. However, poor interfacial compatibility between plant fibers and polypropylene (PP), as well as the performance deterioration under complex [...] Read more.
In the context of increasing resource scarcity and environmental concerns, the development of green composite materials is essential for promoting sustainability in the automotive industry. However, poor interfacial compatibility between plant fibers and polypropylene (PP), as well as the performance deterioration under complex environmental aging conditions, severely limits their engineering applications. In this study, a synergistic interfacial modification strategy combining alkali treatment of hemp fibers (HFs) with polypropylene grafted maleic anhydride (PP-g-MAH) was employed to enhance fiber–matrix interaction. Hemp fiber-reinforced polypropylene composites (HFRPs) with varying fiber contents (7.5–30 wt%) were fabricated via injection molding. Accelerated aging tests were conducted on the compatibilized HFRPs for up to 2400 h under ultraviolet–thermal–moisture coupled conditions, in accordance with the SAE J2527 standard. The evolution of surface color, mechanical properties, chemical structure, and microstructure was systematically characterized. After aging, surface whitening of the composites was observed. Tensile strength and impact strength decreased by 9.57–22.12% and 38.68–46.03%, respectively, while flexural strength remained relatively stable due to the supporting effect of the fiber skeleton. The aging of compatibilized HFRPs follows an outside-in progressive degradation mechanism, characterized by a stepwise cascade of surface oxidation, crack propagation, moisture ingress, interfacial degradation, and mechanical performance deterioration. These findings offer valuable insights into the long-term durability of natural fiber-reinforced thermoplastic composites and provide theoretical and practical guidance for their structural design and application in demanding service environments. Full article
Show Figures

Figure 1

15 pages, 2388 KB  
Article
Sustainable Composites from Recycled Polypropylene and Hazelnut Shell Flour for Application in Irrigation Systems
by Francesco Paolo La Mantia, Roberto Scaffaro, Giuseppe Balsamo, Carmelo Giuffré, Erica Gea Rodi, Simone Corviseri and Maria Clara Citarrella
Polymers 2025, 17(23), 3207; https://doi.org/10.3390/polym17233207 - 1 Dec 2025
Viewed by 370
Abstract
The irrigation sector urgently needs more eco-sustainable materials able to guarantee the same performance as traditional fittings manufactured from virgin fossil-based polymers. In this study, sustainable composites were developed by melt-compounding virgin and recycled polypropylene (RPP) with hazelnut shell (HS) powder with or [...] Read more.
The irrigation sector urgently needs more eco-sustainable materials able to guarantee the same performance as traditional fittings manufactured from virgin fossil-based polymers. In this study, sustainable composites were developed by melt-compounding virgin and recycled polypropylene (RPP) with hazelnut shell (HS) powder with or without maleic-anhydride-grafted polypropylene (PPC) coupling agent. The materials were characterized by a rheological and mechanical point of view. At high shear rates, the viscosity curves of matrices and composites converge, making the difference between neat and filled systems negligible in terms of processability. This indicates that standard injection-molding parameters used for the neat matrices can also be applied to the composites without significant adjustments. Tensile tests showed that adding 10 wt% HS powder increased the elastic modulus by approximately 30% (from 960 MPa to 1.2 GPa) while reducing elongation at break by about 90% compared with neat RPP. The use of PPC mitigated this loss of ductility, partially restoring tensile strength and increasing EB from 6% to 18% in RPP-based composites (+200%). Finally, sleeve bodies and nuts injection-molded from RPP/HS5 and RPP/HS5/PPC successfully resisted internal water pressure up to 3.5 bar without leakage or structural damage. These findings demonstrate that agro-industrial waste can be effectively valorized as a functional filler in recycled polypropylene, enabling the manufacture of irrigation fittings with mechanical and processing performances comparable to those of virgin PP and supporting the transition toward a circular economy. Full article
Show Figures

Figure 1

19 pages, 2456 KB  
Article
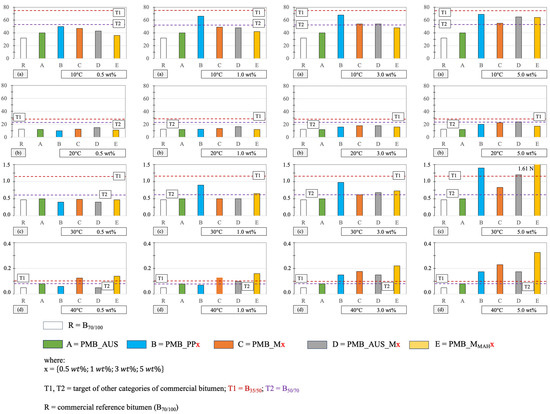
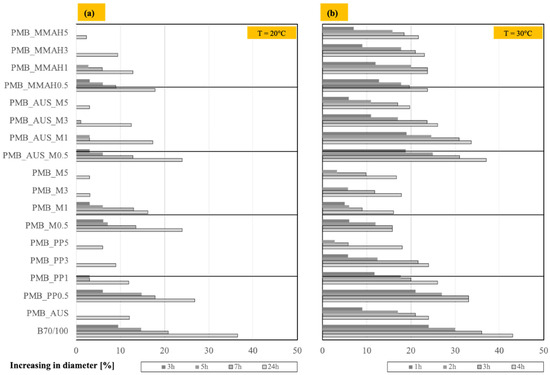
Valorization of Unused, Expired Surgical Masks in Polymer-Modified Bitumens Using Maleic Anhydride as a Compatibilizer
by Paola Scarfato, Sabino De Gisi, Annalisa Apicella, Marinella Levi, Nadka Tz. Dintcheva and Loredana Incarnato
Polymers 2025, 17(23), 3110; https://doi.org/10.3390/polym17233110 - 23 Nov 2025
Viewed by 425
Abstract
In this study, polypropylene (PP) recovered from unused, expired surgical masks was evaluated as a substitute for virgin PP in polymer-modified bitumen (PMB). Unlike previous studies that incorporated whole masks or mixed polymer residues into bitumen, this work focuses specifically on recovering and [...] Read more.
In this study, polypropylene (PP) recovered from unused, expired surgical masks was evaluated as a substitute for virgin PP in polymer-modified bitumen (PMB). Unlike previous studies that incorporated whole masks or mixed polymer residues into bitumen, this work focuses specifically on recovering and functionalizing the polypropylene layers of surgical masks to directly replace virgin PP in PMB formulations. To improve the compatibility between PP and the bituminous matrix, maleic anhydride (MAH) and a maleic anhydride-grafted compatibilizer (AUS) were incorporated through different blending strategies. Five PMB formulations (0.5–5 wt.% polymer content) were prepared from B70/100 reference bitumen. ATR/FT-IR confirmed the absence of thermo-oxidative degradation during mixing. Viscosity, penetration force and softening behaviour tests at 10–40 °C identified the MAH-functionalized mask-derived PP (PMB_MMAH) as the best-performing formulation. Compared to the base bitumen, this formulation increased the softening point by ~10–15 °C, raised viscosity by ~20–30%, and reduced penetration by up to 25%. These results demonstrate that mask-derived PP can provide a sustainable alternative to virgin PP while ensuring comparable or improved technical performance. Further studies will evaluate long-term ageing behaviour and environmental impact. Full article
(This article belongs to the Section Circular and Green Sustainable Polymer Science)
Show Figures

Figure 1

17 pages, 4950 KB  
Article
Enhancing the Performance of Polypropylene/High-Density Polyethylene Blends by the Use of a Compatibilizer and Montmorillonite Nanoparticles
by Georgios Moraitis and Petroula A. Tarantili
Appl. Sci. 2025, 15(22), 11998; https://doi.org/10.3390/app152211998 - 12 Nov 2025
Viewed by 550
Abstract
Nanocomposites composed of compatibilized polyolefin blends and organically modified montmorillonite (OMMT) nanoparticles were produced through melt mixing using a twin-screw extruder. High-density polyethylene (HDPE) and polypropylene (PP) blends were compatibilized with maleic anhydride-grafted PE compatibilizer (COMP). Blends with a 10/25 (w/ [...] Read more.
Nanocomposites composed of compatibilized polyolefin blends and organically modified montmorillonite (OMMT) nanoparticles were produced through melt mixing using a twin-screw extruder. High-density polyethylene (HDPE) and polypropylene (PP) blends were compatibilized with maleic anhydride-grafted PE compatibilizer (COMP). Blends with a 10/25 (w/w) HDPE/PP content were prepared and were reinforced with 1, 2, and 3 phr OMMT. Characterization of nanocomposites was performed using X-ray diffraction (XRD), Thermogravimetric Analysis (TGA), Differential Scanning Calorimetry (DSC), Tensile Testing, and Melt Flow Index (MFI) measurements. Preparation of polyolefin blend/OMMT nanocomposites with a twin-screw extruder was successful at low clay levels (1 phr). These nanocomposites presented increased onset temperature of thermal degradation, crystallinity, and stiffness, whereas their MFI values were lower than those of the pure matrix. Full article
Show Figures

Figure 1

21 pages, 3521 KB  
Article
Valorisation of Recycled Cotton as Reinforcement in Recycled Polypropylene Composites
by Mariana Ichim, Emil Ioan Muresan, Gabriela Lisa, Florin Ciolacu and Adrian Cătălin Puițel
Textiles 2025, 5(4), 57; https://doi.org/10.3390/textiles5040057 - 11 Nov 2025
Viewed by 769
Abstract
The continuous rise in textile waste, driven by global population growth and the proliferation of fast fashion, has raised concerns about its efficient recycling and sustainable management. This study aims to assess the feasibility of recycling textile waste by incorporating recycled cotton fibres [...] Read more.
The continuous rise in textile waste, driven by global population growth and the proliferation of fast fashion, has raised concerns about its efficient recycling and sustainable management. This study aims to assess the feasibility of recycling textile waste by incorporating recycled cotton fibres as reinforcement in polypropylene-based composites. Specifically, it examines the mechanical, thermal, and chemical properties of composites composed of 50% recycled polypropylene and 50% reinforcing fibres (either virgin or recycled cotton), with and without the addition of 5% maleic anhydride-grafted polypropylene as a compatibilizer to enhance fibre-matrix adhesion. Although the use of recycled cotton as reinforcement reduced the mechanical properties of the composite material, the addition of 5% compatibilizer improved these properties to levels comparable to those of composite reinforced with virgin cotton. Full article
Show Figures

Figure 1

24 pages, 8420 KB  
Article
Energy Landscape-Guided Virtual Screening of Side-Chain Engineering in Polymer Dynamics Design
by Han Liu, Sen Meng and Liantang Li
Polymers 2025, 17(17), 2298; https://doi.org/10.3390/polym17172298 - 25 Aug 2025
Viewed by 828
Abstract
Side-chain engineering is versatile for tuning the chain mobility of graft polymers and governs their thermal stability. However, it remains elusive to predict the graft effect on chain mobility, especially for competitive side-chain types. Here, relying on molecular dynamics simulation and energy landscape [...] Read more.
Side-chain engineering is versatile for tuning the chain mobility of graft polymers and governs their thermal stability. However, it remains elusive to predict the graft effect on chain mobility, especially for competitive side-chain types. Here, relying on molecular dynamics simulation and energy landscape theory, we introduce a three-stage virtual pipeline to sequentially refine the screening of graft chain mobility while minimizing computation cost, by taking the example of grafting similar side-chain types (hydroxyethyl methacrylate (HEMA), methyl methacrylate (MMA), and vinyl acetate (VAC)) onto amorphous polypropylene (PP). Ascribed to their structural similarity, these graft systems exhibit a non-evident chain mobility distinction, with the atom displacement—governing the local “roughness” in potential energy landscape (PEL)—exhibiting only weak-to-modest correlation with their initial atomic energy, volume, and stress. This necessitates the subsequent-stage screening for broader PEL navigation, which confirms a stability and roughness rank of VAC ≥ MMA > HEMA > PP, with their chain activation energy revealing that these side chains enhance the PEL roughness through a counterbalance between possibly lowering the overall energy barrier but extensively wrinkling the landscape. Overall, the three-stage screening establishes a state-of-the-art efficient strategy to evaluate thermal stability of graft polymers in stepwise higher precision from local to ergodic roughness inspection. Full article
Show Figures

Figure 1

10 pages, 1885 KB  
Article
Plasma-Induced Amino HBP/Ag Nanoparticle-Grafted PP Melt-Blown Nonwoven Fabric and Its Antibacterial Performance
by Hongxia Chen, Wei Zhang, Weidong Gao and Guangyu Zhang
Coatings 2025, 15(8), 947; https://doi.org/10.3390/coatings15080947 - 13 Aug 2025
Viewed by 728
Abstract
In this work, polypropylene (PP) melt-blown nonwoven fabric was used as a raw material, which was plasma-treated and grafted with HBP/Ag nanoparticle (NP) solution. The surface wettability, surface morphology, and surface element composition after the treatment were evaluated through a contact angle test, [...] Read more.
In this work, polypropylene (PP) melt-blown nonwoven fabric was used as a raw material, which was plasma-treated and grafted with HBP/Ag nanoparticle (NP) solution. The surface wettability, surface morphology, and surface element composition after the treatment were evaluated through a contact angle test, field emission scanning electron microscopy (FE-SEM), energy-dispersive spectrometer (EDS), and Fourier transform infrared spectroscopy (FTIR), respectively. The antibacterial activity of PP fabrics treated with Ag NPs against Escherichia coli (E. coli) and Staphylococcus aureus (S. aureus) was measured. SEM and EDS results showed that Ag NPs were evenly dispersed on the surface of the PP fabrics. The PP fabrics treated with Ag NPs exhibited excellent antibacterial performance. Full article
(This article belongs to the Special Issue Recent Progress on Functional Films and Surface Science)
Show Figures

Graphical abstract

18 pages, 1272 KB  
Article
Novel Flame-Retardant Wood-Polymer Composites by Using Inorganic Mineral Huntite and Hydromagnesite: An Aspect of Application in Electrical Engineering
by Gül Yılmaz Atay, Jacek Lukasz Wilk-Jakubowski and Valentyna Loboichenko
Materials 2025, 18(11), 2652; https://doi.org/10.3390/ma18112652 - 5 Jun 2025
Cited by 2 | Viewed by 986
Abstract
In this study, a flame-retardant wood-polymer composite was produced using huntite-hydromagnesite mineral, recognized for its non- flammability properties. In this context, wood-polymer composites were produced with the co-rotating twin-screw extrusion technique, while polypropylene was applied as the composite matrix, medium density fiberboard waste [...] Read more.
In this study, a flame-retardant wood-polymer composite was produced using huntite-hydromagnesite mineral, recognized for its non- flammability properties. In this context, wood-polymer composites were produced with the co-rotating twin-screw extrusion technique, while polypropylene was applied as the composite matrix, medium density fiberboard waste and inorganic huntite-hydromagnesite mineral were used as the reinforcement material. The proportion of wood powder additives was changed to 10% and 20%, and the huntite and hydromagnesite ratio was changed to 30%, 40%, 50% and 60%. Maleic anhydride grafted polypropylene, i.e., MAPP, was applied as a binder at a rate of 3%. Polypropylene, wood fibers, mineral powders, and MAPP blended in the mixer were processed in the extruder and turned into granules. Structural, morphological, thermal, mechanical, and flame-retardant properties of the composites were analyzed using XRD, SEM, FTIR, TGA, tensile testing, and the UL-94 vertical flammability test. Test samples were prepared to evaluate the physical and mechanical properties with a compression molding machine. It was concluded that the composites gained significant flame retardancy with the addition of huntite hydromagnesite. The potential for using this material in various fields and its compliance with the principles of circular economy and the Sustainable Development Goals (SDG 12) were noted. Full article
(This article belongs to the Section Advanced Composites)
Show Figures

Graphical abstract

13 pages, 628 KB  
Article
Injection-Molded Jute Filler Composites Evaluated Against Stringent Requirements
by Savana Othman Mohammed, Alwand Osman, Faranak Bazooyar, Else-Marie Malmek, Thomas Koch Ecoist, Nowshir Fatima, Mikael Skrifvars and Pooria Khalili
J. Compos. Sci. 2025, 9(6), 255; https://doi.org/10.3390/jcs9060255 - 23 May 2025
Viewed by 1097
Abstract
This study investigates the mechanical, thermal, and liquid resistance properties of injection-molded composites made from recycled polypropylene (rPP) reinforced with jute fillers. Maleic anhydride-grafted polypropylene (MAPP) was used as a compatibilizer to enhance filler–matrix interfacial bonding. Tensile, flexural, and Charpy impact tests, along [...] Read more.
This study investigates the mechanical, thermal, and liquid resistance properties of injection-molded composites made from recycled polypropylene (rPP) reinforced with jute fillers. Maleic anhydride-grafted polypropylene (MAPP) was used as a compatibilizer to enhance filler–matrix interfacial bonding. Tensile, flexural, and Charpy impact tests, along with density measurements, heat deflection temperature (HDT) tests, and resistance to short-duration liquid contact, were conducted to evaluate the composites. Results indicate that the addition of jute powder significantly improved stiffness (Young’s modulus increased up to 233%) and thermal stability (HDT increased to 147 °C for rPP/J40/MAPP) while reducing impact toughness due to the brittle nature of jute fillers. MAPP-modified composites demonstrated enhanced tensile and flexural strength compared to unmodified counterparts, with tensile strength improving by approximately 23% for rPP/J30/MAPP. The composites exhibited excellent liquid resistance, showing no visible changes after exposure to various automotive and household fluids. Full article
(This article belongs to the Special Issue Functional Composites: Fabrication, Properties and Applications)
Show Figures

Figure 1

32 pages, 16345 KB  
Article
Surface Ion-Imprinted Polypropylene Fibers for Selective and Rapid Adsorption of Borate Ions: Preparation, Characterization, and Performance Study
by Hui Jiang, Xinchi Zong, Zhengwei Luo, Wenhua Geng and Jianliang Zhu
Polymers 2025, 17(10), 1368; https://doi.org/10.3390/polym17101368 - 16 May 2025
Viewed by 634
Abstract
This study presents a novel ion-imprinted fiber material, I-(PP-g-GMA-NMDG), designed for the rapid and selective adsorption of borate ions. Leveraging low-temperature plasma graft polymerization, polypropylene (PP) melt-blown fibers were functionalized with glycidyl methacrylate (GMA) and N-methyl-D-glucamine (NMDG) to introduce tailored [...] Read more.
This study presents a novel ion-imprinted fiber material, I-(PP-g-GMA-NMDG), designed for the rapid and selective adsorption of borate ions. Leveraging low-temperature plasma graft polymerization, polypropylene (PP) melt-blown fibers were functionalized with glycidyl methacrylate (GMA) and N-methyl-D-glucamine (NMDG) to introduce tailored recognition sites. Systematic optimization of plasma parameters (100 W discharge power, O2 atmosphere) and liquid-phase grafting conditions (28.5% GMA, 85 °C, 2.5 h) achieved a grafting rate of 203.26%. The imprinted fibers exhibited exceptional adsorption performance, with a maximum capacity of 35.85 mg/g at pH 9, reaching 90% saturation within 60 min. Adsorption kinetics adhered to a pseudo-second-order model, while the Freundlich isotherm indicated multilayer adsorption. Competitive ion experiments demonstrated high selectivity for B(OH)4 over anions (SO42− and Cl) and cations (Na+, K+, Ca2+, and Mg2+), which was attributed to the precise spatial and charge complementarity of the imprinted cavities. Characterization via FT-IR, XRD, and SEM confirmed successful synthesis and structural stability. The material retained 78.1% adsorption efficiency after five regeneration cycles, showcasing its practicality for boron recovery from wastewater. This work advances boron-selective adsorption technology by combining plasma modification with ion imprinting, offering a sustainable solution for industrial and environmental applications. Full article
(This article belongs to the Section Polymer Chemistry)
Show Figures

Figure 1

15 pages, 3312 KB  
Article
Recycling of Poly(Propylene) Based Car Bumpers in the Perspective of Polyolefin Nanoclay Composite Film Production
by Nemr El Hajj, Sylvain Seif and Nancy Zgheib
Recycling 2025, 10(3), 95; https://doi.org/10.3390/recycling10030095 - 10 May 2025
Viewed by 1669
Abstract
This study uses the melt compounding method to recycle polypropylene-based car bumper waste (PP-CBW) in order to produce nanocomposite films for mulch application. The nanocomposite films were compounded by mixing virgin linear low-density polyethylene (LLDPE) with PP-CBW at a constant ratio of 4:1 [...] Read more.
This study uses the melt compounding method to recycle polypropylene-based car bumper waste (PP-CBW) in order to produce nanocomposite films for mulch application. The nanocomposite films were compounded by mixing virgin linear low-density polyethylene (LLDPE) with PP-CBW at a constant ratio of 4:1 in the presence of different percentages of nanofillers. Nanocomposites reinforced with nanoclays were compatibilized with an anhydride grafted polyethylene (PE-g-MAH), at a constant compatibilizer-to-clay ratio equal to 3, to improve the adherence between the nonpolar matrix and the hydrophilic nanoclay and acrylic paint present in the car bumper. An extruder with a corotating twin screw was used to produce blends of different compositions. To create nanocomposite films, the mixtures were further processed in a blown film extruder. The effect of the presence of nanoclays on the barrier, thermal, and mechanical properties of the nanocomposite films was investigated. The dispersion of clay layers in the matrix was examined by atomic force microscopy (AFM). The results indicate that 3 wt% of clay loading maximized the tensile strength in the transverse direction (TD) and machine direction (MD). A 1 wt% clay loading increased the MD tear resistance by 66% and manifested an optimum dart impact strength. Significant improvements in thermal and barrier properties were also achieved in the presence of 3 wt% clay loading. Full article
(This article belongs to the Special Issue Challenges and Opportunities in Plastic Waste Management)
Show Figures

Graphical abstract

15 pages, 6869 KB  
Article
Study on the Space Charge Characteristics of Polypropylene Insulation Material Under a Polarity Reversal Electric Field
by Xinhua Dong, Guodong Bao and Wei Wang
Polymers 2025, 17(3), 430; https://doi.org/10.3390/polym17030430 - 6 Feb 2025
Cited by 3 | Viewed by 1516
Abstract
High-voltage (HV) cables may experience voltage polarity reversal during power adjustment, leading to the accumulation of space charges inside the insulation material and causing distortion of the internal electric field. To characterize the effect of grafting modification on the insulation properties of polypropylene [...] Read more.
High-voltage (HV) cables may experience voltage polarity reversal during power adjustment, leading to the accumulation of space charges inside the insulation material and causing distortion of the internal electric field. To characterize the effect of grafting modification on the insulation properties of polypropylene (PP), various electrical properties were characterized. The results show that grafting modification can significantly improve the electrical properties of PP, with PPG-2 exhibiting the best electrical properties. Compared with PP, the breakdown strength of PPG-2 is increased by 39.27%, and the critical electric field is increased by 36.52%. Meanwhile, the charge accumulation inside the PPG-2 is extremely small after voltage polarity reversal. The mechanism of grafting modification to enhance the electrical properties of PP was explained by analyzing the trap characteristics of the samples. This indicates that grafting modification introduces a large number of deep traps within PP, suppressing the injection and migration of charge carriers. The presence of deep traps weakens the charge accumulation and electric field distortion at the interface. In this paper, the optimal monomer and content of grafted PP were determined, and the insulation properties of the cable under operating conditions were analyzed. The research results offer practical guidance for the development of high-performance grafted PP cable insulation materials and the reliability of cable operation. Full article
Show Figures

Figure 1

16 pages, 5523 KB  
Article
Surface Modification of Intumescent Flame Retardant and Its Application in Polypropylene with Excellent Fire Performance and Water Resistance
by Xuqiang Zheng, Mike Deng, Hao Jia, Xinyu Chen, Ruicheng Wang, Jun Sun, Hongfei Li, Xiaoyu Gu and Sheng Zhang
Polymers 2025, 17(3), 399; https://doi.org/10.3390/polym17030399 - 2 Feb 2025
Cited by 2 | Viewed by 2300
Abstract
Polypropylene (PP) has a wide range of applications in daily life but it is highly flammable. Intumescent flame retardants (IFRs) are used to improve the flame-retardant performance of polypropylene. However, the poor compatibility between IFRs and PP poses significant challenges. In this study, [...] Read more.
Polypropylene (PP) has a wide range of applications in daily life but it is highly flammable. Intumescent flame retardants (IFRs) are used to improve the flame-retardant performance of polypropylene. However, the poor compatibility between IFRs and PP poses significant challenges. In this study, an IFR was reacted with γ-aminopropyl triethoxysilane (KH550) to introduce necessary reactive sites on the surface of the IFR. Subsequently, maleic anhydride-grafted SBS (SBS-g-MAH) was reacted with KH550 to further coat the IFR, resulting in a modified IFR named MA-IFR. The effects of MA-IFR on the flame retardancy, mechanical properties, and water resistance of PP composites were systematically investigated. The limiting oxygen index of the PP/MA-IFR composite reached up to 39.7%, with the vertical burning test (UL-94) achieving a V-0 rating. Moreover, compared to the control PP, the peak heat release rate and peak smoke release rate were reduced by 85.0% and 82.5%, respectively. In addition, the mechanical properties of the PP composites were significantly improved, with tensile strength and impact strength increasing by 29% and 18%, respectively, compared to those of the PP/IFR composite. Notably, the PP/MA-IFR composite maintained excellent flame retardancy, even after being immersed in water at 70 °C for 168 h. These results demonstrate that MA-IFR offers a promising solution for producing flame-retardant and water-resistant PP composites. Full article
Show Figures

Figure 1

17 pages, 8881 KB  
Article
Exploring the Synergistic Effect of Short Aramid Fibers and Graphene Nanoplatelets on the Mechanical and Dynamic Mechanical Properties of Polypropylene Composites Prepared via Thin-Plate Injection
by Andressa Antunes Carneiro, Iaci Miranda Pereira, Rafael Rodrigues Dias, Dionisio da Silva Biron, Heitor Luiz Ornaghi Júnior, Francisco Maciel Monticeli, Daiane Romanzini and Ademir José Zattera
Polymers 2025, 17(3), 374; https://doi.org/10.3390/polym17030374 - 30 Jan 2025
Cited by 1 | Viewed by 1585
Abstract
The present study aims to evaluate thin plate-injected polypropylene (PP) composites containing short aramid fibers (AF) and graphene nanoplatelets (GNPs). The aramid fibers were manually cut to a length of 10 mm and added to the polypropylene matrix at a concentration of 10 [...] Read more.
The present study aims to evaluate thin plate-injected polypropylene (PP) composites containing short aramid fibers (AF) and graphene nanoplatelets (GNPs). The aramid fibers were manually cut to a length of 10 mm and added to the polypropylene matrix at a concentration of 10 wt.%. Additionally, GNPs were incorporated at concentrations of 0.1, 0.25, and 0.5 wt.%. Maleic anhydride grafted polypropylene (MAPP) was used at a concentration of 2 wt.% to improve the adhesion and compatibility between the polymer matrix and the fillers. Thermal analyses, tensile and flexural tests, and dynamic mechanical thermal analysis were performed, followed by statistical analysis using ANOVA and Tukey’s test. The composites demonstrated significant improvements in storage and loss moduli compared to neat polypropylene. With the addition of AF and GNPs, tensile strength increased to 46.8 MPa, which represents a 265% enhancement compared to PP. Similarly, flexural strength reached 62.4 MPa, significantly higher than the 36.73 MPa for PP, particularly for the composite containing AF and 0.25 wt.% GNPs. The results presented in this study highlight the synergistic effect of aramid fibers and GNPs on PP. These improvements make the proposed composites highly promising for a range of applications, including ballistic interlayered aramid/thin-plate laminates. Full article
(This article belongs to the Special Issue Advances in Polymer/Graphene Composites and Nanocomposites)
Show Figures

Figure 1

Back to TopTop