Exploring the Synergistic Effect of Short Aramid Fibers and Graphene Nanoplatelets on the Mechanical and Dynamic Mechanical Properties of Polypropylene Composites Prepared via Thin-Plate Injection
Abstract
1. Introduction
2. Materials and Methods
2.1. Materials
2.2. Composition of the Prepared Samples
2.3. Sample Processing
2.4. Characterization of Polypropylene and Composites
3. Results and Discussion
3.1. Dynamic Mechanical Thermal Analysis (DMTA)
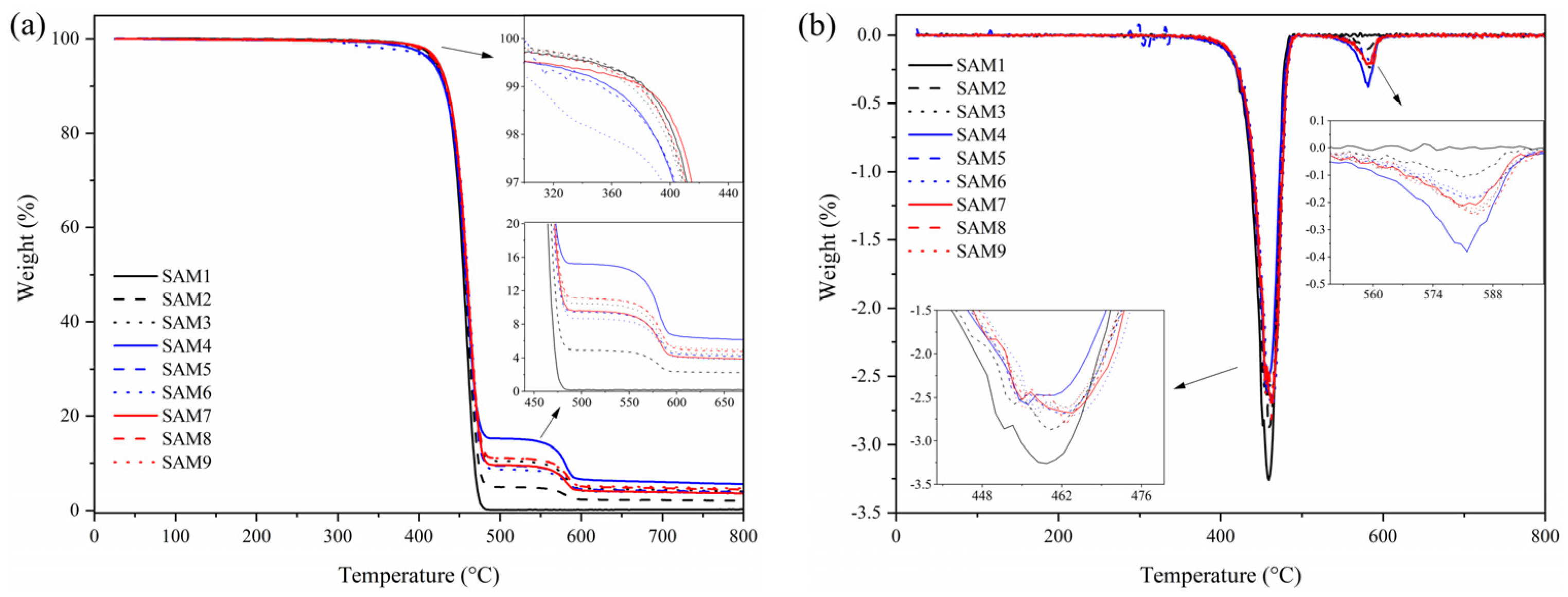
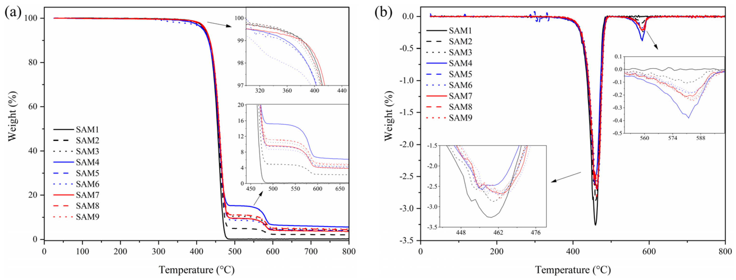
3.2. Thermogravimetric Analysis (TGA)
3.3. Differential Scanning Calorimetry (DSC)
3.4. Scanning Electron Microscopy (SEM)
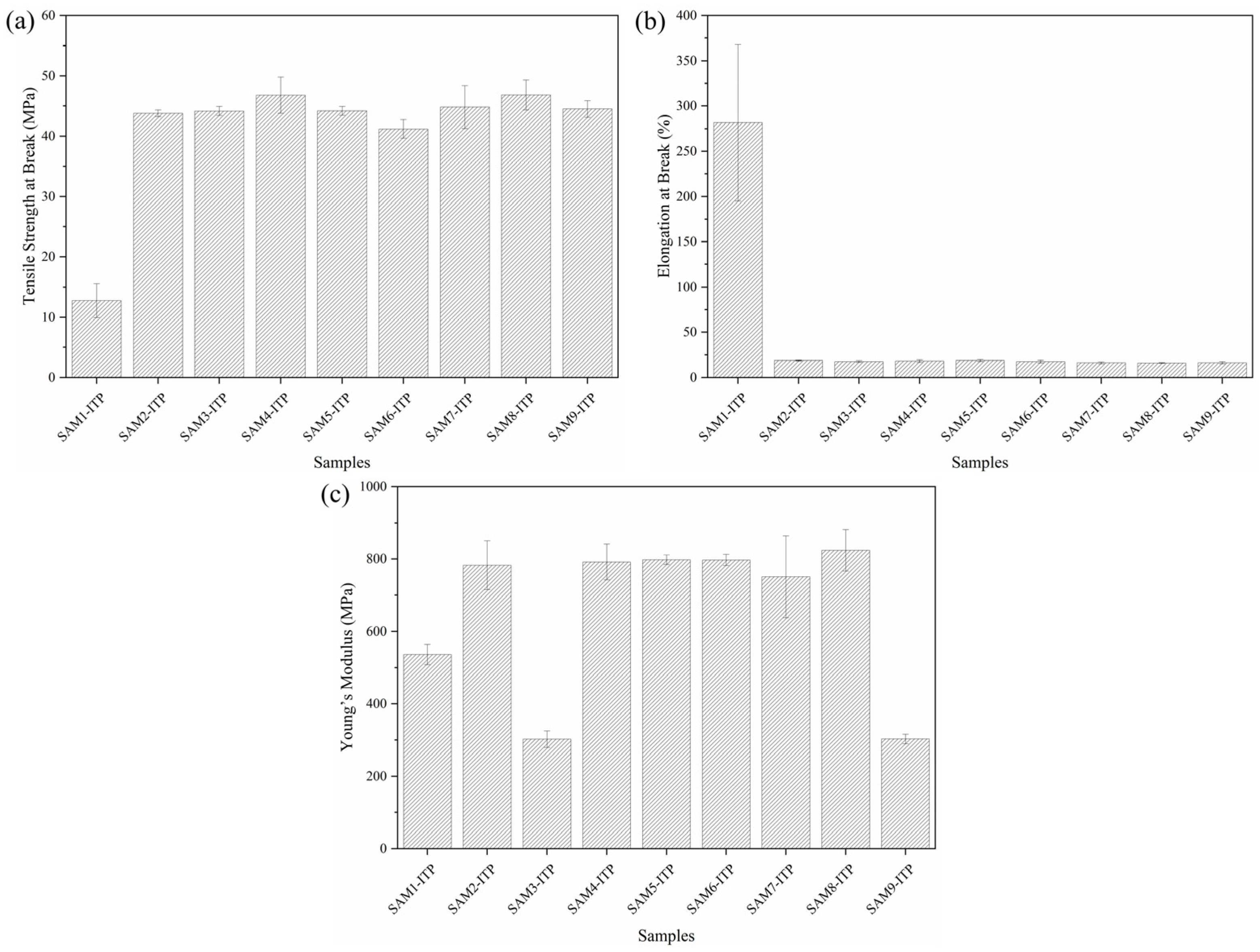
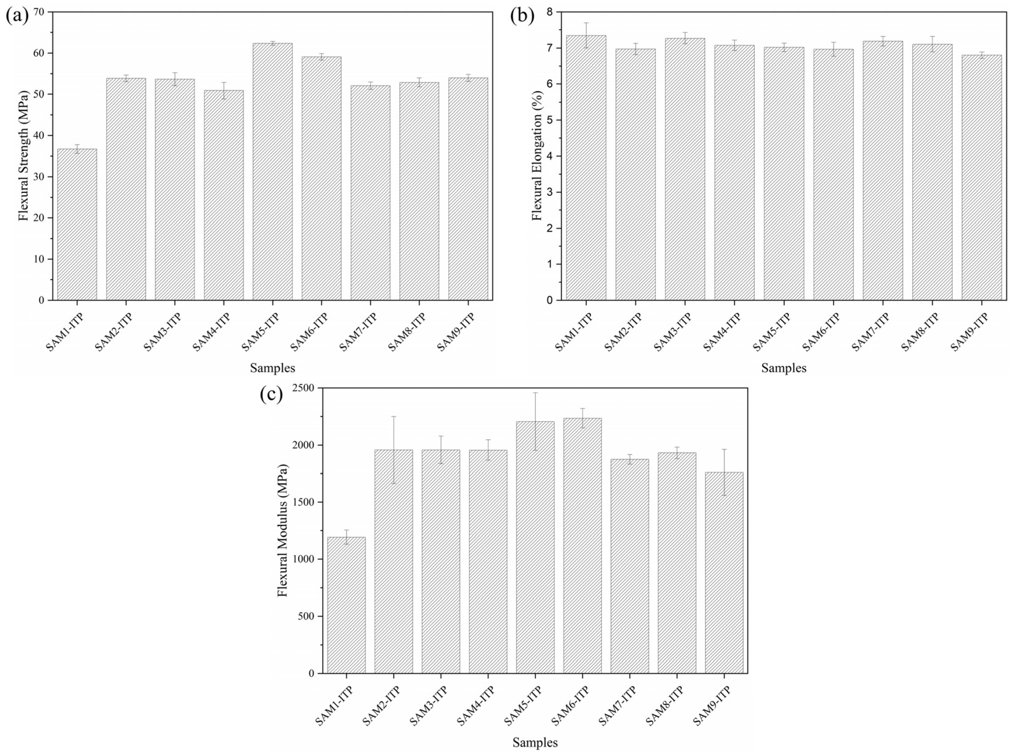
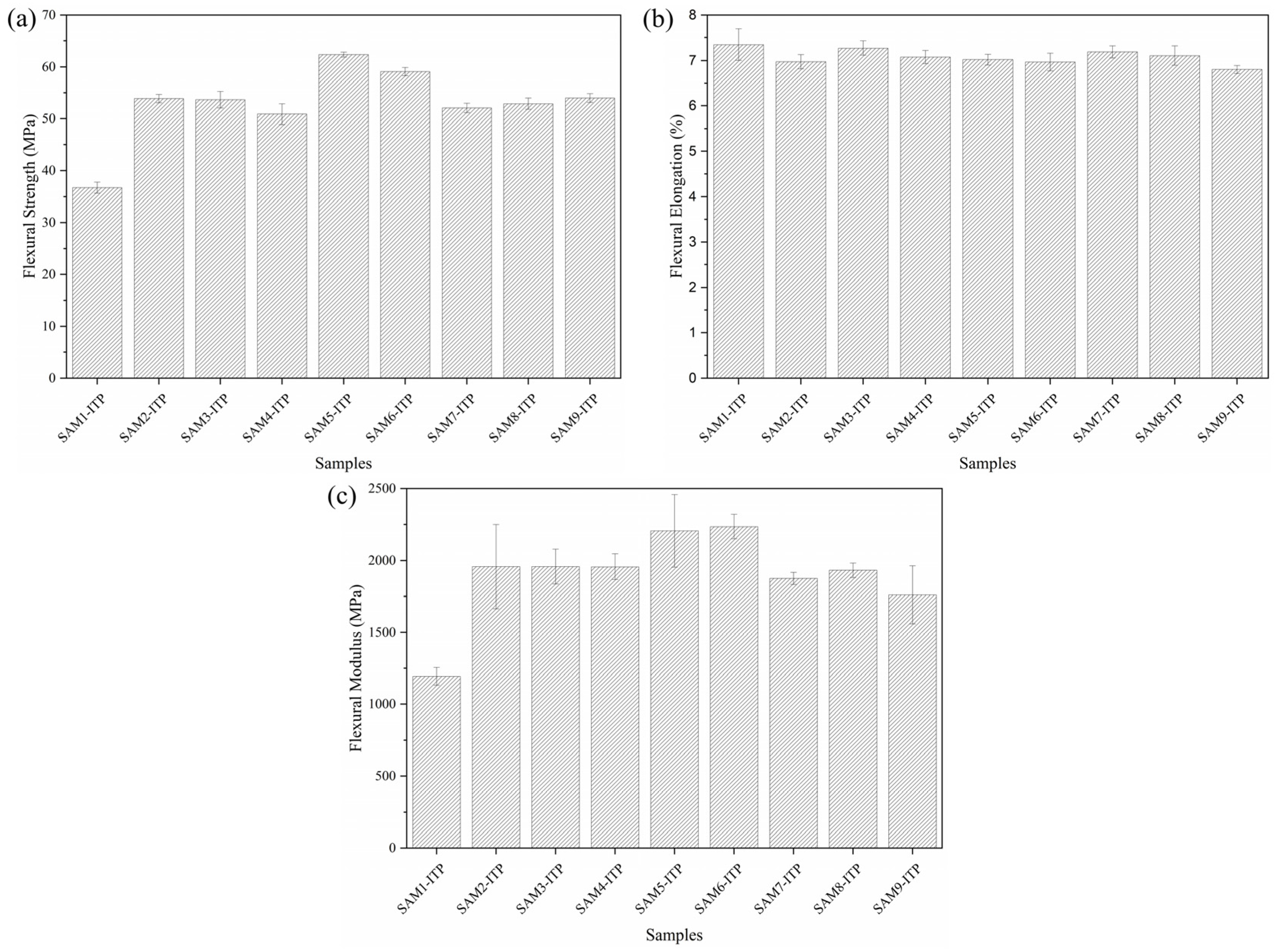
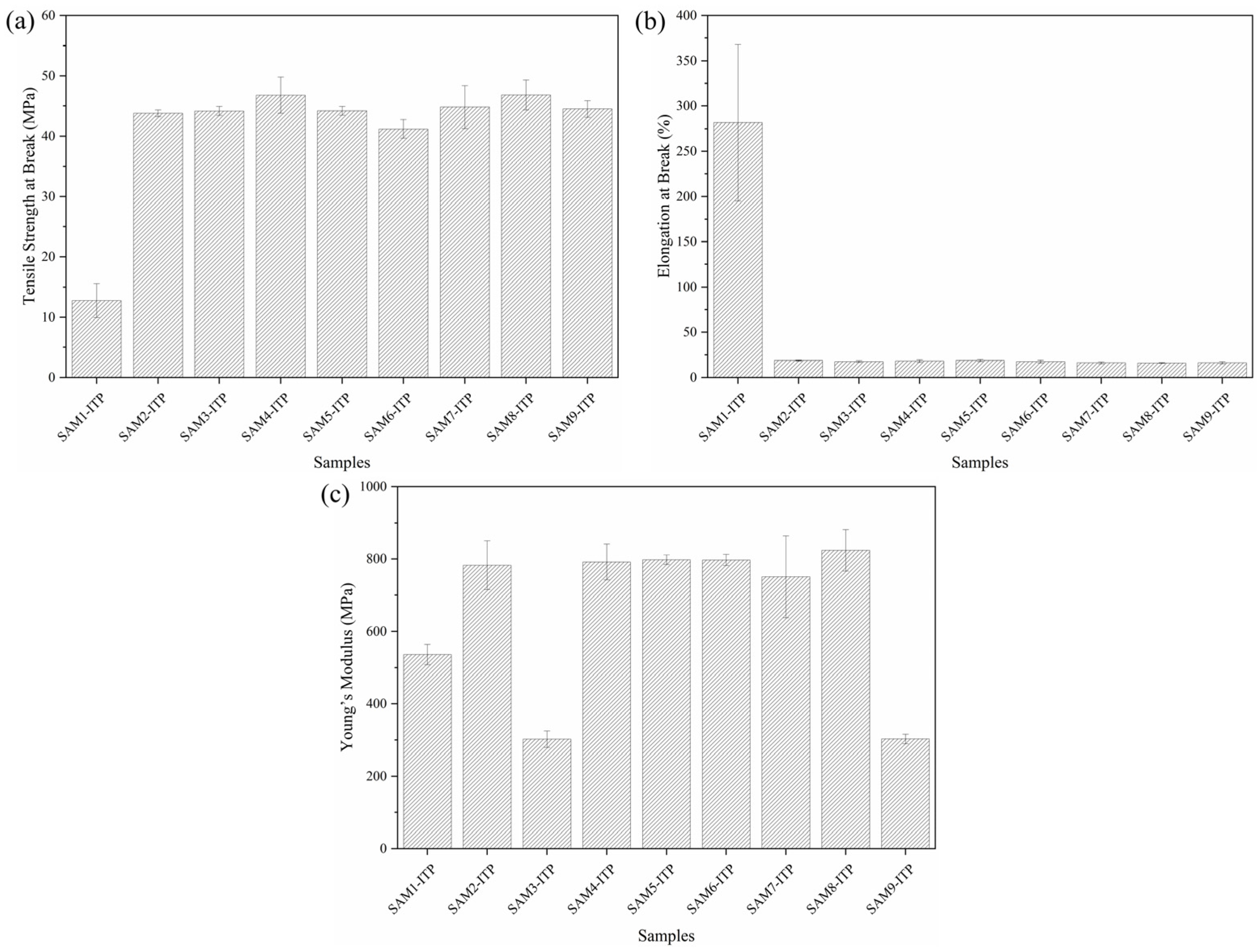
3.5. Mechanical Properties
4. Conclusions
Author Contributions
Funding
Institutional Review Board Statement
Data Availability Statement
Acknowledgments
Conflicts of Interest
References
- da Silva, H.S.P.; Ornaghi, H.L., Jr.; Almeida, J.H.S., Jr.; Zattera, A.J.; Amico, S.C. Mechanical behavior and correlation between dynamic fragility and dynamic mechanical properties of curaua fiber composites. Polym. Compos. 2014, 35, 1078. [Google Scholar] [CrossRef]
- Ari, A.; Bayram, A.; Karahan, M.; Karagöz, S. Comparison of the mechanical properties of chopped glass, carbon, and aramid fiber reinforced polypropylene. Polym. Polym. Compos. 2022, 30, 09673911221098570. [Google Scholar] [CrossRef]
- Maaza, L.; Djafri, F.; Belmokhtar, A.; Benyoucef, A.J. Evaluation of the influence of Al2O3 nanoparticles on the thermal stability and optical and electrochemical properties of PANI-derived matrix reinforced conducting polymer composites. Phys. Chem. Solids 2021, 152, 109970. [Google Scholar] [CrossRef]
- Akhyar; Gani, A.; Ibrahim, M.; Ulmi, F.; Farhan, A. The influence of different fiber sizes on the flexural strength of natural fiber-reinforced polymer composites. Results Mater. 2024, 21, 100534. [Google Scholar]
- Abu-Okail, M.; Alsaleh, N.A.; Farouk, W.M.; Elsheikh, A.; Abu-Oqail, A.; Abdelraouf, Y.A.; Ghafaar, M.A. Effect of dispersion of alumina nanoparticles and graphene nanoplatelets on microstructural and mechanical characteristics of hybrid carbon/glass fibers reinforced polymer composite. J. Mater. Res. Technol. 2021, 14, 2624. [Google Scholar] [CrossRef]
- Romanzini, D.; Lavoratti, A.; Ornaghi, H.L., Jr.; Amico, S.C.; Zattera, A.J. Influence of fiber content on the mechanical and dynamic mechanical properties of glass/ramie polymer composites. Mater. Des. 2013, 47, 9. [Google Scholar] [CrossRef]
- Lu, B.; Chung, T.C. Synthesis of maleic anhydride grafted polyethylene and polypropylene, with controlled molecular structures. J. Polym. Sci. A Polym. Chem. 2000, 38, 1337. [Google Scholar] [CrossRef]
- Al-Quraishi, K.K.; Wang, M.; Liang, J.; Jia, S.; Kauppila, W.; Wang, J.; Yang, Y. Strengthening the interface between individual aramid fibers and polymer at room and elevated temperatures. Mater. Today Commun. 2020, 24, 101254. [Google Scholar] [CrossRef]
- Wang, M.; Pan, Z.; Wu, Z.; Ying, Z. Effect of carbon/Kevlar asymmetric hybridization ratio on the low-velocity impact response of plain woven laminates. Compos. Struct. 2021, 276, 114574. [Google Scholar] [CrossRef]
- He, A.; Xing, T.; Shi, Z.; Zhang, Y.; Luo, Y.; Wang, M.; Huang, Z.; Qiao, S.; Tong, A.; Chen, S.; et al. Facile fabrication of multifunctional aramid fibers for excellent UV resistance in extreme environments. Mater. Des. 2024, 242, 112989. [Google Scholar] [CrossRef]
- Zhang, B.; Jia, L.; Tian, M.; Ning, N.; Zhang, L.; Wang, W. Surface and interface modification of aramid fiber and its reinforcement for polymer composites: A review. Eur. Polym. J. 2021, 147, 110352. [Google Scholar] [CrossRef]
- Gore, P.M.; Kandasubramanian, B. Functionalized aramid fibers and composites for protective applications: A review. Ind. Eng. Chem. Res. 2018, 57, 16537. [Google Scholar] [CrossRef]
- Mukherjee, M.; Kumar, S.; Bose, S.; Das, C.K.; Kharitonov, A.P. Study on the mechanical, rheological, and morphological properties of short Kevlar™ fiber/s-PS composites. Polym. Plast Technol. Eng. 2008, 47, 623. [Google Scholar] [CrossRef]
- Arı, A.; Bayram, A.; Karahan, M.; Arslan, O. Comparative evaluation of mechanical properties of short aramid fiber on thermoplastic polymers. Mater. Sci.-Pol. 2023, 41, 161. [Google Scholar] [CrossRef]
- Du, X.; Kong, H.; Xu, Q.; Li, B.; Yu, M.; Li, Z. Effects of aramid nanofibers on the mechanical properties of epoxy resin and improved adhesion with aramid fiber. Polym. Compos. 2022, 43, 2103. [Google Scholar] [CrossRef]
- Schneider, B.; Ornaghi, H.L., Jr.; Monticeli, F.M.; Romanzini, D. Effect of the Graphene Quantum Dot Content on the Thermal, Dynamic-Mechanical, and Morphological Properties of Epoxy Resin. Polymers 2023, 15, 4531. [Google Scholar] [CrossRef]
- Shtein, M.; Pri-Bar, I.; Varenik, M.; Regev, O. Characterization of graphene-nanoplatelets structure via thermogravimetry. Anal. Chem. 2015, 87, 4076. [Google Scholar] [CrossRef]
- Sutar, H.; Mishra, B.; Senapati, P.; Murmu, R.; Sahu, D.J. Mechanical, Thermal, and Morphological Properties of Graphene Nanoplatelet-Reinforced Polypropylene Nanocomposites: Effects of Nanofiller Thickness. Compos. Sci. 2021, 5, 24. [Google Scholar] [CrossRef]
- Tarani, E.; Papageorgiou, G.Z.; Bikiaris, D.N.; Chrissafis, K. Kinetics of crystallization and thermal degradation of an isotactic polypropylene matrix reinforced with graphene/glass-fiber filler. Molecules 2019, 24, 1984. [Google Scholar] [CrossRef]
- Papageorgiou, D.G.; Kinloch, I.A.; Young, R.J. Hybrid multifunctional graphene/glass-fibre polypropylene composites. Compos. Sci. Technol. 2016, 137, 44. [Google Scholar] [CrossRef]
- Dündar, G.Ş.; Okan, B.S. Utilizing Upcycled Graphene Nanoplatelet-Coated Glass Fibers as a Performance Booster and Compatibilizer for Enhanced Mechanical Performance of Polypropylene/Glass Fiber/Graphene Nanoplatelet Composites. ACS Omega 2024, 9, 17432. [Google Scholar]
- de Tomasi Tessari, B.; Vargas, N.; Dias, R.R.; Pereira, I.M.; Beltrami, L.V.R.; Lavoratti, A.; Poletto, M.; Zattera, A.J. Influence of the addition of graphene nanoplatelets on the ballistic properties of HDPE/ aramid multi-laminar composites. Polym.-Plast. Technol. Mater. 2022, 61, 363. [Google Scholar] [CrossRef]
- Junior, C.R.; Pereira, I.M.; Dias, R.R.; Romanzini, D.; Zattera, A.J. Mechanical, thermal, and dynamic compression of high-density polyethylene nanocomposites with graphene, montmorillonite, and calcium carbonate. Polym. Bull. 2024, 81, 9893. [Google Scholar] [CrossRef]
- Dias, R.R.; Zattera, A.J.; Pereira, I.M.; Soares, B.G. Ballistic impact performance of composite laminates based on high-density polyethylene/montmorillonite nanocomposite and Aramide fiber. Polym. Compos. 2021, 42, 5586. [Google Scholar] [CrossRef]
- Savini, G.; Oréfice, R.L. Super ductility in HDPE/EVA blends triggered by synthetic amorphous nanotalc. J. Polym. Res. 2021, 28, 19. [Google Scholar] [CrossRef]
- Howe, D.V. Polymer Data Handbook; Mark, J.E., Ed.; Oxford University Press: Oxford, UK, 1999; Volume 1, p. 780. [Google Scholar]
- The Jamovi Project. Jamovi. 2022. Available online: https://www.jamovi.org/ (accessed on 10 January 2025).
- Wirti, M.; Biondo, G.R.R.; Romanzini, D.; Amico, S.C.; Zattera, A.J. The effect of fluorination of aramid fibers on vinyl ester composites. Polym. Compos. 2019, 40, 2095. [Google Scholar] [CrossRef]
- Raja, S.N.; Basu, S.; Limaye, A.M.; Anderson, T.J.; Hyland, C.M.; Lin, L.; Alivisatos, A.P.; Ritchie, R.O. Strain-dependent dynamic mechanical properties of Kevlar to failure: Structural correlations and comparisons to other polymers. Mater. Today Commun. 2015, 2, e33. [Google Scholar] [CrossRef]
- Fink, J.K. High Performance Polymers, 2nd ed.; Elsevier Inc.: Kidlington, UK, 2014; Volume 1, Chapter 13. [Google Scholar]
- Jaiswal, G.; Singha, M.K.; Das, D. Mechanical behavior of aramid-polypropylene fiberweb composites. Compos. Struct. 2021, 268, 113938. [Google Scholar] [CrossRef]
- Wang, J.; Gong, L.; Xi, S.; Li, C.; Su, Y.; Yang, L. Synergistic effect of interface and agglomeration on Young’s modulus of graphene-polymer nanocomposites. Int. J. Solids Struct. 2024, 292, 112716. [Google Scholar] [CrossRef]
- Sanadi, A.R.; Stelte, W. Effect of the Characteristics of Maleic Anhydride-Grafted Polypropylene (MAPP) Compatibilizer on the Properties of Highly Filled (85%) Kenaf-Polypropylene Composites. Mater. Res. 2023, 26, e20220428. [Google Scholar] [CrossRef]
- Pagnoncelli, M.; Piroli, V.; Romanzini, D.; Pereira, I.M.; Dias, R.R.; Amico, S.C.; Zattera, A.J. Mechanical and ballistic analysis of aramid/vinyl ester composites. J. Compos. Mater. 2017, 52, 289. [Google Scholar] [CrossRef]
- Ibrahim, A.; Klopocinska, A.; Horvat, K.; Hamid, Z.A. Graphene-based nanocomposites: Synthesis, mechanical properties, and characterizations. Polymers 2021, 13, 2869. [Google Scholar] [CrossRef] [PubMed]
- Grison, V.; Romanzini, D.; Dias, R.R.; Pereira, I.M.; Zattera, A.J.; Piazza, D.J. Combined effect of montmorillonite Cloisite 30B and graphene nanoplatelets on high-density polyethylene matrix under high strain rate dynamic compression. Appl. Polym. Sci. 2024, 141, e55870. [Google Scholar] [CrossRef]
- Dallé, D.; Beltrami, L.V.R.; Borsoi, C.; Zattera, A.J. Effect of different nanofillers incorporation on HDPE/LDPE films nanocomposite. J. Reinf. Plast. Compos. 2024, 07316844241239253. [Google Scholar] [CrossRef]
- Fei, B. Engineering of High-Performance Textiles; Miao, M., An, J.H.X., Eds.; Elsevier Ltd.: Amsterdam, The Netherlands, 2018; Volume 1, p. 27. [Google Scholar]
- Ye, Y.; Li, S.; Zou, D.; Li, X.; Zheng, X. Simultaneous enhancement in mechanical properties and flame retardancy of reed charcoal/polypropylene composites by graphene oxide interfacial modification. Mater. Today Commun. 2024, 41, 110496. [Google Scholar] [CrossRef]
- Giannopoulos, I.P.; Burgoyne, C.J. Stress limits for aramid fibres. Proc. Inst. Civ. Eng.—Struct. Build. 2009, 162, 221. [Google Scholar] [CrossRef]
- Chen, H.; Mi, G.; Li, P.; Huang, X.; Cao, C. Microstructure and tensile properties of graphene-oxide-reinforced high-temperature titanium-alloy-matrix composites. Materials 2020, 13, 3358. [Google Scholar] [CrossRef]
- Ryu, S.H.; Shanmugharaj, A.M. Influence of long-chain alkylamine-modified graphene oxide on the crystallization, mechanical and electrical properties of isotactic polypropylene nanocomposites. Chem. Eng. J. 2014, 244, 552. [Google Scholar] [CrossRef]
- Kim, H.-S.; Lee, B.-H.; Choi, S.-W.; Kim, S.; Kim, H.-J. The effect of types of maleic anhydride-grafted polypropylene (MAPP) on the interfacial adhesion properties of bio-flour-filled polypropylene composites. Compos. Part A Appl. Sci. Manuf. 2007, 38, 1473. [Google Scholar] [CrossRef]
- Fink, J.K. High Performance Polymers, 2nd ed.; Elsevier Inc.: Amsterdam, The Netherlands, 2014; Volume 1, Chapter 14. [Google Scholar]
- da Silva, L.F.; Lavoratti, A.; Pereira, I.M.; Dias, R.R.; Amico, S.C.; Zattera, A.J. Development of multilaminar composites for vehicular ballistic protection using ultra-high molecular weight polyethylene laminates and aramid fabrics. J. Compos. Mater. 2018, 53, 1907. [Google Scholar] [CrossRef]
- Brydson, J. Plastics Materials, 7th ed.; Elsevier Ltd.: Amsterdam, The Netherlands, 1999; Volume 1. [Google Scholar]
- Seydibeyoglu, M.O.; Mohanty, A.K.; Misra, M. (Eds.) Fiber Technology for Fiber-Reinforced Composites, 1st ed.; Elsevier: Amsterdam, The Netherlands, 2017; Volume 1. [Google Scholar]










| Compositions | |||||
|---|---|---|---|---|---|
| Samples | Polypropylene (wt.%) | Aramide Fiber (wt.%) | Fiber Length (mm) | MAPP (wt.%) | Graphene Nanoplatelets (wt.%) |
| SAM1 | 100 | 0 | 0 | 0 | 0 |
| SAM2 | 90 | 10 | 10 | 0 | 0 |
| SAM3 | 88 | 10 | 10 | 2 | 0 |
| SAM4 | 89.9 | 10 | 10 | 0 | 0.1 |
| SAM5 | 89.75 | 10 | 10 | 0 | 0.25 |
| SAM6 | 89.5 | 10 | 10 | 0 | 0.5 |
| SAM7 | 87.9 | 10 | 10 | 2 | 0.1 |
| SAM8 | 87.75 | 10 | 10 | 2 | 0.25 |
| SAM9 | 87.5 | 10 | 10 | 2 | 0.5 |
| Parameters | Values Used |
|---|---|
| Injection time | 4 s |
| Cooling time | 20 s |
| Injection pressure | 534.8 kgf cm−2 (28% of the equipment) |
| Injection flow | 42.3 cm³ s−1 (45% of the equipment) |
| Temperature profile | 160 °C, 175 °C e 190 °C |
| Nozzle heating | 50% (10 s ON–10 s OFF) |
| Mold temperature | 40 °C |
| TGA | DTG | ||||
|---|---|---|---|---|---|
| Sample | T5% (°C) | T50% (°C) | Residue600°C (wt.%) | TDTG1 (°C) | TDTG2 (°C) |
| SAM1 | 421 | 455 | 0.19 | 459 | - |
| SAM2 | 420 | 457 | 2.36 | 460 | 581 |
| SAM3 | 420 | 459 | 4.68 | 458 | 584 |
| SAM4 | 417 | 458 | 6.63 | 456 | 582 |
| SAM5 | 418 | 458 | 4.48 | 462 | 585 |
| SAM6 | 417 | 460 | 4.10 | 464 | 584 |
| SAM7 | 424 | 459 | 4.18 | 464 | 581 |
| SAM8 | 422 | 460 | 5.09 | 463 | 584 |
| SAM9 | 422 | 458 | 5.30 | 455 | 584 |
| Sample | Heat Melting (J g−1) | Crystallinity (%) | Melting Temperature (°C) |
|---|---|---|---|
| AM1 | 90.2 | 54.7 | 164 |
| AM2 | 85.4 | 57.5 | 165 |
| AM3 | 86.4 | 59.5 | 167 |
| AM4 | 86.1 | 58.0 | 167 |
| AM5 | 85.1 | 57.5 | 167 |
| AM6 | 83.1 | 56.3 | 167 |
| AM7 | 88.3 | 60.9 | 167 |
| AM8 | 84.3 | 58.2 | 165 |
| AM9 | 91.1 | 63.1 | 167 |
Disclaimer/Publisher’s Note: The statements, opinions and data contained in all publications are solely those of the individual author(s) and contributor(s) and not of MDPI and/or the editor(s). MDPI and/or the editor(s) disclaim responsibility for any injury to people or property resulting from any ideas, methods, instructions or products referred to in the content. |
© 2025 by the authors. Licensee MDPI, Basel, Switzerland. This article is an open access article distributed under the terms and conditions of the Creative Commons Attribution (CC BY) license (https://creativecommons.org/licenses/by/4.0/).
Share and Cite
Carneiro, A.A.; Pereira, I.M.; Dias, R.R.; Biron, D.d.S.; Ornaghi Júnior, H.L.; Monticeli, F.M.; Romanzini, D.; Zattera, A.J. Exploring the Synergistic Effect of Short Aramid Fibers and Graphene Nanoplatelets on the Mechanical and Dynamic Mechanical Properties of Polypropylene Composites Prepared via Thin-Plate Injection. Polymers 2025, 17, 374. https://doi.org/10.3390/polym17030374
Carneiro AA, Pereira IM, Dias RR, Biron DdS, Ornaghi Júnior HL, Monticeli FM, Romanzini D, Zattera AJ. Exploring the Synergistic Effect of Short Aramid Fibers and Graphene Nanoplatelets on the Mechanical and Dynamic Mechanical Properties of Polypropylene Composites Prepared via Thin-Plate Injection. Polymers. 2025; 17(3):374. https://doi.org/10.3390/polym17030374
Chicago/Turabian StyleCarneiro, Andressa Antunes, Iaci Miranda Pereira, Rafael Rodrigues Dias, Dionisio da Silva Biron, Heitor Luiz Ornaghi Júnior, Francisco Maciel Monticeli, Daiane Romanzini, and Ademir José Zattera. 2025. "Exploring the Synergistic Effect of Short Aramid Fibers and Graphene Nanoplatelets on the Mechanical and Dynamic Mechanical Properties of Polypropylene Composites Prepared via Thin-Plate Injection" Polymers 17, no. 3: 374. https://doi.org/10.3390/polym17030374
APA StyleCarneiro, A. A., Pereira, I. M., Dias, R. R., Biron, D. d. S., Ornaghi Júnior, H. L., Monticeli, F. M., Romanzini, D., & Zattera, A. J. (2025). Exploring the Synergistic Effect of Short Aramid Fibers and Graphene Nanoplatelets on the Mechanical and Dynamic Mechanical Properties of Polypropylene Composites Prepared via Thin-Plate Injection. Polymers, 17(3), 374. https://doi.org/10.3390/polym17030374

