Sign in to use this feature.

Years

Between: -

Subjects

remove_circle_outline
remove_circle_outline
remove_circle_outline
remove_circle_outline
remove_circle_outline
remove_circle_outline
remove_circle_outline
remove_circle_outline
remove_circle_outline

Journals

remove_circle_outline
remove_circle_outline
remove_circle_outline
remove_circle_outline
remove_circle_outline
remove_circle_outline
remove_circle_outline
remove_circle_outline
remove_circle_outline
remove_circle_outline
remove_circle_outline

Article Types

Countries / Regions

remove_circle_outline
remove_circle_outline
remove_circle_outline
remove_circle_outline
remove_circle_outline

Search Results (814)

Search Parameters:
Keywords = gate control system

Order results
Result details
Results per page
Select all
Export citation of selected articles as:
22 pages, 4638 KB  
Article
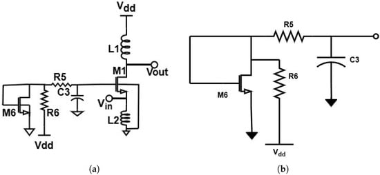
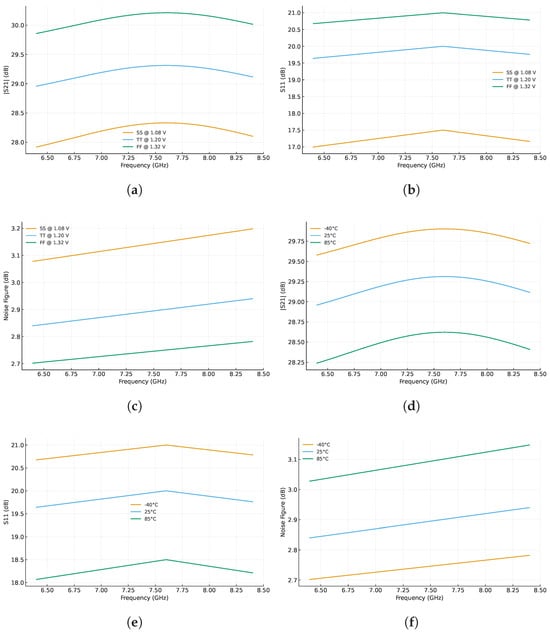
Wideband CMOS Variable Gain Low-Noise Amplifier with Integrated Attenuator for C-Band Wireless Body Area Networks
by Nusrat Jahan, Nishat Anjumane Salsabila, Susmita Barua, Mohammad Mahmudul Hasan Tareq, Quazi Delwar Hossain, Ramisha Anan and Jannatul Maua Nazia
Chips 2025, 4(4), 46; https://doi.org/10.3390/chips4040046 - 3 Nov 2025
Viewed by 137
Abstract
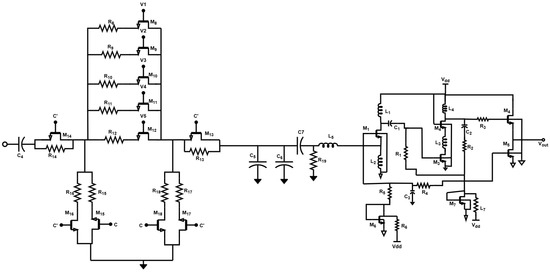
This work presents a wideband variable gain low-noise amplifier (VGA-LNA) specifically engineered for medical systems operating in the C frequency band, which require the substantial amplification of low-intensity signals. The proposed design integrates a low-noise attenuator with a low-noise amplifier (LNA), fabricated using [...] Read more.
This work presents a wideband variable gain low-noise amplifier (VGA-LNA) specifically engineered for medical systems operating in the C frequency band, which require the substantial amplification of low-intensity signals. The proposed design integrates a low-noise attenuator with a low-noise amplifier (LNA), fabricated using 90 nm CMOS technology and leveraging a combined common-source and common-gate topology. The integrated LNA achieved a notable power gain of 29 dB across a broad bandwidth of 2 GHz (6.4–8.4 GHz), maintaining an average noise figure (NF) below 3.14 dB. The design ensures superior impedance matching, demonstrated by reflection coefficients of S11 < −18.14 dB and S22 < −20.23 dB. Additionally, the amplifier exhibits a third-order input intercept point (IIP3) of 21.15 dBm while consuming only 83 mW from a 1.2 V supply voltage. A low-noise attenuator was incorporated at the input side to enable effective gain control through a digitally controlled variable gain, with step sizes ranging from 0.4 to 3.3 dB. This configuration enables a dynamic range of the transmission coefficient (|S21|) from 16 dB to 23 dB, adjustable by 0.4 dB to 3.3 dB with a trade-off in an NF maintained at 6 dB. The VGA-LNA demonstrates exceptional potential for integration into wireless body area networks (WBANs), balancing flexible gain control with stringent performance metrics. Full article
(This article belongs to the Special Issue New Research in Microelectronics and Electronics)
Show Figures

Figure 1

19 pages, 1738 KB  
Article
Design and Implementation of a Smart Parking System with Real-Time Slot Detection and Automated Gate Access
by Mohammad Ali Sahraei
Technologies 2025, 13(11), 503; https://doi.org/10.3390/technologies13110503 - 1 Nov 2025
Viewed by 612
Abstract
By increasing the number of vehicles, an intelligent parking system can help drivers in finding parking slots by providing real-time information. To address this issue, this study developed an Arduino-based automated parking system integrating sensors to assist drivers in quickly discovering available parking [...] Read more.
By increasing the number of vehicles, an intelligent parking system can help drivers in finding parking slots by providing real-time information. To address this issue, this study developed an Arduino-based automated parking system integrating sensors to assist drivers in quickly discovering available parking slots with real-time space detection and dynamic access control. This system consists of ultrasonic sensors, NodeMCU, an LCD screen, a servo motor, and an Arduino Uno. Each ultrasonic sensor is assigned a specific number corresponding to its slot number, which helps to identify the locations. These sensors were connected to the NodeMCU to collect, process, and transfer data to the Arduino board. If the ultrasonic sensor cannot detect the vehicle in the parking space, the LCD screen will show the number of specific slots. The Arduino will use the servo motor to open the entrance gate if a vehicle is detected by another ultrasonic sensor next to it. Otherwise, the system prevents any vehicle from entering the parking area when all of the available spaces are occupied. The system prototype is constructed and empirically evaluated to verify its performance and efficiency. The results indicate that the system successfully monitors parking spot occupancy and validates its capacity for real-time information updates. Full article
Show Figures

Figure 1

44 pages, 4433 KB  
Article
Mathematical Model of the Software Development Process with Hybrid Management Elements
by Serhii Semenov, Volodymyr Tsukur, Valentina Molokanova, Mateusz Muchacki, Grzegorz Litawa, Mykhailo Mozhaiev and Inna Petrovska
Appl. Sci. 2025, 15(21), 11667; https://doi.org/10.3390/app152111667 - 31 Oct 2025
Viewed by 113
Abstract
Reliable schedule-risk estimation in hybrid software development lifecycles is strategically important for organizations adopting AI in software engineering. This study addresses that need by transforming routine process telemetry (CI/CD, SAST, traceability) into explainable, quantitative predictions of completion time and rework. This paper introduces [...] Read more.
Reliable schedule-risk estimation in hybrid software development lifecycles is strategically important for organizations adopting AI in software engineering. This study addresses that need by transforming routine process telemetry (CI/CD, SAST, traceability) into explainable, quantitative predictions of completion time and rework. This paper introduces an integrated probabilistic model of the hybrid software development lifecycle that combines Generalized Evaluation and Review Technique (GERT) network semantics with I-AND synchronization, explicit artificial-intelligence (AI) interventions, and a fuzzy treatment of epistemic uncertainty. The model embeds two controllable AI nodes–an AI Requirements Assistant and AI-augmented static code analysis, directly into the process topology and applies an analytical reduction to a W-function to obtain iteration-time distributions and release-success probabilities without resorting solely to simulation. Epistemic uncertainty on critical arcs is represented by fuzzy intervals and propagated via Zadeh’s extension principle, while aleatory variability is captured through stochastic branching. Parameter calibration relies on process telemetry (requirements traceability, static-analysis signals, continuous integration/continuous delivery, CI/CD, and history). A validation case (“system design → UX prototyping → implementation → quality assurance → deployment”) demonstrates practical use: large samples of process trajectories are generated under identical initial conditions and fixed random seeds, and kernel density estimation with Silverman’s bandwidth is applied to normalized histograms of continuous outcomes. Results indicate earlier defect detection, fewer late rework loops, thinner right tails of global duration, and an approximately threefold reduction in the expected number of rework cycles when AI is enabled. The framework yields interpretable, scenario-ready metrics for tuning quality-gate policies and automation levels in Agile/DevOps settings. Full article
Show Figures

Figure 1

14 pages, 10155 KB  
Article
Real-Time Vehicle Sticker Recognition for Smart Gate Control with YOLOv8 and Raspberry Pi 4
by Serosh Karim Noon, Ali Hassan Noor, Abdul Mannan, Miqdam Arshad, Turab Haider and Muhammad Abdullah
Automation 2025, 6(4), 63; https://doi.org/10.3390/automation6040063 - 29 Oct 2025
Viewed by 346
Abstract
In today’s fast-paced world, secure and efficient access control is crucial for places like schools, gated communities, and corporate campuses. The system must overcome the issues of manual checking and record maintenance of traditional methods like RFID cards or license plate recognition. Our [...] Read more.
In today’s fast-paced world, secure and efficient access control is crucial for places like schools, gated communities, and corporate campuses. The system must overcome the issues of manual checking and record maintenance of traditional methods like RFID cards or license plate recognition. Our work introduces a budget-friendly, automated solution. A prototype was developed for a vehicle sticker recognition system to control and monitor gate access at NFC IET University as a case study. The automated system design will replace manual checking by detecting the car stickers issued to each vehicle by the university administration. An optimized lightweight YOLOv8 model is trained to identify three categories: IET stickers (authorized for access), non-IET stickers (unauthorized), and no sticker (denied access). A webcam connected to the Raspberry Pi 4 scans approaching vehicles. Authorized vehicles are allowed when the relevant class is detected, which signals a servo motor to open the gate. Otherwise, access to the gate is denied, and infrared (IR) sensors close the gates. A second set of IR sensors and a servo motor was also added to manage the exit side, preventing unauthorized tailgating. The system’s modular design makes it adaptable for different environments, and its use of affordable hardware and open-source tools keeps costs low, which is ideal for smaller institutions or communities. The prototype model is tested and trained on self-collected datasets comprising 506 images. Full article
(This article belongs to the Section Robotics and Autonomous Systems)
Show Figures

Figure 1

31 pages, 8105 KB  
Article
Multi-Criteria Decision-Making for Hybrid Renewable Energy in Small Communities: Key Performance Indicators and Sensitivity Analysis
by Helena M. Ramos, Praful Borkar, Oscar E. Coronado-Hernández, Francisco Javier Sánchez-Romero and Modesto Pérez-Sánchez
Energies 2025, 18(21), 5665; https://doi.org/10.3390/en18215665 - 28 Oct 2025
Viewed by 249
Abstract
The increasing decentralization of energy systems calls for robust frameworks to evaluate the technical and economic feasibility of hybrid renewable configurations at the community scale. This study presents an integrated methodology that combines Key Performance Indicators (KPIs), sensitivity analysis, and Multi-Criteria Decision-Making to [...] Read more.
The increasing decentralization of energy systems calls for robust frameworks to evaluate the technical and economic feasibility of hybrid renewable configurations at the community scale. This study presents an integrated methodology that combines Key Performance Indicators (KPIs), sensitivity analysis, and Multi-Criteria Decision-Making to assess hybrid systems in Castanheira de Pera, a small community in central Portugal. Fourteen configurations (C1–C14) integrating hydropower, solar PV, wind, and battery storage were simulated using HOMER Pro 3.16.2, PVsyst 8.0.16, Python 3.14.0, and Excel under both wet and dry hydrological conditions. A gate-controlled hydro-buffering model was applied to optimize short-term storage operation, increasing summer energy generation by 52–88% without additional infrastructure. Among all configurations, C8 achieved the highest Net Present Value (≈EUR 153,700) and a strong Internal Rate of Return (IRR), while maintaining a stable Levelized Cost of Electricity (LCOE) of around 0.042 EUR/kWh. Comparative decision scenarios highlight distinct stakeholder priorities: storage-intensive systems (C14, C11) maximize energy security, whereas medium-scale hybrids (C8, C7) offer superior economic performance. Overall, the results confirm that hybridization significantly improves community energy autonomy and resilience. Future work should extend this framework to include environmental and social indicators, enabling a more comprehensive techno-socio-economic assessment of hybrid renewable systems. Full article
Show Figures

Figure 1

22 pages, 5833 KB  
Article
A Codesign Framework for the Development of Next Generation Wearable Computing Systems
by Francesco Porreca, Fabio Frustaci and Raffaele Gravina
Sensors 2025, 25(21), 6624; https://doi.org/10.3390/s25216624 - 28 Oct 2025
Viewed by 560
Abstract
Wearable devices can be developed using hardware platforms such as Application Specific Integrated Circuits (ASICs), Graphics Processing Units (GPUs), Digital Signal Processors (DSPs), Micro controller Units (MCUs), or Field Programmable Gate Arrays (FPGAs), each with distinct advantages and limitations. ASICs offer high efficiency [...] Read more.
Wearable devices can be developed using hardware platforms such as Application Specific Integrated Circuits (ASICs), Graphics Processing Units (GPUs), Digital Signal Processors (DSPs), Micro controller Units (MCUs), or Field Programmable Gate Arrays (FPGAs), each with distinct advantages and limitations. ASICs offer high efficiency but lack flexibility. GPUs excel in parallel processing but consume significant power. DSPs are optimized for signal processing but are limited in versatility. CPUs provide low power consumption but lack computational power. FPGAs are highly flexible, enabling powerful parallel processing at lower energy costs than GPUs but with higher resource demands than ASICs. The combined use of FPGAs and CPUs balances power efficiency and computational capability, making it ideal for wearable systems requiring complex algorithms in far-edge computing, where data processing occurs onboard the device. This approach promotes green electronics, extending battery life and reducing user inconvenience. The primary goal of this work was to develop a versatile framework, similar to existing software development frameworks, but specifically tailored for mixed FPGA/MCU platforms. The framework was validated through a real-world use case, demonstrating significant improvements in execution speed and power consumption. These results confirm its effectiveness in developing green and smart wearable systems. Full article
(This article belongs to the Section Wearables)
Show Figures

Figure 1

18 pages, 866 KB  
Review
Gatekeepers and Gatecrashers of the Symplasm: Cross-Kingdom Effector Manipulation of Plasmodesmata in Plants
by Zhihua Li, Yonghong Wu, Xiaokun Liu and Muhammad Adnan
Plants 2025, 14(21), 3285; https://doi.org/10.3390/plants14213285 - 27 Oct 2025
Viewed by 380
Abstract
Plasmodesmata (PD) are dynamic nanochannels interconnecting plant cells and coordinating development, nutrient distribution, and systemic defense. Their permeability is tightly regulated by callose turnover, PD-localized proteins, lipid microdomains, and endoplasmic reticulum (ER)–plasma membrane (PM) tethers, which together form regulatory nodes that gate symplastic [...] Read more.
Plasmodesmata (PD) are dynamic nanochannels interconnecting plant cells and coordinating development, nutrient distribution, and systemic defense. Their permeability is tightly regulated by callose turnover, PD-localized proteins, lipid microdomains, and endoplasmic reticulum (ER)–plasma membrane (PM) tethers, which together form regulatory nodes that gate symplastic exchange. Increasing evidence demonstrates that effectors from diverse kingdoms—fungi, oomycetes, bacteria, viruses, viroids, phytoplasmas, nematodes, insects, parasitic plants, and symbiotic microbes—converge on these same nodes to modulate PD gating. Pathogens typically suppress callose deposition or destabilize PD regulators to keep channels open, whereas mutualists fine-tune PD conductivity to balance resource exchange with host immunity. This review synthesizes current knowledge of effector strategies that remodel PD architecture or exploit PD for intercellular movement, highlighting novel cross-kingdom commonalities–callose manipulation, reprogramming of PD proteins, lipid rewiring, and co-option of ER-PM tethers. We outline unresolved questions on effector–PD target specificity and dynamics, and identify prospects in imaging, proteomics, and synthetic control of PD. Understanding how effectors reprogram PD connectivity can enable engineering of crops that block pathogenic trafficking while safeguarding beneficial symbioses. Full article
(This article belongs to the Section Plant Development and Morphogenesis)
Show Figures

Figure 1

29 pages, 23797 KB  
Article
Tone Mapping of HDR Images via Meta-Guided Bayesian Optimization and Virtual Diffraction Modeling
by Deju Huang, Xifeng Zheng, Jingxu Li, Ran Zhan, Jiachang Dong, Yuanyi Wen, Xinyue Mao, Yufeng Chen and Yu Chen
Sensors 2025, 25(21), 6577; https://doi.org/10.3390/s25216577 - 25 Oct 2025
Viewed by 446
Abstract
This paper proposes a novel image tone-mapping framework that incorporates meta-learning, a psychophysical model, Bayesian optimization, and light-field virtual diffraction. First, we formalize the virtual diffraction process as a mathematical operator defined in the frequency domain to reconstruct high-dynamic-range (HDR) images through phase [...] Read more.
This paper proposes a novel image tone-mapping framework that incorporates meta-learning, a psychophysical model, Bayesian optimization, and light-field virtual diffraction. First, we formalize the virtual diffraction process as a mathematical operator defined in the frequency domain to reconstruct high-dynamic-range (HDR) images through phase modulation, enabling the precise control of image details and contrast. In parallel, we apply the Stevens power law to simulate the nonlinear luminance perception of the human visual system, thereby adjusting the overall brightness distribution of the HDR image and improving the visual experience. Unlike existing methods that primarily emphasize structural fidelity, the proposed method strikes a balance between perceptual fidelity and visual naturalness. Secondly, an adaptive parameter tuning system based on Bayesian optimization is developed to conduct optimization of the Tone Mapping Quality Index (TMQI), quantifying uncertainty using probabilistic models to approximate the global optimum with fewer evaluations. Furthermore, we propose a task-distribution-oriented meta-learning framework: a meta-feature space based on image statistics is constructed, and task clustering is combined with a gated meta-learner to rapidly predict initial parameters. This approach significantly enhances the robustness of the algorithm in generalizing to diverse HDR content and effectively mitigates the cold-start problem in the early stage of Bayesian optimization, thereby accelerating the convergence of the overall optimization process. Experimental results demonstrate that the proposed method substantially outperforms state-of-the-art tone-mapping algorithms across multiple benchmark datasets, with an average improvement of up to 27% in naturalness. Furthermore, the meta-learning-guided Bayesian optimization achieves two- to five-fold faster convergence. In the trade-off between computational time and performance, the proposed method consistently dominates the Pareto frontier, achieving high-quality results and efficient convergence with a low computational cost. Full article
(This article belongs to the Section Sensing and Imaging)
Show Figures

Figure 1

13 pages, 2821 KB  
Article
Magnet-Free Nonreciprocal Edge Plasmons in Optically Pumped Bilayer Graphene
by Seongjin Ahn
Nanomaterials 2025, 15(21), 1622; https://doi.org/10.3390/nano15211622 - 24 Oct 2025
Viewed by 263
Abstract
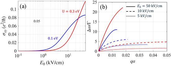
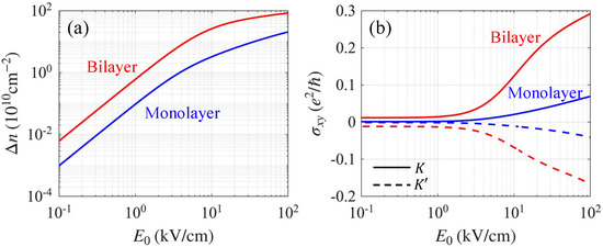
Recent theoretical studies have shown that gapped Dirac materials (such as gapped monolayer graphene) optically pumped with circularly polarized light can host edge-localized plasmon modes with nonreciprocal dispersions driven by valley population imbalance. Here, we extend this framework to Bernal-stacked bilayer graphene. Using [...] Read more.
Recent theoretical studies have shown that gapped Dirac materials (such as gapped monolayer graphene) optically pumped with circularly polarized light can host edge-localized plasmon modes with nonreciprocal dispersions driven by valley population imbalance. Here, we extend this framework to Bernal-stacked bilayer graphene. Using the Wiener–Hopf method, we compute the exact edge plasmon dispersion, confinement length, and electric potential. Our results show that bilayer graphene exhibits stronger nonreciprocity in edge plasmons, requiring approximately one order of magnitude lower pump amplitude to achieve splitting compared with monolayer Dirac systems. Furthermore, the gate-tunable energy gap of bilayer graphene provides an additional degree of control, positioning optically pumped bilayer graphene as a versatile platform for magnet-free nonreciprocal plasmonics. Full article
(This article belongs to the Section 2D and Carbon Nanomaterials)
Show Figures

Figure 1

24 pages, 6101 KB  
Article
Research on Energy-Saving Optimization of Mushroom Growing Control Room Based on Neural Network Model Predictive Control
by Yifan Song, Wengang Zheng, Guoqiang Guo, Mingfei Wang, Changshou Luo, Cheng Chen and Zuolin Li
Energies 2025, 18(20), 5550; https://doi.org/10.3390/en18205550 - 21 Oct 2025
Viewed by 346
Abstract
In the heating, ventilation, and air conditioning (HVAC) systems of mushroom growing control rooms, traditional rule-based control methods are commonly adopted. However, these methods are characterized by response delays, leading to underutilization of energy-saving potential and energy costs that constitute a disproportionately high [...] Read more.
In the heating, ventilation, and air conditioning (HVAC) systems of mushroom growing control rooms, traditional rule-based control methods are commonly adopted. However, these methods are characterized by response delays, leading to underutilization of energy-saving potential and energy costs that constitute a disproportionately high share of overall production costs. Therefore, minimizing the running time of the air conditioning system is crucial while maintaining the optimal growing environment for mushrooms. To address the aforementioned issues, this paper proposed a sensor optimization method based on the combination of principal component analysis (PCA) and information entropy. Furthermore, model predictive control (MPC) was implemented using a gated recurrent unit (GRU) neural network with an attention mechanism (GRU-Attention) as the prediction model to optimize the air conditioning system. First, a method combining PCA and information entropy was proposed to select the three most representative sensors from the 16 sensors in the mushroom room, thus eliminating redundant information and correlations. Then, a temperature prediction model based on GRU-Attention was adopted, with its hyperparameters optimized using the Optuna framework. Finally, an improved crayfish optimization algorithm (ICOA) was proposed as an optimizer for MPC. Its objective was to solve the control sequence with high accuracy and low energy consumption. The average energy consumption was reduced by approximately 11.2%, achieving a more stable temperature control effect. Full article
Show Figures

Figure 1

20 pages, 3517 KB  
Article
On the Use of Machine Learning Methods for EV Battery Pack Data Forecast Applied to Reconstructed Dynamic Profiles
by Joaquín de la Vega, Jordi-Roger Riba and Juan Antonio Ortega-Redondo
Appl. Sci. 2025, 15(20), 11291; https://doi.org/10.3390/app152011291 - 21 Oct 2025
Viewed by 318
Abstract
Lithium-ion batteries are essential to electric vehicles, so it is crucial to continuously monitor and control their health. However, since today’s battery packs consist of hundreds or thousands of cells, monitoring all of them is challenging. Additionally, the performance of the entire battery [...] Read more.
Lithium-ion batteries are essential to electric vehicles, so it is crucial to continuously monitor and control their health. However, since today’s battery packs consist of hundreds or thousands of cells, monitoring all of them is challenging. Additionally, the performance of the entire battery pack is often limited by the weakest cell. Therefore, developing effective monitoring techniques that can reliably forecast the remaining time to depletion (RTD) of lithium-ion battery cells is essential for safe and efficient battery management. However, even in robust systems, this data can be lost due to electromagnetic interference, microcontroller malfunction, failed contacts, and other issues. Gaps in voltage measurements compromise the accuracy of data-driven forecasts. This work systematically evaluates how different voltage reconstruction methods affect the performance of recurrent neural network (RNN) forecast models trained to predict RTD through quantile regression. The paper uses experimental battery pack data based on the behavior of an electric vehicle under dynamic driving conditions. Artificial gaps of 500 s were introduced at the beginning, middle, and end of each discharge phase, resulting in over 4300 reconstruction cases. Four reconstruction methods were considered: a zero-order hold (ZOH), an autoregressive integrated moving average (ARIMA) model, a gated recurrent unit (GRU) model, and a hybrid unscented Kalman filter (UKF) model. The results presented here reveal that the UKF model, followed by the GRU model, outperform alternative reconstruction methods. These models minimize signal degradation and provide forecasts similar to the original past data signal, thus achieving the highest coefficient of determination and the lowest error indicators. The reconstructed signals were fed into LSTM and GRU RNNs to estimate RTD, which produced confidence intervals and median values for decision-making purposes. Full article
(This article belongs to the Special Issue AI-Based Machinery Health Monitoring)
Show Figures

Figure 1

21 pages, 12126 KB  
Article
Optimization of Synergistic Water Resources, Water Environment, and Water Ecology Remediation and Restoration Project: Application in the Jinshan Lake Basin
by Wenyang Jiang, Xin Liu, Yue Wang, Yue Zhang, Xinxin Chen, Yuxing Sun, Jun Chen and Wanshun Zhang
Water 2025, 17(20), 2986; https://doi.org/10.3390/w17202986 - 16 Oct 2025
Viewed by 337
Abstract
The concept of synergistic water resources, water environment, water ecology remediation, and restoration (3WRR) is essential for addressing the interlinked challenges of water scarcity, pollution, and ecological degradation. An intelligent platform of remediation and restoration project optimization was developed, integrating multi-source data fusion, [...] Read more.
The concept of synergistic water resources, water environment, water ecology remediation, and restoration (3WRR) is essential for addressing the interlinked challenges of water scarcity, pollution, and ecological degradation. An intelligent platform of remediation and restoration project optimization was developed, integrating multi-source data fusion, a coupled air–land–water model, and dynamic decision optimization to support 3WRR in river basins. Applied to the Jinshan Lake Basin (JLB) in China’s Greater Bay Area, the platform assessed 894 scenarios encompassing diverse remediation and restoration plans, including point/non-point source reduction, sediment dredging, recycled water reuse, ecological water replenishment, and sluice gate control, accounting for inter-annual meteorological variability. The results reveal that source control alone (95% reduction in point and non-point loads) leads to limited improvement, achieving less than 2% compliance with Class IV water quality standards in tributaries. Integrated engineering–ecological interventions, combining sediment dredging with high-flow replenishment from the Xizhijiang River (26.1 m3/s), increases compliance days of Class IV water quality standards by 10–51 days. Concerning the lake plans, including sluice regulation and large-volume water exchange, the lake area met the Class IV standard for COD, NH3-N, and TP by over 90%. The platform’s multi-objective optimization framework highlights that coordinated, multi-scale interventions substantially outperform isolated strategies in both effectiveness and sustainability. These findings provide a replicable and data-driven paradigm for 3WRR implementation in complex river–lake systems. The platform’s application and promotion in other watersheds worldwide will serve to enable the low-cost and high-efficiency management of watershed water environments. Full article
(This article belongs to the Section Water Resources Management, Policy and Governance)
Show Figures

Figure 1

21 pages, 2309 KB  
Review
Joint Acidosis and Acid-Sensing Receptors and Ion Channels in Osteoarthritis Pathobiology and Therapy
by William N. Martin, Colette Hyde, Adam Yung, Ryan Taffe, Bhakti Patel, Ajay Premkumar, Pallavi Bhattaram, Hicham Drissi and Nazir M. Khan
Cells 2025, 14(20), 1605; https://doi.org/10.3390/cells14201605 - 16 Oct 2025
Viewed by 604
Abstract
Osteoarthritis (OA) lacks disease-modifying therapies, in part because key features of the joint microenvironment remain underappreciated. One such feature is localized acidosis, characterized by sustained reductions in extracellular pH within the cartilage, meniscus, and the osteochondral interface despite near-neutral bulk synovial fluid. We [...] Read more.
Osteoarthritis (OA) lacks disease-modifying therapies, in part because key features of the joint microenvironment remain underappreciated. One such feature is localized acidosis, characterized by sustained reductions in extracellular pH within the cartilage, meniscus, and the osteochondral interface despite near-neutral bulk synovial fluid. We synthesize current evidence on the origins, sensing, and consequences of joint acidosis in OA. Metabolic drivers include hypoxia-biased glycolysis in avascular cartilage, cytokine-driven reprogramming in the synovium, and limits in proton/lactate extrusion (e.g., monocarboxylate transporters (MCTs)), with additional contributions from fixed-charge matrix chemistry and osteoclast-mediated acidification at the osteochondral junction. Acidic niches shift proteolysis toward cathepsins, suppress anabolic control, and trigger chondrocyte stress responses (calcium overload, autophagy, senescence, apoptosis). In the nociceptive axis, protons engage ASIC3 and sensitize TRPV1, linking acidity to pain. Joint cells detect pH through two complementary sensor classes: proton-sensing GPCRs (GPR4, GPR65/TDAG8, GPR68/OGR1, GPR132/G2A), which couple to Gs, Gq/11, and G12/13 pathways converging on MAPK, NF-κB, CREB, and RhoA/ROCK; and proton-gated ion channels (ASIC1a/3, TRPV1), which convert acidity into electrical and Ca2+ signals. Therapeutic implications include inhibition of acid-enabled proteases (e.g., cathepsin K), pharmacologic modulation of pH-sensing receptors (with emerging interest in GPR68 and GPR4), ASIC/TRPV1-targeted analgesia, metabolic control of lactate generation, and pH-responsive intra-articular delivery systems. We outline research priorities for pH-aware clinical phenotyping and imaging, cell-type-resolved signaling maps, and targeted interventions in ‘acidotic OA’ endotypes. Framing acidosis as an actionable component of OA pathogenesis provides a coherent basis for mechanism-anchored, locality-specific disease modification. Full article
(This article belongs to the Special Issue Molecular Mechanisms Underlying Inflammatory Pain)
Show Figures

Figure 1

22 pages, 997 KB  
Article
Rethinking Efficiency: How Increased Electricity Use Can Reduce Environmental Impacts in Controlled Hemp Cultivation—A Life Cycle Assessment (LCA) Study
by Adéla Kalkušová, Jaroslav Neumann, Nina Veselovská, Eliška Kůrková, Petr Konvalina, Reinhard W. Neugschwandtner and Jaroslav Bernas
Agronomy 2025, 15(10), 2400; https://doi.org/10.3390/agronomy15102400 - 16 Oct 2025
Viewed by 551
Abstract
This study aims to assess the environmental profile and identify environmental hotspots of indoor hemp (Cannabis sativa L.) cultivation through environmental impact analysis under four scenarios combining two nutrient solutions and two lighting intensities (540 W and 900 W). Indoor cultivation of [...] Read more.
This study aims to assess the environmental profile and identify environmental hotspots of indoor hemp (Cannabis sativa L.) cultivation through environmental impact analysis under four scenarios combining two nutrient solutions and two lighting intensities (540 W and 900 W). Indoor cultivation of industrial hemp is becoming increasingly relevant as plant production shifts to controlled environments, raising the need to evaluate its environmental implications. The assessment was conducted using the Life Cycle Assessment (LCA) methodology in accordance with the ISO 14040 and ISO 14044 standards, applying a cradle-to-gate system boundary and a functional unit of 1 kg of dried hemp inflorescence. Primary data were obtained from a controlled cultivation experiment, while secondary data were drawn from validated databases. The carbon footprint ranged from 1050 to 1610 kg CO2 eq per kilogram of dried inflorescence. Scenarios with 900 W lighting showed 30–35% lower impacts per kilogram compared to 540 W variants. Electricity production and consumption were identified as major environmental hotspots, dominating most impact categories. The study concludes that improving input–output efficiency is essential for sustainable indoor cultivation and that integrating renewable energy sources, such as photovoltaics or biomass, could further reduce environmental impacts. Full article
Show Figures

Figure 1

28 pages, 7034 KB  
Article
Water Quality Prediction Model Based on Temporal Attentive Bidirectional Gated Recurrent Unit Model
by Hongyu Yang, Lei Guo and Qingqing Tian
Sustainability 2025, 17(20), 9155; https://doi.org/10.3390/su17209155 - 16 Oct 2025
Viewed by 404
Abstract
Water pollution has caused serious consequences for human health and aquatic systems. Therefore, analyzing and predicting water quality is of great significance for the early prevention and control of water pollution. Aiming at the shortcomings of the Gated Recurrent Unit (GRU) water quality [...] Read more.
Water pollution has caused serious consequences for human health and aquatic systems. Therefore, analyzing and predicting water quality is of great significance for the early prevention and control of water pollution. Aiming at the shortcomings of the Gated Recurrent Unit (GRU) water quality prediction model, such as the low utilization rate of early information and poor deep feature extraction ability of the hidden state mechanism, this study combines the temporal attention (TA) mechanism with the bidirectional superimposed neural network. A time-focused bidirectional gated recurrent unit (TA-Bi-GRU) model is proposed. Taking the actual water quality data of the water source reservoir in Xiduan Village as the research object, this model was used to predict four core water quality indicators, namely pH, ammonia nitrogen (NH3N), total nitrogen (TN), and dissolved oxygen (DOX). Predictions are made within multiple time ranges, with prediction periods of 7 days, 10 days, 15 days, and 30 days. In the long-term prediction of the TA-Bi-GRU model, its average R2 was 0.858 (7 days), 0.772 (10 days), 0.684 (15 days), and 0.553 (30 days), and the corresponding average MAE and MSE were both lower than those of the comparison models. The experimental results show that the TA-Bi-GRU model has higher prediction accuracy and stronger generalization ability compared with the existing GRU, bidirectional GRU (Bi-GRU), Time-focused Gated Recurrent Unit (TA-GRU), Convolutional Neural Network-Long Short-Term Memory (CNN-LSTM) and Deep Temporal Convolutional Networks-Long Short-Term Memory (DeepTCN-LSTM) models. Full article
Show Figures

Figure 1

Back to TopTop