Sign in to use this feature.

Years

Between: -

Subjects

remove_circle_outline
remove_circle_outline
remove_circle_outline
remove_circle_outline
remove_circle_outline
remove_circle_outline
remove_circle_outline
remove_circle_outline

Journals

Article Types

Countries / Regions

Search Results (101)

Search Parameters:
Keywords = gas hourly space velocity

Order results
Result details
Results per page
Select all
Export citation of selected articles as:
15 pages, 2433 KB  
Article
Investigation of Biogas Dry Reforming over Ru/CeO2 Catalysts and Pd/YSZ Membrane Reactor
by Omid Jazani and Simona Liguori
Membranes 2026, 16(1), 34; https://doi.org/10.3390/membranes16010034 - 5 Jan 2026
Viewed by 184
Abstract
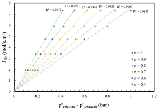
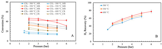
The biogas dry reforming reaction offers a promising route for syngas production while simultaneously mitigating greenhouse gas emissions. Membrane reactors have proven to be an excellent option for hydrogen production and separation in a single unit, where conversion and yield can be enhanced [...] Read more.
The biogas dry reforming reaction offers a promising route for syngas production while simultaneously mitigating greenhouse gas emissions. Membrane reactors have proven to be an excellent option for hydrogen production and separation in a single unit, where conversion and yield can be enhanced over conventional processes. In this study, a Pd/YSZ membrane integrated with a Ru/CeO2 catalyst was evaluated for biogas reaction under varying operating conditions. The selective removal of hydrogen through the palladium membrane improved reactant conversion and suppressed side reactions such as methanation and the reverse water–gas shift. Experiments were performed at temperatures ranging from 500 to 600 °C, pressures of 1–6 bar, and a gas hourly space velocity (GHSV) of 800 h−1. Maximum conversions of CH4 (43%) and CO2 (46.7%) were achieved at 600 °C and 2 bar, while the maximum hydrogen recovery of 78% was reached at 6 bar. The membrane reactor outperformed a conventional reactor, offering up to 10% higher CH4 conversion and improved hydrogen production and yield. Also, a comparative analysis between Ru/CeO2 and Ni/Al2O3 catalysts revealed that while the Ni-based catalyst provided higher CH4 conversion, it also promoted methane decomposition reaction and coke formation. In contrast, the Ru/CeO2 catalyst exhibited excellent resistance to coke formation, attributable to ceria’s redox properties and oxygen storage capacity. The combined system of Ru/CeO2 catalyst and Pd/YSZ membrane offers an effective and sustainable approach for hydrogen-rich syngas production from biogas, with improved performance and long-term stability. Full article
(This article belongs to the Special Issue Advanced Membrane Design for Hydrogen Technologies)
Show Figures

Graphical abstract

20 pages, 1543 KB  
Article
Performance Evaluation of Different Reactor Concepts for the Oxidative Coupling of Methane on Miniplant Scale
by Tim Karsten, Abigail Perez Ortiz, Reinhard Schomäcker and Jens-Uwe Repke
Methane 2025, 4(4), 25; https://doi.org/10.3390/methane4040025 - 21 Oct 2025
Cited by 1 | Viewed by 643
Abstract
In this study, three different reactor concepts for the oxidative coupling of methane (OCM) reaction are examined at the miniplant scale. Their performance and response to variations in key process parameters, such as temperature and gas hourly space velocity (GHSV), are evaluated over [...] Read more.
In this study, three different reactor concepts for the oxidative coupling of methane (OCM) reaction are examined at the miniplant scale. Their performance and response to variations in key process parameters, such as temperature and gas hourly space velocity (GHSV), are evaluated over a wide range. In addition to the conventional Packed Bed Reactor (PBR), Packed Bed Membrane Reactor (PBMR), and Chemical Looping Reactor (CLR) approaches were tested. The PBMR was realized with a porous ceramic α-Alumina membrane as air/O2 distributor. The CLR was operated in a poly-cyclic operation. Similarities of the different reactor concepts as well as layout-immanent differences with regard to changes in reaction conditions could be identified and advantages and disadvantages of the processes highlighted. The results show that C2 selectivity can be improved by both PBMR and CLR in comparison to conventional PBR, possibly reducing cost-intensive downstream units. While a PBMR can slightly improve selectivity (23%) while keeping the same conversion compared to a PBR, the use of a CLR allows for achieving exceptionally high selectivities of up to 90%. In order to address the low conversion, CLR tests were carried out with an additional O2 carrier material, which led to a significant improvement in terms of C2 yield. In addition to an evaluation and comparison of the different reactor concepts, the findings at the miniplant scale provide estimates of their potential use and scalability. Full article
Show Figures

Graphical abstract

17 pages, 3085 KB  
Article
Three-Dimensionally Ordered Macroporous La2O3-Supported Ni Catalyst for Methane Dry Reforming
by Shoufu Li, Aizhong Ding, Wenchuan Zhang, Zhongdong Xie, Marco Petrangeli Papini, Yuanyan Xuan and Hongguang Zheng
Catalysts 2025, 15(10), 992; https://doi.org/10.3390/catal15100992 - 17 Oct 2025
Viewed by 971
Abstract
Three-dimensionally ordered macroporous (3DOM) La2O3-supported Ni catalysts exhibit outstanding performance for methane dry reforming (DRM). The 5Ni/La2O3-3DOM catalyst achieves 79% CH4 and 84% CO2 conversions at 800 °C under the reaction conditions of [...] Read more.
Three-dimensionally ordered macroporous (3DOM) La2O3-supported Ni catalysts exhibit outstanding performance for methane dry reforming (DRM). The 5Ni/La2O3-3DOM catalyst achieves 79% CH4 and 84% CO2 conversions at 800 °C under the reaction conditions of atmospheric pressure, CH4:CO2 molar ratio of 1:1, and gas hourly space velocity (GHSV) = 36,000 mL·gcat−1·h−1, outperforming its counterparts (5Ni/La2O3-PP prepared by means of co-precipitation and 5Ni/La2O3-GNC prepared by means of glycine–nitrate combustion) by 15–20%. Long-term stability tests at 700 °C (same CH4:CO2 ratio and GHSV as above) show that the 5Ni/La2O3-3DOM catalyst maintains CH4 and CO2 conversions at approximately 80% and 85%, respectively, with zero deactivation over 50 h. Meanwhile, its carbon deposition rate plummets to 1.1 mg·g−1·h−1, which is 75% lower than that of the precipitation-derived 5Ni/La2O3-PP catalyst. This excellent performance stems from the synergy of nano-confined Ni particles (11.2 nm in crystallite size after reduction) and abundant surface oxygen species (38 μmol·g−1), establishing 3DOM La2O3 as a superior anti-coking support platform for scalable H2 production via DRM. Full article
Show Figures

Graphical abstract

17 pages, 2525 KB  
Article
Dry Reforming of Methane Using Gd-promoted Ni/SBA-16 Catalyst: Structure, Activity and Process Optimization with Response Surface Methodology
by Salma A. Al-Zahrani, Mohammed F. Alotibi, Ahmed I. Osman, Ahmed A. Bhran, Maha Awjan Alreshidi, Ahmed Al Otaibi, Hessah Difallah A. Al-Enazy, Nuha Othman S. Alsaif and Ahmed S. Al-Fatesh
Nanomaterials 2025, 15(19), 1527; https://doi.org/10.3390/nano15191527 - 6 Oct 2025
Viewed by 1008
Abstract
This work examines the effect of gadolinium (Gd) promotion on nickel-based SBA-16 catalysts for the dry reforming of methane (DRM), with the goal of improving syngas production by optimizing catalyst composition and operating conditions. Catalysts with varying Gd loadings (0.5–3 wt.%) were synthesised [...] Read more.
This work examines the effect of gadolinium (Gd) promotion on nickel-based SBA-16 catalysts for the dry reforming of methane (DRM), with the goal of improving syngas production by optimizing catalyst composition and operating conditions. Catalysts with varying Gd loadings (0.5–3 wt.%) were synthesised using co-impregnation. XRD, N2 physisorption, FTIR, XPS, and H2-TPR–CO2-TPD–H2-TPR were used to examine the structural features, textural properties, surface composition, and redox behaviour of the catalysts. XPS indicated formation of enhanced metal–support interactions, while initial and post-treatment H2–TPR analyses showed that moderate Gd loadings (1–2 wt.%) maintained a balanced distribution of reducible Ni species. The catalysts were tested for DRM performance at 800 °C and a gas hourly space velocity (GHSV) of 42,000 mL g−1 h−1. 1–2 wt.% Gd-promoted catalysts achieved the highest H2 (~67%) and CO yield (~76%). Response surface methodology (RSM) was used to identify optimal reaction conditions for maximum H2 yield. RSM predicted 848.9 °C temperature, 31,283 mL g−1 h−1 GHSV, and a CH4/CO2 ratio of 0.61 as optimal, predicting a H2 yield of 96.64%, which closely matched the experimental value of H2 yield (96.66%). The 5Ni–2Gd/SBA-16 catalyst exhibited minimal coke deposition, primarily of a graphitic character, as evidenced by TGA–DSC and Raman analyses. These results demonstrate the synergy between catalyst design and process optimization in maximizing DRM efficiency. Full article
Show Figures

Figure 1

18 pages, 4083 KB  
Article
Hydrogen Production Through Methane Decomposition over Waste-Derived Carbon-Based Catalysts
by Seyed Mohamad Rasool Mirkarimi, Andrea Salimbeni, Samir Bensaid, Viviana Negro and David Chiaramonti
Energies 2025, 18(19), 5162; https://doi.org/10.3390/en18195162 - 28 Sep 2025
Cited by 1 | Viewed by 1011
Abstract
Catalytic methane decomposition (CMD) is an environmentally friendly method of hydrogen production that, unlike other conventional processes, such as steam methane reforming, partial oxidation of methane, and dry reforming of methane, can convert methane into hydrogen with a simultaneous generation of solid carbon [...] Read more.
Catalytic methane decomposition (CMD) is an environmentally friendly method of hydrogen production that, unlike other conventional processes, such as steam methane reforming, partial oxidation of methane, and dry reforming of methane, can convert methane into hydrogen with a simultaneous generation of solid carbon without CO2 emissions. This study mainly focused on the application of carbon-based catalysts derived from biomass and biowaste for the CMD process. For this purpose, eight catalysts were produced from three carbon materials (wood, sewage sludge, and digestate) through the subsequent processes of pyrolysis, leaching, and physical activation. The comparison of catalysts prepared from the slow pyrolysis of biowaste and wood indicated that carbon materials with a lower ash content achieved a higher initial methane conversion (wood char > digestate char > sewage sludge char). For feedstocks with a high initial ash content, such as digestate and sewage sludge chars, an improvement in the catalytic activity was observed after ash removal through the leaching process with HNO3. In addition, physical activation through CO2 fluxing led to an enhancement in the BET surface area of these catalysts, and consequently to a growth in methane conversion. The initial methane conversion was assessed for all chars under operating conditions of 900 °C, a gas hourly space velocity (GHSV) of 3 L/g/h, and a CH4:N2 ratio of 1:9, and it was 65.9, 59.1, and 42.6% v/v, respectively, for chars derived from wood, sewage sludge, and digestate; these values increased to almost 80% v/v when these chars were upgraded by chemical leaching and physical activation. Full article
(This article belongs to the Collection Feature Papers in Bio-Energy)
Show Figures

Graphical abstract

15 pages, 2015 KB  
Article
Influence of Calcination and Reduction Conditions of Ni-Al-LDH Catalysts for CO2 Methanation
by Nailma Martins and Oscar W. Perez-Lopez
Catalysts 2025, 15(8), 760; https://doi.org/10.3390/catal15080760 - 8 Aug 2025
Viewed by 1519
Abstract
CO2 methanation offers a sustainable route to reduce greenhouse gas emissions by converting carbon dioxide into methane, a valuable renewable fuel. This exothermic reaction not only mitigates its environmental impact but also provides energy-efficient benefits, as the heat generated can be reused [...] Read more.
CO2 methanation offers a sustainable route to reduce greenhouse gas emissions by converting carbon dioxide into methane, a valuable renewable fuel. This exothermic reaction not only mitigates its environmental impact but also provides energy-efficient benefits, as the heat generated can be reused in industrial applications. In this study, CO2 methanation was carried out in a continuous flow reactor with a CO2:H2 molar ratio of 1:4 and a gas hourly space velocity (GHSV) of 12,000 h−1, using a Ni-Al-LDH catalyst with a molar ratio of 2.3. The research focused on how calcination and reduction conditions affect catalyst structure and activity. Characterization techniques such as BET, XRD, TPR, H2-TPD, and CO2-TPD revealed that these conditions significantly influence surface area, crystallinity, phase composition, and metal dispersion. A higher reduction temperature decreased the surface area and increased both the crystallite size and basicity. The findings highlight that thermal treatment play a crucial role in optimizing the catalytic properties of NiAl catalyst. The sample calcined at 600 °C showed greater activity at lower reaction temperatures, while the catalyst calcined at 400 °C performed better above 300 °C. Additionally, the evaluation of the effect of the reduction atmosphere during catalyst activation showed that H2 is a more effective reducing gas at lower reaction temperatures, whereas biogas showed a better performance at higher temperatures. Importantly, XRD results showed the catalysts maintained their structural integrity post-reaction, with no significant carbon deposition in the H2 atmosphere, confirming their potential for long-term application in CO2 methanation. Full article
(This article belongs to the Special Issue Catalysis and Technology for CO2 Capture, Conversion and Utilization)
Show Figures

Graphical abstract

19 pages, 2630 KB  
Article
Experimental and Kinetic Modelling Study of the Heterogeneous Catalytic Conversion of Bioethanol into n-Butanol Using MgO–Al2O3 Mixed Oxide Catalyst
by Amosi Makoye, Anna Vikár, András Bence Nacsa, Róbert Barthos, József Valyon, Ferenc Lónyi and Tibor Nagy
Catalysts 2025, 15(8), 709; https://doi.org/10.3390/catal15080709 - 25 Jul 2025
Cited by 2 | Viewed by 1734
Abstract
Ethanol upgrading via catalytic C–C coupling, commonly known as the Guerbet reaction, offers a sustainable route to produce 1-butanol, a high-performance biofuel. To address gaps in the mechanistic understanding of the catalytic reaction, we investigated the process involving a fixed-bed reactor, operated at [...] Read more.
Ethanol upgrading via catalytic C–C coupling, commonly known as the Guerbet reaction, offers a sustainable route to produce 1-butanol, a high-performance biofuel. To address gaps in the mechanistic understanding of the catalytic reaction, we investigated the process involving a fixed-bed reactor, operated at 275–325 °C, 21 bar, and weight hourly space velocities of 0.25–2.5 gEtOH/(gcat·h), using helium as a carrier gas, with a 5:1 He/EtOH molar ratio. The catalyst was a MgO–Al2O3 mixed oxide (Mg/Al = 2:1), derived from a hydrotalcite precursor. A detailed kinetic model was developed, encompassing 15 species and 27 reversible steps (10 sorption and 17 reaction steps), within a 1+1D sorption–reaction–transport framework. Four C4-forming pathways were included: aldol condensation to form crotonaldehyde, semi-direct coupling to form butyraldehyde and crotyl alcohol, and direct coupling to form 1-butanol. To avoid overfitting, Arrhenius parameters were grouped by reaction type, resulting in sixty rate parameters and one active site-specific density parameter. The optimized model achieved high accuracy, with an average prediction error of 1.44 times the experimental standard deviation. The mechanistic analysis revealed aldol condensation as the dominant pathway below 335 °C, with semi-direct coupling to crotyl alcohol prevailing above 340 °C. The resulting model provides a robust framework for understanding and predicting complex reaction networks in ethanol upgrading systems. Full article
(This article belongs to the Special Issue Biomass Catalytic Conversion to Value-Added Chemicals)
Show Figures

Graphical abstract

20 pages, 925 KB  
Review
Catalytic Ammonia Combustion: Legacy Catalytic Burner Designs and Catalyst Requirements for In Situ Hydrogen Production
by Khalid Al Sadi, Ebrahim Nadimi and Dawei Wu
Energies 2025, 18(13), 3505; https://doi.org/10.3390/en18133505 - 2 Jul 2025
Cited by 1 | Viewed by 2861
Abstract
Ammonia is increasingly recognised as a promising carbon-free fuel and hydrogen carrier due to its high hydrogen content, ease of liquefaction, and existing global infrastructure. However, its direct utilisation in combustion systems poses significant challenges, including low flame speed, high ignition temperature, and [...] Read more.
Ammonia is increasingly recognised as a promising carbon-free fuel and hydrogen carrier due to its high hydrogen content, ease of liquefaction, and existing global infrastructure. However, its direct utilisation in combustion systems poses significant challenges, including low flame speed, high ignition temperature, and the formation of nitrogen oxides (NOX). This review explores catalytic ammonia cracking as a viable method to enhance combustion through in situ hydrogen production. It evaluates traditional catalytic burner designs originally developed for hydrocarbon fuels and assesses their adaptability for ammonia-based applications. Special attention is given to ruthenium- and nickel-based catalysts supported on various oxides and nanostructured materials, evaluating their ammonia conversion efficiency, resistance to sintering, and thermal stability. The impact of the main operational parameters, including reaction temperature and gas hourly space velocity (GHSV), is also discussed. Strategies for combining partial ammonia cracking with stable combustion are studied, with practical issues such as catalyst degradation, NOX regulation, and system scalability. The analysis highlights recent advancements in structural catalyst support, which have potential for industrial-scale application. This review aims to provide future development of low-emission, high-efficiency catalytic burner systems and advance ammonia’s role in next-generation hydrogen energy technologies. Full article
Show Figures

Figure 1

21 pages, 3028 KB  
Article
Revolutionizing Hydrogen Production: Unveiling the Role of Liquid Metals in Methane Pyrolysis over Iron Catalysts Supported on Titanium Dioxide and Alumina
by Hamid Ahmed, Amal BaQais, Fekri Abdulraqeb Ahmed Ali, Ahmed I. Osman, Anis H. Fakeeha, Ahmed E. Abasaeed, Ahmed A. Ibrahim, Syed Farooq Adil, Tahani Saad Algarni and Ahmed S. Al-Fatesh
Catalysts 2025, 15(7), 631; https://doi.org/10.3390/catal15070631 - 27 Jun 2025
Viewed by 1536
Abstract
Catalytic methane decomposition offers an attractive and sustainable pathway for producing COx-free hydrogen and valuable carbon nanotubes. This work investigates the innovative use of liquid metals, particularly gallium and indium, as promoters for iron catalysts based on a titanium dioxide and [...] Read more.
Catalytic methane decomposition offers an attractive and sustainable pathway for producing COx-free hydrogen and valuable carbon nanotubes. This work investigates the innovative use of liquid metals, particularly gallium and indium, as promoters for iron catalysts based on a titanium dioxide and alumina composite to improve this process even more. In a fixed-bed reactor operating at 800 °C and atmospheric pressure, all catalyst activities for methane decomposition were thoroughly assessed while keeping the gas hourly space velocity at 6 L/g h. Surface area and porosity, H2-temperature programmed reduction/oxidation, X-ray diffraction, Raman spectroscopy, scanning transmission electron microscopy, and thermogravimetry analysis were utilized to investigate the physicochemical properties of the catalyst. The result showed that iron supported on a titanium-alumina catalyst exhibited higher activity, stability, and reproducibility with a methane conversion of 90% and hydrogen production of 81% after three cycles, with 240 min for each cycle and stability for 480 min. In contrast, the liquid metal-promoted catalysts improved the metal-support interaction and textural properties, such as surface area, pore volume, and particle dispersion of the catalysts. Still, the catalytic efficiency significantly improved. However, the gallium-promoted catalyst displayed excellent reusability. The characterization of the spent catalyst proved that both the iron supported on a titanium-alumina and its gallium-promoted derivative produced graphitic carbon; on the contrary, the indium-promoted catalyst produced amorphous carbon. These results demonstrate how liquid metal promoters can be used to adjust the characteristics of catalysts, providing opportunities for improved reusability and regulated production of carbon byproducts during methane decomposition. Full article
Show Figures

Figure 1

19 pages, 5729 KB  
Article
Highly Engineered Cr-In/H-SSZ-39 Catalyst for Enhanced Performance in CH4-SCR of NOx
by Jiuhu Zhao, Jingjing Jiang, Guanyu Chen, Meng Wang, Xiaoyuan Zuo, Yanjiao Bi and Rongshu Zhu
Molecules 2025, 30(13), 2691; https://doi.org/10.3390/molecules30132691 - 21 Jun 2025
Viewed by 768
Abstract
The selective catalytic reduction of NOx with CH4 (CH4-SCR) holds the potential to simultaneously abate harmful NOx and CH4 greenhouse gases. In this study, a series of bimetallic M-In/H-SSZ-39 catalysts (where M represents Cr, Co, Ce, and [...] Read more.
The selective catalytic reduction of NOx with CH4 (CH4-SCR) holds the potential to simultaneously abate harmful NOx and CH4 greenhouse gases. In this study, a series of bimetallic M-In/H-SSZ-39 catalysts (where M represents Cr, Co, Ce, and Fe) were prepared via an ion exchange method and subsequently evaluated for their CH4-SCR activity. The influences of the preparation parameters, including the metal ion concentration and calcination temperature, as well as the operating conditions, such as the CH4/NO ratio, O2 concentration, water vapor content, and gas hourly space velocity (GHSV), on the catalytic activity of the optimal Cr-In/H-SSZ-39 catalyst were meticulously examined. The results revealed that the Cr-In/H-SSZ-39 catalyst exhibited peak CH4-SCR catalytic performance when the Cr(NO3)3 concentration was 0.0075 M, the In(NO3)3 concentration was 0.066 M, and the calcination temperature was 500 °C. Under optimal operating conditions, namely GHSV of 10,000 h−1, 400 ppm NO, 800 ppm CH4, 15 vol% O2, and 6 vol% H2O, the NOx conversion rate reached 93.4%. To shed light on the excellent performance of Cr-In/H-SSZ-39 under humid conditions, a comparative analysis of the crystalline phase, chemical composition, pore structure, surface chemical state, surface acidity, and redox properties of Cr-In/H-SSZ-39 and In/H-SSZ-39 was conducted. The characterization results indicated that the incorporation of Cr into In/H-SSZ-39 enhanced its acidity and also facilitated the generation of InO+ active species, which promoted the oxidation of NO and the activation of CH4, respectively. A synergistic effect was observed between Cr and In species, which significantly improved the redox properties of the catalyst. Consequently, the activated CH4 could further interact with InO+ to produce carbon-containing intermediates such as HCOO, which ultimately reacted with nitrate-based intermediates to yield N2, CO2, and H2O. Full article
(This article belongs to the Special Issue Heterogeneous Catalysis for Sustainability and Carbon-Neutrality)
Show Figures

Figure 1

13 pages, 3851 KB  
Article
Ce/Mn Co-Doping Induces Synergistic Effects for Low-Temperature NH3-SCR over Ba2Ti5O12 Catalysts
by Wei Zhao, Wang Zhao, Haiwen Wang, Dingwen Zhang, Qian Wang, Aijian Wang, Danhong Shang and Qin Zhong
Catalysts 2025, 15(6), 593; https://doi.org/10.3390/catal15060593 - 15 Jun 2025
Cited by 1 | Viewed by 1171
Abstract
To develop eco-friendly low-temperature NH3-SCR catalysts for the non-electric industry, a series of CeMn-modified Ba2Ti5O12 catalysts were synthesized using the sol-gel method to achieve denitrification. Activity tests revealed that Ce-Mn-modified Ba2Ti5O12 [...] Read more.
To develop eco-friendly low-temperature NH3-SCR catalysts for the non-electric industry, a series of CeMn-modified Ba2Ti5O12 catalysts were synthesized using the sol-gel method to achieve denitrification. Activity tests revealed that Ce-Mn-modified Ba2Ti5O12 catalysts exhibit excellent low-temperature denitrification performance with a broad operational temperature window. Characterization through XRD, XPS, BET, NH3-TPD, and EPR indicated that Ce-Mn modification enhances surface oxygen chemisorption and increases acidity, significantly improving NOx reduction. Notably, the optimal catalyst achieved NOx conversion rates exceeding 90% within the temperature range of 90 to 240 °C under a gas hourly space velocity (GHSV) of 28,000 h−1. In particular, the coexistence of Ce and Mn species promotes the oxidation of NO to NO2, facilitating the “fast SCR” reaction. The abundance of valence states further enhances the catalyst’s ultra-low-temperature NH3-SCR denitration performance. Full article
Show Figures

Figure 1

15 pages, 1691 KB  
Article
Simultaneous Adsorption and Purification of Low-Concentration SO2 and H2S
by Xiaoli Cao, Lin Zhang, Qun Cui and Haiyan Wang
Molecules 2025, 30(11), 2302; https://doi.org/10.3390/molecules30112302 - 24 May 2025
Viewed by 1282
Abstract
The simultaneous adsorption and removal of low concentrations of SO2 and H2S using experimental and simulation methods were investigated in this paper. The adsorption breakthrough performance of the single-component SO2 or H2S was determined in the activated [...] Read more.
The simultaneous adsorption and removal of low concentrations of SO2 and H2S using experimental and simulation methods were investigated in this paper. The adsorption breakthrough performance of the single-component SO2 or H2S was determined in the activated carbon fixed-bed test. Langmuir and extended Langmuir equations in the Aspen adsorption module were used to describe the adsorption equilibrium of the single and bi-component SO2 and H2S system, respectively. The effects of gas hourly space velocity (GHSV) and temperature on the dynamic adsorption process of the bi-component SO2/H2S system were investigated. The concentration distribution and adsorption capacity of SO2/H2S in the bed were simulated. The results showed that the simulation for the single-component breakthrough curves of SO2 or H2S agreed well with the experimental data. It indicated that the model and simulation yielded engineering acceptable accuracy. For the bi-component adsorption, the competitive adsorption effect was observed, with H2S as the weakly adsorbed component and SO2 as the strongly adsorbed component. The dynamic adsorption process showed the sequence of initial adsorption, breakthrough, replacement, and equilibrium. The breakthrough curves were characterized by the distinct hump (roll-up) for H2S, resulting from the replacement effect. The influence of GHSV and the temperature on the dynamic adsorption process were investigated, revealing that the lower velocity and temperature enhanced the adsorption. This work might be used for the design and optimization of adsorption bed for the simultaneous removal of SO2 and H2S in Claus tail gas. Full article
Show Figures

Graphical abstract

15 pages, 1749 KB  
Article
Optimizing Methane Oxidative Coupling over La2O3: Kinetic and Product Analysis
by Zhehao Qiu and Yulu Cai
Catalysts 2025, 15(5), 499; https://doi.org/10.3390/catal15050499 - 20 May 2025
Viewed by 1438
Abstract
The oxidative coupling of methane (OCM) is a promising process for converting methane directly into more valuable ethane and ethylene. In this work, high time resolution online mass spectrometry was employed to track the OCM reaction over a commercial La2O3 [...] Read more.
The oxidative coupling of methane (OCM) is a promising process for converting methane directly into more valuable ethane and ethylene. In this work, high time resolution online mass spectrometry was employed to track the OCM reaction over a commercial La2O3 catalyst, focusing on the effects of methane to oxygen ratio, gas hourly space velocity (GHSV), and the presence of H2O and CO in the feed gas on methane conversion and C2 yield. The results demonstrated that an optimized GHSV (44,640 to 93,000 mL·g−1·h−1) and methane to oxygen ratio (CH4/O2 = 3) would achieve the highest methane conversion and C2 yield at 740 °C. Furthermore, at a GHSV of 44,640 mL·g−1·h−1, the introduction of 1% H2O into the reaction mixture resulted in a twofold increase in C2 yield at 650 °C, while the addition of 1% CO led to a threefold increase in C2 yield at 550 °C. A model in which only the front-end catalyst is active was also developed to show excellent agreement with the experimental data. The relationship between catalytic performance and the effective catalyst position in the catalyst bed provides important insights into optimizing reactor design and operating conditions to maximize C2 yield and selectivity in the OCM reaction. Full article
Show Figures

Figure 1

20 pages, 3643 KB  
Article
Unlocking Catalytic Efficiency: How Preparation Strategies and Copper Loading Enhance Hydroxyapatite Catalysts for NH3 Oxidation
by Sebastiano Campisi, Melissa Greta Galloni and Antonella Gervasini
Catalysts 2025, 15(4), 405; https://doi.org/10.3390/catal15040405 - 21 Apr 2025
Cited by 2 | Viewed by 1285
Abstract
The selective catalytic oxidation of ammonia (NH3-SCO) is gaining attention due to the hazardous nature of NH3 and its inclusion in emission reduction frameworks such as the National Emission Ceilings Directive and the Gothenburg Protocol (1999). Copper-based hydroxyapatite (Cu/HAP) catalysts [...] Read more.
The selective catalytic oxidation of ammonia (NH3-SCO) is gaining attention due to the hazardous nature of NH3 and its inclusion in emission reduction frameworks such as the National Emission Ceilings Directive and the Gothenburg Protocol (1999). Copper-based hydroxyapatite (Cu/HAP) catalysts have emerged as a promising solution, offering high activity and cost-effectiveness. This study evaluated two preparation methods: a one-pot co-precipitation technique and post-synthesis copper deposition, varying both the contact time and copper concentration. The influence of copper loading and preparation method on catalyst performance in NH3-SCO was investigated in a continuous flow reactor over a temperature range of 200–500 °C, with a fixed gas hourly space velocity (GHSV) of 120,000 h1 and an NH3/O2 ratio of 0.03. X-ray diffraction and DR-UV spectroscopy confirmed the high crystallinity of HAP and provided insights into copper speciation. X-ray photoelectron spectroscopy revealed that Cu/HAP catalysts prepared via one-pot co-precipitation predominantly contained isolated Cu2+ species, which were associated with high catalytic activity in selective NH3-SCO. Conversely, a higher degree of copper structuring was observed in catalysts prepared by post-synthesis deposition, particularly at higher Cu loadings. These findings highlight the potential to tailor Cu structuring on HAP to enhance performance in NH3-SCO through optimized preparation strategies. Full article
(This article belongs to the Special Issue New Trends in Catalysis: ELITECAT 2024)
Show Figures

Graphical abstract

24 pages, 2794 KB  
Article
CO2-Assisted Oxidative Dehydrogenation of Propane to Propylene over Modified SiO2 Based Catalysts
by Alexandra Florou, Aliki Kokka, Georgios Bampos and Paraskevi Panagiotopoulou
Catalysts 2024, 14(12), 933; https://doi.org/10.3390/catal14120933 - 18 Dec 2024
Cited by 1 | Viewed by 2721
Abstract
The oxidative dehydrogenation of propane with CO2 (CO2-ODP) was investigated over different metal oxides MxOy (M: Ca, Sn, Cr, Ga) supported on a SiO2 surface. Catalysts were characterized employing nitrogen adsorption/desorption, X-ray diffraction (XRD), CO2 [...] Read more.
The oxidative dehydrogenation of propane with CO2 (CO2-ODP) was investigated over different metal oxides MxOy (M: Ca, Sn, Cr, Ga) supported on a SiO2 surface. Catalysts were characterized employing nitrogen adsorption/desorption, X-ray diffraction (XRD), CO2 temperature programmed desorption (CO2-TPD) and pyridine adsorption/desorption experiments in order to identify their physicochemical properties and correlate them with their activity and selectivity for the CO2-ODP reaction. The effect of operating reaction conditions on catalytic performance was also examined, aiming to improve the propylene yield and suppress side reactions. Surface acidity and basicity were found to be affected by the nature of MxOy, which in turn affected the conversion of propane to propylene, which was in all cases higher compared to that of bare SiO2. Propane conversion, reaction rate and selectivities towards propylene and carbon monoxide were maximized for the Ga- and Cr-containing catalysts characterized by moderate surface basicity, which were also able to limit the undesired reactions leading to ethylene and methane byproducts. High surface acidity was found to be beneficial for the CO2-ODP reaction, which, however, should not be excessive to ensure high catalytic activity. The silica-supported Ga2O3 catalyst exhibited sufficient stability with time and better than that of the most active Cr2O3-SiO2 catalyst. Decreasing the weight gas hourly space velocity resulted in a significant improvement in both propane conversion and propylene yield as well as a suppression of undesired product formation. Increasing CO2 concentration in the feed did not practically affect propane conversion, while led to a decrease in propylene yield. The ratio of propylene to ethylene selectivity was optimized for CO2:C3H8 = 5:1 and space velocity of 6000 mL g−1 h−1, most possibly due to facilitation of the C–H bond cleavage against that of the C–C bond. Results of the present study provided evidence that the efficient conversion of propane to propylene is feasible over silica-based composite metal oxides, provided that catalyst characteristics have been optimized and reaction conditions have been properly selected. Full article
(This article belongs to the Special Issue Feature Papers in "Industrial Catalysis" Section, 2nd Edition)
Show Figures

Graphical abstract

Back to TopTop