Investigation of Biogas Dry Reforming over Ru/CeO2 Catalysts and Pd/YSZ Membrane Reactor
Abstract
1. Introduction
2. Materials and Methods
3. Results and Discussion
3.1. H2 Permeation
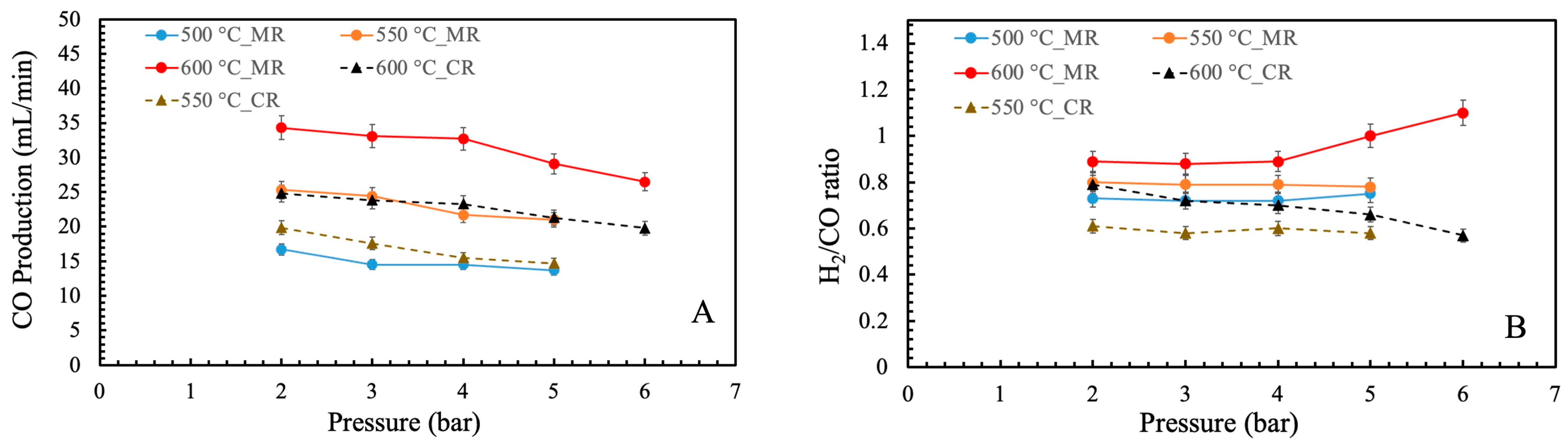
3.2. MR Performance
3.3. Comparison of Ru/CeO2 and Ni/Al2O3 Catalyst
4. Conclusions
Author Contributions
Funding
Data Availability Statement
Acknowledgments
Conflicts of Interest
Abbreviations
| BDR | biogas dry reforming |
| CR | conventional reactor |
| ELP | electroless plating |
| GHGs | greenhouse gases |
| GHSV | gas hourly space velocity |
| MR | membrane reactor |
| MDR | methane dry reforming |
| R | universal gas constant |
| SMR | steam methane reforming |
| Symbols | |
| Ea | apparent activation energy |
| JH2 | hydrogen permeating flux |
| n | dependence factor |
| PeH2 | hydrogen permeability |
| partial pressures in the permeate side | |
| partial pressure in the retentate side | |
| PH2 | hydrogen permeance |
| Pe0 | pre-exponential factor |
| δ | membrane thickness |
| α | ideal selectivity |
References
- Adejumo, M.; Jazani, O.; Shildebayev, T.; Liguori, S. Chapter Four—Efficient ammonia decomposition in membrane reactor for hydrogen separation, purification, storage, and utilization. In Progresses in Ammonia: Science, Technology and Membranes; Basile, A., Rahimpour, M.R., Eds.; Elsevier: Amsterdam, The Netherlands, 2024; pp. 67–94. [Google Scholar] [CrossRef]
- Gulzar, A.; Gulzar, A.; Ansari, M.B.; He, F.; Gai, S.; Yang, P. Carbon dioxide utilization: A paradigm shift with CO2 economy. Chem. Eng. J. Adv. 2020, 3, 100013. [Google Scholar] [CrossRef]
- Alper, E.; Orhan, O.Y. CO2 utilization: Developments in conversion processes. Petroleum 2017, 3, 109–126. [Google Scholar] [CrossRef]
- Valluri, S.; Claremboux, V.; Kawatra, S. Opportunities and challenges in CO2 utilization. J. Environ. Sci. 2022, 113, 322–344. [Google Scholar] [CrossRef]
- Tashie-Lewis, B.C.; Nnabuife, S.G. Hydrogen Production, Distribution, Storage and Power Conversion in a Hydrogen Economy—A Technology Review. Chem. Eng. J. Adv. 2021, 8, 100172. [Google Scholar] [CrossRef]
- Pal, D.B.; Singh, A.; Bhatnagar, A. A review on biomass based hydrogen production technologies. Int. J. Hydrogen Energy 2022, 47, 1461–1480. [Google Scholar] [CrossRef]
- Midilli, A.; Kucuk, H.; Topal, M.E.; Akbulut, U.; Dincer, I. A comprehensive review on hydrogen production from coal gasification: Challenges and Opportunities. Int. J. Hydrogen Energy 2021, 46, 25385–25412. [Google Scholar] [CrossRef]
- Jazani, O.; Adejumo, M.; Elharati, M.A.; Liguori, S. Low-Carbon Hydrogen Production via Ethanol Reforming Reactions in Membrane Reactors: Recent Advances and Future Directions. Energy Fuels 2024, 38, 19992–20014. [Google Scholar] [CrossRef]
- Saravanan, A.; Senthil kumar, P.; Vo, D.V.N.; Jeevanantham, S.; Bhuvaneswari, V.; Narayanan, V.A.; Yaashikaa, P.R.; Swetha, S.; Reshma, B. A comprehensive review on different approaches for CO2 utilization and conversion pathways. Chem. Eng. Sci. 2021, 236, 116515. [Google Scholar] [CrossRef]
- James, O.O.; Mesubi, A.M.; Ako, T.C.; Maity, S. Increasing carbon utilization in Fischer-Tropsch synthesis using H2-deficient or CO2-rich syngas feeds. Fuel Process. Technol. 2010, 91, 136–144. [Google Scholar] [CrossRef]
- Gao, Y.; Jiang, J.; Meng, Y.; Yan, F.; Aihemaiti, A. A review of recent developments in hydrogen production via biogas dry reforming. Energy Convers. Manag. 2018, 171, 133–155. [Google Scholar] [CrossRef]
- Usman, M.; Daud, W.M.A.W.; Abbas, H.F. Dry reforming of methane: Influence of process parameters—A review. Renew. Sustain. Energy Rev. 2015, 45, 710–744. [Google Scholar] [CrossRef]
- Parente, M.; Soria, M.A.; Madeira, L.M. Hydrogen and/or syngas production through combined dry and steam reforming of biogas in a membrane reactor: A thermodynamic study. Renew. Energy 2020, 157, 1254–1264. [Google Scholar] [CrossRef]
- Yoosefdoost, A.; Jazani, O.; Liguori, S.; Das, A.; Santos, R.M. Toward Carbon-Negative Methanol Production from Biogas: Intensified Membrane Reactor. ChemCatChem 2024, 17, e202400698. [Google Scholar] [CrossRef]
- Jazani, O.; Adejumo, M.; Liguori, S. Hydrogen production via biogas reforming reaction in tubular Pd/YSZ membrane reactor. Chem. Eng. J. 2025, 523, 168535. [Google Scholar] [CrossRef]
- Nishimura, A.; Takada, T.; Ohata, S.; Kolhe, M.L. Biogas Dry Reforming for Hydrogen through Membrane Reactor Utilizing Negative Pressure. Fuels 2021, 2, 194–209. [Google Scholar] [CrossRef]
- Leimert, J.M.; Karl, J.; Dillig, M. Dry reforming of methane using a nickel membrane reactor. Processes 2017, 5, 82. [Google Scholar] [CrossRef]
- Carapellucci, R.; Giordano, L. Steam, dry and autothermal methane reforming for hydrogen production: A thermodynamic equilibrium analysis. J. Power Sources 2020, 469, 228391. [Google Scholar] [CrossRef]
- Muraza, O.; Galadima, A. A review on coke management during dry reforming of methane. Int. J. Energy Res. 2015, 39, 1196–1216. [Google Scholar] [CrossRef]
- Pashchenko, D. Experimental study of methane reforming with products of complete methane combustion in a reformer filled with a nickel-based catalyst. Energy Convers. Manag. 2019, 183, 159–166. [Google Scholar] [CrossRef]
- Bach, V.R.; de Camargo, A.C.; de Souza, T.L.; Cardozo-Filho, L.; Alves, H.J. Dry reforming of methane over Ni/MgO–Al2O3 catalysts: Thermodynamic equilibrium analysis and experimental application. Int. J. Hydrogen Energy 2020, 45, 5252–5263. [Google Scholar] [CrossRef]
- Hou, Z.; Chen, P.; Fang, H.; Zheng, X.; Yashima, T. Production of synthesis gas via methane reforming with CO2 on noble metals and small amount of noble-(Rh-) promoted Ni catalysts. Int. J. Hydrogen Energy 2006, 31, 555–561. [Google Scholar] [CrossRef]
- Ferreira-Aparicio, P.; Rodrı, I.; Anderson, J.A.; Guerrero-Ruiz, A. Mechanistic aspects of the dry reforming of methane over ruthenium catalysts. Appl. Catal. A Gen. 2000, 202, 183–196. [Google Scholar] [CrossRef]
- Feng, J.; Ding, Y.; Guo, Y.; Li, X.; Li, W. Calcination temperature effect on the adsorption and hydrogenated dissociation of CO2 over the NiO/MgO catalyst. Fuel 2013, 109, 110–115. [Google Scholar] [CrossRef]
- Hua, W.; Jin, L.; He, X.; Liu, J.; Hu, H. Preparation of Ni/MgO catalyst for CO2 reforming of methane by dielectric-barrier discharge plasma. Catal. Commun. 2010, 11, 968–972. [Google Scholar] [CrossRef]
- Kwon, Y.; Eichler, J.E.; Floto, M.E.; Mullins, C.B. The complementary relationship between Ru/Al2O3 and Ni/Al2O3 catalyst for dry reforming of methane. Chem. Eng. Res. Des. 2023, 195, 624–636. [Google Scholar] [CrossRef]
- Djinović, P.; Črnivec, I.G.O.; Batista, J.; Levec, J.; Pintar, A. Catalytic syngas production from greenhouse gasses: Performance comparison of Ru-Al2O3 and Rh-CeO2 catalysts. Chem. Eng. Process. Process Intensif. 2011, 50, 1054–1062. [Google Scholar] [CrossRef]
- Odedairo, T.; Chen, J.; Zhu, Z. Metal–support interface of a novel Ni–CeO2 catalyst for dry reforming of methane. Catal. Commun. 2013, 31, 25–31. [Google Scholar] [CrossRef]
- Chen, W.; Zhao, G.; Xue, Q.; Chen, L.; Lu, Y. High carbon-resistance Ni/CeAlO3-Al2O3 catalyst for CH4/CO2 reforming. Appl. Catal. B 2013, 136–137, 260–268. [Google Scholar] [CrossRef]
- Manan, W.N.; Isahak, W.N.R.W.; Yaakob, Z. CeO2-Based Heterogeneous Catalysts in Dry Reforming Methane and Steam Reforming Methane: A Short Review. Catalysts 2022, 12, 452. [Google Scholar] [CrossRef]
- Sorbino, G.; Di Benedetto, A.; Italiano, C.; Thomas, M.; Vita, A.; Ruoppolo, G.; Landi, G. Novel Ni–Ru/CeO2 catalysts for low-temperature steam reforming of methane. Int. J. Hydrogen Energy 2025, 137, 961–975. [Google Scholar] [CrossRef]
- Gallucci, F.; Tosti, S.; Basile, A. Pd-Ag tubular membrane reactors for methane dry reforming: A reactive method for CO2 consumption and H2 production. J. Memb. Sci. 2008, 317, 96–105. [Google Scholar] [CrossRef]
- García-García, F.R.; Soria, M.A.; Mateos-Pedrero, C.; Guerrero-Ruiz, A.; Rodríguez-Ramos, I.; Li, K. Dry reforming of methane using Pd-based membrane reactors fabricated from different substrates. J. Memb. Sci. 2013, 435, 218–225. [Google Scholar] [CrossRef]
- Mamivand, S.; Binazadeh, M.; Sohrabi, R. Applicability of membrane reactor technology in industrial hydrogen producing reactions: Current effort and future directions. J. Ind. Eng. Chem. 2021, 104, 212–230. [Google Scholar] [CrossRef]
- Jazani, O.; Adejumo, M.; Liguori, S. Chapter 3—Alcohol reforming processes in membrane reactors. In Current Trends and Future Developments on (Bio-) Membranes; Basile, A., Ghasemzadeh, K., Eds.; Elsevier: Amsterdam, The Netherlands, 2025; pp. 51–79. [Google Scholar] [CrossRef]
- Jazani, O.; Elharati, M.A.; Liguori, S. Effects of Porous Supports and Binary Gases on Hydrogen Permeation in Pd-Ag-Y Alloy Membrane. J. Memb. Sci. 2024, 713, 123327. [Google Scholar] [CrossRef]
- Jazani, O.; Bennett, J.; Liguori, S. Carbon-low, renewable hydrogen production from methanol steam reforming in membrane reactors—A review. Chem. Eng. Process. Process Intensif. 2023, 189, 109382. [Google Scholar] [CrossRef]
- Minardi, E.R.; Chakraborty, S.; Curcio, S. Membrane reactors for dry reforming of methane. In Membrane Reactors for Energy Applications and Basic Chemical Production; Elsevier Inc.: Amsterdam, The Netherlands, 2015; pp. 99–104. [Google Scholar] [CrossRef]
- Sumrunronnasak, S.; Tantayanon, S.; Kiatgamolchai, S.; Sukonket, T. Improved hydrogen production from dry reforming reaction using a catalytic packed-bed membrane reactor with Ni-based catalyst and dense PdAgCu alloy membrane. Int. J. Hydrogen Energy 2016, 41, 2621–2630. [Google Scholar] [CrossRef]
- Galuszka, J.; Pandey, R.N.; Ahmed, S. Methane conversion to syngas in a palladium membrane reactor. Catal. Today 1998, 46, 83–89. [Google Scholar] [CrossRef]
- Bosko, M.L.; Múnera, J.F.; Lombardo, E.A.; Cornaglia, L.M. Dry reforming of methane in membrane reactors using Pd and Pd-Ag composite membranes on a NaA zeolite modified porous stainless steel support. J. Memb. Sci. 2010, 364, 17–26. [Google Scholar] [CrossRef]
- Caravella, A.; Brunetti, A.; Grandinetti, M.; Barbieri, G. Dry reforming of methane in a Pd-Ag membrane reactor: Thermodynamic and experimental analysis. ChemEngineering 2018, 2, 48. [Google Scholar] [CrossRef]
- Jazani, O.; Bennett, J.; Liguori, S. Effect of temperature, air exposure and gas mixture on Pd82–Ag15–Y3 membrane for hydrogen separation. Int. J. Hydrogen Energy 2023, 51, 624–636. [Google Scholar] [CrossRef]
- Yolcular, S. Hydrogen recovery from methylcyclohexane as a chemical hydrogen carrier using a palladium membrane reactor. Energy Sources Part A Recovery Util. Environ. Eff. 2016, 38, 2148–2152. [Google Scholar] [CrossRef]
- Tong, J.; Su, L.; Kashima, Y.; Shirai, R.; Suda, H.; Matsumura, Y. Simultaneously Depositing Pd–Ag Thin Membrane on Asymmetric Porous Stainless Steel Tube and Application To Produce Hydrogen from Steam Reforming of Methane. Ind. Eng. Chem. Res. 2006, 45, 648–655. [Google Scholar] [CrossRef]
- Su, C.; Jin, T.; Kuraoka, K.; Matsumura, Y.; Yazawa, T. Thin Palladium Film Supported on SiO2-Modified Porous Stainless Steel for a High-Hydrogen-Flux Membrane. Ind. Eng. Chem. Res. 2005, 44, 3053–3058. [Google Scholar] [CrossRef]
- Bosko, M.L.; Ojeda, F.; Lombardo, E.A.; Cornaglia, L.M. NaA zeolite as an effective diffusion barrier in composite Pd/PSS membranes. J. Memb. Sci. 2009, 331, 57–65. [Google Scholar] [CrossRef]
- Mardilovich, P.P.; She, Y.; Ma, Y.H.; Rei, M.-H. Defect-free palladium membranes on porous stainless-steel support. AIChE J. 1998, 44, 310–322. [Google Scholar] [CrossRef]
- Liguori, S.; Iulianelli, A.; Dalena, F.; Pinacci, P.; Drago, F.; Broglia, M.; Huang, Y.; Basile, A. Performance and Long-Term Stability of Pd/PSS and Pd/Al2O3 Membranes for Hydrogen Separation. Membranes 2014, 4, 143–162. [Google Scholar] [CrossRef]
- Wu, L.-Q.; Xu, N.; Shi, J. Preparation of a Palladium Composite Membrane by an Improved Electroless Plating Technique. Ind. Eng. Chem. Res. 2000, 39, 342–348. [Google Scholar] [CrossRef]
- Keuler, J.N.; Lorenzen, L.; Miachon, S. Preparing and testing Pd films of thickness 1–2 micrometer with high selectivity and high hydrogen permeance. Sep. Sci. Technol. 2002, 37, 379–401. [Google Scholar] [CrossRef]
- Simakov, D.S.A.; Román-Leshkov, Y. Highly efficient methane reforming over a low-loading Ru/Γ-Al2O3 catalyst in a Pd-Ag membrane reactor. AIChE J. 2018, 64, 3101–3108. [Google Scholar] [CrossRef]
- Silva, F.A.; Hori, C.E.; Da Silva, A.M.; Mattos, L.V.; Múnera, J.; Cornaglia, L.; Noronha, F.B.; Lombardo, E. Hydrogen production through CO2 reforming of CH4 over Pt/CeZrO2/Al2O3 catalysts using a Pd–Ag membrane reactor. Catal. Today 2012, 193, 64–73. [Google Scholar] [CrossRef]
- Coronel, L.; Múnera, J.F.; Lombardo, E.A.; Cornaglia, L.M. Pd based membrane reactor for ultra pure hydrogen production through the dry reforming of methane. Experimental and modeling studies. Appl. Catal. A Gen. 2011, 400, 185–194. [Google Scholar] [CrossRef]
- Ke, C.; Lin, Z. Elementary reaction pathway study and a deduced macrokinetic model for the unified understanding of Ni-catalyzed steam methane reforming. React. Chem. Eng. 2020, 5, 873–885. [Google Scholar] [CrossRef]
- Yu, J.; Le, T.; Jing, D.; Stavitski, E.; Hunter, N.; Lalit, K.; Leshchev, D.; Resasco, D.E.; Sargent, E.H.; Wang, B.; et al. Balancing elementary steps enables coke-free dry reforming of methane. Nat. Commun. 2023, 14, 7514. [Google Scholar] [CrossRef]
- Qu, P.-F.; Wang, G.-C. A Comprehensive Mechanistic Study for Dry Reforming of Methane over CeO2-Supported TM4 clusters (TM = Ru, Pt, Co, Ni). ACS Appl. Mater. Interfaces 2024, 16, 66052–66065. [Google Scholar] [CrossRef] [PubMed]
- Moreno, A.Á.; Ramirez-Reina, T.; Ivanova, S.; Roger, A.-C.; Centeno, M.Á.; Odriozola, J.A. Bimetallic Ni–Ru and Ni–Re Catalysts for Dry Reforming of Methane: Understanding the Synergies of the Selected Promoters. Front. Chem. 2021, 9, 694976. [Google Scholar] [CrossRef]
- Yang, E.; Nam, E.; Lee, J.; Lee, H.; Park, E.D.; Lim, H.; An, K. Al2O3-Coated Ni/CeO2 nanoparticles as coke-resistant catalyst for dry reforming of methane. Catal. Sci. Technol. 2020, 10, 8283–8294. [Google Scholar] [CrossRef]
- Jin, B.; Shang, Z.; Li, S.; Jiang, Y.-B.; Gu, X.; Liang, X. Reforming of methane with carbon dioxide over cerium oxide promoted nickel nanoparticles deposited on 4-channel hollow fibers by atomic layer deposition. Catal. Sci. Technol. 2020, 10, 3212–3222. [Google Scholar] [CrossRef]
- Lorber, K.; Zavašnik, J.; Arčon, I.; Huš, M.; Teržan, J.; Likozar, B.; Djinović, P. CO2 Activation over Nanoshaped CeO2 Decorated with Nickel for Low-Temperature Methane Dry Reforming. ACS Appl. Mater. Interfaces 2022, 14, 31862–31878. [Google Scholar] [CrossRef]
- Hepburn, C.; Adlen, E.; Beddington, J.; Carter, E.A.; Fuss, S.; Dowell, N.M.; Minx, J.C.; Smith, P.; Williams, C.K. The technological and economic prospects for CO2 utilization and removal. Nature 2019, 575, 87–97. [Google Scholar] [CrossRef] [PubMed]
- Lucas, J.; Naveen, N.S.P.; Janik, M.J.; Alexopoulos, K.; Noh, G.; Aireddy, D.; Ding, K.; Dorman, J.A.; Dooley, K.M. Improved Selectivity and Stability in Methane Dry Reforming by Atomic Layer Deposition on Ni-CeO2–ZrO2/Al2O3 Catalysts. ACS Catal. 2024, 14, 9115–9133. [Google Scholar] [CrossRef]






| Operating Conditions |
|---|
| CH4/CO2 molar ratio = 1/1 |
| Pressure (bar) = 1–6 |
| Temperature (°C) = 500–600 |
| GHSV* (h−1) = 800 |
| Catalyst mass (g) = 5.4 |
| Total feed flow rate (mL/min) = 80 |
| Sweep gas flow rate (mL/min) = 30 |
| Sweep gas = N2 |
| Membrane | Preparation Method | T (°C) | H2 Permeance (mol.m−2.s−1.Pa−1) | Ref | |
|---|---|---|---|---|---|
| Pd/TiO2 | 13 | ELP | 375 | 1.6 10−6 | [44] |
| Pd/PSS | 6 | ELP | 550 | 2 10−6 | [45] |
| Pd/SiO2/PSS | 6 | ELP | 500 | 2.7 10−6 | [46] |
| Pd/PSS | 19 | ELP | 450 | 1.1 10−6 | [47] |
| Pd/YSZ | 13 | ELP | 500 | 1.4 10−6 | This work |
| Pd/YSZ | 13 | ELP | 550 | 1.7 10−6 | This work |
| Pd/YSZ | 13 | ELP | 600 | 1.8 10−6 | This work |
| Membrane | Ea (kJ/mol) | Ref | |
|---|---|---|---|
| Pd/Al2O3 | 4.5 | 18.3 | [46] |
| Pd/PSS | 20 | 16.4 | [48] |
| Pd/PSS | 10 | 14.7 | [49] |
| Pd/TiO2 | 0.4 | 21.2 | [50] |
| Pd/Al2O3 | 6 | 18.5 | [51] |
| Pd/YSZ | 13 | 23.4 | This work |
| Membrane | ) | Catalyst | T (°C) | P (Bar) | CH4 Conversion (%) | CO2 Conversion (%) | H2 Recovery (%) | Ref |
|---|---|---|---|---|---|---|---|---|
| Pd | 22 | Ru/ZrO2/La2O3 | 400 | 1 | 10 | - | - | [33] |
| Pd | 22 | Ru/ZrO2/La2O3 | 450 | 1 | 26 | - | - | [33] |
| Pd–Ag | 100 | Ru/Al2O3 | 500 | 2 | 22 | - | 17 | [42] |
| Pd | 20 | Rh/La2O3 | 450 | 1 | 17 | - | 47 | [41] |
| Pd | 20 | Rh/La2O3 | 500 | 1 | 25 | - | 60 | [41] |
| Pd–Ag | 23 | Rh/La2O3 | 450 | 1 | 15 | - | 62 | [41] |
| Pd–Ag | 5 | Ru/Al2O3 | 650 | 8 | 50 | 20 | - | [52] |
| Pd–Ag | 50 | Pt/CeZrO2/Al2O3 | 550 | 1 | 44 | - | - | [53] |
| Pd–Ag | 50 | Rh/La2O3 | 550 | 1 | 40 | - | - | [54] |
| Pd | 13 | Ru/CeO2 | 500 | 2 | 15 | 18 | 42 | This work |
| Pd | 13 | Ru/CeO2 | 600 | 6 | 43 | 32 | 78 | This work |
| Pressure | H2 Production (mL/min) | CO Production (mL/min) | H2 Yield (%) | H2/CO Ratio | ||||
|---|---|---|---|---|---|---|---|---|
| Ni | Ru | Ni | Ru | Ni | Ru | Ni | Ru | |
| 2 | 14.4 | 12.3 | 12 | 16.7 | 19 | 15.4 | 1.2 | 0.73 |
| 3 | 15.1 | 10.5 | 10.1 | 14.5 | 19.9 | 13.1 | 1.5 | 0.72 |
| 4 | 16.6 | 10.5 | 8.9 | 14.4 | 21.8 | 12.5 | 1.9 | 0.72 |
| 5 | 17 | 10.9 | 8.6 | 13.7 | 22.3 | 13.2 | 2 | 0.75 |
| Pressure | H2 Production (mL/min) | CO Production (mL/min) | H2 Yield (%) | H2/CO Ratio | ||||
|---|---|---|---|---|---|---|---|---|
| Ni | Ru | Ni | Ru | Ni | Ru | Ni | Ru | |
| 2 | 30.1 | 20.5 | 12 | 25.3 | 39.6 | 25.6 | 2.5 | 0.8 |
| 3 | 33 | 19.4 | 11 | 24.4 | 43.3 | 24.2 | 3 | 0.79 |
| 4 | 33.9 | 17.6 | 9.9 | 21.7 | 44.6 | 22.1 | 3.4 | 0.78 |
| 5 | 35.1 | 16.6 | 9 | 21 | 46.2 | 20.7 | 3.9 | 0.78 |
Disclaimer/Publisher’s Note: The statements, opinions and data contained in all publications are solely those of the individual author(s) and contributor(s) and not of MDPI and/or the editor(s). MDPI and/or the editor(s) disclaim responsibility for any injury to people or property resulting from any ideas, methods, instructions or products referred to in the content. |
© 2026 by the authors. Licensee MDPI, Basel, Switzerland. This article is an open access article distributed under the terms and conditions of the Creative Commons Attribution (CC BY) license.
Share and Cite
Jazani, O.; Liguori, S. Investigation of Biogas Dry Reforming over Ru/CeO2 Catalysts and Pd/YSZ Membrane Reactor. Membranes 2026, 16, 34. https://doi.org/10.3390/membranes16010034
Jazani O, Liguori S. Investigation of Biogas Dry Reforming over Ru/CeO2 Catalysts and Pd/YSZ Membrane Reactor. Membranes. 2026; 16(1):34. https://doi.org/10.3390/membranes16010034
Chicago/Turabian StyleJazani, Omid, and Simona Liguori. 2026. "Investigation of Biogas Dry Reforming over Ru/CeO2 Catalysts and Pd/YSZ Membrane Reactor" Membranes 16, no. 1: 34. https://doi.org/10.3390/membranes16010034
APA StyleJazani, O., & Liguori, S. (2026). Investigation of Biogas Dry Reforming over Ru/CeO2 Catalysts and Pd/YSZ Membrane Reactor. Membranes, 16(1), 34. https://doi.org/10.3390/membranes16010034

