Sign in to use this feature.

Years

Between: -

Subjects

remove_circle_outline
remove_circle_outline
remove_circle_outline
remove_circle_outline
remove_circle_outline
remove_circle_outline
remove_circle_outline
remove_circle_outline
remove_circle_outline

Journals

remove_circle_outline
remove_circle_outline
remove_circle_outline
remove_circle_outline
remove_circle_outline
remove_circle_outline
remove_circle_outline
remove_circle_outline
remove_circle_outline

Article Types

Countries / Regions

remove_circle_outline
remove_circle_outline
remove_circle_outline
remove_circle_outline
remove_circle_outline

Search Results (1,311)

Search Parameters:
Keywords = fuel-saving

Order results
Result details
Results per page
Select all
Export citation of selected articles as:
31 pages, 1499 KB  
Article
Opportunities for Green H2 in EU High-Speed-Crafts Decarbonization Through Well-to-Wake GHG Emissions Assessment
by Alba Martínez-López, África Marrero and Alejandro Romero-Filgueira
J. Mar. Sci. Eng. 2026, 14(2), 190; https://doi.org/10.3390/jmse14020190 - 16 Jan 2026
Abstract
This paper introduces a mathematical model to assess the polluting impact of the decarbonization options for medium-sized High-Speed Crafts in the EU, and their consequences in terms of Market-Based Measure costs and Goal-Based Measure compliance under expected regulatory scenarios. This model is applied [...] Read more.
This paper introduces a mathematical model to assess the polluting impact of the decarbonization options for medium-sized High-Speed Crafts in the EU, and their consequences in terms of Market-Based Measure costs and Goal-Based Measure compliance under expected regulatory scenarios. This model is applied to a particular European High-Speed Craft operating in the Canary Islands. Considering slow steaming along with High Speed Craft’s retrofitting with alternative technologies for its electricity supply, we conclude that green H2 fuel Cells provide the greatest environmental advantage by comparison with slow steaming alone, achieving a 6.96% improvement in emissions and savings under European Market-Based Measures of 39.76% by 2033. The expected regulative progression involves a 5.90% improvement in the Market-Based Measure costs’ convergence with the actual pollution impact of High-Speed Crafts. The findings warn about the pressing need to review the implementation of On-Shore Power Supply emissions into the Fuel EU fines, and about a concerning pull effect for the most polluting European High-Speed Crafts are moved towards the outermost regions of the EU due to their permanent exceptions from the application of the European Market-Based Measures. Full article
20 pages, 2472 KB  
Article
Filtration System for Reducing CO2 Concentration from Combustion Gases of Used Spark Ignition Engines
by Radu Tarulescu, Stelian Tarulescu, Razvan Gabriel Boboc and Mircea Nastasoiu
Vehicles 2026, 8(1), 19; https://doi.org/10.3390/vehicles8010019 - 15 Jan 2026
Viewed by 22
Abstract
This research paper proposes a solution to reduce CO2 emissions from a spark ignition engine’s exhaust gases by installing a filtration system on the vehicle’s exhaust pipe. The analyzed filtration system was not patented and was in the testing stage. Tests will [...] Read more.
This research paper proposes a solution to reduce CO2 emissions from a spark ignition engine’s exhaust gases by installing a filtration system on the vehicle’s exhaust pipe. The analyzed filtration system was not patented and was in the testing stage. Tests will also be carried out on the stand. The tested system can be used to reduce CO2 levels in automotive exhaust gases and for static applications (generators, internal combustion engine test stands, fossil fuel power generation systems). The need for a system to reduce pollutant emissions emerged with the average age in Europe. In proper conditions, some vehicles can use this type of filtration system. The tested vehicle is a vehicle (produced in 2009) equipped with a 75HP Spark Ignition Engine. The CO2 filtration system consists of a container containing a reactive aqueous solution comprising water, CaO, and MgO. Four tests were performed: the first without a filter, and the other three with the filter placed at different distances from the exhaust pipe end to the reactive solution surface. The tests consisted of evaluating the exhaust gases from the cold start of the engine and running (idle engine speed) until the engine reached the optimal operating temperature. The test procedure involved saving the data collected by the analyzer every 10 s for each of the four tests performed (the duration of a test was 1050 s). The first test (No. 1) was performed without the use of the filtering system. Tests 2, 3, and 4 were carried out using the filtering system and changing the distance between the exhaust gases’ outlet point and the surface of the aqueous substance. All tests were carried out under similar conditions. Data specific to the test of engines were collected—emissions (CO2, CO, NOx), ambient temperature, and exhaust temperature. The tests were analyzed and compared, and the highest CO2 reductions without increases in CO or NOx were observed in Tests 3 and 4. Based on the detailed analysis of the values obtained from the four tests, the system was efficient. The tests will continue on experimental engines from test stands, to develop a prototype filter for primarily static applications with internal combustion engines: test stands for engines and generators, and, after homologation, directly on vehicles. The paper aims to partially solve an important problem—reducing the level of CO2 from the exhaust gases. The presented solution may have applicability in the automotive industry but is also feasible for static applications. Another objective is to reduce emissions from older vehicles, which are widespread in certain regions of Europe and worldwide. Full article
(This article belongs to the Special Issue Intelligent Mobility and Sustainable Automotive Technologies)
Show Figures

Figure 1

28 pages, 3861 KB  
Article
Sustainability and Economic Viability: Transitioning RORO Pax Ships to Green and Blue Hydrogen Fuels
by Nader R. Ammar and Ibrahim S. Seddiek
Sustainability 2026, 18(2), 885; https://doi.org/10.3390/su18020885 - 15 Jan 2026
Viewed by 52
Abstract
This study examines the environmental and economic impacts of transitioning RORO Pax ships from diesel to green and blue hydrogen fuel, focusing on the Jazan case study vessel. It evaluates the environmental and economic effects for both retrofitted and new vessels. Findings reveal [...] Read more.
This study examines the environmental and economic impacts of transitioning RORO Pax ships from diesel to green and blue hydrogen fuel, focusing on the Jazan case study vessel. It evaluates the environmental and economic effects for both retrofitted and new vessels. Findings reveal that hydrogen-powered PEMFC engines achieve a 99.13% reduction in NOx emissions and reduce both SOx and CO2 emissions to minimum values. The analysis indicates that retrofitting with blue hydrogen can achieve a lifetime emission reduction of approximately 134 kton, yielding a net benefit of USD 4.46 per ton of emissions reduced. Newbuilding options present a more favorable financial profile at USD 19.31 per ton, surpassing green hydrogen’s USD 16.61 per ton. The study highlights the economic infeasibility of retrofitting existing vessels due to insufficient operational life, while hydrogen fuel becomes viable for sustainable new builds after 6 to 10 years, potentially resulting in annual cost savings of USD 2 to USD 3 million and competitive hydrogen production costs of up to USD 0.30 per kWh. Full article
(This article belongs to the Section Air, Climate Change and Sustainability)
Show Figures

Figure 1

26 pages, 5509 KB  
Article
Reducing Ship Emissions Through Specialized Maintenance: A Case Study Based on Real Data
by Sonia Zaragoza, Julio Barreiro Montes, Julio Z. Seoane and Feliciano Fraguela Díaz
J. Mar. Sci. Eng. 2026, 14(2), 160; https://doi.org/10.3390/jmse14020160 - 12 Jan 2026
Viewed by 171
Abstract
Maintenance operations represent one of the most underutilized opportunities to reduce emissions and improve the energy efficiency of ships. This study proposes an innovative approach that analyzes such interventions from a holistic perspective of energy, environment, and economics using real operational data from [...] Read more.
Maintenance operations represent one of the most underutilized opportunities to reduce emissions and improve the energy efficiency of ships. This study proposes an innovative approach that analyzes such interventions from a holistic perspective of energy, environment, and economics using real operational data from two liquefied natural gas (LNG) carriers before and after their maintenance operations. The results show that comprehensive actions such as complete hull and propeller cleaning can reduce fuel consumption by more than 30% and CO2 emissions by more than 15%, in addition to improving propulsive efficiency by between 18% and 34%. In contrast, minor interventions, such as underwater propeller cleaning, have a limited effect with very specific improvements in fuel savings at certain speed ranges, but no significant effect on emissions or shaft power. In particular, the study demonstrates that a single comprehensive maintenance operation can change the Carbon Intensity Indicator (CII) rating from category E to D, reinforcing the strategic role of maintenance in the decarbonization and revaluation of maritime transport. Full article
(This article belongs to the Section Marine Environmental Science)
Show Figures

Figure 1

27 pages, 3313 KB  
Article
Weather Routing Optimisation for Ships with Wind-Assisted Propulsion
by Ageliki Kytariolou and Nikos Themelis
J. Mar. Sci. Eng. 2026, 14(2), 148; https://doi.org/10.3390/jmse14020148 - 9 Jan 2026
Viewed by 164
Abstract
Wind-assisted ship propulsion (WASP) has gained considerable interest as a means of reducing fuel consumption and Greenhouse Gas (GHG) emissions, with further benefits when combined with weather-optimized routing. This study employs and extends a National Technical University of Athens (NTUA) weather-routing optimization tool [...] Read more.
Wind-assisted ship propulsion (WASP) has gained considerable interest as a means of reducing fuel consumption and Greenhouse Gas (GHG) emissions, with further benefits when combined with weather-optimized routing. This study employs and extends a National Technical University of Athens (NTUA) weather-routing optimization tool to more realistically assess WASP performance through integrated modeling. The original tool minimized fuel consumption using forecasted weather data and a physics-based performance model. A previous extension to account for the WASP effect introduced a 1-Degree Of Freedom (DOF) model that accounted only for longitudinal hydrodynamic and aerodynamic forces, estimating the reduced main-engine power required to maintain speed in given conditions. The current study incorporates a 3-DOF model that includes side forces and yaw moments, capturing resulting drift and rudder deflection effects. A Kamsarmax bulk carrier equipped with suction sails served as the case study. Initial simulations across various operating and weather conditions compared the two models. The 1-DOF model predicted fuel-saving potential up to 26% for the tested apparent wind speed and the range of possible headings, whereas the 3-DOF model indicated that transverse effects reduce WASP benefits by 2–7%. Differences in Main Engine (ME) power estimates between the two models reached up to 7% Maximum Continuous Rating (MCR) depending on the speed of wind. The study then applied both models within a weather-routing optimization framework to assess whether the optimal routes produced by each model differ and to quantify performance losses. It was found that the revised optimal route derived from the 3-DOF model improved total Fuel Oil Consumption (FOC) savings by 1.25% compared with the route optimized using the 1-DOF model when both were evaluated with the 3-DOF model. Full article
Show Figures

Figure 1

21 pages, 11735 KB  
Article
Low-Thrust Transfer Method for Full Orbital Element Convergence Using J2 Precession
by Zhengqing Fang, Roberto Armellin and Yingkai Cai
Astronautics 2026, 1(1), 4; https://doi.org/10.3390/astronautics1010004 - 5 Jan 2026
Viewed by 214
Abstract
Low-thrust propulsion systems have become mainstream for Low Earth Orbit (LEO) satellites due to their superior propellant efficiency, yet conventional low-thrust transfer strategies suffer from high computational costs and failure to achieve full orbital element convergence. To address these drawbacks, this paper proposes [...] Read more.
Low-thrust propulsion systems have become mainstream for Low Earth Orbit (LEO) satellites due to their superior propellant efficiency, yet conventional low-thrust transfer strategies suffer from high computational costs and failure to achieve full orbital element convergence. To address these drawbacks, this paper proposes a novel semi-analytical three-phase low-thrust transfer strategy that leverages J2 gravitational precession to realize convergence of all orbital elements for circular orbits. The core of the method lies in the design of two symmetric thrust arcs and an intermediate coasting period that utilizes J2 precession. By solving the resulting polynomial equation, the strategy achieves simultaneous controlled convergence of the Right Ascension of the Ascending Node (RAAN) and the argument of latitude (AOL). Simulation results demonstrate that the proposed method achieves significant fuel savings compared to direct transfer strategies, while simultaneously achieving superior computational speed. Extensive validation via 100,000 Monte Carlo simulations confirms the method’s scope of applicability, and the sufficient conditions for the existence of a solution are provided. It is further found that the proposed method is particularly well-suited for missions involving medium-to-high inclination orbits and large RAAN gaps, such as constellation deployment. In conclusion, this strategy provides a fuel-efficient and computationally fast solution for low-thrust transfer, establishing the basis for the operational management of future large-scale space systems equipped with low-thrust propulsion. Full article
(This article belongs to the Special Issue Feature Papers on Spacecraft Dynamics and Control)
Show Figures

Figure 1

22 pages, 1377 KB  
Article
Energy Management Revolution in Unmanned Aerial Vehicles Using Deep Learning Approach
by Sunisa Kunarak
Appl. Sci. 2026, 16(1), 503; https://doi.org/10.3390/app16010503 - 4 Jan 2026
Viewed by 200
Abstract
Unmanned aerial vehicles (UAVs) are playing increasingly important roles in military operations, disaster relief, agriculture, and communications. However, their performance is limited by energy management problems, especially in hybrid systems such as those combining fuel cells with a lithium battery. The potential of [...] Read more.
Unmanned aerial vehicles (UAVs) are playing increasingly important roles in military operations, disaster relief, agriculture, and communications. However, their performance is limited by energy management problems, especially in hybrid systems such as those combining fuel cells with a lithium battery. The potential of deep learning to significantly improve UAV power management is investigated in this work through adaptive forecasting and real-time optimization. We develop smart algorithms that automatically balance energy efficiency and communication performance for heterogeneous wireless networks. The simulation results demonstrate energy consumption savings, optimized flight altitudes, and spectral efficiency improvements compared to Fixed Weight and Fuzzy Logic Weight schemes. At saturated user densities, the model enables up to 42% lower energy consumption and 54% higher throughput. Moreover, predictive models based on recurrent and transformer-based deep networks allow UAVs to predict energy requirements over a variety of mission and environmental contexts, shifting from reactive approaches to proactive control. The adoption of these methods in UAV-aided beyond-5G (B5G) and future 6G network scenarios can potentially prolong endurance times and enhance mission connectivity and reliability in challenging environments. This work lays the foundation for an all-aspect framework to control and manage UAV energy in the 5G era, which takes advantage of not only deep learning but also edge computing and hybrid power systems. Deep learning is confirmed to be a keystone of sustainable, autonomous, and energy-aware UAVs operation for next-generation networks. Full article
Show Figures

Figure 1

21 pages, 2266 KB  
Article
Path Optimization for Aircraft Based on Geographic Information Systems and Deep Learning
by Saadi Turied Kurdi, Luttfi A. Al-Haddad and Ahmed Ali Farhan Ogaili
Automation 2026, 7(1), 12; https://doi.org/10.3390/automation7010012 - 3 Jan 2026
Viewed by 233
Abstract
Autonomous navigation for agricultural UAVs faces persistent challenges due to atmospheric disturbances such as wind direction, temperature gradients, and pressure variations, which can lead to significant deviations from planned flight paths. This study presents a deep learning-based navigation approach that integrates geographic information [...] Read more.
Autonomous navigation for agricultural UAVs faces persistent challenges due to atmospheric disturbances such as wind direction, temperature gradients, and pressure variations, which can lead to significant deviations from planned flight paths. This study presents a deep learning-based navigation approach that integrates geographic information systems (GIS) with deep neural networks (DNNs) to improve energy efficiency and trajectory accuracy in agricultural UAV operations. To simulate realistic environmental disturbances, actual flight data from an Iraqi Airways short-haul route (Baghdad–Istanbul–Baghdad) were utilized. These trajectories were affected by both tailwinds and headwinds and were analyzed and modeled to train a DNN capable of predicting and correcting path deviations. The optimized system was then tested in a simulated agricultural UAV context. Results show that for tailwind conditions (Baghdad–Istanbul), the GIS-DNN model reduced fuel consumption by 610 L and flight time by 31 min compared to actual conditions. In headwind conditions (Istanbul–Baghdad), the model achieved a 558 L fuel saving and reduced the flight time by 28 min. Based on these results, it can be concluded that deep learning integrated with GIS can significantly enhance UAV path optimization for improved energy efficiency and mission reliability in precision agriculture. Full article
Show Figures

Figure 1

23 pages, 1506 KB  
Article
Exergoeconomic Assessment of a Cogeneration Unit Using Biogas
by Ana Lívia Formiga Leite de Lima, Carlos Antônio Cabral dos Santos, Alvaro Antonio Villa Ochoa, Daniel Rodríguez López, Paula Suemy Arruda Michima, José Ângelo Peixoto da Costa and Gustavo de Novaes Pires Leite
Processes 2026, 14(1), 134; https://doi.org/10.3390/pr14010134 - 30 Dec 2025
Viewed by 227
Abstract
Biogas, a promising fuel for present and future generations, is produced from the anaerobic digestion of organic waste generated by the condominium itself. Therefore, this work aims to evaluate the exergoeconomic performance of a biogas cogeneration unit designed to meet the electrical and [...] Read more.
Biogas, a promising fuel for present and future generations, is produced from the anaerobic digestion of organic waste generated by the condominium itself. Therefore, this work aims to evaluate the exergoeconomic performance of a biogas cogeneration unit designed to meet the electrical and thermal energy demands of a residential condominium in the city of Teresina, Piauí, Northeast Brazil. The cogeneration unit consists of an internal combustion engine (ICE) coupled to an electric generator (genset) to produce electricity, and a heat exchanger that recovers part of the exhaust-gas heat to heat water. The analysis was conducted based on the concepts of Thermodynamics and Exergoeconomics, using the SPECO (Specific Exergy Costing) methodology to define the exergetic costs of the system. The novelty of the work lies in applying the SPECO exergoeconomic analysis to a small-scale biogas cogeneration unit fueled by residential organic waste. The achieved electricity production was 167.40 kW, and the heat transfer rate at the exchange rate was 51.55 kW. The results revealed that the exergy destroyed in the internal combustion chamber (ICE) was 223.65 kW, whereas that in the heat exchanger was significantly higher at 45.67 kW. The exergy efficiency of the ICE reached 39.19%, and the heat exchanger efficiency was around 9%. In financial terms, the cost of exergy destroyed in the ICEC was USD/h 135, but in the heat exchanger, it was dramatically higher at USD/h 158.40. The cost of producing hot water (product) was considered extremely high (USD/GJ 38.98). The relative difference parameter in the heat exchanger also has a value much higher than expected (10.240). This is because the product’s cost (USD/GJ 38.98) is well above the cost of fuel (USD/GJ 3.468). This study concludes that the cogeneration unit is more justifiable by the savings generated through thermal energy production than by electricity production alone, since the cogeneration system significantly enhances performance, raising both the energetic and exergetic efficiencies to 55% and 48%, respectively, thereby confirming the added value of the simultaneous utilization of heat and power. Full article
Show Figures

Figure 1

28 pages, 11264 KB  
Article
A New Genetic Algorithm-Based Optimization Methodology for Energy Efficiency in Buildings
by Luis Angel Iturralde Carrera, Omar Rodríguez-Abreo, Jose Manuel Álvarez-Alvarado, Gerardo I. Pérez-Soto, Carlos Gustavo Manriquez-Padilla and Juvenal Rodríguez-Reséndiz
Algorithms 2026, 19(1), 27; https://doi.org/10.3390/a19010027 - 26 Dec 2025
Viewed by 379
Abstract
This study aims to develop a methodology for implementing solar photovoltaic systems (SSFV) in Caribbean hotels. It begins with an analysis of building characteristics to design and size the SSFV, considering panel support structures, system layout, and grid integration. The methodology also evaluates [...] Read more.
This study aims to develop a methodology for implementing solar photovoltaic systems (SSFV) in Caribbean hotels. It begins with an analysis of building characteristics to design and size the SSFV, considering panel support structures, system layout, and grid integration. The methodology also evaluates economic and environmental impacts at both company and national levels. Machine learning analysis identified the variables (Degree Days (DG) and Hotel Days Occupied (HDO)) HDO×DG as key determinants of energy consumption, with a high coefficient of determination (R2 = 0.97). Implementing a target energy-saving line achieved a 5.3% reduction (1028 kWh) relative to the baseline. Using a genetic algorithm to optimize the SSFV azimuth angle increased photovoltaic energy production by 14.75%, enhancing efficiency and installation area use. Economic assessments showed a challenging scenario for hotels, with a negative internal rate of return of −10%, a 17 year payback period, and a net present value of USD 20,000. However, on a national scale, significant annual savings of USD 225,990.8 from reduced fuel imports were projected. Additionally, carbon emissions reductions of 18,751.4 tons (tCO2) were estimated. The findings highlight the feasibility and benefits of SSFV implementation, emphasizing its potential to improve energy efficiency, reduce costs, and enhance sustainability in the Caribbean hotel sector. Full article
Show Figures

Figure 1

17 pages, 8612 KB  
Article
Intelligent Extremum Seeking Control of PEM Fuel Cells for Optimal Hydrogen Utilization in Hydrogen Electric Vehicles
by Hafsa Abbade, Hassan El Fadil, Abdessamad Intidam, Abdellah Lassioui, Tasnime Bouanou and Ahmed Hamed
World Electr. Veh. J. 2026, 17(1), 15; https://doi.org/10.3390/wevj17010015 - 25 Dec 2025
Viewed by 247
Abstract
In terms of their high efficiency and low environmental impact, proton exchange membrane fuel cells (PEMFC) are becoming increasingly essential in the development of hydrogen electric vehicles. Despite these advantages, optimizing hydrogen consumption remains difficult because of the highly nonlinear behavior of PEMFC [...] Read more.
In terms of their high efficiency and low environmental impact, proton exchange membrane fuel cells (PEMFC) are becoming increasingly essential in the development of hydrogen electric vehicles. Despite these advantages, optimizing hydrogen consumption remains difficult because of the highly nonlinear behavior of PEMFC systems and their sensitivity to variations in operating conditions. This article outlines an intelligent control approach based on extremum seeking control (ESC), based on an artificial neural network (ANN) model, to improve hydrogen utilization in hydrogen electric vehicles. Experimental data on current, voltage, and temperature are collected, preprocessed, and used to train the ANN model of the PEMFC. The ESC algorithm uses this predictive ANN model to adjust the fuel cell current in real time, ensuring voltage stability while reducing hydrogen consumption. The simulation results demonstrate that the ANN-based ESC system provides voltage stability under dynamic load variations and achieves approximately 2.7% hydrogen savings without affecting the experimental current profile, validating the efficacy of the suggested strategy for effective hydrogen management in fuel cell electric vehicles. Full article
(This article belongs to the Special Issue Vehicle System Dynamics and Intelligent Control for Electric Vehicles)
Show Figures

Figure 1

30 pages, 2625 KB  
Article
Hybrid Neutrosophic Fuzzy Multi-Criteria Assessment of Energy Efficiency Enhancement Systems: Sustainable Ship Energy Management and Environmental Aspect
by Hakan Demirel, Mehmet Karadağ, Veysi Başhan, Yusuf Tarık Mutlu, Cenk Kaya, Muhammet Gul and Emre Akyuz
Sustainability 2026, 18(1), 166; https://doi.org/10.3390/su18010166 - 23 Dec 2025
Viewed by 325
Abstract
Improving ship energy efficiency has become a critical priority for reducing fuel consumption and meeting international decarbonization targets. In this study, eight major groups of energy efficiency improvement systems—including wind and solar energy technologies, hull and propeller modifications, air lubrication, green propulsion options, [...] Read more.
Improving ship energy efficiency has become a critical priority for reducing fuel consumption and meeting international decarbonization targets. In this study, eight major groups of energy efficiency improvement systems—including wind and solar energy technologies, hull and propeller modifications, air lubrication, green propulsion options, waste heat recovery, and engine power limitation—were evaluated against seven critical success factors. A hybrid neutrosophic fuzzy multi-criteria decision-making (MCDM) framework was employed to capture expert uncertainty and prioritize alternatives. Neutrosophic fuzzy sets were adopted because they more comprehensively represent uncertainty—simultaneously modeling truth, indeterminacy, and falsity, providing superior capability to address expert ambiguity compared with classical fuzzy, intuitionistic fuzzy, gray, or other uncertainty-handling frameworks. Trapezoidal Neutrosophic Fuzzy Analytic Hierarchy Process (AHP) (TNF-AHP) was first applied to determine the relative importance of the criteria, highlighting fuel savings and cost-effectiveness as dominant factors with 38% weight. Subsequently, the Fuzzy Combined Compromise Solution (F-CoCoSo) method was used to rank the alternatives. Results indicate that solar energy systems and wind-assisted propulsion consistently rank highest (with 3.35 and 2.92 performance scores) across different scenarios, followed by green propulsion technologies, while waste heat recovery and engine power limitation show lower performance. These findings not only provide a structured assessment of current technological options, but also offer actionable guidance for shipowners, operators, and policymakers seeking to prioritize investments in sustainable maritime operations. Full article
(This article belongs to the Special Issue Sustainable Maritime Governance and Shipping Risk Management)
Show Figures

Figure 1

14 pages, 3946 KB  
Article
Metallurgical Properties of Lump Ore and Practice of High-Proportion Lump Ore for Low-Carbon Smelting of Blast Furnace
by Yufeng Guo, Yanqin Xie, Lei Fang, Heming Ju, Shuai Wang, Feng Chen and Lingzhi Yang
Metals 2026, 16(1), 12; https://doi.org/10.3390/met16010012 - 22 Dec 2025
Viewed by 270
Abstract
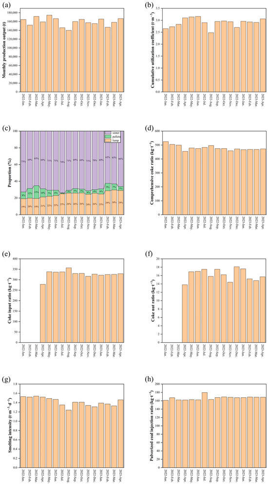
The existing blast furnace burden structure in China is mainly dominated by high-alkalinity sinter and acid pellets, with a relatively small proportion of lump ore blended in. Against the backdrop of the “dual-carbon” goals, iron and steel plants are under enormous pressure to [...] Read more.
The existing blast furnace burden structure in China is mainly dominated by high-alkalinity sinter and acid pellets, with a relatively small proportion of lump ore blended in. Against the backdrop of the “dual-carbon” goals, iron and steel plants are under enormous pressure to save energy and reduce carbon emissions. Lump ore is directly extracted from mines and belongs to zero-carbon-emission blast furnace burden. Therefore, adjusting and optimizing the blast furnace burden structure by partially replacing sinter and pellets with lump ore is an important approach for iron and steel plants to reduce carbon emissions. Based on the metallurgical properties and decrepitation index of different types of lump ore as well as the proportion of lump ore charged into the blast furnace, and with full consideration of the interaction of the comprehensive metallurgical properties of the blended burden charged into the furnace, the metallurgical properties of sinter are adjusted to ensure good comprehensive metallurgical properties of the blended burden. By adjusting the blast furnace operation to an appropriate regime, the proportion of comprehensive lump ore in the charged burden has been achieved to be ≥28%, and the blast furnace fuel ratio to be ≤515 kg per ton of iron. Full article
(This article belongs to the Section Metal Casting, Forming and Heat Treatment)
Show Figures

Figure 1

45 pages, 9477 KB  
Review
Decarbonization Pathways in Underground Mining in Cold and Arctic Climates: A Review of Heat Recovery Systems with Case Studies in Canada
by Hosein Kalantari and Seyed Ali Ghoreishi-Madiseh
Energies 2026, 19(1), 22; https://doi.org/10.3390/en19010022 - 19 Dec 2025
Viewed by 257
Abstract
In cold climates, mine air conditioning systems are essential for preventing liners and shaft components from freezing. Traditionally, fossil fuel burners are used to heat intake air, resulting in high energy consumption and significant greenhouse gas emissions. As part of efforts to reduce [...] Read more.
In cold climates, mine air conditioning systems are essential for preventing liners and shaft components from freezing. Traditionally, fossil fuel burners are used to heat intake air, resulting in high energy consumption and significant greenhouse gas emissions. As part of efforts to reduce both environmental impacts and energy use, mining companies are increasingly adopting innovative solutions, such as heat recovery systems. These systems offer a promising approach to significantly reduce energy demand for underground mine heating. This study evaluates several heat recovery technologies including exhaust air, water, hybrid exhaust air–water, diesel exhaust, jacket water, and hybrid diesel exhaust–jacket-water systems, through numerical modeling. Two case studies are presented: a grid-connected mine in British Columbia with moderately cold conditions, and an off-grid mine in the Northwest Territories, which experiences Arctic climate extremes. Results show that heat recovery can reduce heating costs by up to 89% in British Columbia and as much as 90% in the Northwest Territories, depending on the system applied. The findings also demonstrate substantial associated carbon emission reductions. Furthermore, a comprehensive feasibility analysis was carried out to evaluate the thermodynamic performance, financial savings, and carbon emission reductions of these systems across various mining operations, offering a preliminary assessment of their potential for mining settings. Full article
(This article belongs to the Special Issue Numerical Study of Waste and Exhaust Heat Recovery)
Show Figures

Figure 1

23 pages, 11512 KB  
Article
Realizing Fuel Conservation and Safety for Emerging Mixed Traffic Flows: The Mechanism of Pulse and Glide Under Signal Coordination
by Ayinigeer Wumaierjiang, Jinjun Sun, Hongang Li, Wei Dai and Chongshuo Xu
Symmetry 2025, 17(12), 2170; https://doi.org/10.3390/sym17122170 - 17 Dec 2025
Viewed by 214
Abstract
Pulse and glide (PnG) has limited application in urban traffic flows, particularly in emerging mixed traffic flows comprising connected and automated vehicles (CAVs) and human-driven vehicles (HDVs), as well as at signalized intersections. In light of this, green wave coordination is applied to [...] Read more.
Pulse and glide (PnG) has limited application in urban traffic flows, particularly in emerging mixed traffic flows comprising connected and automated vehicles (CAVs) and human-driven vehicles (HDVs), as well as at signalized intersections. In light of this, green wave coordination is applied to the urban network of multiple signalized intersections. Under perception asymmetries, HDVs lack environmental perception capabilities, while CAVs are equipped with perception sensors of varying performance. CAVs could activate the PnG mode and set its average speed based on signal phase and safety status, enabling assessment of fuel savings and safety. The findings reveal that (i) excluding idling fuel consumption, when the traffic volume is low and market penetration rate (MPR) of CAVs exceeds 70%, CAVs could significantly reduce regional average fuel consumption by up to 8.8%. (ii) Compared to HDVs, CAVs could achieve a fuel saving rate (FSR) ranging from 7.1% to 50%. In low-traffic-volume conditions, CAVs with greater detection ranges could swiftly activate the PnG mode to achieve fuel savings, while in higher-traffic-volume conditions, more precise sensing aids effectiveness. (iii) the PnG mode could ensure safety for CAVs and HDVs, with CAVs equipped with highly precise sensing exhibiting particularly robust safety performance. Full article
(This article belongs to the Special Issue Symmetry/Asymmetry in Intelligent Transportation System)
Show Figures

Figure 1

Back to TopTop