Sign in to use this feature.

Years

Between: -

Subjects

remove_circle_outline
remove_circle_outline
remove_circle_outline
remove_circle_outline
remove_circle_outline
remove_circle_outline
remove_circle_outline
remove_circle_outline
remove_circle_outline

Journals

remove_circle_outline
remove_circle_outline
remove_circle_outline
remove_circle_outline
remove_circle_outline
remove_circle_outline
remove_circle_outline
remove_circle_outline
remove_circle_outline
remove_circle_outline
remove_circle_outline
remove_circle_outline

Article Types

Countries / Regions

remove_circle_outline
remove_circle_outline
remove_circle_outline
remove_circle_outline
remove_circle_outline
remove_circle_outline

Search Results (1,519)

Search Parameters:
Keywords = fuel cell technology

Order results
Result details
Results per page
Select all
Export citation of selected articles as:
29 pages, 2200 KB  
Article
Method of Comparative Analysis of Energy Consumption in Passenger Car Fleets with Internal Combustion, Hybrid, Battery Electric, and Hydrogen Powertrains in Long-Term European Operating Conditions
by Lech J. Sitnik and Monika Andrych-Zalewska
Energies 2026, 19(3), 616; https://doi.org/10.3390/en19030616 (registering DOI) - 25 Jan 2026
Abstract
Accurately determining actual energy consumption is essential for guiding technological developments in the transport sector, assessing vehicle development outcomes, and designing effective energy and climate policies. Although laboratory driving cycles such as the WLTP provide standardized benchmarks, they do not reflect the complex [...] Read more.
Accurately determining actual energy consumption is essential for guiding technological developments in the transport sector, assessing vehicle development outcomes, and designing effective energy and climate policies. Although laboratory driving cycles such as the WLTP provide standardized benchmarks, they do not reflect the complex interactions between human behavior, environmental conditions, and vehicle dynamics under real-world operating conditions. This article presents an integrated framework for assessing long-term, actual energy carrier consumption in four main vehicle categories: internal combustion engine vehicles (ICEVs), hybrid electric vehicles (HEVs), hydrogen fuel cell electric vehicles (H2EVs), and battery electric vehicles (BEVs). The entire discussion here is based on the results of data analysis from natural operation using the so-called vehicle energy footprint. This framework provides a method for determining the average energy carrier consumption for each group of vehicles with the specified drivetrains. This information formed the basis for assessing the total energy demand for the operation of the analyzed vehicle types in normal operation. The simulations show that among mid-range passenger vehicles, ICEVs are the most energy-intensive in normal operation, followed by H2EVs and HEVs, and BEVs are the least. This study highlights the methodological challenges and implications of accurately quantifying energy consumption. The presented method for assessing energy demand in vehicle operation can be useful for manufacturers, consumers, fleet operators, and policymakers, particularly in terms of energy efficiency, emission reduction, and public health protection. Full article
(This article belongs to the Section E: Electric Vehicles)
Show Figures

Figure 1

20 pages, 10816 KB  
Article
Numerical and Performance Optimization Research on Biphase Transport in PEMFC Flow Channels Based on LBM-VOF
by Zhe Li, Runyuan Zheng, Chengyan Wang, Lin Li, Yuanshen Xie and Dapeng Tan
Processes 2026, 14(2), 360; https://doi.org/10.3390/pr14020360 - 20 Jan 2026
Viewed by 162
Abstract
Proton exchange membrane fuel cells (PEMFC) are recognized as promising next-generation energy technology. Yet, their performance is critically limited by inefficient gas transport and water management in conventional flow channels. Current rectangular gas channels (GC) restrict reactive gas penetration into the gas diffusion [...] Read more.
Proton exchange membrane fuel cells (PEMFC) are recognized as promising next-generation energy technology. Yet, their performance is critically limited by inefficient gas transport and water management in conventional flow channels. Current rectangular gas channels (GC) restrict reactive gas penetration into the gas diffusion layer (GDL) due to insufficient longitudinal convection. At the same time, the complex multiphase interactions at the mesoscale pose challenges for numerical modeling. To address these limitations, this study proposes a novel cathode channel design featuring laterally contracted fin-shaped barrier blocks and develops a mesoscopic multiphase coupled transport model using the lattice Boltzmann method combined with the volume-of-fluid approach (LBM-VOF). Through systematic investigation of multiphase flow interactions across channel geometries and GDL surface wettability effects, we demonstrate that the optimized barrier structure induces bidirectional forced convection, enhancing oxygen transport compared to linear channels. Compared with the traditional straight channel, the optimized composite channel achieves a 60.9% increase in average droplet transport velocity and a 56.9% longer droplet displacement distance, while reducing the GDL surface water saturation by 24.8% under the same inlet conditions. These findings provide critical insights into channel structure optimization for high-efficiency PEMFC, offering a validated numerical framework for multiphysics-coupled fuel cell simulations. Full article
(This article belongs to the Section Materials Processes)
Show Figures

Figure 1

20 pages, 8238 KB  
Article
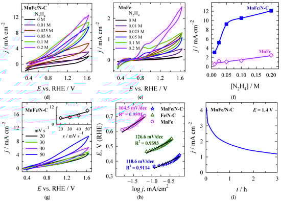
Manganese–Iron-Supported Biomass-Derived Carbon Catalyst for Efficient Hydrazine Oxidation
by Karina Vjūnova, Huma Amber, Dijana Šimkūnaitė, Zenius Mockus, Aleksandrs Volperts, Ance Plavniece, Galina Dobele, Aivars Zhurinsh, Loreta Tamašauskaitė-Tamašiūnaitė and Eugenijus Norkus
Molecules 2026, 31(2), 354; https://doi.org/10.3390/molecules31020354 - 19 Jan 2026
Viewed by 133
Abstract
This study presents a straightforward strategy for producing novel, effective and inexpensive functional non-noble metal-supported carbon materials made from abundant natural biomass. These materials offer a cost-effective alternative to noble metals for the oxidation of hydrazine (HzOR) and demonstrate the potential for widespread [...] Read more.
This study presents a straightforward strategy for producing novel, effective and inexpensive functional non-noble metal-supported carbon materials made from abundant natural biomass. These materials offer a cost-effective alternative to noble metals for the oxidation of hydrazine (HzOR) and demonstrate the potential for widespread adoption of green, energy-saving hydrazine-based technologies in energy applications. Highly efficient and cost-effective iron (Fe) and manganese–iron (MnFe)-supported nitrogen-doped carbon (N–C) materials were developed using hydrothermal synthesis. Meanwhile, the N–C material was obtained from biomass—birch-wood chips—using hydrothermal carbonisation (HTC), followed by activation and nitrogen doping of the resulting hydrochar. The morphology, structure, and composition of the MnFe, MnFe/N–C, and Fe/N–C catalysts were determined using scanning electron microscopy (SEM), X-ray diffraction (XRD), and energy dispersive X-ray spectroscopy (EDS). The activity of the catalysts for HzOR in an alkaline medium was evaluated using cyclic voltammetry (CV). Depositing MnFe particles onto N–C was shown to significantly enhance electrocatalytic activity for HzOR compared to the Fe/N–C catalyst and especially to the MnFe particles catalyst in terms of highly developed porous structure, which offers the largest surface area, lowest onset potential, and highest current density response, resulting in the strongest catalytic activity. These results suggest that the MnFe/N–C catalyst could be a highly promising anode material for HzOR in direct hydrazine fuel cells (DHFCs). Full article
Show Figures

Figure 1

15 pages, 38517 KB  
Article
Enhanced Nutrient Removal from Freshwater Through Microbial Fuel Cells: The Influence of External Resistances
by Aaron Bain, Burton Gibson, Brenique Lightbourne, Kaitlyn Forbes and Williamson Gustave
Pollutants 2026, 6(1), 7; https://doi.org/10.3390/pollutants6010007 - 19 Jan 2026
Viewed by 183
Abstract
Eutrophication is a major threat to freshwater ecosystems, leading to harmful algal blooms, biodiversity loss, and hypoxia. Excessive nutrient loading, primarily from nitrates and phosphates, is driven by fertilizer runoff, sewage discharge, and agricultural practices. Sediment microbial fuel cells (sMFCs) have emerged as [...] Read more.
Eutrophication is a major threat to freshwater ecosystems, leading to harmful algal blooms, biodiversity loss, and hypoxia. Excessive nutrient loading, primarily from nitrates and phosphates, is driven by fertilizer runoff, sewage discharge, and agricultural practices. Sediment microbial fuel cells (sMFCs) have emerged as a potential bioremediation strategy for nutrient removal while generating electricity. Although various studies have explored ways to enhance sMFC performance, limited research has examined the relationship between external resistance, electricity generation, and nutrient removal efficiency. This study demonstrated effective nutrient removal from overlying water, with 1200 Ω achieving the highest nitrate and phosphate removal efficiency at 59.0% and 32.2%, respectively. The impact of external resistances (510 Ω and 1200 Ω) on sMFC performance was evaluated, with the 1200 Ω configuration generating a maximum voltage of 466.7 mV and the 510 Ω configuration generating a maximum current of 0.56 mA. These findings show that external resistance plays a major role in both electrochemical performance and nutrient-removal efficiency. Higher external resistance consistently resulted in greater voltage output and improved removal of nitrate and phosphate. The findings also indicate that sMFCs can serve as a dual-purpose technology for nutrient removal and electricity generation. The power output may be sufficient to support small, eco-friendly biosensing devices in remote aquatic environments while mitigating eutrophication. Full article
Show Figures

Graphical abstract

30 pages, 2087 KB  
Article
Opportunities for Green H2 in EU High-Speed-Crafts Decarbonization Through Well-to-Wake GHG Emissions Assessment
by Alba Martínez-López, África Marrero and Alejandro Romero-Filgueira
J. Mar. Sci. Eng. 2026, 14(2), 190; https://doi.org/10.3390/jmse14020190 - 16 Jan 2026
Viewed by 149
Abstract
This paper introduces a mathematical model to assess the polluting impact of the decarbonization options for medium-sized High-Speed Crafts in the EU, and their consequences in terms of Market-Based Measure costs and Goal-Based Measure compliance under expected regulatory scenarios. This model is applied [...] Read more.
This paper introduces a mathematical model to assess the polluting impact of the decarbonization options for medium-sized High-Speed Crafts in the EU, and their consequences in terms of Market-Based Measure costs and Goal-Based Measure compliance under expected regulatory scenarios. This model is applied to a particular European High-Speed Craft operating in the Canary Islands. Considering slow steaming along with High Speed Craft’s retrofitting with alternative technologies for its electricity supply, we conclude that green H2 fuel Cells provide the greatest environmental advantage by comparison with slow steaming alone, achieving a 6.96% improvement in emissions and savings under European Market-Based Measures of 39.76% by 2033. The expected regulative progression involves a 5.90% improvement in the Market-Based Measure costs’ convergence with the actual pollution impact of High-Speed Crafts. The findings warn about the pressing need to review the implementation of On-Shore Power Supply emissions into the Fuel EU fines, and about a concerning pull effect for the most polluting European High-Speed Crafts are moved towards the outermost regions of the EU due to their permanent exceptions from the application of the European Market-Based Measures. Full article
Show Figures

Figure 1

16 pages, 6793 KB  
Article
Experimental Study on Onboard Hydrogen Production Performance from Methanol Reforming Based on Novel Spinel
by Yufei Sun, Qiuwan Shen, Shian Li and He Miao
J. Mar. Sci. Eng. 2026, 14(2), 188; https://doi.org/10.3390/jmse14020188 - 16 Jan 2026
Viewed by 192
Abstract
The green transformation of the shipping industry urgently requires zero-carbon power, and hydrogen-powered ships such as hydrogen fuel cell ships face bottlenecks in in situ hydrogen production and storage and transportation. Methanol steam reforming (MSR) online hydrogen production is suitable for ship scenarios, [...] Read more.
The green transformation of the shipping industry urgently requires zero-carbon power, and hydrogen-powered ships such as hydrogen fuel cell ships face bottlenecks in in situ hydrogen production and storage and transportation. Methanol steam reforming (MSR) online hydrogen production is suitable for ship scenarios, reducing costs and increasing efficiency while helping achieve zero carbon throughout the entire lifecycle, which has important practical significance. The key technology for MSR technology is the performance of the catalyst. A series of Cu1−xMnxAl2O4 catalysts were successfully synthesized and applied for hydrogen production in this study. The catalyst structure was characterized using physicochemical techniques including XRD, SEM, and EDS. Hydrogen production performance was evaluated in a fixed-bed reactor under the following conditions: a liquid hourly space velocity (LHSV) of 20 h−1, a water-to-methanol molar ratio of 3:1, and a reaction temperature range of 275 °C–350 °C. The results demonstrate that A-site Mn substitution significantly enhanced the catalytic performance. In addition, XRD analysis revealed that Mn incorporation effectively suppressed the formation of segregated CuO phases. However, excessive substitution (x is 0.9) led to the generation of an MnAl2O4 impurity phase. Finally, the Cu0.7Mn0.3Al2O4 catalyst achieved a methanol conversion of 68.336% at 325 °C, with a hydrogen production rate of 5.611 mmol/min/gcat, and maintained CO selectivity below 1%. The results demonstrate that the hydrogen production catalyst developed in this study is a promising material for meeting the requirements of online hydrogen sources for ships. Full article
(This article belongs to the Special Issue Alternative Fuels and Emission Control in Maritime Applications)
Show Figures

Figure 1

41 pages, 6499 KB  
Article
Cascaded Optimized Fractional Controller for Green Hydrogen-Based Microgrids with Mitigating False Data Injection Attacks
by Nadia A. Nagem, Mokhtar Aly, Emad A. Mohamed, Aisha F. Fareed, Dokhyl M. Alqahtani and Wessam A. Hafez
Fractal Fract. 2026, 10(1), 55; https://doi.org/10.3390/fractalfract10010055 - 13 Jan 2026
Viewed by 204
Abstract
Green hydrogen production and the use of fuel cells (FCs) in microgrid (MG) systems have become viable and feasible solutions due to their continuous cost reduction and advancements in technology. Furthermore, green hydrogen electrolyzers and FC can mitigate fluctuations in renewable energy generation [...] Read more.
Green hydrogen production and the use of fuel cells (FCs) in microgrid (MG) systems have become viable and feasible solutions due to their continuous cost reduction and advancements in technology. Furthermore, green hydrogen electrolyzers and FC can mitigate fluctuations in renewable energy generation and various demand-related disturbances. Proper incorporation of electrolyzers and FCs can enhance load frequency control (LFC) in MG systems. However, they are subjected to multiple false data injection attacks (FDIAs), which can deteriorate MG stability and availability. Moreover, most existing LFC control schemes—such as conventional PID-based methods, single-degree-of-freedom fractional-order controllers, and various optimization-based structures—lack robustness against coordinated and multi-point FDIAs, leading to significant degradation in frequency regulation performance. This paper presents a new, modified, multi-degree-of-freedom, cascaded fractional-order controller for green hydrogen-based MG systems with high fluctuating renewable and demand sources. The proposed LFC is a cascaded control structure that combines a 1+TID controller with a filtered fractional-order PID controller (FOPIDF), namely the cascaded 1+TID/FOPIDF LFC control. Furthermore, another tilt-integrator derivative electric vehicle (EV) battery frequency regulation controller is proposed to benefit from EVs installed in MG systems. The proposed cascaded 1+TID/FOPIDF LFC control and EV TID LFC methods are designed using the powerful capability of the exponential distribution optimizer (EDO), which determines the optimal set of design parameters, leading to guaranteed optimal performance. The effectiveness of the newly proposed cascaded 1+TID/FOPIDF LFC control and design approach employing multi-generational-based two-area MG systems is studied by taking into account a variety of projected scenarios of FDIAs and renewable/load fluctuation scenarios. In addition, performance comparisons with some featured controllers are provided in the paper. For example, in the case of fluctuation in RESs, the measured indices are as follows: ISE (1.079, 0.5306, 0.3515, 0.0104); IAE (15.011, 10.691, 9.527, 1.363); ITSE (100.613, 64.412, 53.649, 1.323); and ITAE (2120, 1765, 1683, 241.32) for TID, FOPID, FOTID, and proposed, respectively, which confirm superior frequency deviation mitigation using the proposed optimized cascaded 1+TID/FOPIDF and EV TID LFC control method. Full article
Show Figures

Figure 1

24 pages, 4026 KB  
Article
Three-Dimensionally Printed Sensors with Piezo-Actuators and Deep Learning for Biofuel Density and Viscosity Estimation
by Víctor Corsino, Víctor Ruiz-Díez, Andrei Braic and José Luis Sánchez-Rojas
Sensors 2026, 26(2), 526; https://doi.org/10.3390/s26020526 - 13 Jan 2026
Viewed by 163
Abstract
Biofuels have emerged as a promising alternative to conventional fuels, offering improved environmental sustainability. Nevertheless, inadequate control of their physicochemical properties can lead to increased emissions and potential engine damage. Existing methods for regulating these properties depend on costly and sophisticated laboratory equipment, [...] Read more.
Biofuels have emerged as a promising alternative to conventional fuels, offering improved environmental sustainability. Nevertheless, inadequate control of their physicochemical properties can lead to increased emissions and potential engine damage. Existing methods for regulating these properties depend on costly and sophisticated laboratory equipment, which poses significant challenges for integration into industrial production processes. Three-dimensional printing technology provides a cost-effective alternative to traditional fabrication methods, offering particular benefits for the development of low-cost designs for detecting liquid properties. In this work, we present a sensor system for assessing biofuel solutions. The presented device employs piezoelectric sensors integrated with 3D-printed, liquid-filled cells whose structural design is refined through experimental validation and novel optimization strategies that account for sensitivity, recovery and resolution. This system incorporates discrete electronic circuits and a microcontroller, within which artificial intelligence algorithms are implemented to correlate sensor responses with fluid viscosity and density. The proposed approach achieves calibration and resolution errors as low as 0.99% and 1.48×102 mPa·s for viscosity, and 0.0485% and 1.9×104 g/mL for density, enabling detection of small compositional variations in biofuels. Additionally, algorithmic methodologies for dimensionality reduction and data treatment are introduced to address temporal drift, enhance sensor lifespan and accelerate data acquisition. The resulting system is compact, precise and applicable to diverse industrial liquids. Full article
Show Figures

Figure 1

36 pages, 4465 KB  
Review
Earth-Driven Hydrogen: Integrating Geothermal Energy with Methane Pyrolysis Reactors
by Ayann Tiam, Sarath Poda and Marshall Watson
Hydrogen 2026, 7(1), 10; https://doi.org/10.3390/hydrogen7010010 - 13 Jan 2026
Viewed by 251
Abstract
The increasing global demand for clean hydrogen necessitates production methods that minimize greenhouse gas emissions while being scalable and economically viable. Hydrogen has a very high gravimetric energy density of about 142 MJ/kg, which makes it a very promising energy carrier for many [...] Read more.
The increasing global demand for clean hydrogen necessitates production methods that minimize greenhouse gas emissions while being scalable and economically viable. Hydrogen has a very high gravimetric energy density of about 142 MJ/kg, which makes it a very promising energy carrier for many uses, such as transportation, industrial processes, and fuel cells. Methane pyrolysis has emerged as an attractive low-carbon alternative, decomposing methane (CH4) into hydrogen and solid carbon while circumventing direct CO2 emissions. Still, the process is very endothermic and has always depended on fossil-fuel heat sources, which limits its ability to run without releasing any carbon. This review examines the integration of geothermal energy and methane pyrolysis as a sustainable heat source, with a focus on Enhanced Geothermal Systems (EGS) and Closed-Loop Geothermal (CLG) technologies. Geothermal heat is a stable, carbon-free source of heat that can be used to preheat methane and start reactions. This makes energy use more efficient and lowers operating costs. Also, using flared natural gas from remote oil and gas fields can turn methane that would otherwise be thrown away into useful hydrogen and solid carbon. This review brings together the most recent progress in pyrolysis reactors, catalysts, carbon management, geothermal–thermochemical coupling, and techno-economic feasibility. The conversation centers on major problems and future research paths, with a focus on the potential of geothermal-assisted methane pyrolysis as a viable way to make hydrogen without adding to the carbon footprint. Full article
Show Figures

Figure 1

13 pages, 2455 KB  
Proceeding Paper
Study on the Energy Demand of Vehicle Propulsion to Minimize Hydrogen Consumption: A Case Study for an Ultra-Energy Efficient Fuel Cell EV in Predefined Driving Conditions
by Osman Osman, Plamen Punov and Rosen Rusanov
Eng. Proc. 2026, 121(1), 4; https://doi.org/10.3390/engproc2025121004 - 12 Jan 2026
Viewed by 132
Abstract
Nowadays, the automotive industry is primarily driven by the CO2 policy that targets net zero carbon emissions by 2035 from passenger cars and commercial vehicles. The main path to achieve this goal is the implementation of electric powertrains with the energy stored [...] Read more.
Nowadays, the automotive industry is primarily driven by the CO2 policy that targets net zero carbon emissions by 2035 from passenger cars and commercial vehicles. The main path to achieve this goal is the implementation of electric powertrains with the energy stored in batteries, as the case for battery electric vehicles (BEV). However, this technology still faces some difficulties in terms of energy density, overall weight, charging time, and vehicle autonomy. From the other point of view, fuel cell electric vehicles (FCEV) offer the same advantages as BEV in terms of CO2 reduction, providing better autonomy and lower refueling time. The energy demand by the electric powertrain strongly depends on the vehicle driving conditions as it directly affects energy consumption. In that context, the article aims to study the electrical energy demand of an ultra-energy efficient vehicle intended for a Shell eco-marathon competition in order to minimize hydrogen consumption. The study was carried out over a single lap on the racing track in Nogaro, France while applying the race rules from the competition in 2023. It includes a numerical evaluation of the vehicle resistance forces in different driving strategies and experimental validation on the propulsion test bench. Full article
Show Figures

Figure 1

18 pages, 4049 KB  
Article
Electroactive Microbial Consortium of Bacillus, Lysinibacillus, and Lactococcus for Enhanced Wastewater Treatment and Bioelectricity Generation
by Aliya Temirbekova, Zhanar Tekebayeva, Timoth Mkilima, Kamshat Kulzhanova, Zhadyrassyn Nurbekova, Aslan Temirkhanov, Kulyash Meiramkulova, Zhandarbek Bekshin and Akhan Abzhalelov
Biology 2026, 15(2), 124; https://doi.org/10.3390/biology15020124 - 9 Jan 2026
Viewed by 251
Abstract
Microbial fuel cell (MFC) technology represents a promising bioelectrochemical approach for the simultaneous generation of electricity and treatment of high-strength wastewater. However, the performance of MFCs strongly depends on the metabolic potential and synergistic interactions of the inoculated microbial community. This study evaluated [...] Read more.
Microbial fuel cell (MFC) technology represents a promising bioelectrochemical approach for the simultaneous generation of electricity and treatment of high-strength wastewater. However, the performance of MFCs strongly depends on the metabolic potential and synergistic interactions of the inoculated microbial community. This study evaluated the electrochemical activity and COD removal efficiency of three individual bacterial strains, Lysinibacillus sphericus A1, Bacillus cereus A2 and Lactococcus lactis A4, compared with a developed consortium under long-term operation using poultry slaughterhouse wastewater as a substrate. All inocula were tested in dual-chamber MFCs for 30 days, and performance indicators included power output, voltage, and removal of chemical oxygen demand (COD). The consortium showed the highest power of 170 mW/m2 and the optimal voltage–current ratio at a current of 900 mA/m2 and 245 mV under decreasing external resistance from 1000 to 50 Ω. The highest COD removal (84.4%) was also recorded, surpassing all pure cultures and demonstrating a significant improvement compared with B. cereus A2 and L. lactis A4. Meanwhile, the lowest power of 52 mA/m2 was recorded during testing of L. lactis A4, at 650 mA/m2 and 120 mV. Compared with single cultures, the consortium produced approximately 15% higher power density than L. sphericus A1, about 29% higher than B. cereus A2, and more than threefold higher than L. lactis A4. This study highlights the potential of a consortium as an efficient biocatalyst for MFC-mediated wastewater treatment and suggests that selecting complementary strains with diverse metabolic functions can substantially improve system performance. Full article
Show Figures

Figure 1

27 pages, 1133 KB  
Review
Recent Advances in Scaling Up Microbial Fuel Cell Systems for Wastewater Treatment, Energy Recovery, and Environmental Sustainability
by Tahereh Jafary, Ali Mousavi, Anteneh Mesfin Yeneneh, Mohammed Saif Al-Kalbani and Buthaina Mahfoud Al-Wahaibi
Sustainability 2026, 18(2), 638; https://doi.org/10.3390/su18020638 - 8 Jan 2026
Viewed by 302
Abstract
Microbial fuel cells (MFCs) are a promising technology for simultaneously treating wastewater and recovering energy, yet scaling them from lab prototypes to practical systems poses persistent challenges. This review addresses the scale-up gap by systematically examining recent pilot-scale MFC studies from multiple perspectives, [...] Read more.
Microbial fuel cells (MFCs) are a promising technology for simultaneously treating wastewater and recovering energy, yet scaling them from lab prototypes to practical systems poses persistent challenges. This review addresses the scale-up gap by systematically examining recent pilot-scale MFC studies from multiple perspectives, including reactor design configurations, materials innovations, treatment performance, energy recovery, and environmental impact. The findings show that pilot MFCs reliably achieve significant chemical oxygen demand (COD) removal (often 50–90%), but power densities remain modest (typically 0.1–10 W m−3)—far below levels needed for major energy generation. Key engineering advances have improved performance; modular stacking maintains higher power output, low-cost electrodes and membranes reduce costs (with some efficiency trade-offs), and power-management strategies mitigate issues like cell reversal. Life cycle assessments indicate that while MFC systems can outperform conventional treatment in specific scenarios, overall sustainability gains depend on boosting energy yields and optimizing materials. The findings highlight common trade-offs and emerging strategies. By consolidating recent insights, a roadmap of design principles and research directions to advance MFC technology toward sustainable, energy-positive wastewater treatment was outlined. Full article
Show Figures

Figure 1

34 pages, 8348 KB  
Review
High-Speed Electric Motors for Fuel Cell Compressor System Used for EV Application—Review and Perspectives
by Daniel Fodorean
Appl. Sci. 2026, 16(1), 476; https://doi.org/10.3390/app16010476 - 2 Jan 2026
Viewed by 530
Abstract
This study introduces a review on high-speed electrical motors (HSEMs) used for fuel cell (FC) compressor systems, to feed air into the FC stack. This technology is designed for electric vehicle (EV) applications. First, an evaluation of electrical machines as the main energy [...] Read more.
This study introduces a review on high-speed electrical motors (HSEMs) used for fuel cell (FC) compressor systems, to feed air into the FC stack. This technology is designed for electric vehicle (EV) applications. First, an evaluation of electrical machines as the main energy consumers of EVs is conducted to situate the current study in terms of the mechanical characteristics. Next, the main electrical motor configurations found in the scientific literature, and suitable for applications in FC compressor systems, are presented. Three case studies are depicted to identify the main challenges of this application in terms of the mechanical robustness and efficiency. Finally, a perspective on improving the energetic performance of HSEMs is presented, in terms of the materials used, the shape of the geometry, the winding type and insulation, the cooling, and the optimization techniques used to maximize the performance of HSEMs. Full article
(This article belongs to the Section Transportation and Future Mobility)
Show Figures

Figure 1

45 pages, 3067 KB  
Review
Direct Use in Electrochemical Energy Devices of Electrospun Nanofibres with Functional Nanostructures
by Maria Federica De Riccardis and Carmela Tania Prontera
Compounds 2026, 6(1), 3; https://doi.org/10.3390/compounds6010003 - 1 Jan 2026
Viewed by 269
Abstract
Electrospinning has emerged as a powerful technique for fabricating customised nanofibrous materials with integrated functional nanostructures, offering significant advantages for electrochemical energy applications. This review highlights recent advances in using electrospun nanofibres directly as active components in devices such as batteries, supercapacitors, and [...] Read more.
Electrospinning has emerged as a powerful technique for fabricating customised nanofibrous materials with integrated functional nanostructures, offering significant advantages for electrochemical energy applications. This review highlights recent advances in using electrospun nanofibres directly as active components in devices such as batteries, supercapacitors, and fuel cells. The emphasis is on the role of composite design, fibre morphology and surface chemistry in enhancing charge transport, catalytic activity and structural stability. Integrating carbon-based frameworks, conductive polymers, and inorganic nanostructures into electrospun matrices enables multifunctional behaviour and improves device performance. The resulting nanofibrous composite materials, often after heat treatment, can be used directly as electrodes or self-supporting layers, eliminating the need for additional processing steps such as size reduction or preparation of slurries and inks for creating functional nanofibre-based deposits. The importance of composite nanofibres as an emerging strategy for overcoming challenges related to scalability, long-term durability, and interface optimisation is also discussed. This review summarises the key results obtained to date and highlights the potential of electrospun nanofibres as scalable, high-performance materials for next-generation energy technologies, outlining future directions for their rational design and integration. Full article
Show Figures

Figure 1

22 pages, 4259 KB  
Review
Stoichiometry-Controlled Surface Reconstructions in Epitaxial ABO3 Perovskites for Sustainable Energy Applications
by Habib Rostaghi Chalaki, Ebenezer Seesi, Gene Yang, Mohammad El Loubani and Dongkyu Lee
Crystals 2026, 16(1), 37; https://doi.org/10.3390/cryst16010037 - 1 Jan 2026
Viewed by 430
Abstract
ABO3 perovskite oxides are a versatile class of materials whose surfaces and interfaces play essential roles in sustainable energy technologies, including catalysis, solid oxide fuel and electrolysis cells, thermoelectrics, and energy-relevant oxide electronics. The interplay between point defects and surface reconstructions strongly [...] Read more.
ABO3 perovskite oxides are a versatile class of materials whose surfaces and interfaces play essential roles in sustainable energy technologies, including catalysis, solid oxide fuel and electrolysis cells, thermoelectrics, and energy-relevant oxide electronics. The interplay between point defects and surface reconstructions strongly affects interfacial stability, charge transport, and catalytic activity under operating conditions. This review summarizes recent progress in understanding how oxygen vacancies, cation nonstoichiometry, and electronic defects couple to atomic-scale surface rearrangements in representative perovskite systems. We first revisit Tasker’s classification of ionic surfaces and clarify how defect chemistry provides compensation mechanisms that stabilize otherwise polar or metastable terminations. We then discuss experimental and theoretical insights into defect-mediated reconstructions on perovskite surfaces and how they influence the performance of energy conversion devices. Finally, we conclude with a perspective on design strategies that leverage defect engineering and surface control to enhance functionality in energy applications, aiming to connect fundamental surface science with practical materials solutions for the transition to sustainable energy. Full article
(This article belongs to the Special Issue Exploring New Materials for the Transition to Sustainable Energy)
Show Figures

Figure 1

Back to TopTop