Cascaded Optimized Fractional Controller for Green Hydrogen-Based Microgrids with Mitigating False Data Injection Attacks
Abstract
1. Introduction
- An optimized control method is proposed for enhancing the participation of green hydrogen, as a preferred energy vector, in regulating the frequency in interconnected MG systems. A modified two-degree-of-freedom cascaded fractional-order controller for green hydrogen-based MG systems is proposed in the paper.
- The proposed LFC is a cascaded tilt FO integrator with a filtered FO derivative and a filtered FO derivative controller, namely, a cascaded 1+TID/FOPIDF LFC. The incorporated control terms in the proposed combination can effectively improve the system’s response with properly designed parameters.
- A mitigation scheme is proposed for false data injection attacks (FDIAs) using the optimized design of the proposed cascaded 1+TID+FOPIDF LFC control with TID EV participation in LFC in multi-source interconnected MGs.
- The set of optimal parameters of the design parameters of the newly proposed cascaded 1+TID/FOPIDF LFC control and EV TID LFC methods are determined with the powerful capability of the exponential distribution optimizer (EDO). Coordinated design of tunable parameters in the system, with simultaneous determination of the optimal set, can guarantee the desired performance of the set as a whole rather than determining each parameter individually.
- Various expected FDIAs, denial-of-service (DoS) attacks, and disturbance-related scenarios are studied and compared with the conventional LFC methods performed in the paper.
2. Power System Configuration
- All system components are assumed to operate in their linear regions, and nonlinear effects (e.g., GDB, GRC) are represented using linearized models.
- Temperature effects on PV and EV models are considered to be constant.
- SOC changes dynamically during simulation in the safe operating range (20–95%).
- Communication links are assumed to be ideal except during cyberattack scenarios.
- Measurement noise and delays are neglected in normal operation.
2.1. Conventional Power System Model
2.1.1. Thermal Power Unit
2.1.2. Hydro Power Unit
2.1.3. Gas Turbine Power Unit
2.2. RESs Model
2.2.1. Wind Power Model
2.2.2. PV Power Model
2.3. Hydrogen System Model
2.4. EVs Model
3. Cyberattacks on LFC in MG Systems
3.1. FDI Attacks in the MG
3.2. DoS Attack in the MG
4. The Proposed LFC Controller
4.1. FO ORA Method
4.2. Proposed Cascaded 1+TID/FOPIDF LFC Controller
4.3. Proposed TID EV Participation
5. Proposed Optimum Design
5.1. EDO Optimizer Algorithm
5.2. Optimized Design and Performance Using EDO Algorithm
Procedure: Applying EDO to Tune the Proposed Controllers
- Model the two-area MG system in MATLAB/Simulink, including nonlinearities and generation unit limitations.
- Apply representative operating scenarios, including step load disturbances in both areas.
- Measure the following quantities during each simulation run:
- Form the measurement vector:
- Set the maximum number of iterations and population size.
- Generate the initial population of parameter vectors.
- Compute the objective function for each individual.
- For each iteration:
- –
- Evaluate the objective function for all population members.
- –
- Identify the best (minimum) objective value.
- If a population member achieves a better objective value than the stored global optimum, update the following:
- –
- The global optimum objective value.
- –
- The corresponding parameter vector.
- After the maximum iteration count is reached, record the following:
- –
- The final optimal objective value.
- –
- The corresponding parameter vector.
- –
- The iteration history.
- Implement the optimized controller parameters in real-time simulation.
- Apply various test scenarios involving renewable/load fluctuations and FDIA cases.
- Evaluate system performance to verify robustness and improved LFC capability.
6. Simulation Results and Performance Verification
- Scenario 1: Step load disturbance (SLD).
- Scenario 2: Multi-step load.
- Scenario 3: Fluctuations in RESs
- Scenario 4: Penetration at load 0.05 pu.
- Scenario 5: Penetration at load 0.1 pu.
- Scenario 6: Cyberattacks FDIA.
- Scenario 7: DoS attack.
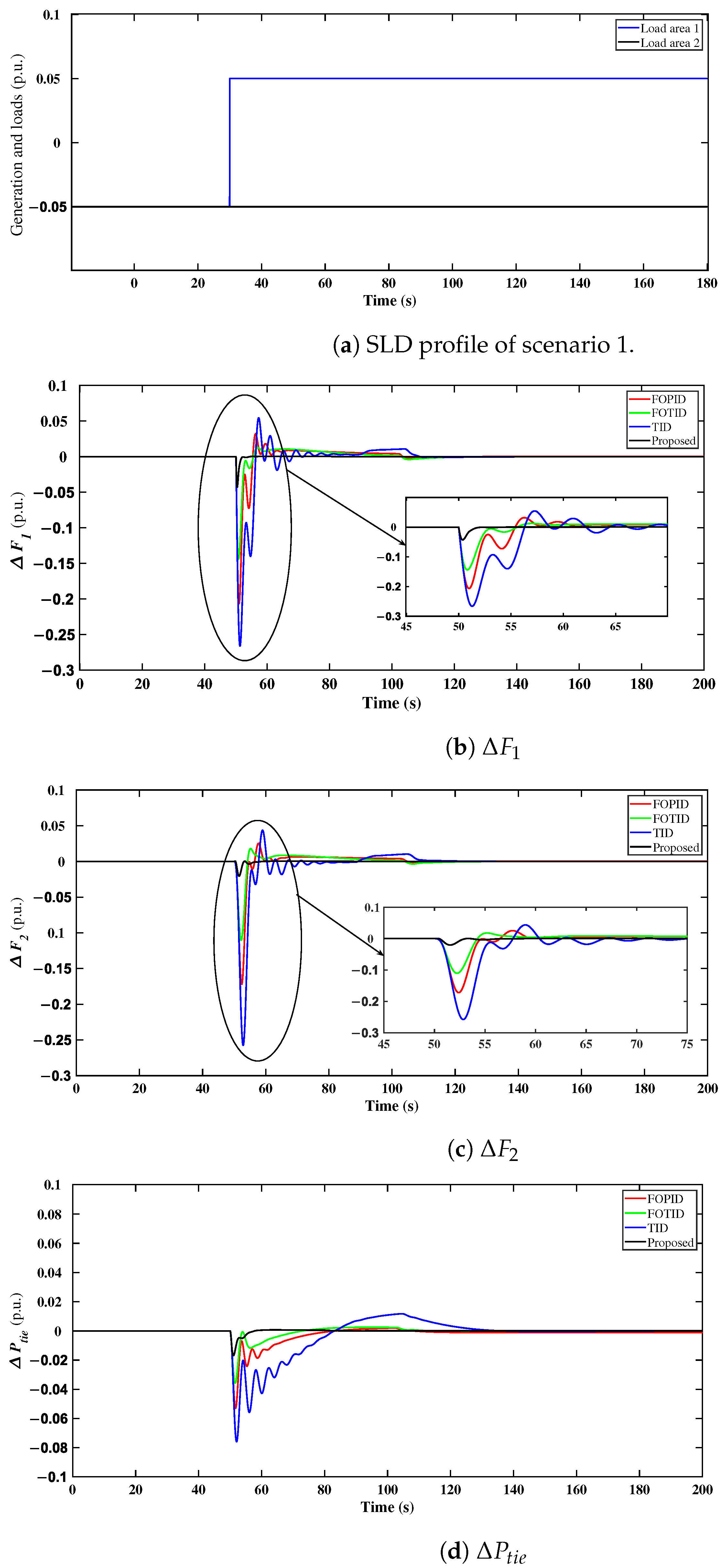
6.1. Scenario 1: Step Load Disturbance (SLD)
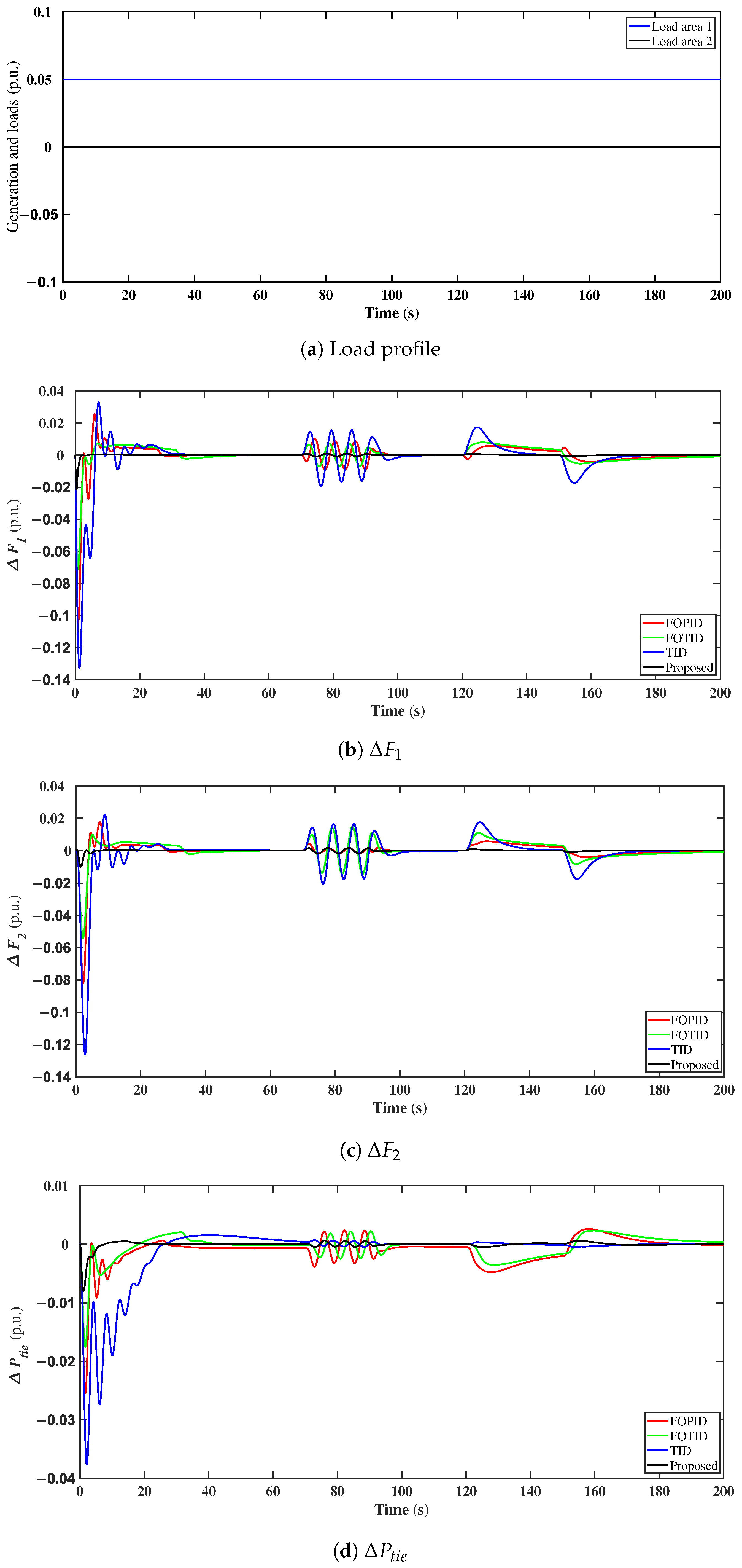
6.2. Scenario 2: Multi-Step Load
6.3. Scenario 3: Fluctuations in RESs
6.4. Scenario 4: Penetration at Load 0.05 pu
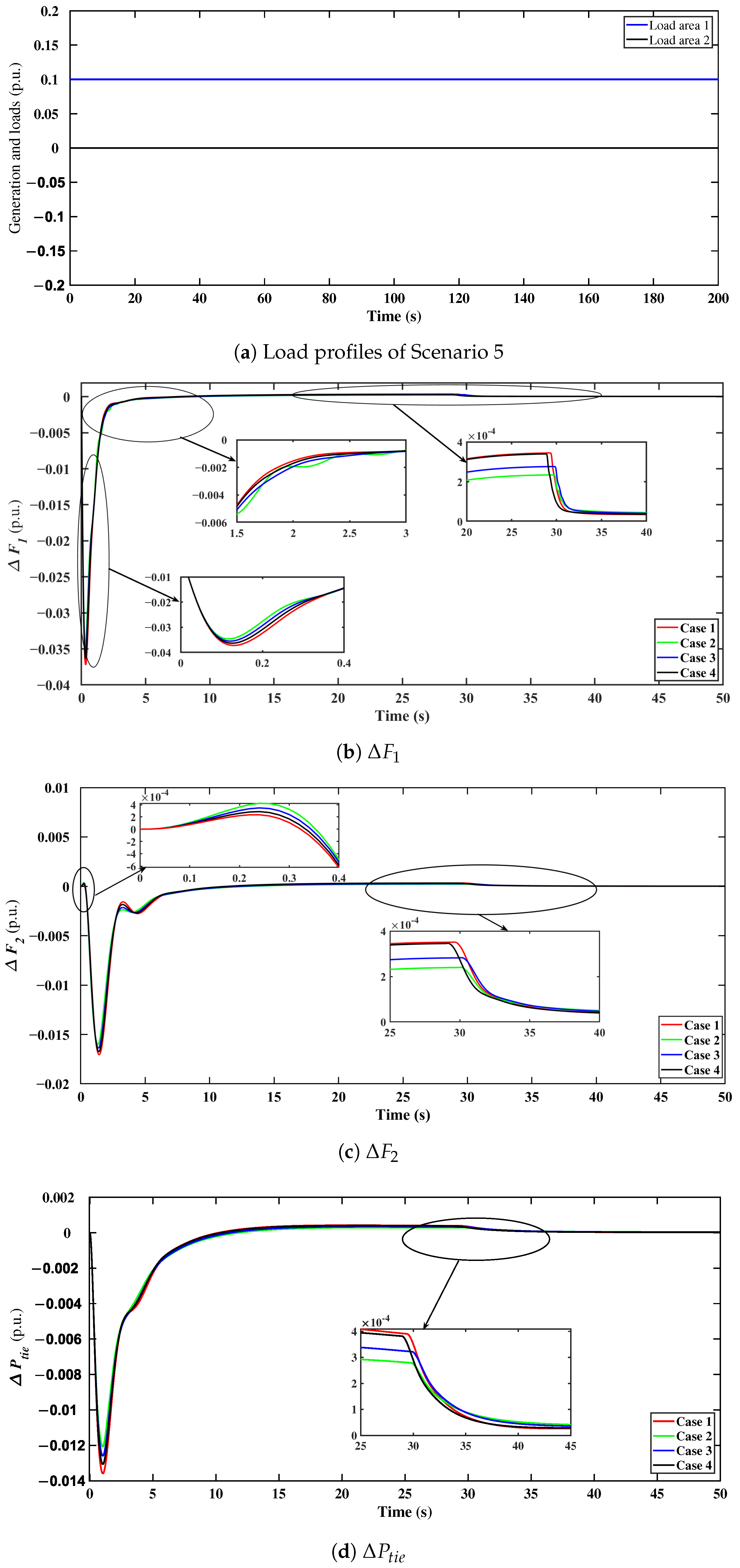
6.5. Scenario 5: Penetration at Load 0.1 pu
6.6. Scenario 6: Cyberattacks FDIA
- At , the malicious signal was applied.
- At , the malicious signal was applied.
6.7. Scenario 7: Dos Attack
7. Conclusions
Author Contributions
Funding
Data Availability Statement
Conflicts of Interest
Nomenclature
| Symbol | Description | Symbol | Description |
| Gain of reheater steam turbine | Time constant of reheater steam turbine | ||
| Turbine time constant | , | Fourier coefficients | |
| Governor time constant | Hydro turbine governor time constant | ||
| Governor reset time (hydro) | Transient droop time constant (hydro) | ||
| Water string time in penstock | Gas turbine valve positioner constant | ||
| Valve positioner (gas turbine) | Lead time constant (gas governor) | ||
| Lag time constant (gas governor) | Combustion reaction time delay | ||
| Gas turbine fuel time constant | Compressor discharge time constant | ||
| Speed governor time constant | HP turbine time constant | ||
| First LP turbine time constant | Second LP turbine time constant | ||
| HP turbine gain | First LP turbine gain | ||
| PV gain | PV time constant | ||
| Wind gain | Wind time constant | ||
| State of charge | Open-circuit voltage (SOC dependent) | ||
| Nominal voltage | Nominal EV battery capacity | ||
| R | Gaseous constant | F | Faraday’s constant |
| T | Temperature | Area frequency deviation | |
| Tie-line power flow | Area control error | ||
| Outer controller | Inner controller | ||
| , , | PID controller gains | n | Tilt parameter |
| FO differentiation operator | FO integration operator | ||
| Min FO integration operator | Max FO integration operator | ||
| Min FO differentiation operator | Max FO differentiation operator | ||
| Min proportional gain | Max proportional gain | ||
| Min integral gain | Max integral gain | ||
| Min derivative gain | Max derivative gain | ||
| Min tilt gain | Max tilt gain | ||
| Min tilt fractional component | Max tilt fractional component | ||
| Min derivative filter coefficient | Max derivative filter coefficient | ||
| , | Min tilt set-point weight | , | Max tilt set-point weight |
| , | Min derivative set-point weight | , | Max derivative set-point weight |
| Brownian’s motion vector | t | Current value | |
| Max iteration value | Poles’ locations | ||
| Zeros’ locations | W | Binary number | |
| r | Random number | , | Random indices of preys |
| Lower bounding vectors | Upper bounding vectors | ||
| Droop constant | Frequency bias | ||
| Power system gain | Power system time constant |
Abbreviations
| Abbreviations | |||
| HP | High pressure | LP | Low pressure |
| LFC | Load frequency control | MG | Microgrid |
| RES | Renewable energy system | EVs | Electrical Vehicles |
| FO | Fractional order | SLD | Step load disturbance |
| GRC | Generation rate constraint | GDB | Governor dead band |
| DoS | Denial-of-service | FDIA | False data injection attack |
| ISE | Integral-squared error | ITSE | Integral time-squared error |
| IAE | Integral-absolute error | ITAE | Integral time-absolute error |
| ORA | Oustaloup recursive approximations | EDO | Exponential distribution optimizer |
| CDM | Coefficient diagram method | LQR | Linear quadratic regulator |
| ANN | Artificial neural network | IMC | Internal model control |
| CC | Cascaded | SMES | Superconducting magnetic energy storage |
| UIOs | Unknown input observers | ||
References
- Fresia, M.; Minetti, M.; Rosini, A.; Procopio, R.; Bonfiglio, A.; Invernizzi, M.; Denegri, G.B.; Lisciandrello, G.; Orrù, L. A Techno-Economic Assessment to Define Inertia Needs of the Italian Transmission Network in the 2030 Energy Scenario. IEEE Trans. Power Syst. 2024, 39, 5050–5061. [Google Scholar] [CrossRef]
- Curto, D.; Favuzza, S.; Franzitta, V.; Guercio, A.; Amparo Navarro Navia, M.; Telaretti, E.; Zizzo, G. Grid Stability Improvement Using Synthetic Inertia by Battery Energy Storage Systems in Small Islands. Energy 2022, 254, 124456. [Google Scholar] [CrossRef]
- Zhang, Y.; Hao, Z.; Yang, S.; Zhang, B. A System-View Optimal Additional Active Power Control of Wind Turbines for Grid Frequency Support. IEEE Trans. Power Syst. 2024, 39, 4323–4335. [Google Scholar] [CrossRef]
- Li, L.; Zhou, K.; Tian, P. A Decentralized Control with Adaptive Virtual Inertia and Damping Combination for Islanded Cascaded-Type VSG Systems. IEEE Access 2023, 11, 139272–139283. [Google Scholar] [CrossRef]
- Chakraborty, S.; Modi, G.; Singh, B.; Panigrahi, B.K.; Singh, V.; Chandra, A.; Al-Haddad, K. A Control for Preventing False Tripping of Grid-Tied Renewable Systems with Increased Solar Penetration and Fluctuating Load Demand. IEEE Trans. Ind. Electron. 2025, 72, 3722–3734. [Google Scholar] [CrossRef]
- AboRas, K.M.; Alshehri, M.H.; Megahed, A.I. Eel and Grouper Optimization-Based Fuzzy FOPI-TIDμ-PIDA Controller for Frequency Management of Smart Microgrids Under the Impact of Communication Delays and Cyberattacks. Mathematics 2025, 13, 2040. [Google Scholar] [CrossRef]
- Padhy, S.; Sahu, P.R.; Khadanga, R.K.; Arya, Y.; Panda, S. MSOA-optimized FOFPID controller for frequency stability of distributed power system under the influence of cyber-attacks. Electr. Power Syst. Res. 2025, 247, 111736. [Google Scholar] [CrossRef]
- AboRas, K.M.; Fouad, A.; Kotb, H.; ElRefaie, H.B.; Yakout, A.H. Enhancing frequency stability in power systems through DO-optimized FOPI-PIDA-controlled STATCOM for wind energy integration. Alex. Eng. J. 2025, 129, 192–204. [Google Scholar] [CrossRef]
- Renaudineau, H.; Vergara-Rosales, N.; Llor, A.M.; Kouro, S. Green hydrogen production from off-grid photovoltaic: An assessment on optimal sizing. J. Energy Storage 2025, 246, 122794. [Google Scholar] [CrossRef]
- Zhu, J.; Feng, L.; Yu, C.; Wu, L. Renewable methanol production from biomass gasification coupled with green hydrogen: Process design and economic assessment. Int. J. Hydrogen Energy 2025, 191, 151693. [Google Scholar] [CrossRef]
- Mohsen, F.M.; Mjbel, H.M.; Challoob, A.F.; Alkhazaleh, R.; Alahmer, A. Advancements in green hydrogen production: A comprehensive review of prospects, challenges, and innovations in electrolyzer technologies. Fuel 2026, 404, 136251. [Google Scholar] [CrossRef]
- Devrim, Y.; Öztürk, R.A. The design and techno-economic evaluation of wind energy integrated on-site hydrogen fueling stations for different electrolyzer technologies. Int. J. Hydrogen Energy 2025, 159, 150597. [Google Scholar] [CrossRef]
- Mohamed, M.; Boulkaibet, I.; Ebeed, M.; El-Rifaie, A.M. An Enhanced Control of Grid-Connected Solid-Oxide Fuel Cell System Using Beluga Whale-Optimized Fractional-Order PID Control. Processes 2025, 13, 2044. [Google Scholar] [CrossRef]
- Aly, M.; Rezk, H. A Differential Evolution-Based Optimized Fuzzy Logic MPPT Method for Enhancing the Maximum Power Extraction of Proton Exchange Membrane Fuel Cells. IEEE Access 2020, 8, 172219–172232. [Google Scholar] [CrossRef]
- Boujmiraz, S.; El Ghazi, A.; Bouziane, K.; Sanjari, M.J.; Jellouli, O.; Berrada, A. High-resolution AI-based forecasting and techno-economic assessment of green hydrogen production from a hybrid PV/wind system at the regional scale. Int. J. Hydrogen Energy 2025, 190, 152098. [Google Scholar] [CrossRef]
- Wahidi, R.; Ahmad, A.U.; Shrivastava, N.A.; Nizami, T.K.; Irfan, M.M. Dynamic control strategies for islanded DC microgrids integrating renewable energy, fuel cells, and battery-EV storage. Frankl. Open 2025, 13, 100378. [Google Scholar] [CrossRef]
- Federici, L.; Tribioli, L.; Cozzolino, R.; Mendecka, B.; De Santis, M. Investigation on battery and fuel cell electric vehicle-to-grid potential for microgrid frequency regulation. Int. J. Hydrogen Energy 2025, 144, 726–737. [Google Scholar] [CrossRef]
- Razzhivin, I.; Andreev, M.; Kievec, A. Increasing the stability of hydrogen production in the wind energy-hydrogen system through the use of synthetic inertia of the wind turbine. Int. J. Hydrogen Energy 2022, 47, 38495–38505. [Google Scholar] [CrossRef]
- Bagheri, A.; Jabbari, A.; Mobayen, S. An intelligent ABC-based terminal sliding mode controller for load-frequency control of islanded micro-grids. Sustain. Cities Soc. 2021, 64, 102544. [Google Scholar] [CrossRef]
- Lee, Y.S.; Jang, D.W. Optimization of Neural Network-Based Self-Tuning PID Controllers for Second Order Mechanical Systems. Appl. Sci. 2021, 11, 8002. [Google Scholar] [CrossRef]
- Khooban, M.H.; Niknam, T.; Blaabjerg, F.; Dragičević, T. A new load frequency control strategy for micro-grids with considering electrical vehicles. Electr. Power Syst. Res. 2017, 143, 585–598. [Google Scholar] [CrossRef]
- Mandal, R.; Chatterjee, K. Frequency control and sensitivity analysis of an isolated microgrid incorporating fuel cell and diverse distributed energy sources. Int. J. Hydrogen Energy 2020, 45, 13009–13024. [Google Scholar] [CrossRef]
- Hu, J.; Shan, Y.; Guerrero, J.M.; Ioinovici, A.; Chan, K.W.; Rodriguez, J. Model predictive control of microgrids—An overview. Renew. Sustain. Energy Rev. 2021, 136, 110422. [Google Scholar] [CrossRef]
- Choudhary, R.; Rai, J.; Arya, Y. FOPTID1 controller with capacitive energy storage for AGC performance enrichment of multi-source electric power systems. Electr. Power Syst. Res. 2023, 221, 109450. [Google Scholar] [CrossRef]
- Saikia, L.; Nanda, J.; Mishra, S. Performance comparison of several classical controllers in AGC for multi-area interconnected thermal system. Int. J. Electr. Power Energy Syst. 2011, 33, 394–401. [Google Scholar] [CrossRef]
- Abdelkader, M.; Ahmed, E.M.; Mohamed, E.A.; Aly, M.; Alshahir, A.; Alrahili, Y.S.; Kamel, S.; Jurado, F.; Nasrat, L. Frequency Stabilization Based on a TFOID-Accelerated Fractional Controller for Intelligent Electrical Vehicles Integration in Low-Inertia Microgrid Systems. World Electr. Veh. J. 2024, 15, 346. [Google Scholar] [CrossRef]
- Raju, M.; Saikia, L.; Sinha, N. Automatic generation control of a multi-area system using ant lion optimizer algorithm based PID plus second order derivative controller. Int. J. Electr. Power Energy Syst. 2016, 80, 52–63. [Google Scholar] [CrossRef]
- Ahmed, E.; Mohamed, E.; Selim, A.; Aly, M.; Alsadi, A.; Alhosaini, W.; Alnuman, H.; Ramadan, H. Improving load frequency control performance in interconnected power systems with a new optimal high degree of freedom cascaded FOTPID-TIDF controller. Ain Shams Eng. J. 2023, 14, 102207. [Google Scholar] [CrossRef]
- Shiryayeva, O.; Suleimenov, B.; Kulakova, Y. Optimal Design of I-PD and PI-D Industrial Controllers Based on Artificial Intelligence Algorithm. Algorithms 2024, 17, 288. [Google Scholar] [CrossRef]
- Ali, E.; Abd-Elazim, S. Bacteria foraging optimization algorithm based load frequency controller for interconnected power system. Int. J. Electr. Power Energy Syst. 2011, 33, 633–638. [Google Scholar] [CrossRef]
- Hasan, N.; Alsaidan, I.; Sajid, M.; Khatoon, S.; Farooq, S. Robust self tuned AGC controller for wind energy penetrated power system. Ain Shams Eng. J. 2022, 13, 101663. [Google Scholar] [CrossRef]
- Almasoudi, F.; Bakeer, A.; Magdy, G.; Alatawi, K.; Shabib, G.; Lakhouit, A.; Alomrani, S. Nonlinear coordination strategy between renewable energy sources and fuel cells for frequency regulation of hybrid power systems. Ain Shams Eng. J. 2023, 15, 102399. [Google Scholar] [CrossRef]
- Khalil, A.; Boghdady, T.; Alham, M.; Ibrahim, D. Enhancing the conventional controllers for load frequency control of isolated microgrids using proposed multi-objective formulation via artificial rabbits optimization algorithm. IEEE Access 2023, 11, 3472–3493. [Google Scholar] [CrossRef]
- Bakeer, M.; Magdy, G.; Bakeer, A.; Aly, M. Resilient virtual synchronous generator approach using DC-link capacitor energy for frequency support of interconnected renewable power systems. J. Energy Storage 2023, 65, 107230. [Google Scholar] [CrossRef]
- Taher, S.; Fini, M.; Aliabadi, S. Fractional order PID controller design for LFC in electric power systems using imperialist competitive algorithm. Ain Shams Eng. J. 2014, 5, 121–135. [Google Scholar] [CrossRef]
- Khamari, D.; Sahu, R.; Gorripotu, T.; Panda, S. Automatic generation control of power system in deregulated environment using hybrid TLBO and pattern search technique. Ain Shams Eng. J. 2020, 11, 553–573. [Google Scholar] [CrossRef]
- Guha, D.; Roy, P.; Banerjee, S. Maiden application of SSA-optimised CC-TID controller for load frequency control of power systems. IET Gener. Transm. Distrib. 2019, 13, 1110–1120. [Google Scholar] [CrossRef]
- Elmelegi, A.; Mohamed, E.; Aly, M.; Ahmed, E.; Mohamed, A.A.; Elbaksawi, O. Optimized tilt fractional order cooperative controllers for preserving frequency stability in Renew. Energy-based power systems. IEEE Access 2021, 9, 8261–8277. [Google Scholar] [CrossRef]
- Mohamed, E.; Ahmed, E.; Elmelegi, A.; Aly, M.; Elbaksawi, O.; Mohamed, A.A. An optimized hybrid fractional order controller for frequency regulation in multi-area power systems. IEEE Access 2020, 8, 213899–213915. [Google Scholar] [CrossRef]
- Ahmed, E.; Mohamed, E.; Elmelegi, A.; Aly, M.; Elbaksawi, O. Optimum modified fractional order controller for future electric vehicles and renewable energy-based interconnected power systems. IEEE Access 2021, 9, 29993–30010. [Google Scholar] [CrossRef]
- Khadanga, R.; Kumar, A.; Panda, S. A modified grey wolf optimization with cuckoo search algorithm for load frequency controller design of hybrid power system. Appl. Soft Comput. 2022, 124, 109011. [Google Scholar] [CrossRef]
- Almasoudi, F.; Magdy, G.; Bakeer, A.; Alatawi, K.; Rihan, M. A new load frequency control technique for hybrid maritime microgrids: Sophisticated structure of fractional-order PIDA controller. Fractal Fract. 2023, 7, 435. [Google Scholar] [CrossRef]
- Zaid, S.; Bakeer, A.; Magdy, G.; Albalawi, H.; Kassem, A.; El-Shimy, M.; AbdelMeguid, H.; Manqarah, B. A new intelligent fractional-order load frequency control for interconnected modern power systems with virtual inertia control. Fractal Fract. 2023, 7, 62. [Google Scholar] [CrossRef]
- Mok, R.; Ahmad, M.A. Fast and optimal tuning of fractional order PID controller for AVR system based on memorizable-smoothed functional algorithm. Eng. Sci. Technol. Int. J. 2022, 35, 101264. [Google Scholar] [CrossRef]
- Doostmohammadian, M.; Gabidullina, Z.R.; Rabiee, H.R. Nonlinear Perturbation-Based Non-Convex Optimization Over Time-Varying Networks. IEEE Trans. Netw. Sci. Eng. 2024, 11, 6461–6469. [Google Scholar] [CrossRef]
- Ekinci, S.; Izci, D.; Turkeri, C.; Ahmad, M.A. Spider Wasp Optimizer-Optimized Cascaded Fractional-Order Controller for Load Frequency Control in a Photovoltaic-Integrated Two-Area System. Mathematics 2024, 12, 3076. [Google Scholar] [CrossRef]
- Elsawy Khalil, A.; Boghdady, T.A.; Alham, M.; Ibrahim, D.K. A novel cascade-loop controller for load frequency control of isolated microgrid via dandelion optimizer. Ain Shams Eng. J. 2024, 15, 102526. [Google Scholar] [CrossRef]
- Kumar, M.; Altaf, A.; Kumar, A. Cheetah Optimizer based PID Controller Design for Islanded AC Microgrid under FDI Cyber-attack. In Proceedings of the 2023 IEEE 3rd International Conference on Smart Technologies for Power, Energy and Control (STPEC), Bhubaneswar, India, 10–13 December 2023; IEEE: Piscataway, NJ, USA, 2023; pp. 1–6. [Google Scholar] [CrossRef]
- Fathy, A.; Bouaouda, A.; Hashim, F.A. A novel modified Cheetah Optimizer for designing fractional-order PID-LFC placed in multi-interconnected system with renewable generation units. Sustain. Comput. Inform. Syst. 2024, 43, 101011. [Google Scholar] [CrossRef]
- Peykarporsan, R.; Oshnoei, S.; Fathollahi, A.; Lie, T.T. A Novel Intelligent Fractional Order Cascade Control to Enhance Wind Energy Conversion in Wind Farms: A Practical Case Study. IEEE Trans. Energy Convers. 2025, 40, 1736–1749. [Google Scholar] [CrossRef]
- Syrmakesis, A.D.; Alhelou, H.H.; Hatziargyriou, N.D. A Novel Cyber Resilience Method for Frequency Control in Power Systems Considering Nonlinearities and Practical Challenges. IEEE Trans. Ind. Appl. 2024, 60, 2176–2190. [Google Scholar] [CrossRef]
- Lv, X.; Sun, Y.; Dinavahi, V.; Zhao, X.; Qiao, F. Robust networked power system load frequency control against hybrid cyber attack. IET Smart Grid 2023, 6, 391–402. [Google Scholar] [CrossRef]
- Hu, S.; Ge, X.; Chen, X.; Yue, D. Resilient Load Frequency Control of Islanded AC Microgrids Under Concurrent False Data Injection and Denial-of-Service Attacks. IEEE Trans. Smart Grid 2023, 14, 690–700. [Google Scholar] [CrossRef]
- Abouzeid, S.I.; Chen, Y.; Zaery, M.; Amrr, S.M.; Abdelhameed, E.H. Prescribed-Time Mitigation of False Data Attacks in Microgrid Load Frequency Control. IEEE Trans. Smart Grid 2025, 16, 3256–3268. [Google Scholar] [CrossRef]
- Mishra, D.K.; Ray, P.K.; Li, L.; Zhang, J.; Hossain, M.; Mohanty, A. Resilient control based frequency regulation scheme of isolated microgrids considering cyber attack and parameter uncertainties. Appl. Energy 2022, 306, 118054. [Google Scholar] [CrossRef]
- Ibraheem, M.I.; Edrisi, M.; Alhelou, H.H.; Gholipour, M.; Al-Hinai, A. A Sophisticated Slide Mode Controller of Microgrid System Load Frequency Control Under False Data Injection Attack and Actuator Time Delay. IEEE Trans. Ind. Appl. 2024, 60, 2117–2126. [Google Scholar] [CrossRef]
- Hassan, A.; Aly, M.M.; Selim, A.; Elmelegi, A.; Aldhaibani, A.; Mohamed, E.A. Optimal cascade 2DOF fractional order master-slave controller design for LFC of hybrid microgrid systems with EV charging technology. Results Eng. 2025, 25, 103647. [Google Scholar] [CrossRef]
- Arya, Y. AGC of PV-thermal and hydro-thermal power systems using CES and a new multi-stage FPIDF-(1+PI) controller. J. Energy Storage 2019, 134, 796–806. [Google Scholar] [CrossRef]
- Tabak, A.; Duman, S. Maiden application of TIDμ1NDμ2 controller for effective load frequency control of non-linear two-area power system. IET Renew. Power Gener. 2023, 18, 1269–1291. [Google Scholar] [CrossRef]
- Daraz, A.; Malik, S.A.; Azar, A.T.; Aslam, S.; Alkhalifah, T.; Alturise, F. Optimized Fractional Order Integral-Tilt Derivative Controller for Frequency Regulation of Interconnected Diverse Renewable Energy Resources. IEEE Access 2022, 10, 43514–43527. [Google Scholar] [CrossRef]
- Sharma, A.; Singh, N. Load frequency control of connected multi-area multi-source power systems using energy storage and lyrebird optimization algorithm tuned PID controller. J. Energy Storage 2024, 100, 113609. [Google Scholar] [CrossRef]
- Hafez, W.A.; Aly, M.; Mohamed, E.A.; Nagem, N.A. Improved fractional order control with virtual inertia provision methodology for electric vehicle batteries in modern multi-microgrid energy systems. J. Energy Storage 2025, 106, 114582. [Google Scholar] [CrossRef]
- Ahmed, E.M.; Elmelegi, A.; Shawky, A.; Aly, M.; Alhosaini, W.; Mohamed, E.A. Frequency Regulation of Electric Vehicle-Penetrated Power System Using MPA-Tuned New Combined Fractional Order Controllers. IEEE Access 2021, 9, 107548–107565. [Google Scholar] [CrossRef]
- Yıldız, S.; Yildirim, B.; Özdemir, M.T. Enhancing load frequency control and cybersecurity in renewable energy microgrids: A fuel cell-based solution with non-integer control under cyber-attack. Int. J. Hydrogen Energy 2024, 75, 438–449. [Google Scholar] [CrossRef]
- Alankrita; Pati, A.; Adhikary, N. Detection and mitigation against false data injection attacks using SHT and ANN in distributed control of DC microgrid. Electr. Power Syst. Res. 2025, 241, 111356. [Google Scholar] [CrossRef]
- Mahvash, H.; Taher, S.A.; Guerrero, J.M. Mitigation of severe false data injection attacks (FDIAs) in marine current turbine (MCT) type 4 synchronous generator renewable energy using promoted backstepping method. J. Energy Storage 2024, 222, 120008. [Google Scholar] [CrossRef]
- Yang, S.; Lao, K.W.; Hui, H.; Su, J.; Wang, S. Secure frequency regulation in power system: A comprehensive defense strategy against FDI, DoS, and latency cyber-attacks. Appl. Energy 2025, 379, 124772. [Google Scholar] [CrossRef]
- Haes Alhelou, H.; Golshan, M.E.H.; Hatziargyriou, N.D. A Decentralized Functional Observer Based Optimal LFC Considering Unknown Inputs, Uncertainties, and Cyber-Attacks. IEEE Trans. Power Syst. 2019, 34, 4408–4417. [Google Scholar] [CrossRef]
- Huseinovic, A.; Mrdovic, S.; Bicakci, K.; Uludag, S. A Survey of Denial-of-Service Attacks and Solutions in the Smart Grid. IEEE Access 2020, 8, 177447–177470. [Google Scholar] [CrossRef]
- Micev, M.; Ćalasan, M.; Oliva, D. Fractional Order PID Controller Design for an AVR System Using Chaotic Yellow Saddle Goatfish Algorithm. Mathematics 2020, 8, 1182. [Google Scholar] [CrossRef]
- Dulf, E.H. Simplified Fractional Order Controller Design Algorithm. Mathematics 2019, 7, 1166. [Google Scholar] [CrossRef]
- Motorga, R.; Mureșan, V.; Ungureșan, M.L.; Abrudean, M.; Vălean, H.; Clitan, I. Artificial Intelligence in Fractional-Order Systems Approximation with High Performances: Application in Modelling of an Isotopic Separation Process. Mathematics 2022, 10, 1459. [Google Scholar] [CrossRef]
- Abdel-Basset, M.; El-Shahat, D.; Jameel, M.; Abouhawwash, M. Exponential distribution optimizer (EDO): A novel math-inspired algorithm for global optimization and engineering problems. Artif. Intell. Rev. 2023, 56, 9329–9400. [Google Scholar] [CrossRef]
- Aly, M.; Mohamed, E.A.; Ahmed, E.M. Boosting Frequency Stability in Multi-Microgrid Systems with an Innovative Dual-Hybrid Fractional Control Scheme Integrating Demand Response. IEEE Access 2024, 12, 175304–175327. [Google Scholar] [CrossRef]
- Hassan Ali, H.; Fathy, A. Reliable exponential distribution optimizer-based methodology for modeling proton exchange membrane fuel cells at different conditions. Energy 2024, 292, 130600. [Google Scholar] [CrossRef]
- Kalita, K.; Ramesh, J.V.N.; Cepova, L.; Pandya, S.B.; Jangir, P.; Abualigah, L. Multi-objective exponential distribution optimizer (MOEDO): A novel math-inspired multi-objective algorithm for global optimization and real-world engineering design problems. Sci. Rep. 2024, 14, 1816. [Google Scholar] [CrossRef]
- Shang, P.; Liu, S.; Ying, H.; Wang, C. Integrating a dimensional perturbation module into exponential distribution optimizer for solving optimization problems. Expert Syst. Appl. 2024, 255, 124865. [Google Scholar] [CrossRef]
- Houssein, E.H.; Saeed, M.K.; Hu, G.; Al-Sayed, M.M. An efficient improved exponential distribution optimizer: Application to the global, engineering and combinatorial optimization problems. Clust. Comput. 2024, 27, 9345–9380. [Google Scholar] [CrossRef]



















| Parameters | Symbol | Values | ||
|---|---|---|---|---|
| Area1 | Area2 | |||
| Thermal | Thermal governor time constant | (s) | 0.06 | 0.06 |
| Turbine time constant | (s) | 0.3 | 0.3 | |
| Reheater time constant | (s) | 10.2 | 10.2 | |
| Reheater gain | 3.06 | 3.06 | ||
| Hydraulic | Hydraulic governor time constant | (s) | 0.2 | 0.2 |
| Reservoir system time constant | (s) | 4.9 | 4.9 | |
| Water starting time constant | (s) | 1.1 | 1.1 | |
| Penstock time constant | (s) | 28.75 | 28.75 | |
| Gas | Governor response parameters | (s) | 0.6, 1.1 | 0.6, 1.1 |
| Governor dynamics parameters | 0.049, 1 | 0.049, 1 | ||
| Corrective time constant for fuel flow | (s) | 0.01 | 0.01 | |
| Fuel system delay time constant | (s) | 0.239 | 0.239 | |
| Compressor discharge delay time constant | (s) | 0.2 | 0.2 | |
| Wind | Wind time constant | (s) | 1.5 | - |
| Wind gain | 1 | - | ||
| PV | PV time constant | (s) | - | 1.3 |
| PV gain | - | 1 | ||
| Electrolyzer | Electrolyzer time constant | (s) | 0.5 | 0.5 |
| Electrolyzer gain | 0.3 | 0.3 | ||
| Fuel cell | Fuel cell time constant | (s) | 4 | 4 |
| Fuel cell gain | 0.2 | 0.2 | ||
| Power system | Power system time constant | (s) | 11.49 | 11.49 |
| Power system gain | 68.9655 | 68.9655 | ||
| Area capacity | (MW) | 1740 | 1740 | |
| Frequency biasing value | (MW/Hz) | 0.4312 | 0.4312 | |
| Drooping constant | (Hz/MW) | 2.4 | 2.4 | |
| MG constant of inertia | (pu.s) | 0.0833 | 0.0833 | |
| MG damping coefficients | (pu./Hz) | 0.0145 | 0.0145 | |
| Li-ion EV battery model | ||||
| Integration ratio with grid | - | 5–10% | 5–10% | |
| Rated voltage | (V) | 364.8 | 364.8 | |
| Rated capacity | (Ah) | 66.2 | 66.2 | |
| Series resistance | (ohms) | 0.074 | 0.074 | |
| Transients resistance | (ohms) | 0.074 | 0.074 | |
| Transients capacitance | (farad) | 703.6 | 703.6 | |
| Thermal constant | 0.02612 | 0.02612 | ||
| Maximum allowable SOC | % | 95 | 95 | |
| Total Energy Storage | (kWh) | 24.15 | 24.15 | |
| Run No. | SSA | GWO | PSO | EDO |
|---|---|---|---|---|
| 1 | 0.00496 | 0.00398 | 0.00252 | 0.00197 |
| 2 | 0.00475 | 0.00312 | 0.00264 | 0.00171 |
| 3 | 0.00392 | 0.00338 | 0.002393 | 0.00202 |
| 4 | 0.00359 | 0.00371 | 0.00205 | 0.00162 |
| 5 | 0.00465 | 0.00388 | 0.00280 | 0.00202 |
| 6 | 0.00396 | 0.00328 | 0.00252 | 0.00199 |
| 7 | 0.00491 | 0.00353 | 0.00292 | 0.00178 |
| 8 | 0.00466 | 0.00327 | 0.00214 | 0.00245 |
| 9 | 0.00457 | 0.00337 | 0.00271 | 0.00188 |
| 10 | 0.00407 | 0.00350 | 0.00273 | 0.00184 |
| 11 | 0.00420 | 0.00383 | 0.00246 | 0.00200 |
| 12 | 0.00464 | 0.00321 | 0.00205 | 0.00185 |
| 13 | 0.00409 | 0.00363 | 0.00235 | 0.00199 |
| 14 | 0.00487 | 0.00356 | 0.00232 | 0.00192 |
| 15 | 0.00501 | 0.00334 | 0.00265 | 0.00220 |
| 16 | 0.00431 | 0.00322 | 0.00272 | 0.00186 |
| 17 | 0.00419 | 0.00341 | 0.00278 | 0.00207 |
| 18 | 0.00496 | 0.00394 | 0.00277 | 0.00179 |
| 19 | 0.00473 | 0.00354 | 0.00285 | 0.00211 |
| 20 | 0.00423 | 0.00387 | 0.00284 | 0.00196 |
| 21 | 0.00457 | 0.00356 | 0.00263 | 0.00205 |
| 22 | 0.00478 | 0.00368 | 0.00270 | 0.00187 |
| 23 | 0.00480 | 0.00338 | 0.00257 | 0.00201 |
| 24 | 0.00470 | 0.00354 | 0.00238 | 0.00176 |
| 25 | 0.00422 | 0.00316 | 0.00270 | 0.00184 |
| 26 | 0.00420 | 0.00360 | 0.00234 | 0.00200 |
| 27 | 0.00487 | 0.00366 | 0.00301 | 0.00193 |
| 28 | 0.00405 | 0.00360 | 0.00299 | 0.00185 |
| 29 | 0.00445 | 0.00317 | 0.00295 | 0.00202 |
| 30 | 0.00498 | 0.00367 | 0.00267 | 0.00189 |
| Statistical Parameters | ||||
| Best | 0.00359 | 0.00312 | 0.00205 | 0.00162 |
| Worst | 0.00501 | 0.00398 | 0.00301 | 0.00245 |
| Mean | 0.00455 | 0.00352 | 0.00259 | 0.00196 |
| Median | 0.00460 | 0.00354 | 0.00265 | 0.00196 |
| Std. Deviation | 0.00032 | 0.00024 | 0.00028 | 0.00017 |
| Controller | Area | ||||||||||||||
|---|---|---|---|---|---|---|---|---|---|---|---|---|---|---|---|
| Cascaded 1+TID/FOPIDF | (1) | 1.9674 | 0.33289 | 0.1 | 0.92242 | 1.57 | 0.80982 | 3.8677 | 0.45757 | 0.5531 | 245.0444 | - | - | - | - |
| (2) | 1.9358 | 1.3744 | 0.38442 | 0.71797 | 0.78887 | 1.3931 | 4.6014 | 0.46516 | 0.55918 | 300 | - | - | - | - | |
| TID | (1) | - | - | - | - | - | - | - | - | - | - | 2.5884 | 2.6742 | 0.1 | 0.33333 |
| (2) | - | - | - | - | - | - | - | - | - | - | 1.2239 | 0.1131 | 0.4990 | 0.33333 |
| Scenarios | Control Strategy | Transient Parameters | ||||||||
|---|---|---|---|---|---|---|---|---|---|---|
| Overshoot (OS) (ve) | Undershoot (US) (−ve) | Time Settling (Ts) | ||||||||
| Scenario 1 at t = 50 s | TID | 0.0531 | 0.0427 | 0.0117 | 0.2661 | 0.2566 | 0.0759 | 62.35 | 63.14 | 82.2 |
| FOPID | 0.0317 | 0.0233 | 0.0023 | 0.2078 | 0.1716 | 0.0523 | 58.32 | 90.21 | 62.64 | |
| FOTID | 0.0123 | 0.0112 | 0.0022 | 0.1436 | 0.1102 | 0.0352 | 90.24 | 91.21 | 91.26 | |
| Proposed | 0.0007 | 0.0005 | 0.0004 | 0.0421 | 0.0210 | 0.0168 | 2.58 | 3.32 | 45.94 | |
| Scenario 2 at t = 150 s | TID | 0.0267 | 0.0175 | 0.0008 | 0.1055 | 0.0995 | 0.0298 | 25.4 | 28.86 | 71.9 |
| FOPID | 0.0275 | 0.0121 | 0.0009 | 0.0875 | 0.0715 | 0.0215 | 27.92 | 32.2 | 44.31 | |
| FOTID | 0.0062 | 0.0123 | 0.0016 | 0.0569 | 0.0437 | 0.0144 | 28.32 | 32.5 | 46.22 | |
| Proposed | 0.0001 | 0.0001 | 0.0003 | 0.0155 | 0.0076 | 0.0059 | 2.31 | 3.65.14 | 6.18 | |
| Scenario 3 Wind connection at t = 0 s | TID | 0.3115 | 0.3024 | 0.088 | 0.0581 | 0.0519 | - | 25.15 | 27.68 | 85.3 |
| FOPID | 0.0244 | 0.2018 | 0.0629 | 0.0247 | 0.0225 | - | 10.4 | 10.28 | 41.66 | |
| FOTID | 0.1704 | 0.1298 | 0.0418 | 0.0184 | 0.0197 | 0.0027 | 10.78 | 10.45 | 37.68 | |
| Proposed | - | - | - | 0.0492 | 0.0243 | 0.0197 | 3.12 | 4.14 | 10.98 | |
| Scenario 3 Load connection at t = 100 s | TID | 0.0689 | 0.0575 | 0.0144 | 0.2601 | 0.2491 | 0.0729 | 28.32 | 29.44 | 62.64 |
| FOPID | 0.0293 | 0.0256 | 0.0061 | 0.2031 | 0.2031 | 0.0531 | 26.42 | 30.23 | 50.9 | |
| FOTID | 0.0180 | 0.0193 | 0.0052 | 0.1397 | 0.1397 | 0.0336 | 24.76 | 28.21 | 49.2 | |
| Proposed | 0.0009 | 0.0008 | 0.0012 | 0.0442 | 0.0191 | 0.0156 | 4.18 | 5.84 | 11.14 | |
| Scenario 3 PV connection at t = 200 s | TID | 0.2530 | 0.2108 | 0.0087 | 0.0504 | 0.0324 | 0.0624 | 50.74 | 51.96 | 75.21 |
| FOPID | 0.2045 | 0.1851 | - | - | - | 0.0514 | 49.54 | 50.21 | 71.23 | |
| FOTID | 0.1302 | 0.1589 | - | - | - | 0.0445 | 49.47 | 50.15 | 71.21 | |
| Proposed | 0.001 | 0.0412 | 0.0056 | 0.0008 | 0.0154 | 0.0293 | 0.52 | 2.9 | 50.56 | |
| Scenarios | Transient Parameters | ||||||||||||
|---|---|---|---|---|---|---|---|---|---|---|---|---|---|
|
Share of Power Generation | Overshoot (OS) (ve) | Undershoot (US) (−ve) | Time Settling (Ts) | ||||||||||
| Cases | |||||||||||||
| Scenario 4 Load = 0.05 pu at t = 0 s | Case 1 | 1/2 | 1/4 | 1/4 | 2.4939 | 2.427 | 1.9828 | 0.0145 | 0.0082 | 0.0051 | 12.8 | 19.86 | 19.82 |
| Case 2 | 1/3 | 1/3 | 1/3 | 1.3719 | 1.3282 | 0.6442 | 0.0136 | 0.0076 | 0.0044 | 12.16 | 18.78 | 18.21 | |
| Case 3 | 2/5 | 3/10 | 3/10 | 1.8324 | 1.6793 | 1.1176 | 0.0140 | 0.0077 | 0.0046 | 12.18 | 18.86 | 18.41 | |
| Case 4 | 5/10 | 3/11 | 3/11 | 2.3512 | 2.2363 | 1.7464 | 0.0145 | 0.0079 | 0.0048 | 12.28 | 19.21 | 18.41 | |
| Scenario 5 at Load = 0.1 pu at t = 0 s | Case 1 | 1/2 | 1/4 | 1/4 | 3.4465 | 3.5161 | 3.9028 | 0.0372 | 0.0172 | 0.0135 | 37.16 | 46.62 | 45.46 |
| Case 2 | 1/3 | 1/3 | 1/3 | 2.3439 | 2.3684 | 2.8277 | 0.0346 | 0.0159 | 0.0115 | 34.96 | 45.02 | 44.76 | |
| Case 3 | 2/5 | 3/10 | 3/10 | 2.7633 | 2.8092 | 3.2017 | 0.0354 | 0.0162 | 0.0125 | 35.02 | 45.81 | 44.92 | |
| Case 4 | 5/10 | 3/11 | 3/11 | 3.3229 | 3.4437 | 3.8203 | 0.0363 | 0.0167 | 0.0131 | 36.16 | 46.01 | 45.21 | |
| Scenarios | Control Strategy | Transient Parameters | ||||||||
|---|---|---|---|---|---|---|---|---|---|---|
| Overshoot (OS) (ve) | Undershoot (US) (−ve) | Time Settling (Ts) | ||||||||
| Scenario 6 at t = 90 s | TID | 0.0157 | 0.0165 | 0.0005 | 0.0159 | 0.0176 | 0.0531 | 19.84.63 | 20.18 | 5.04 |
| FOPID | 0.0352 | 0.0290 | 0.0018 | 0.2206 | 0.1826 | 0.0223 | 16.84 | 18.81 | <10.92 | |
| FOTID | 0.0084 | 0.0129 | 0.0025 | 0.0081 | 0.0137 | 0.0004 | 15.58 | 17.52 | 12.02 | |
| Proposed | 0.0009 | 0.0017 | 0.0004 | 0.0008 | 0.0016 | 0.0003 | 4.86 | 5.18 | 5.12 | |
| Scenario 6 at t = 150 s | TID | 0.0099 | 0.0175 | 0.0004 | 0.0172 | 0.0174 | 0.0004 | 21.06 | 23.25 | 27.36 |
| FOPID | 0.0100 | 0.0119 | 0.0005 | 0.0084 | 0.0084 | 0.0034 | 32.43 | 33.75 | 40 | |
| FOTID | 0.0074 | 0.0109 | 0.0023 | 0.0053 | 0.0051 | 0.0032 | 34.24 | 36.35 | 43.44 | |
| Proposed | 0.0006 | 0.0007 | 0.0004 | 0.0005 | 0.0006 | 0.0003 | 2.58 | 3.25 | 10.35 | |
| Scenario 7 at t = 0 s | TID | 0.0328 | 0.0219 | 0.0015 | 0.1321 | 0.1263 | 0.0373 | 63.92 | 45.44 | 85.32 |
| FOPID | 0.0183 | 0.0143 | 0.0020 | 0.1078 | 0.0865 | 0.0271 | 40.48 | 45.26 | 72.36 | |
| FOTID | 0.0072 | 0.0094 | 0.0016 | 0.0703 | 0.0531 | 0.0171 | 44.62 | 38.64 | 45.36 | |
| Proposed | 0.0003 | 0.0001 | 0.0004 | 0.0194 | 0.0098 | 0.0079 | 4.12 | 5.62 | 20.73 | |
| Scenario 7 at t = 110 s | TID | 0.0016 | 0.0013 | 0.0008 | 0.0016 | 0.0012 | 0.0008 | 20.48 | 24.38 | 37.3 |
| FOPID | 0.0011 | 0.0009 | 0.0002 | 0.0011 | 0.0008 | 0.0007 | 27.06 | 32.23 | 34.32 | |
| FOTID | 0.0009 | 0.0007 | - | 0.0009 | 0.0007 | - | 26.24 | 32.31 | 31.21 | |
| Proposed | 0.0001 | 0.0001 | - | - | - | - | 2.72 | 3.12 | 2.92 | |
| Scenarios | Controller Approach | ISE | IAE | ITSE | ITAE |
|---|---|---|---|---|---|
| Scenario 1 | TID | 0.3151 | 3.4251 | 17.012 | 226.545 |
| FOPID | 0.1161 | 1.924 | 6.151 | 131.356 | |
| FOTID | 0.0512 | 1.372 | 2.734 | 92.193 | |
| Proposed | 0.0019 | 0.157 | 0.0991 | 9.514 | |
| Scenario 2 | TID | 0.0737 | 2.311 | 12.876 | 462.121 |
| FOPID | 0.0339 | 1.593 | 6.006 | 299.832 | |
| FOTID | 0.0144 | 1.089 | 2.569 | 205.986 | |
| Proposed | 0.0004 | 0.1018 | 0.0713 | 17.954 | |
| Scenario 3 | TID | 1.079 | 15.011 | 100.613 | 2120 |
| FOPID | 0.5306 | 10.691 | 64.412 | 1765 | |
| FOTID | 0.3515 | 9.527 | 53.649 | 1683 | |
| Proposed | 0.0104 | 1.363 | 1.323 | 241.32 | |
| Scenario 4 | Case 1 | 0.0003 | 0.0588 | 0.0003 | 0.8267 |
| Case 2 | 0.0002 | 0.0556 | 0.0002 | 0.8003 | |
| Case 3 | 0.0002 | 0.0551 | 0.0002 | 0.7918 | |
| Case 4 | 0.0002 | 0.0561 | 0.0002 | 0.7822 | |
| Scenario 5 | Case 1 | 0.0007 | 0.06 | 0.0004 | 1.8267 |
| Case 2 | 0.0004 | 0.0656 | 0.0003 | 1.8003 | |
| Case 3 | 0.0004 | 0.0651 | 0.0003 | 1.7918 | |
| Case 4 | 0.0004 | 0.0761 | 0.0004 | 1.7822 | |
| Scenario 6 | TID | 0.0809 | 2.2940 | 1.2576 | 107.511 |
| FOPID | 0.0883 | 2.2316 | 4.8402 | 181.595 | |
| FOTID | 0.0058 | 1.077 | 0.5872 | 125.054 | |
| Proposed | 0.0004 | 0.1303 | 0.0037 | 6.605 | |
| Scenario 7 | TID | 0.0853 | 2.441 | 1.5881 | 136 |
| FOPID | 0.0277 | 1.467 | 0.4054 | 105.4 | |
| FOTID | 0.0184 | 1.693 | 0.7294 | 144.6 | |
| Proposed | 0.0004 | 0.1454 | 0.0061 | 9.273 |
Disclaimer/Publisher’s Note: The statements, opinions and data contained in all publications are solely those of the individual author(s) and contributor(s) and not of MDPI and/or the editor(s). MDPI and/or the editor(s) disclaim responsibility for any injury to people or property resulting from any ideas, methods, instructions or products referred to in the content. |
© 2026 by the authors. Licensee MDPI, Basel, Switzerland. This article is an open access article distributed under the terms and conditions of the Creative Commons Attribution (CC BY) license.
Share and Cite
Nagem, N.A.; Aly, M.; Mohamed, E.A.; Fareed, A.F.; Alqahtani, D.M.; Hafez, W.A. Cascaded Optimized Fractional Controller for Green Hydrogen-Based Microgrids with Mitigating False Data Injection Attacks. Fractal Fract. 2026, 10, 55. https://doi.org/10.3390/fractalfract10010055
Nagem NA, Aly M, Mohamed EA, Fareed AF, Alqahtani DM, Hafez WA. Cascaded Optimized Fractional Controller for Green Hydrogen-Based Microgrids with Mitigating False Data Injection Attacks. Fractal and Fractional. 2026; 10(1):55. https://doi.org/10.3390/fractalfract10010055
Chicago/Turabian StyleNagem, Nadia A., Mokhtar Aly, Emad A. Mohamed, Aisha F. Fareed, Dokhyl M. Alqahtani, and Wessam A. Hafez. 2026. "Cascaded Optimized Fractional Controller for Green Hydrogen-Based Microgrids with Mitigating False Data Injection Attacks" Fractal and Fractional 10, no. 1: 55. https://doi.org/10.3390/fractalfract10010055
APA StyleNagem, N. A., Aly, M., Mohamed, E. A., Fareed, A. F., Alqahtani, D. M., & Hafez, W. A. (2026). Cascaded Optimized Fractional Controller for Green Hydrogen-Based Microgrids with Mitigating False Data Injection Attacks. Fractal and Fractional, 10(1), 55. https://doi.org/10.3390/fractalfract10010055

