Sign in to use this feature.

Years

Between: -

Subjects

remove_circle_outline
remove_circle_outline
remove_circle_outline
remove_circle_outline
remove_circle_outline
remove_circle_outline
remove_circle_outline
remove_circle_outline
remove_circle_outline

Journals

remove_circle_outline
remove_circle_outline
remove_circle_outline
remove_circle_outline
remove_circle_outline

Article Types

Countries / Regions

remove_circle_outline
remove_circle_outline
remove_circle_outline

Search Results (287)

Search Parameters:
Keywords = frequency domain stability analysis

Order results
Result details
Results per page
Select all
Export citation of selected articles as:
16 pages, 2844 KB  
Article
Dynamic Analysis of a Symmetrical Frustum-Shaped Metal Rubber Isolator Under Random Vibration
by Yun Xiao, Jin Gao, Jinfa Lin, Hanbin Wang and Xin Xue
Symmetry 2026, 18(1), 99; https://doi.org/10.3390/sym18010099 - 6 Jan 2026
Viewed by 114
Abstract
During orbital service, precision aerospace equipment is frequently subjected to harsh vibration environments that can significantly affect reliability and service life. Consequently, the development of effective vibration isolation technologies has become a crucial aspect of aerospace structural design. In this study, random vibration [...] Read more.
During orbital service, precision aerospace equipment is frequently subjected to harsh vibration environments that can significantly affect reliability and service life. Consequently, the development of effective vibration isolation technologies has become a crucial aspect of aerospace structural design. In this study, random vibration theory and frequency-domain analysis methods were employed to investigate the dynamic response characteristics of a symmetrical frustum-shaped metal rubber (FSMR) isolation device under complex operating conditions. The influence of metal rubber density, spring stiffness, and input vibration level on its isolation performance was systematically examined. This work presents the first systematic experimental investigation into the nonlinear dependencies of the performance of a symmetrical frustum-shaped metal rubber isolator on multiple parameters (density, stiffness, excitation level) under random vibration. The test results show that under identical excitation conditions, the device achieves optimal damping ratio and isolation efficiency (59.71%) when the metal rubber density is 2.0 g/cm3. A moderate increase in spring stiffness reduces the resonance peak and improves stability, with a stiffness of 100 kN/m exhibiting the best overall performance. In addition, higher input vibration levels markedly elevate the acceleration response and the resonant peak amplification factor of the isolator, demonstrating that high-intensity excitation magnifies the vibration response and degrades the isolation efficiency. Full article
Show Figures

Figure 1

13 pages, 1105 KB  
Article
An Effective Microcurrent Stimulation Method for Inducing Non-Pharmacological Parasympathetic Nervous System Activity for Pain Relief
by Daechang Kim, Jaeeun Ko and Sungmin Kim
Bioengineering 2026, 13(1), 52; https://doi.org/10.3390/bioengineering13010052 - 31 Dec 2025
Viewed by 258
Abstract
This study aims to propose a non-pharmacological approach to pain relief by analyzing changes in electrocardiogram (ECG) parameters following transcutaneous microcurrent stimulation generated according to the pulse train characteristics of intensity and frequency. Therefore, we analyze and interpret stimulation methods that induce parasympathetic [...] Read more.
This study aims to propose a non-pharmacological approach to pain relief by analyzing changes in electrocardiogram (ECG) parameters following transcutaneous microcurrent stimulation generated according to the pulse train characteristics of intensity and frequency. Therefore, we analyze and interpret stimulation methods that induce parasympathetic nervous system (PNS) activity, which is the clinical basis for pain relief. There were 14 male participants, with a height of 176.08 ± 7.05 cm, a weight of 77.07 ± 10.32 Kg, and an age of 26.35 ± 1.71 years, and 10 female participants, with a height of 160.6 ± 5.88 cm, a weight of 52.9 ± 9.03 Kg, and an age of 24 ± 1.61 years. The microcurrent stimulation patch was attached to the left wrist. In order to observe the PNS induction effect of the measured electrocardiograms, time and frequency domains were analyzed and additional nonlinear analysis was performed. Data measurements had a rest period of more than 1 h depending on the intensity, and more than 1 day depending on the frequency to ensure sufficient stabilization time. Although physiological changes were shown differently in various pulse trains, among them, after 7 Vpp microcurrent stimulation at 1 Hz, the values of the square root of the mean squared differences of successive R-R intervals and instantaneous RR interval variability, which indicate PNS activity in the subjects, significantly increased from 41.31 ± 34.13, 29.23 ± 24.14 ms to 65.09 ± 32.46, 44.56 ± 37.92 ms (p < 0.05). Activation of PNS, which can relieve pain, was confirmed only in the 7 Vpp with 1 Hz stimulation. This suggests that microcurrent stimulation can relieve pain in a non-pharmacological way by inducing activation of PNS. Full article
(This article belongs to the Special Issue Recent Advances in Brain Stimulation Technology)
Show Figures

Figure 1

16 pages, 871 KB  
Article
Long-Term Prognosis and Impact Factors of Metoprolol Treatment in Children with Vasovagal Syncope
by Jing Wang, Ping Liu, Yuli Wang, Junbao Du, Ying Liao and Hongfang Jin
Biomedicines 2026, 14(1), 75; https://doi.org/10.3390/biomedicines14010075 - 30 Dec 2025
Viewed by 215
Abstract
Objective: To investigate long-term prognosis and impact factors in children with vasovagal syncope (VVS) receiving metoprolol therapy. Method: This retrospective study included children with VVS who underwent metoprolol therapy at the Pediatric Syncope Unit of Peking University First Hospital between January 2012 and [...] Read more.
Objective: To investigate long-term prognosis and impact factors in children with vasovagal syncope (VVS) receiving metoprolol therapy. Method: This retrospective study included children with VVS who underwent metoprolol therapy at the Pediatric Syncope Unit of Peking University First Hospital between January 2012 and November 2023. Baseline demographic data, pre-treatment indices, including head-up tilt test (HUTT) and 24 h Holter monitoring, were collected. All participants received standardized metoprolol therapy for a minimum duration of one month. Follow-up was conducted between June and July 2025, with syncope recurrence as the primary endpoint. Multivariable Cox proportional hazards regression analysis was performed to identify independent impact factors of prognosis and to construct a Prognostic Risk Score (PRS) model. The model’s performance was rigorously validated through receiver operating characteristic (ROC) curve analysis, decision curve analysis (DCA), and Bootstrap resampling (1000 iterations). Furthermore, children were stratified into high- and low-risk groups based on median PRS values. Kaplan–Meier survival analysis was then performed to assess the model’s discriminative efficacy. Result: This study included 97 children diagnosed with VVS. The median duration of metoprolol therapy was 2.5 months (interquartile range [IQR]: 2.0–3.0 months), with a median follow-up period of 59 months (IQR: 25.5–72 months). During follow-up, syncope recurrence was observed in 37 patients, while 60 patients remained symptom-free. COX regression analysis showed that time-domain indices of heart rate variability (HRV), including the standard deviation of all NN intervals (SDNN) and the triangular index (TR), as well as the frequency-domain index of HRV very low frequency (VLF), were relative factors of the long-term prognosis in children with VVS treated with metoprolol. Based on the above three identified factors, the PRS model was calculated as: PRS = 0.03 × SDNN − 0.02 × VLF − 0.1 × TR. ROC showed that the area under the curve (AUC) for discriminative power related to long-term prognosis was 0.808 (p < 0.01). The cumulative recurrence rate of symptoms in the high-risk score group was significantly higher than that in the low-risk score group (p < 0.01). The DCA curve demonstrated the clinical applicability of the model. Bootstrap internal verification indicated high stability, with the bias-corrected and accelerated (Bca) confidence interval (CI) of the C index ranging from 0.71 to 0.89. Conclusions: After metoprolol treatment, 38.1% of children with VVS experienced syncope recurrence during a median follow-up period of 59 months. Baseline HRV index, SDNN, TR, and VLF were identified as factors associated with the long-term prognosis of children with VVS treated with metoprolol. The PRS model based on the above indices demonstrated good value in linking to the individual long-term prognosis. Full article
Show Figures

Graphical abstract

11 pages, 6726 KB  
Article
Bench-Scale Study of Magnetically Influenced Dynamic Response in a Sloshing Tank
by Harun Tayfun Söylemez and İbrahim Özkol
Appl. Sci. 2026, 16(1), 360; https://doi.org/10.3390/app16010360 - 29 Dec 2025
Viewed by 110
Abstract
Liquid sloshing in partially filled tanks is commonly studied because of its influence on vehicle stability, structural loading, and control performance. In experimental investigations, sloshing measurements can be contaminated by mechanically induced fluid–structure interactions originating from the actuation system itself. This study presents [...] Read more.
Liquid sloshing in partially filled tanks is commonly studied because of its influence on vehicle stability, structural loading, and control performance. In experimental investigations, sloshing measurements can be contaminated by mechanically induced fluid–structure interactions originating from the actuation system itself. This study presents a bench-scale experimental investigation of the interaction between static magnetic fields and the dynamic response of a mechanically excited water-tank system, with particular emphasis on distinguishing sloshing-related motion from higher-frequency mechanical effects. A rectangular acrylic tank was subjected to near-resonant horizontal excitation at a fixed fill height. A ferromagnetic steel plate was mounted externally beneath the tank and kept identical in all experiments, while either permanent magnets or mass-matched nonmagnetic dummies were attached externally to one sidewall. Two configurations were examined: a symmetric split-wall layout (15 + 15) magnets and a single-wall high-field arrangement with 30 magnets (Mag–30@L) together with its dummy control (Dummy–30@L). The center-of-gravity motion CGy(t) was reconstructed from four load cells and analyzed in the time and frequency domains. Band-limited analysis of the primary sloshing mode near 0.55 Hz revealed no statistically significant influence of the magnetic field, indicating that static magnets do not measurably affect the fundamental sloshing dynamics under the present conditions. In contrast, a higher-frequency response component in the 10–20 Hz range, attributed to mechanically induced fluid–structure interaction associated with actuator reversal dynamics, was consistently attenuated when magnets were present; this component is absent in corresponding CFD simulations and is, therefore, not associated with sloshing motion. Given the extremely small magnetic Reynolds and Stuart numbers for water, the observations do not support any volumetric magnetohydrodynamic mechanism; instead, they demonstrate a modest magnetic influence on a mechanically excited, high-frequency coupled mode specific to the present experimental system. The study is intentionally limited to bench scale and provides a reproducible dataset that may inform future investigations of magnetically influenced fluid–structure interactions in experimental sloshing rigs. Full article
Show Figures

Figure 1

43 pages, 5402 KB  
Article
Dual Nonlinear Saturation Control of Electromagnetic Suspension (EMS) System in Maglev Trains
by Hany Samih Bauomy Abdelmonem
Mathematics 2026, 14(1), 62; https://doi.org/10.3390/math14010062 - 24 Dec 2025
Viewed by 185
Abstract
This paper presents a nonlinear vertical dynamic model of an electromagnetic suspension (EMS) system in maglev trains regulated by a dual nonlinear saturation controller (DNSC) under simultaneous resonance (Ωωs,  ωs2ωc). [...] Read more.
This paper presents a nonlinear vertical dynamic model of an electromagnetic suspension (EMS) system in maglev trains regulated by a dual nonlinear saturation controller (DNSC) under simultaneous resonance (Ωωs,  ωs2ωc). The governing nonlinear differential equations of the system are addressed analytically utilizing the multiple time-scale technique (MTST), concentrating on resonance situations obtained from first-order approximations. The suggested controller incorporates two nonlinear saturation functions in the feedback and feedforward paths to improve system stability, decrease vibration levels, and enhance passenger comfort amidst external disturbances and parameter changes. The dynamic bifurcations caused by DNSC parameters are examined through phase portraits and time history diagrams. The goal of control is to minimize vibration amplitude through the implementation of a dual nonlinear saturation control law based on displacement and velocity feedback signals. A comparative analysis is performed on different controllers such as integral resonance control (IRC), positive position feedback (PPF), nonlinear integrated PPF (NIPPF), proportional integral derivative (PID), and DNSC to determine the best approach for vibration reduction in maglev trains. DNSC serves as an effective control approach designed to minimize vibrations and enhance the stability of suspension systems in maglev trains. Stability evaluation under concurrent resonance is conducted utilizing the Routh–Hurwitz criterion. MATLAB 18.2 numerical simulations (fourth-order Runge–Kutta) are employed to analyze time-history responses, the effects of system parameters, and the performance of controllers. The evaluation of all the derived solutions was conducted to verify the findings. Additionally, quadratic velocity feedback leads to intricate bifurcation dynamics. In the time domain, higher displacement and quadratic velocity feedback may destabilize the system, leading to shifts between periodic and chaotic movements. These results emphasize the substantial impact of DNSC on the dynamic performance of electromagnetic suspension systems. Frequency response, bifurcation, and time-domain evaluations demonstrate that the DNSC successfully reduces nonlinear oscillations and chaotic dynamics in the EMS system while attaining enhanced transient performance and resilience. Full article
Show Figures

Figure 1

37 pages, 8964 KB  
Article
Frequency-Domain Optimization of Multi-TMD Systems Using Hierarchical PSO for Offshore Wind Turbine Vibration Suppression
by Chuandi Zhou, Deyi Fu, Xiaojing Ma, Zongyan Shen and Yin Guan
Energies 2025, 18(24), 6580; https://doi.org/10.3390/en18246580 - 16 Dec 2025
Viewed by 220
Abstract
With the rapid advancement of offshore wind power, structural vibration induced by multi-source excitations in complex marine environments is a critical concern. This study developed a multi-degree-of-freedom (MDOF) dynamic model of an offshore wind turbine using a lumped mass approach, which was then [...] Read more.
With the rapid advancement of offshore wind power, structural vibration induced by multi-source excitations in complex marine environments is a critical concern. This study developed a multi-degree-of-freedom (MDOF) dynamic model of an offshore wind turbine using a lumped mass approach, which was then reduced to a first-order linear system to improve frequency-domain analysis and optimization efficiency. Given the non-stationary, broadband nature of wind and wave loads, a band-pass filtering technique was applied to extract dominant frequency components, enabling linear modeling of excitations within primary modal ranges. The displacement response spectrum, derived via system transfer functions, served as the objective function for optimizing tuned mass damper (TMD) parameters. Both single TMD and multiple TMD (MTMD) strategies were designed and compared. A hierarchical particle swarm optimization (H-PSO) algorithm was proposed for MTMD tuning, using the optimized single TMD as an initial guess to enhance convergence and stability in high-dimensional spaces. The results showed that the frequency-domain optimization framework achieved a balance between accuracy and computational efficiency, significantly reducing structural responses in dominant modes and demonstrating strong potential for practical engineering applications. Full article
Show Figures

Figure 1

19 pages, 5503 KB  
Article
Response Design and Experimental Analysis of Marine Riser Buoy Observation System Based on Fiber Optic Sensing Under South China Sea Climatic Conditions
by Lei Liang, Shuhan Long, Xianyu Lai, Yixuan Cui and Jian Gu
J. Mar. Sci. Eng. 2025, 13(12), 2356; https://doi.org/10.3390/jmse13122356 - 10 Dec 2025
Viewed by 379
Abstract
Marine risers, critical structures connecting underwater production systems and surface floating platforms, stand freely in water and endure extremely complex marine environmental loads. To meet the multi-parameter observation demand for their overall state, a fiber-optic sensing-based marine riser buoy observation system was developed. [...] Read more.
Marine risers, critical structures connecting underwater production systems and surface floating platforms, stand freely in water and endure extremely complex marine environmental loads. To meet the multi-parameter observation demand for their overall state, a fiber-optic sensing-based marine riser buoy observation system was developed. Unlike traditional point-type and offline monitoring systems, it integrates marine buoys with sensing submarine cables to achieve long-term real-time online monitoring of risers’ overall state via fiber-optic sensing technology. Comprising two main modules (buoy monitoring module and fiber-optic sensing module), the buoy’s stability was verified through theoretical derivation, simulation, and stability curve plotting. Frequency domain analysis of buoy loads and motion responses, along with calculation of motion response amplitude operators (RAOs) at various incident angles, showed the system avoids wave periods in the South China Sea (no resonance), ensuring structural safety for offshore operations. A 7-day marine test of the prototype was conducted in Yazhou Bay, Hainan Province, to monitor real-time temperature and strain data of the riser in the test sea area. The sensing submarine cable accurately responded to temperature changes at different depths with high stability and precision; using the Frenet-based 3D curve reconstruction algorithm, pipeline shape was inverted from the monitored strain data, enabling real-time pipeline monitoring. During the test, the buoy and fiber-optic sensing module operated stably. This marine test confirms the buoy observation system’s reasonable design parameters and feasible scheme, applicable to temperature and deformation monitoring of marine risers. Full article
(This article belongs to the Section Ocean Engineering)
Show Figures

Figure 1

24 pages, 9946 KB  
Article
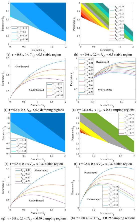
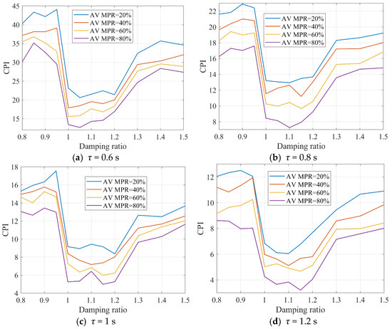
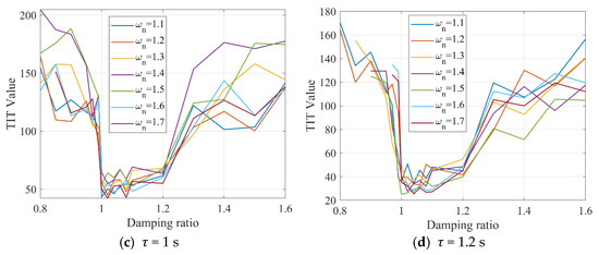
A Comprehensive Study of Autonomous Vehicle Platoon Stability and Safety Under Uncertainties and Delays in Mixed Traffic
by Yulu Dai, Xueli Ge, Mingfeng Dai, Yanbin Liu and Aixi Yang
Electronics 2025, 14(24), 4836; https://doi.org/10.3390/electronics14244836 - 8 Dec 2025
Viewed by 343
Abstract
Autonomous Vehicle (AV) platooning is a promising solution for enhancing traffic efficiency and safety. However, real-world deployment faces challenges due to uncertainties and delays, which can impact platoon stability and safety. This study analyzes AV platoon stability and safety, considering control parameter uncertainty, [...] Read more.
Autonomous Vehicle (AV) platooning is a promising solution for enhancing traffic efficiency and safety. However, real-world deployment faces challenges due to uncertainties and delays, which can impact platoon stability and safety. This study analyzes AV platoon stability and safety, considering control parameter uncertainty, mechanical delay, and perception delay. The research also extends the analysis to mixed traffic environments, where AVs interact with human-driven vehicles (HVs). A modified Adaptive Cruise Control (ACC) model is used, incorporating delays and uncertainties. Time–domain and frequency–domain stability analyses evaluate the impact of these factors on platoon stability, while Time-to-Collision (TIT) and Collision Probability Index (CPI) metrics assess safety. Results show that delays and uncertainty significantly degrade platoon stability, with the damping ratio falling below critical levels. Mixed traffic environments further increase collision risks. Increasing AV penetration improves safety, but HV behavior remains a challenge. The study emphasizes the need for adaptive control strategies to ensure stable and safe AV platoon operations in real-world conditions. Full article
(This article belongs to the Section Systems & Control Engineering)
Show Figures

Figure 1

13 pages, 729 KB  
Article
A Single-Neuron-per-Class Readout for Image-Encoded Sensor Time Series
by David Bernal-Casas and Jaime Gallego
Mathematics 2025, 13(24), 3893; https://doi.org/10.3390/math13243893 - 5 Dec 2025
Viewed by 291
Abstract
We introduce an ultra-compact, single-neuron-per-class end-to-end readout for binary classification of noisy, image-encoded sensor time series. The approach compares a linear single-unit perceptron (E2E-MLP-1) with a resonate-and-fire (RAF) neuron (E2E-RAF-1), which merges feature selection and decision-making in a single block. Beyond empirical evaluation, [...] Read more.
We introduce an ultra-compact, single-neuron-per-class end-to-end readout for binary classification of noisy, image-encoded sensor time series. The approach compares a linear single-unit perceptron (E2E-MLP-1) with a resonate-and-fire (RAF) neuron (E2E-RAF-1), which merges feature selection and decision-making in a single block. Beyond empirical evaluation, we provide a mathematical analysis of the RAF readout: starting from its subthreshold ordinary differential equation, we derive the transfer function H(jω), characterize the frequency response, and relate the output signal-to-noise ratio (SNR) to |H(jω)|2 and the noise power spectral density Sn(ω)ωα (brown, pink, and blue noise). We present a stable discrete-time implementation compatible with surrogate gradient training and discuss the associated stability constraints. As a case study, we classify walk-in-place (WIP) in a virtual reality (VR) environment, a vision-based motion encoding (72 × 56 grayscale) derived from 3D trajectories, comprising 44,084 samples from 15 participants. On clean data, both single-neuron-per-class models approach ceiling accuracy. At the same time, under colored noise, the RAF readout yields consistent gains (typically +5–8% absolute accuracy at medium/high perturbations), indicative of intrinsic band-selective filtering induced by resonance. With ∼8 k parameters and sub-2 ms inference on commodity graphical processing units (GPUs), the RAF readout provides a mathematically grounded, robust, and efficient alternative for stochastic signal processing across domains, with virtual reality locomotion used here as an illustrative validation. Full article
(This article belongs to the Special Issue Computer Vision, Image Processing Technologies and Machine Learning)
Show Figures

Figure 1

19 pages, 280 KB  
Article
Determinants and Transmission Channels of Financial Cycle Synchronization in EU Member States
by Matei-Nicolae Kubinschi, Robert-Adrian Grecu and Nicoleta Sîrbu
J. Risk Financial Manag. 2025, 18(12), 690; https://doi.org/10.3390/jrfm18120690 - 3 Dec 2025
Viewed by 382
Abstract
This paper investigates the determinants and transmission channels underlying the synchronization between financial and business cycles across European Union (EU) member states. For the empirical approach, we combine frequency-domain filtering techniques with spillover index analysis to track cross-country macro-financial interlinkages. We measure financial [...] Read more.
This paper investigates the determinants and transmission channels underlying the synchronization between financial and business cycles across European Union (EU) member states. For the empirical approach, we combine frequency-domain filtering techniques with spillover index analysis to track cross-country macro-financial interlinkages. We measure financial cycle correlations and spillovers in terms of common exposures to trade linkages, overlapping systemic risk episodes, and bilateral financial claims. An important finding is that financial and business cycles tend to move together, largely due to shared macro-financial conditions and systemic stress episodes. While the data reveal strong co-movement between these cycles, the analysis does not imply a specific direction of causality. In particular, it remains possible that shifts in financial conditions can amplify or even precede business-cycle fluctuations, as seen during major crises. The focus of this study is, therefore, on the interdependence and synchronization of these cycles rather than on causal sequencing. The analysis combines complementary filtering and variance-decomposition methods to quantify the interdependencies shaping EU financial stability, providing a basis for enhanced macroprudential policy coordination. The policy implications for macroprudential authorities entail taking into account cross-border effects and spillovers when implementing instruments for taming the financial cycle. Full article
(This article belongs to the Special Issue Business, Finance, and Economic Development)
22 pages, 4302 KB  
Article
Vehicle Vibration Characteristics of an Additional-Flow-Path-Type Magnetorheological Damper Using a Frequency-Tuned Proportional-Integral Controller
by Seongjae Won, Sukju Kim, Chanyoung Jin and Jinwook Lee
Energies 2025, 18(23), 6324; https://doi.org/10.3390/en18236324 - 1 Dec 2025
Viewed by 272
Abstract
Magnetorheological (MR) dampers provide tunable, fast-response damping for semi-active suspension systems. However, their nonlinear flow behavior can limit stability and energy efficiency under broadband road excitation. This study proposes an additional-flow-path-type MR damper integrated with a frequency-domain proportional-integral (PI) controller that captures the [...] Read more.
Magnetorheological (MR) dampers provide tunable, fast-response damping for semi-active suspension systems. However, their nonlinear flow behavior can limit stability and energy efficiency under broadband road excitation. This study proposes an additional-flow-path-type MR damper integrated with a frequency-domain proportional-integral (PI) controller that captures the dominant spectral characteristics of ISO-standard road profiles. A quarter-car simulation model developed in AMESim was used to assess the dynamic performance of the integrated system. The controller gains were tuned using representative excitation frequencies obtained through spectral analysis, allowing the damping force to be shaped in accordance with the primary vibration bandwidth. This approach combines structural modifications that enhance internal flow linearity with a control strategy aligned with the statistical nature of real road disturbances. Simulation results show that the proposed method reduces vertical acceleration of the sprung mass while simultaneously lowering the average damping-force demand compared with a passive suspension. These findings indicate that the combined structural control framework improves both ride comfort and mechanical energy dissipation efficiency. Full article
Show Figures

Figure 1

13 pages, 1901 KB  
Systematic Review
Impact of Coronary Function Testing on Symptoms and Quality of Life in Patients with Coronary Microvascular Dysfunction: Meta-Analysis of Randomised Controlled Trials
by Temar Habtezghi, Adam Haq, Yanbo Jin, Nimrah Haq and Heerajnarain Bulluck
J. Clin. Med. 2025, 14(23), 8461; https://doi.org/10.3390/jcm14238461 - 28 Nov 2025
Viewed by 498
Abstract
Background/Objectives: A significant proportion of patients with angina undergoing invasive coronary angiography have no obstructive coronary artery disease (ANOCA), often due to coronary microvascular dysfunction (CMD). Coronary function testing (CFT) enables the physiological endotyping of these patients during angiography. This meta-analysis aimed to [...] Read more.
Background/Objectives: A significant proportion of patients with angina undergoing invasive coronary angiography have no obstructive coronary artery disease (ANOCA), often due to coronary microvascular dysfunction (CMD). Coronary function testing (CFT) enables the physiological endotyping of these patients during angiography. This meta-analysis aimed to evaluate whether CFT-guided therapy improves angina symptoms and quality of life compared with standard angiography-guided care. Methods: Major databases were systematically searched for randomised controlled trials (RCTs) up to September 2025. The primary endpoint was angina severity; secondary endpoints included angina limitation, stability, frequency, treatment satisfaction, and quality of life. Pooled analyses were performed using a random-effects model with inverse-variance weighting to derive the weighted mean difference (95% confidence interval, CI). Results: Three RCTs involving 535 patients (mean age 60 years, 64% female) met inclusion criteria. The disclosure of CFT results did not significantly improve overall angina severity (mean difference: 6.00, 95% CI −2.32 to 14.33; p = 0.16), with considerate heterogeneity (I2 = 92%). No difference was observed for angina frequency or quality of life. In contrast, angina limitation, stability, and treatment satisfaction all favoured the CFT-disclosed group, although the results were heterogeneous. Conclusions: Invasive CFT appears feasible and clinically relevant in patients with ANOCA. Although several SAQ domains improved following physiology-guided management, these findings require cautious interpretation given the modest sample size and considerable heterogeneity. Larger, methodologically robust trials are warranted to clarify whether a CFT-guided strategy should be routinely integrated into the diagnostic and therapeutic pathway for ANOCA. Full article
(This article belongs to the Section Cardiology)
Show Figures

Figure 1

39 pages, 3961 KB  
Article
Traditional Machine Learning Outperforms EEGNet for Consumer-Grade EEG Emotion Recognition: A Comprehensive Evaluation with Cross-Dataset Validation
by Carlos Rodrigo Paredes Ocaranza, Bensheng Yun and Enrique Daniel Paredes Ocaranza
Sensors 2025, 25(23), 7262; https://doi.org/10.3390/s25237262 - 28 Nov 2025
Viewed by 1104
Abstract
Objective. Consumer-grade EEG devices have the potential for widespread brain–computer interface deployment but pose significant challenges for emotion recognition due to reduced spatial coverage and the variable signal quality encountered in uncontrolled deployment environments. While deep learning approaches have employed increasingly complex architectures, [...] Read more.
Objective. Consumer-grade EEG devices have the potential for widespread brain–computer interface deployment but pose significant challenges for emotion recognition due to reduced spatial coverage and the variable signal quality encountered in uncontrolled deployment environments. While deep learning approaches have employed increasingly complex architectures, their efficacy in noisy consumer-grade signals and cross-system generalizability remains unexplored. We present a comprehensive systematic comparison of EEGNet architecture, which has become a benchmark model for consumer-grade EEG analysis versus traditional machine learning, examining when and why domain-specific feature engineering outperforms end-to-end learning in resource constrained scenarios. Approach. We conducted comprehensive within-dataset evaluation using the DREAMER dataset (23 subjects, Emotiv EPOC 14-channel) and challenging cross-dataset validation (DREAMER→SEED-VII transfer). Traditional ML employed domain-specific feature engineering (statistical, frequency-domain, and connectivity features) with random forest classification. Deep learning employed both optimized and enhanced EEGNet architectures, specifically designed for low channel consumer EEG systems. For cross-dataset validation, we implemented progressive domain adaptation combining anatomical channel mapping, CORAL adaptation, and TCA subspace learning. Statistical validation included 345 comprehensive evaluations with fivefold cross-validation × 3 seeds × 23 subjects, Wilcoxon signed-rank tests, and Cohen’s d effect size calculations. Main results. Traditional ML achieved superior within-dataset performance (F1 = 0.945 ± 0.034 versus 0.567 for EEGNet architectures, p < 0.000001, Cohen’s d = 3.863, 67% improvement) across 345 evaluations. Cross-dataset validation demonstrated good performance (F1 = 0.619 versus 0.007) through systematic domain adaptation. Progressive improvements included anatomical channel mapping (5.8× improvement), CORAL domain adaptation (2.7× improvement), and TCA subspace learning (4.5× improvement). Feature analysis revealed inter-channel connectivity patterns contributed 61% of the discriminative power. Traditional ML demonstrated superior computational efficiency (95% faster training, 10× faster inference) and excellent stability (CV = 0.036). Fairness validation experiments supported the advantage of traditional ML in its ability to persist even with minimal feature engineering (F1 = 0.842 vs. 0.646 for enhanced EEGNet), and robustness analysis revealed that deep learning degrades more under consumer-grade noise conditions (17% vs. <1% degradation). Significance. These findings challenge the assumption that architectural complexity universally improves biosignal processing performance in consumer-grade applications. Through the comparison of traditional ML against the EEGNet consumer-grade architecture, we highlight the potential that domain-specific feature engineering and lightweight adaptation techniques can provide superior accuracy, stability, and practical deployment capabilities for consumer-grade EEG emotion recognition. While our empirical comparison focused on EEGNet, the underlying principles regarding data efficiency, noise robustness, and the value of domain expertise could extend to comparisons with other complex architectures facing similar constraints in further research. This comprehensive domain adaptation framework enables robust cross-system deployment, addressing critical gaps in real-world BCI applications. Full article
(This article belongs to the Special Issue Emotion Recognition Based on Sensors (3rd Edition))
Show Figures

Figure 1

26 pages, 2755 KB  
Article
Fault Diagnosis Method for High-Voltage Direct Current Transmission System Based on Multimodal Sensor Feature-LightGBM Algorithm: A Case Study in China
by Qiang Li, Yingfei Li, Shihong Zhang, Yue Ma, Yinan Qiu, Xiaohang Luo and Bo Yang
Energies 2025, 18(23), 6253; https://doi.org/10.3390/en18236253 - 28 Nov 2025
Viewed by 280
Abstract
To improve/enhance the intelligence and accuracy of fault diagnosis in high-voltage direct current (HVDC) systems, this paper proposes a fault diagnosis model for HVDC systems based on the multimodal sensor feature-light gradient boosting machine (MSF-LightGBM) algorithm. First, a sample set encompassing four typical [...] Read more.
To improve/enhance the intelligence and accuracy of fault diagnosis in high-voltage direct current (HVDC) systems, this paper proposes a fault diagnosis model for HVDC systems based on the multimodal sensor feature-light gradient boosting machine (MSF-LightGBM) algorithm. First, a sample set encompassing four typical types of faults, namely alternating current (AC) faults, direct current (DC) faults, inverter commutation failures, and converter valve faults, was constructed based on the actual HVDC transmission data from China. Second, considering the issues of imbalanced sample classes and a relatively small sample size in the original dataset, a data augmentation method incorporating multiple types of noise is introduced to improve the diversity and practical representativeness of the samples. Then, time-series features in the time domain, frequency domain, and wavelet domain, along with Pearson correlation features among 15 sensors, are extracted to form a comprehensive feature vector. On this basis, automatic feature selection is performed using recursive feature elimination (RFE) to screen out the key features. Finally, the paper builds an optimized LightGBM classification model is built using the key features. Through comparative experiments with five machine learning methods, the results indicate that the accuracy of the proposed method on the test set reaches 0.9583, significantly outperforming the other comparison models. The receiver operating characteristic (ROC) curve analysis reveals that the average area under the curve (AUC) for all four types of faults is 0.975, validating the stability and accuracy of the proposed model in multi-class fault identification. Full article
(This article belongs to the Special Issue Energy, Electrical and Power Engineering: 5th Edition)
Show Figures

Figure 1

26 pages, 9318 KB  
Article
Design and Vibration Analysis of the Frame Structure in a Six-Row Self-Propelled Packaging Cotton Picker
by Heng Jiang, Pengda Zhao, Xinsheng Bi, Tingwen Pei, Jianning Yang, Jiahao Su, Jianhao Dong and Yuxin Bao
Machines 2025, 13(12), 1086; https://doi.org/10.3390/machines13121086 - 25 Nov 2025
Viewed by 445
Abstract
The frame of the six-row self-propelled packaging cotton picker serves as the primary load-bearing structure. During operation, the frame is subjected to multiple vibration signals, which are further intensified by coupling effects. These vibrations negatively impact the machine’s operational stability and overall performance. [...] Read more.
The frame of the six-row self-propelled packaging cotton picker serves as the primary load-bearing structure. During operation, the frame is subjected to multiple vibration signals, which are further intensified by coupling effects. These vibrations negatively impact the machine’s operational stability and overall performance. In this study, vibration source tests were designed to collect dynamic response data, enabling systematic analysis of excitation mechanisms and vibration characteristics. Furthermore, a comprehensive analytical approach integrating finite element simulation with experimental analysis was employed to optimize the layout of the vibration sources on the frame. Finally, the frame was validated through modal testing, with multiple measurement points arranged at the interfaces between the frame and the vibration source for vibration tests and time–frequency domain analysis. The results indicate that the final optimized dimensional parameters of the frame were determined as follows: X1 = 1575 mm, X2 = 805 mm, and X3 = 275 mm. Furthermore, time–frequency domain analysis reveals that the natural frequency of the rack designed in this study is effectively separated from the dominant excitation frequency band. This design feature successfully mitigates the risk of resonance, thereby fulfilling the intended performance objectives. Full article
(This article belongs to the Section Machine Design and Theory)
Show Figures

Figure 1

Back to TopTop