Sign in to use this feature.

Years

Between: -

Subjects

remove_circle_outline
remove_circle_outline
remove_circle_outline
remove_circle_outline
remove_circle_outline
remove_circle_outline
remove_circle_outline
remove_circle_outline
remove_circle_outline

Journals

remove_circle_outline
remove_circle_outline
remove_circle_outline
remove_circle_outline
remove_circle_outline
remove_circle_outline
remove_circle_outline
remove_circle_outline
remove_circle_outline
remove_circle_outline
remove_circle_outline
remove_circle_outline
remove_circle_outline
remove_circle_outline

Article Types

Countries / Regions

remove_circle_outline
remove_circle_outline
remove_circle_outline
remove_circle_outline
remove_circle_outline

Search Results (1,443)

Search Parameters:
Keywords = fractional abundance

Order results
Result details
Results per page
Select all
Export citation of selected articles as:
14 pages, 2004 KB  
Article
Spatiotemporal Patterns, Characteristics, and Ecological Risk of Microplastics in the Surface Waters of Shijiu Lake (Nanjing, China)
by Jie Ji, Juan Huang, Ming Chen, Hui Jin, Xinyue Wang, Yufeng Wu, Xiuwen Qian, Haoqin Ma and Jin Xu
Water 2025, 17(22), 3224; https://doi.org/10.3390/w17223224 - 11 Nov 2025
Viewed by 179
Abstract
Microplastics (MPs) are pervasive in freshwater and may threaten aquatic ecosystem health. We surveyed surface waters of Shijiu Lake and its inflowing tributaries during the dry (January–March) and rainy (May–July) seasons of 2024. MP abundance ranged within 17.54–30.93 items/L, with higher values in [...] Read more.
Microplastics (MPs) are pervasive in freshwater and may threaten aquatic ecosystem health. We surveyed surface waters of Shijiu Lake and its inflowing tributaries during the dry (January–March) and rainy (May–July) seasons of 2024. MP abundance ranged within 17.54–30.93 items/L, with higher values in the rainy than in the dry season (28.18 ± 6.03 vs. 24.53 ± 5.68 items/L; one-way ANOVA, p < 0.05). Abundance correlated positively with turbidity (r = 0.44; R2 = 0.20; p < 0.05), whereas associations with total nitrogen, total phosphorus, and suspended solids were not significant (p > 0.05). Small particles (38–75 μm) dominated and were slightly more prevalent in the dry season, while the fraction of larger particles (>150 μm) was relatively higher in the rainy season. Granules predominated across sites, but their share decreased in the rainy season, accompanied by a notable increase in fibers. The Pollution Load Index (PLI) indicated slight but spatially uneven pollution (PLI = 1.00–1.43), generally higher during the rainy season and consistently elevated at the lake center; the Nongkan River exhibited the lowest levels. Ecologically, the patterns indicate rainfall-driven inputs and hydrodynamic controls (runoff, resuspension, residence time), identifying the lake center and tributary interfaces as priority zones for monitoring and mitigation. These results provide lake-scale evidence to refine seasonal monitoring and inform source-reduction strategies in similar inland waters. Full article
(This article belongs to the Section Ecohydrology)
Show Figures

Figure 1

26 pages, 3809 KB  
Article
The Aggregate-Mediated Restoration of Degraded Black Soil via Biochar and Straw Additions: Emphasizing Microbial Community Interactions and Functions
by Shaojie Wang, Siyang Liu, Yingqi Wen, Wenjun Hao, Yiyi Zhao and Shasha Luo
Agriculture 2025, 15(22), 2342; https://doi.org/10.3390/agriculture15222342 - 11 Nov 2025
Viewed by 194
Abstract
The synergistic application of biochar and straw could improve soil properties and influence soil microbial community. However, its impacts on microbial community interactions and functions within various aggregate fractions remain unclear. We conducted a three-year field trial in black soil in northeastern China, [...] Read more.
The synergistic application of biochar and straw could improve soil properties and influence soil microbial community. However, its impacts on microbial community interactions and functions within various aggregate fractions remain unclear. We conducted a three-year field trial in black soil in northeastern China, under the restoration measures of biochar application (BR, 30 t ha−1 once), straw return (SR, 5 t ha−1 year−1), and the combination of BR and SR (BS, BR at 30 t ha−1 once and SR at 5 t ha−1 year−1). Utilizing high-throughput sequencing, we assessed the influence of different straw-returning methods on the structure and function of microbial communities in the mega-aggregates (ME, >2 mm), macroaggregates (MA, 0.25–2 mm), and microaggregates (MI, <0.25 mm). Relative to the control (CK), the BR, SR and BS treatments significantly decreased the bacterial Shannon index, mainly dependent on ME (p < 0.05). Conversely, compared with the CK and SR treatments, both BR and BS treatments notably reduced the fungal Shannon index, largely influenced by MI (p < 0.05). Moreover, the BS treatment significantly increased the relative abundance (RA) of Mortierellomycota (p < 0.05) compared to the CK, BR and SR treatments. Meanwhile, the SR and BS treatments substantially reduced the RA of Nitrospirae (p < 0.05) in comparison to the CK and BR treatments. Furthermore, compared with the CK, the BR and SR treatments enhanced microbial network connectivity, while the BS treatment diminished it, especially in ME and MI. Concurrently, the keystone of co-occurrence networks shifted from Phycisphaeraceae, Blastocatellaceae, and Glomeraceae in the CK treatment to uncultured_bacterium_c_JG37-AG-4 and DA111 in the BS treatment. Additionally, BR and SR exhibited synergistic effects on most microbial community functions (e.g., enhanced chitinolysis and carbon fixation but reduced nitrogen-cycling functions), but they also possessed distinct differential functions. In short, the combined application of biochar and straw adversely impacted soil microbial community diversity and stability, especially in ME and MI. Full article
(This article belongs to the Section Agricultural Soils)
Show Figures

Figure 1

29 pages, 5594 KB  
Article
Assessing Changes in Grassland Species Distribution at the Landscape Scale Using Hyperspectral Remote Sensing
by Obumneke Ohiaeri, Carlos Portillo-Quintero and Haydee Laza
Sensors 2025, 25(22), 6821; https://doi.org/10.3390/s25226821 - 7 Nov 2025
Viewed by 399
Abstract
The advancement of hyperspectral remote sensing technology has enhanced the ability to assess and characterize land cover in complex ecosystems. In this study, a linear spectral unmixing algorithm was applied to NEON hyperspectral imagery in 2018 and 2022 to quantify the fractional abundance [...] Read more.
The advancement of hyperspectral remote sensing technology has enhanced the ability to assess and characterize land cover in complex ecosystems. In this study, a linear spectral unmixing algorithm was applied to NEON hyperspectral imagery in 2018 and 2022 to quantify the fractional abundance of dominant land cover classes, namely herbaceous vegetation, mixed forbs, and bare soil, across the Marvin Klemme Experimental Rangeland in Oklahoma. UAV imagery acquired during the 2023 field campaign provided high resolution reference data for model training. The LSU results revealed a decline in herbaceous cover from 16.02 ha to 11.56 ha and an expansion of bare soil from 3.37 ha to 6.39 ha, while mixed forb cover remained relatively stable (12.38 ha to 13.82 ha). Accuracy assessment using the UAV-derived validation points yielded overall accuracy of 84% and 60% at fractional thresholds of 50% and 75%, respectively. Although statistical tests indicated no significant change in mean fractional abundance (p > 0.05), slope-based trend maps captured localized vegetation loss and regrowth patterns. These findings demonstrate the effectiveness of integrating LSU with UAV data for detecting subtle yet ecologically meaningful shifts in semi-arid grassland composition. Full article
(This article belongs to the Special Issue Hyperspectral Sensing: Imaging and Applications)
Show Figures

Figure 1

26 pages, 1164 KB  
Review
Lignin Valorization from Lignocellulosic Biomass: Extraction, Depolymerization, and Applications in the Circular Bioeconomy
by Tomas Makaveckas, Aušra Šimonėlienė and Vilma Šipailaitė-Ramoškienė
Sustainability 2025, 17(21), 9913; https://doi.org/10.3390/su17219913 - 6 Nov 2025
Viewed by 597
Abstract
Lignocellulosic biomass—the non-edible fraction of plants composed of cellulose, hemicellulose, and lignin—is the most abundant renewable carbon resource and a key lever for shifting from fossil to bio-based production. Agro-industrial residues (straws, cobs, shells, bagasse, brewery spent grains, etc.) offer low-cost, widely available [...] Read more.
Lignocellulosic biomass—the non-edible fraction of plants composed of cellulose, hemicellulose, and lignin—is the most abundant renewable carbon resource and a key lever for shifting from fossil to bio-based production. Agro-industrial residues (straws, cobs, shells, bagasse, brewery spent grains, etc.) offer low-cost, widely available feedstocks but are difficult to process because their polymers form a tightly integrated, three-dimensional matrix. Within this matrix, lignin provides rigidity, hydrophobicity, and defense, yet its heterogeneity and recalcitrance impede saccharification and upgrading. Today, most technical lignin from pulping and emerging biorefineries is burned for energy, despite growing opportunities to valorize it directly as a macromolecule (e.g., adhesives, foams, carbon precursors, UV/antioxidant additives) or via depolymerization to low-molecular-weight aromatics for fuels and chemicals. Extraction route and severity strongly condition lignin structure linkages (coumaryl-, coniferyl-, and sinapyl-alcohol ratios), determining reactivity, solubility, and product selectivity. Advances in selective fractionation, reductive/oxidative catalysis, and hybrid chemo-biological routes are improving yields while limiting condensation. Remaining barriers include feedstock variability, solvent and catalyst recovery, hydrogen and energy intensity, and market adoption (e.g., low-emission adhesives). Elevating lignin from fuel to product within integrated biorefineries can unlock significant environmental and economic benefits. Full article
(This article belongs to the Section Sustainable Materials)
Show Figures

Figure 1

16 pages, 1306 KB  
Review
Microplastic Polymer Mass Fractions in Marine Bivalves: From Isolation to Hazard Risk
by Tanja Bogdanović, Irena Listeš, Jennifer Gjerde, Sandra Petričević, Zvonimir Jažo, Eddy Listeš, Jelka Pleadin, Darja Sokolić, Ivona Jadrešin and Federica di Giacinto
J. Xenobiot. 2025, 15(6), 186; https://doi.org/10.3390/jox15060186 - 6 Nov 2025
Viewed by 361
Abstract
Microplastics (MPs) are a ubiquitous marine pollutant, and their presence in bivalves is receiving increasing attention due to the associated risks to human health. The steps of pretreatment, detection, and quantification in the analysis of MPs depend on the type of polymer. Research [...] Read more.
Microplastics (MPs) are a ubiquitous marine pollutant, and their presence in bivalves is receiving increasing attention due to the associated risks to human health. The steps of pretreatment, detection, and quantification in the analysis of MPs depend on the type of polymer. Research on MPs is challenging because of the varying characteristics of these materials, such as the size, shape, and polymer type. Consequently, there are no standardized methods for their collection, separation, identification, or quantification. This review specifically examines the available bivalve digestion steps, focusing on efficient and time-reducing methods, such as the microwave-assisted (MAW) procedure and its advantages. Recent achievements in the application of pyrolysis gas chromatography–mass spectrometry (Pyr-GC-MS) are presented for the profiling of polymer mass-related microplastics data in marine bivalves. Here, we provide an overview of the abundance, properties, and polymer types of MPs in bivalve species, highlighting the polymer mass fractions. To date, the available mass-based concentrations have revealed nine types of MPs—polyethylene (PE), polypropylene (PP), polyvinyl chloride (PVC), polyethylene terephthalate (PET), polystyrene (PS), polymethyl methacrylate (PMMA), polyamide 66 (PA66), polycarbonate (PC), and polyamide 6 (PA6)—with PE, PP, and PVC being the most common. The total MP levels in bivalves were at ppm levels, ranging from 0.26 µg/g to 36.4 µg/g wet weight. The risk of human ingestion of MPs was assessed through the consumption of bivalves as seafood. The overall potential human health risk value (H) for marine bivalves was classified within the moderate to high hazard category. Full article
Show Figures

Graphical abstract

13 pages, 2004 KB  
Article
The Unimodal Distribution Pattern of Soil Organic Carbon Across Elevation Gradients in the Three Gorges Reservoir
by Ping Xie, Zheng Li, Haiqin Zhu, Baojie Jia, Zhuo Huang, Zhuofan Gao, Jinlong Zhang and Shulong Cao
Processes 2025, 13(11), 3532; https://doi.org/10.3390/pr13113532 - 4 Nov 2025
Viewed by 226
Abstract
Soil organic carbon (SOC) and its active fractions—labile organic carbon (Lab-C), dissolved organic carbon (DOC), and microbial biomass carbon (MBC)—govern soil carbon stability and climate feedback mechanisms. To investigate the distribution patterns and regulatory mechanisms of SOC and those active fractions along elevational [...] Read more.
Soil organic carbon (SOC) and its active fractions—labile organic carbon (Lab-C), dissolved organic carbon (DOC), and microbial biomass carbon (MBC)—govern soil carbon stability and climate feedback mechanisms. To investigate the distribution patterns and regulatory mechanisms of SOC and those active fractions along elevational gradients in the riparian zone of the Three Gorges Reservoir Area (subjected to intense waterlogging stress), soil sampling and analysis were conducted across four zones of the Longtanping: below 160 m, 160–170 m, 170–180 m, and above 180 m in early September 2021. Results indicated that as elevation increases, the content of SOC and active components exhibited a unimodal distribution pattern showing initial increases followed by decreases; moreover, this pattern can be attributed to the pH-riven changes in bacterial abundance under varying inundation stress conditions. The peak values occurred at elevations of 160–170 m, with the overall distribution pattern being as follows: 160–170 m > 170–180 m > above 180 m > below 160 m. Correlation analysis revealed significant positive correlations among SOC, DOC, MBC, Lab-C, pH, TN, and bacterial abundance (p < 0.05). Lab-C demonstrated the strongest explanatory power for SOC variations, serving as a sensitive indicator of SOC turnover and persistence dynamics. This study provides critical insights into the carbon cycling mechanism and regional carbon sink assessment in reservoir riparian ecosystems. Full article
(This article belongs to the Section Environmental and Green Processes)
Show Figures

Figure 1

28 pages, 1384 KB  
Article
Effect of Solidified Carbon Dioxide Pretreatment on Chlorella vulgaris Biomass Prior to Anaerobic Digestion
by Joanna Kazimierowicz, Marcin Dębowski and Marcin Zieliński
Energies 2025, 18(21), 5774; https://doi.org/10.3390/en18215774 - 1 Nov 2025
Viewed by 281
Abstract
The aim of this study was to evaluate the effect of low-temperature disintegration of Chlorella vulgaris using solidified carbon dioxide (SCO2) on the efficiency of anaerobic digestion of microalgae biomass. The novelty of this study resides in the pioneering application of [...] Read more.
The aim of this study was to evaluate the effect of low-temperature disintegration of Chlorella vulgaris using solidified carbon dioxide (SCO2) on the efficiency of anaerobic digestion of microalgae biomass. The novelty of this study resides in the pioneering application of SCO2 for the pretreatment of C. vulgaris biomass to enhance methane fermentation. This approach integrates mechanical disruption of cell walls with improved solubilization of organic fractions at low temperatures, providing an innovative and energy-efficient strategy to boost biomethanogenesis performance. This study was carried out in four stages, including characterisation of substrate properties, evaluation of organic compound solubilization following SCO2 pretreatment, and fermentation under both batch and continuous conditions. Analysis of dissolved COD and TOC fractions revealed a significant increase in the bioavailability of organic matter as a result of SCO2 application, with the highest degree of solubilization observed at a SCO2/C. vulgaris biomass volume ratio of 1:3. In batch reactors, CH4 yield increased significantly to 369 ± 16 mL CH4/g VS, methane content in biogas reached 65.9 ± 1.0%, and kinetic process parameters were improved. Comparable enhancements were observed in continuous fermentation, with the best scenario yielding 243.4 ± 9.5 mL CH4/g VS. Digestate analysis confirmed more efficient degradation of organic fractions, and the stability of methanogenic consortia was maintained, with only moderate changes in the relative abundance of the main groups (Methanosarcinaceae, Methanosaeta). Energy balance calculations indicated a positive net effect of the process. This study represents a pioneering application of SCO2 pretreatment in the context of microalgal biomass and highlights its high potential for intensifying anaerobic digestion. Full article
Show Figures

Figure 1

28 pages, 19566 KB  
Article
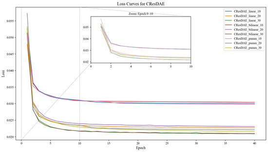
CResDAE: A Deep Autoencoder with Attention Mechanism for Hyperspectral Unmixing
by Chong Zhao, Jinlin Wang, Qingqing Qiao, Kefa Zhou, Jiantao Bi, Qing Zhang, Wei Wang, Dong Li, Tao Liao, Chao Li, Heshun Qiu and Guangjun Qu
Remote Sens. 2025, 17(21), 3622; https://doi.org/10.3390/rs17213622 - 31 Oct 2025
Viewed by 300
Abstract
Hyperspectral unmixing aims to extract pure spectral signatures (endmembers) and estimate their corresponding abundance fractions from mixed pixels, enabling quantitative analysis of surface material composition. However, in geological mineral exploration, existing unmixing methods often fail to explicitly identify informative spectral bands, lack inter-layer [...] Read more.
Hyperspectral unmixing aims to extract pure spectral signatures (endmembers) and estimate their corresponding abundance fractions from mixed pixels, enabling quantitative analysis of surface material composition. However, in geological mineral exploration, existing unmixing methods often fail to explicitly identify informative spectral bands, lack inter-layer information transfer mechanisms, and overlook the physical constraints intrinsic to the unmixing process. These issues result in limited directionality, sparsity, and interpretability. To address these limitations, this paper proposes a novel model, CResDAE, based on a deep autoencoder architecture. The encoder integrates a channel attention mechanism and deep residual modules to enhance its ability to assign adaptive weights to spectral bands in geological hyperspectral unmixing tasks. The model is evaluated by comparing its performance with traditional and deep learning-based unmixing methods on synthetic datasets, and through a comparative analysis with a nonlinear autoencoder on the Urban hyperspectral scene. Experimental results show that CResDAE consistently outperforms both conventional and deep learning counterparts. Finally, CResDAE is applied to GF-5 hyperspectral imagery from Yunnan Province, China, where it effectively distinguishes surface materials such as Forest, Grassland, Silicate, Carbonate, and Sulfate, offering reliable data support for geological surveys and mineral exploration in covered regions. Full article
(This article belongs to the Special Issue AI-Driven Hyperspectral Remote Sensing of Atmosphere and Land)
Show Figures

Figure 1

16 pages, 3962 KB  
Article
Biochar Application Enhances Soil Carbon Sequestration in the North China Plain by Improving Soil Properties and Reshaping Microbial Community Structure
by Yang Wang, Mengping Zhang, Ao Sun, Xin Fu, Zhengping Peng, Huasen Xu and Cheng Xue
Agronomy 2025, 15(11), 2539; https://doi.org/10.3390/agronomy15112539 - 31 Oct 2025
Viewed by 383
Abstract
Biochar amendment has been widely recognized for its potential to promote soil carbon sequestration and improve crop productivity; however, the microbial mechanisms underlying carbon sequestration at varying biochar application rates remain insufficiently understood. In this study, a field experiment was conducted in a [...] Read more.
Biochar amendment has been widely recognized for its potential to promote soil carbon sequestration and improve crop productivity; however, the microbial mechanisms underlying carbon sequestration at varying biochar application rates remain insufficiently understood. In this study, a field experiment was conducted in a typical fluvo-aquic soil region of the North China Plain under a maize–wheat rotation, with one-time biochar application at four levels: CK (0 t ha−1), B5 (5 t ha−1), B10 (10 t ha−1), and B20 (20 t ha−1). The effects of these treatments on soil physicochemical properties, organic carbon fractions, microbial community structure, and enzyme activities were systematically examined. The results showed that soil total nitrogen (TN) and pH increased consistently with higher biochar application rates, reaching maximum values under B20 treatment, where TN and pH rose by 35.56% and 7.00% relative to CK, respectively. In contrast, the contents of NH4+-N, available phosphorus (AP), and available potassium were mostly enhanced under B5 during the maize season, while in the wheat season, NH4+-N peaked under B10 and AP peaked under B5. Biochar addition significantly increased soil organic carbon fractions and the carbon pool management index (CMI). In the maize season, soil organic carbon (SOC), microbial biomass carbon (MBC), particulate organic carbon (POC), and CMI under B20 rose by 55.99%, 39.67%, 79.69% and 180.54% over CK, respectively, whereas dissolved organic carbon (DOC) peaked under B5. Throughout the wheat season, SOC, MBC, and POC contents under B20 were 53.70%, 64.31% and 147.81% higher than CK, while DOC peaked under B5 (+56.98%). Soil enzyme activities, including catalase, urease, invertase and alkaline phosphatase, were strongly stimulated by biochar, with B20 increasing their activities by 4.49–18.18%, 3.19–19.77%, 6.14–26.14% and 12.25–33.19%, respectively. Biochar also reshaped microbial community structure: the during maize season, it reduced the relative abundance of Glomeromycetes (65.31%) and Oligohymenophorea (51.64%) while enhancing Deltaproteobacteria (46.15%) and Gammaproteobacteria (29.03%); during wheat season; it enhanced Eurotiomycetes (85.77%) and Dothideomycetes (16.28%) but suppressed Deinococci (74.08%) and Alphaproteobacteria (4.39%). Pathway analysis further indicated that biochar amendments indirectly increased SOC fractions and CMI by simultaneously altering nutrient availability, regulating microbial community structure, and stimulating soil enzyme activities. Collectively, these findings highlight that the effects of biochar are dosage-specific: moderate rates (e.g., 5 t ha −1) are more suitable for the short-term improvement of soil fertility, while higher rates (e.g., 20 t ha−1) are more effective for long-term carbon sequestration; depending on the objective, biochar application can thus substantially modify soil physicochemical and biological processes to promote agroecosystem sustainability in the North China Plain. Full article
(This article belongs to the Section Agroecology Innovation: Achieving System Resilience)
Show Figures

Figure 1

16 pages, 3918 KB  
Article
Multi-Omics Decoding of Potential Microbial–Genetic Synergy Underlying Polysaccharide and Glycosidic Polymer Biosynthesis in Two Cultivars of Lilium brownii var. viridulum Baker
by Tao Chang, Yajie Xue, Fan Liu, Ran Zheng, Zaiqi Zhang, Qinfang Zheng and Putao Wang
Metabolites 2025, 15(11), 712; https://doi.org/10.3390/metabo15110712 - 30 Oct 2025
Viewed by 270
Abstract
Background: The accumulation of glycosidic polymers in Lilium brownii var. viridulum Baker (Lv) bulbs fundamentally governs the nutritional and medicinal properties. Methods: In this study, metabolomic, transcriptomic, and microbiome analyses were integrated to elucidate the differential mechanisms of glycoside accumulation between [...] Read more.
Background: The accumulation of glycosidic polymers in Lilium brownii var. viridulum Baker (Lv) bulbs fundamentally governs the nutritional and medicinal properties. Methods: In this study, metabolomic, transcriptomic, and microbiome analyses were integrated to elucidate the differential mechanisms of glycoside accumulation between the elite ‘Xuefeng’ (Lv, X) and ‘Longya’ (Lv, L), each comprising three biological replicates. Results: The results demonstrate significantly elevated diversity and abundance of glycosides in X bulbs, with glucose derivatives constituting the predominant fraction. Differential expression genes (DEGs) associated with carbohydrate metabolism were primarily enriched in starch/sucrose metabolism and amino sugar metabolic pathways. Planctomycetes in rhizospheric soil, combined with Acidobacteriia and Rhodanobacteraceae in non-rhizospheric soil, were identified as key microbial taxa associated with glycoside accumulation. Variation partitioning analysis (VPA) revealed that synergistic genetic microbiota–host interactions collectively accounted for 86.8% of the metabolic variance. Conclusions: Consequently, X exhibits superior potential as a medicinal/edible cultivar and as a breeding material due to its enhanced biosynthesis of glycosidic polymers. This work, for the first time, systematically deciphers the regulatory framework of glycoside accumulation in Lv bulbs, highlighting microbiota–host synergy, and provides critical insights for the refining of biosynthetic pathways and targeted crop enhancement. Full article
(This article belongs to the Special Issue Metabolomics in Plant Natural Products Research, 2nd Edition)
Show Figures

Graphical abstract

12 pages, 888 KB  
Article
Improved Detection of Minimal Residual Disease in AML: Validation of IDH1/2 ddPCR Assays in the Perspective of Treatment with Target Inhibitors
by Katsiaryna Nikitsenka, Giacomo Danieli, Lucia Tombolan, Barbara Mancini, Davide Facchinelli, Giorgia Scotton, Alberto Tosetto, Omar Perbellini, Daniela Zuccarello and Elisabetta Novella
Int. J. Mol. Sci. 2025, 26(21), 10397; https://doi.org/10.3390/ijms262110397 - 26 Oct 2025
Viewed by 329
Abstract
Mutations in IDH1/2 are frequent in Acute Myeloid Leukemia (AML), defining a molecularly distinct subgroup with therapeutic implications due to the availability of specific inhibitors. Accurate monitoring of treatment response is crucial and Droplet Digital PCR (ddPCR) offers a sensitive approach for quantifying [...] Read more.
Mutations in IDH1/2 are frequent in Acute Myeloid Leukemia (AML), defining a molecularly distinct subgroup with therapeutic implications due to the availability of specific inhibitors. Accurate monitoring of treatment response is crucial and Droplet Digital PCR (ddPCR) offers a sensitive approach for quantifying mutational burden in IDH-mutated AML. This study aimed to optimize and validate ddPCR assays specific for IDH1 R132 and IDH2 R172/R140 mutations for future use in Minimal Residual Disease (MRD) monitoring. Four ddPCR assays were set to evaluate the trend of IDH1/2 mutations in 191 diagnostic and follow-up samples. Each validation procedure included determining the limit of blank (LOB) and limit of detection (LOD) using titration series. Moreover, in AML harboring both IDH and NPM1 mutations, we performed generalized estimating equations (GEE) to assess the association between IDH fractional abundance and NPM1 RQ-Ratio across time points. Four IDH1/2 ddPCR assays were validated, demonstrating high sensitivity with limits of detection of 0.07% for IDH1 R132H, 0.1% for IDH2 R140Q and R172K, and 0.2% for IDH1 R132C. The method also exhibited excellent intra-run reproducibility, providing consistent results for patient follow-up. Comparison of IDH and NPM1 trends during follow-up revealed a statistically significant positive correlation, both in raw (β = 0.079, p = 0.001) and ranked data (β = 0.99, p = 0.004), suggesting a co-dynamic pattern potentially useful for surrogate monitoring. While our study cannot yet define the clinical role of IDH mutation assessment by ddPCR due to the lack of comparative follow-up studies, it establishes a solid methodological foundation for standardizing minimal residual disease evaluation via ddPCR, paving the way for future prospective validation. Full article
(This article belongs to the Special Issue Immunotherapy Versus Immune Modulation of Leukemia)
Show Figures

Figure 1

19 pages, 5446 KB  
Article
Early Changes in Cardiac Macrophage Subsets in Heart Failure with Preserved Ejection Fraction
by Danae Gutiérrez, Karina Cordero, Ruth Sepúlveda, Camilo Venegas, Diego Altamirano, Camila Candia, Gigliola Ramírez, Patricio Araos, Cristian A. Amador, Marcela A. Hermoso, Luigi Gabrielli, Jorge E. Jalil and María Paz Ocaranza
Int. J. Mol. Sci. 2025, 26(20), 10196; https://doi.org/10.3390/ijms262010196 - 20 Oct 2025
Viewed by 604
Abstract
Heart failure with preserved ejection fraction (HFpEF) is a complex syndrome characterized by left ventricular diastolic dysfunction, exercise intolerance, low-grade chronic inflammation, and comorbidities such as hypertension, obesity, and glucose intolerance. Myocardial infiltration by activated macrophages has been proposed as a mechanism linking [...] Read more.
Heart failure with preserved ejection fraction (HFpEF) is a complex syndrome characterized by left ventricular diastolic dysfunction, exercise intolerance, low-grade chronic inflammation, and comorbidities such as hypertension, obesity, and glucose intolerance. Myocardial infiltration by activated macrophages has been proposed as a mechanism linking low-grade inflammation to increased diastolic LV stiffness in HFpEF. Changes in the relative abundance of cardiac macrophage populations may precede and promote the development of HFpEF in the aged heart. This study aimed to characterize the cardiac macrophage subsets that predominate during progression from experimental preclinical to established HFpEF. To generate the model, wild-type male C57BL/6N mice were randomized to control chow or a combination of high-fat diet plus L-NAME in drinking water for 5 weeks (asymptomatic pre-HFpEF) or 15 weeks (established HFpEF). At the end of each period, we measured body weight, running distance, metabolic biomarkers, systolic and diastolic blood pressure, myocardial function and morphology, cardiac remodeling by hypertrophic markers, morphometric analyses, fibrosis, cytokines TNF-α and IL-10, cardiac macrophage phenotype profiles (CCR2+ and CCR2), and AMP-Activated Protein Kinase (AMPK)activity.Significant changes in myocardial macrophage populations were observed at 5 weeks (pre-HFpEF), specifically a decrease in resident reparative CCR2MHCII and increase in proinflammatory CCR2+MHCII+ macrophages. These early changes were associated with higher circulating TNF-α, decreased myocardial AMPK activation, and more severe myocardial fibrosis. At 15 weeks (established HFpEF), proinflammatory CCR2+MHCII+ macrophage levels remained elevated in the myocardium; whereas the initial number of resident reparative CCR2MHCII- levels was reduced, it subsequently returned to baseline. In this model of HFpEF induced by a high-fat diet and L-NAME, which produced obesity, glucose intolerance, and hypertension, myocardial resident reparative CCR2MHCII macrophages decreased and proinflammatory CCR2+MHCII+ macrophages increased during preclinical stages. These early changes in cardiac macrophage profile were associated with low-grade inflammation and myocardial remodeling and preceded the onset of HFpEF. Full article
(This article belongs to the Special Issue State-of-the-Art Molecular Immunology in Chile, 2nd Edition)
Show Figures

Graphical abstract

19 pages, 2531 KB  
Article
High-Seas Marine Microorganism Delivers an Extract That Dampens LPS-Driven Pro-Inflammatory Signaling: Galbibacter orientalis Strain ROD011
by Minji Kim, You-Jin Jeon, Bomi Ryu, Young-Mog Kim, Jae-Il Kim, Minkyeong Choi, Sohee Kim, Jihye Lee and Jimin Hyun
Mar. Drugs 2025, 23(10), 409; https://doi.org/10.3390/md23100409 - 18 Oct 2025
Viewed by 735
Abstract
An ethyl acetate extract from the deep-sea bacterium Galbibacter orientalis strain ROD011 (GOEE), collected from international waters, was investigated as a potential anti-inflammatory agent. In lipopolysaccharide (LPS)-stimulated murine macrophages, nitric oxide (NO) production fell by 72–87% at 5–20 µg/mL GOEE without detectable cytotoxicity. [...] Read more.
An ethyl acetate extract from the deep-sea bacterium Galbibacter orientalis strain ROD011 (GOEE), collected from international waters, was investigated as a potential anti-inflammatory agent. In lipopolysaccharide (LPS)-stimulated murine macrophages, nitric oxide (NO) production fell by 72–87% at 5–20 µg/mL GOEE without detectable cytotoxicity. Cyclooxygenase-2 (COX-2 protein abundance decreased in a dose-dependent manner and was nearly absent at 20 µg/mL. In zebrafish embryos, survival was maintained up to 40 µg/mL, and LPS-induced signals were attenuated; the cell-death rate declined from 10 µg/mL onward, and at 20 µg/mL GOEE, reactive oxygen species (ROS) and NO decreased by 85% and 27%, respectively. To explain these effects, untargeted metabolomics with pathway enrichment and network mapping were performed in LPS-driven macrophages. Of the 58 KEGG pathways evaluated, 18 reached significance, notably purine and pyrimidine metabolism, vitamin B6 metabolism, and the one-carbon pool via folate. Coordinated shifts also involved amino-acid/tricarboxylic acid (TCA)-cycle linkages, glutathione and glyoxylate/dicarboxylate, and sphingolipid pathways. Network analysis identified hubs that were concomitantly reprogrammed. Collectively, GOEE achieved multi-level suppression of inflammatory outputs while preserving viability, and the metabolomic signature provides a mechanistic scaffold for its action. These findings nominate a deep-sea microbial extract as a promising anti-inflammatory lead and motivate fractionation and targeted validation of the highlighted metabolic nodes. Full article
(This article belongs to the Special Issue Bioactive Molecules from Extreme Environments III)
Show Figures

Figure 1

17 pages, 4602 KB  
Article
Experimental Investigation of Hydraulic Fracturing Damage Mechanisms in the Chang 7 Member Shale Reservoirs, Ordos Basin, China
by Weibo Wang, Lu Bai, Peiyao Xiao, Zhen Feng, Meng Wang, Bo Wang and Fanhua Zeng
Energies 2025, 18(20), 5355; https://doi.org/10.3390/en18205355 - 11 Oct 2025
Viewed by 396
Abstract
The Chang 7 member of the Ordos Basin hosts abundant shale oil and gas resources and plays a vital role in the development of unconventional energy. This study investigates differences in damage evolution and underlying mechanisms between representative shale oil and shale gas [...] Read more.
The Chang 7 member of the Ordos Basin hosts abundant shale oil and gas resources and plays a vital role in the development of unconventional energy. This study investigates differences in damage evolution and underlying mechanisms between representative shale oil and shale gas reservoir cores from the Chang 7 member under fracturing fluid hydration. A combination of high-temperature expansion tests, nuclear magnetic resonance (NMR), and micro-computed tomography (Micro-CT) was used to systematically characterize macroscopic expansion behavior and microscopic pore structure evolution. Results indicate that shale gas cores undergo faster expansion and higher imbibition rates during hydration (reaching stability in 10 h vs. 23 h for shale oil cores), making them more vulnerable to water-lock damage, while shale oil cores exhibit slower hydration but more pronounced pore structure reconstruction. After 72 h of immersion in fracturing fluid, both core types experienced reduced pore volumes and structural reorganization; however, shale oil cores demonstrated greater capacity for pore reconstruction, with a newly formed pore volume fraction of 34.5% compared to 24.6% for shale gas cores. NMR and Micro-CT analyses reveal that hydration is not merely a destructive process but a dynamic “damage–reconstruction” evolution. Furthermore, the addition of clay stabilizers effectively mitigates water sensitivity and preserves pore structure, with 0.7% identified as the optimal concentration. The research results not only reveal the differential response law of fracturing fluid damage in the Chang 7 shale reservoir but also provide a theoretical basis and technical support for optimizing fracturing fluid systems and achieving differential production increases. Full article
(This article belongs to the Section H: Geo-Energy)
Show Figures

Graphical abstract

11 pages, 1808 KB  
Article
Ultrasound-Assisted Extraction Optimization and Flash Chromatography Fractionation of Punicalagin from Pomegranate Peel (Punica granatum L.)
by Erick M. Raya-Morquecho, Pedro Aguilar-Zarate, Leonardo Sepúlveda, Mariela R. Michel, Anna Iliná, Cristóbal N. Aguilar and Juan A. Ascacio-Valdés
Separations 2025, 12(10), 279; https://doi.org/10.3390/separations12100279 - 11 Oct 2025
Viewed by 724
Abstract
Background: Pomegranate peel (Punica granatum L.) is a rich source of phenols, particularly ellagitannins, highlighting punicalagin, a bioactive compound with recognized antioxidant potential. However, efficient recovery and purification methods are required to enable its application in food and health-related products. This study [...] Read more.
Background: Pomegranate peel (Punica granatum L.) is a rich source of phenols, particularly ellagitannins, highlighting punicalagin, a bioactive compound with recognized antioxidant potential. However, efficient recovery and purification methods are required to enable its application in food and health-related products. This study aimed to obtain a partially purified fraction of punicalagin from pomegranate peel using optimized extraction and purification strategies. Methods: A Taguchi L9 (3)3 experimental design was employed to optimize ultrasound-assisted extraction, evaluating extraction time (10, 20, 30 min), ethanol concentration (20, 40, 80%), and solid-to-solvent ratio (1:12, 1:14, 1:16). Total polyphenol content was quantified using the Folin–Ciocalteu method. Extracts obtained under optimized conditions were concentrated by rotary evaporation and subjected to semipurification using flash chromatography with Amberlite XAD-16 resin. Subsequently, the fractions were lyophilized and analyzed by HPLC/ESI/MS. Results: The Statistica software determined the optimal conditions for polyphenol extraction (20 min, 40% ethanol, 1:12), with the signal-to-noise (S/N) ratio reaching 88.43 ± 0.66, surpassing the predicted value of 77.42. Flash chromatography yielded four fractions, and HPLC/ESI/MS analysis revealed the presence of ellagitannins in all of them, with fraction number 2 showing the highest relative abundance of punicalagin (89.25%). Conclusions: The combination of ultrasound-assisted extraction and flash chromatography proved effective for obtaining punicalagin-rich fractions from pomegranate peel, supporting its potential for nutraceutical applications. Full article
Show Figures

Figure 1

Back to TopTop