Biochar Application Enhances Soil Carbon Sequestration in the North China Plain by Improving Soil Properties and Reshaping Microbial Community Structure
Abstract
1. Introduction
2. Materials and Methods
2.1. Experimental Site
2.2. Experimental Design
2.3. Sample Collection
2.4. Parameters and Measurements
2.4.1. Soil Physicochemical Properties
2.4.2. Soil Enzyme Activities
2.4.3. Soil Microbial Community Compositions
2.5. Statistical Analysis
3. Results
3.1. Response of Soil Physicochemical Properties to Biochar Application
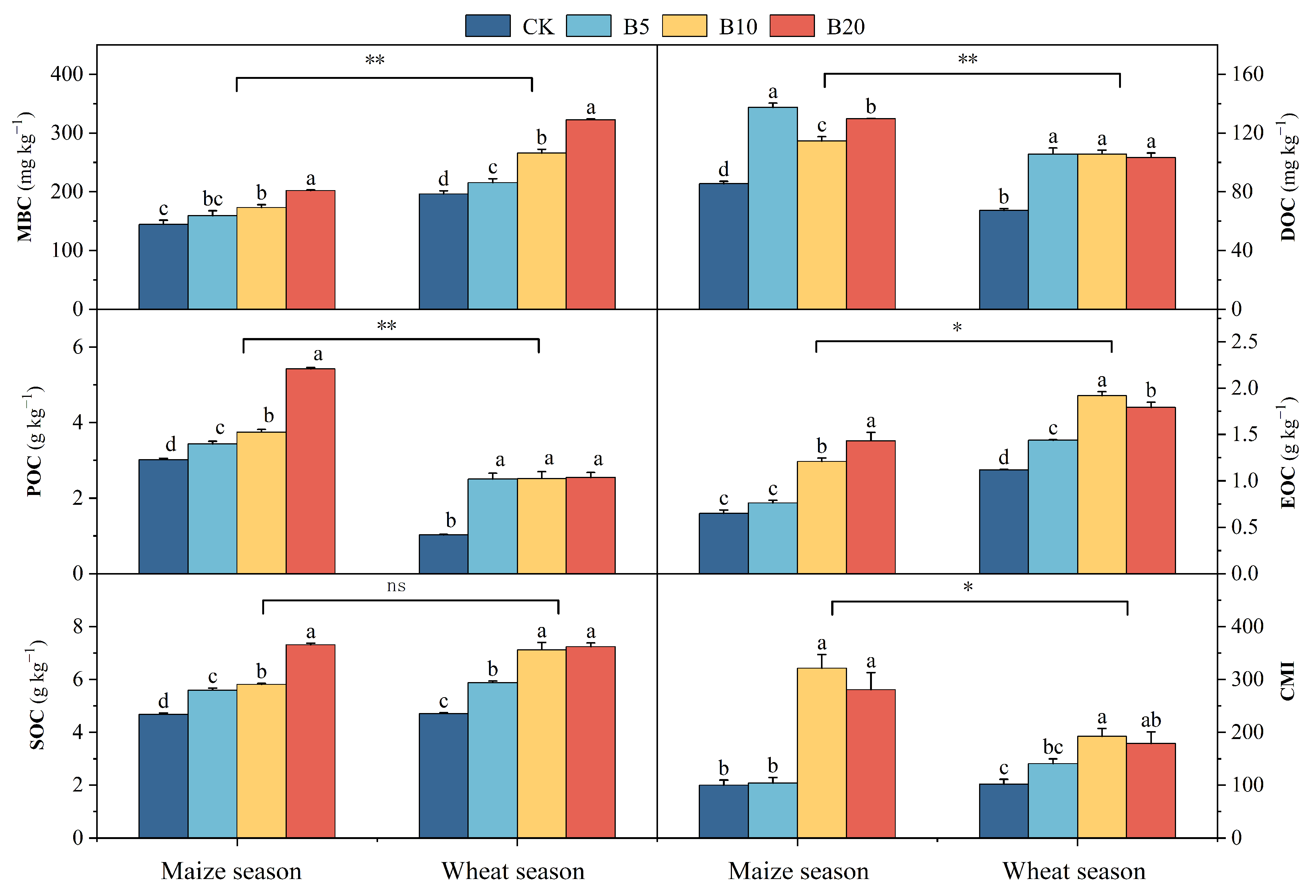
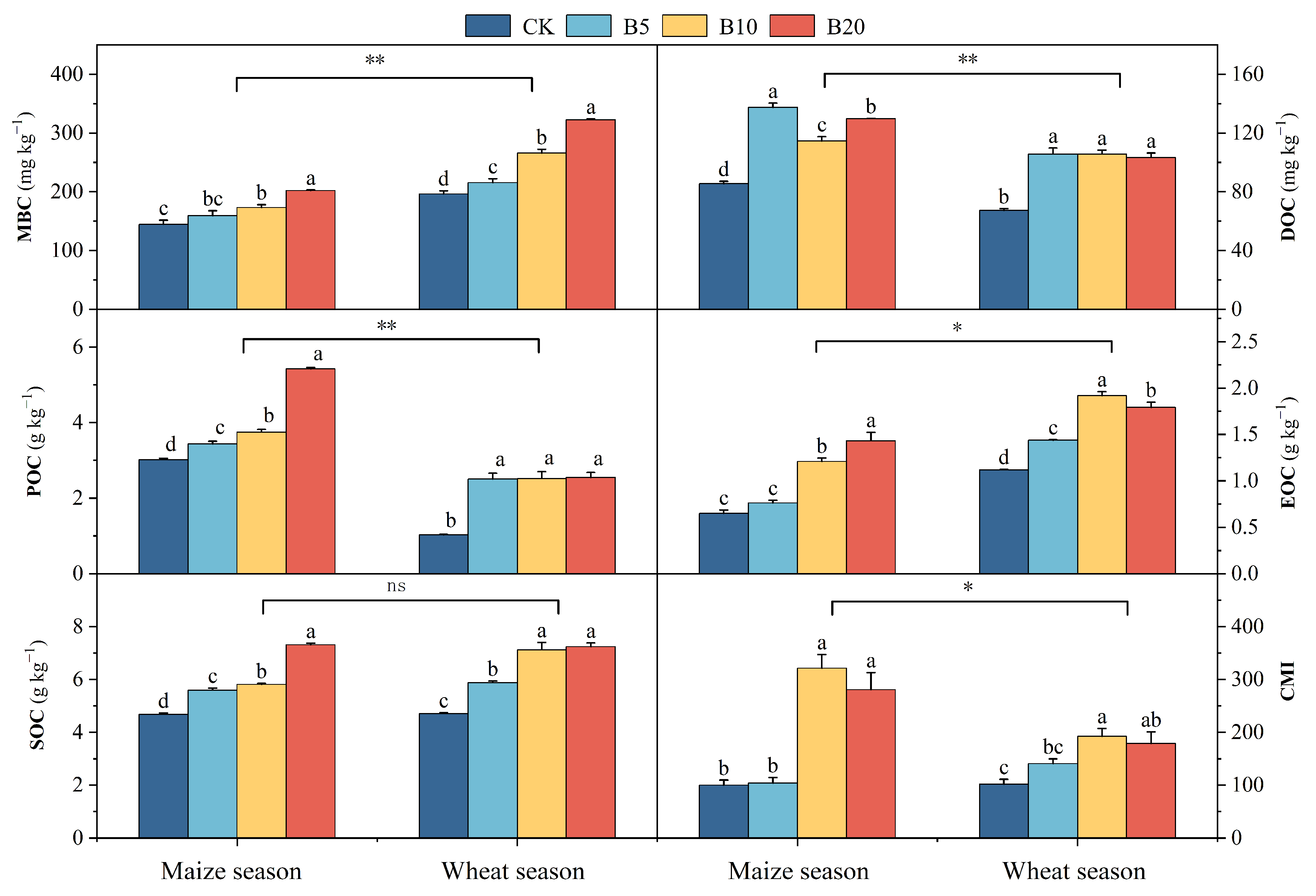
3.2. Response of Soil Carbon Fractions to Biochar Application
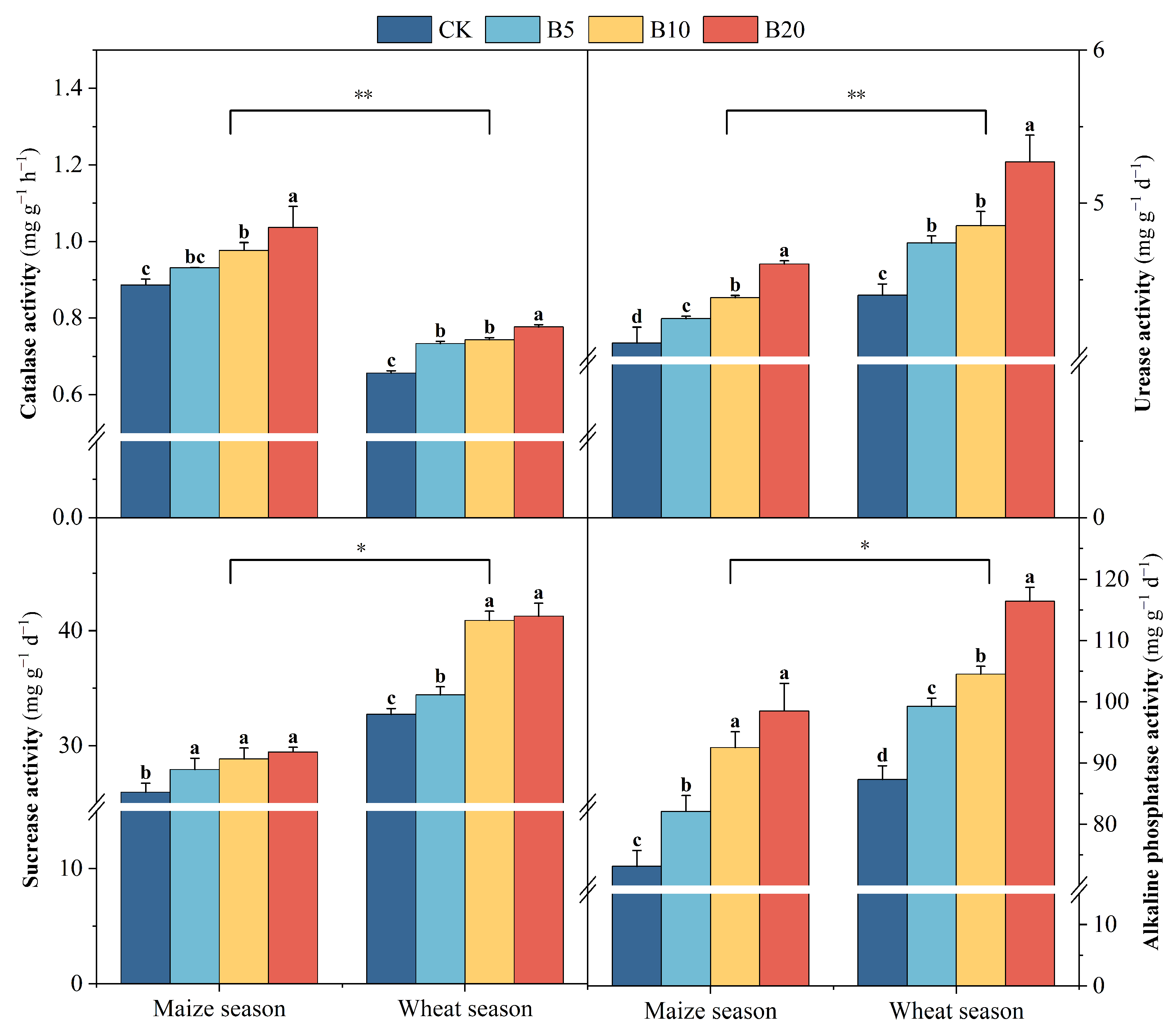
3.3. Response of Soil Enzyme Activities and Microbial Community Structure to Biochar Application
3.4. Interaction Mechanisms Among Soil Carbon Fractions, Microbial Communities, Enzyme Activities, and Soil Properties Under Biochar Application
4. Discussion
4.1. Responses of Soil Carbon Fractions and Physicochemical Properties to Biochar Application
4.2. Alteration of Biological Properties Reshapes Soil Carbon Fractions
5. Conclusions
Author Contributions
Funding
Data Availability Statement
Conflicts of Interest
Correction Statement
References
- Kopittke, P.M.; Berhe, A.A.; Carrillo, Y.; Cavagnaro, T.R.; Chen, D.; Chen, Q.L.; Dobarco, M.R.; Dijkstra, F.A.; Field, D.J.; Grundy, M.J.; et al. Ensuring planetary survival: The centrality of organic carbon in balancing the multifunctional nature of soils. Crit. Rev. Environ. Sci. Technol. 2022, 52, 4308–4324. [Google Scholar] [CrossRef]
- Bai, Z.; Zhang, D.; Wang, Z.; Harrison, M.T.; Liu, K.; Song, Z.; Chen, F.; Yin, X. Challenges and strategies in estimating soil organic carbon for multi-cropping systems: A review. Carbon Footpr. 2024, 3, 19. [Google Scholar] [CrossRef]
- Zhou, Z.; Ren, C.; Wang, C.; Delgado-Baquerizo, M.; Luo, Y.; Luo, Z.; Du, Z.; Zhu, B.; Yang, Y.; Jiao, S.; et al. Global turnover of soil mineral-associated and particulate organic carbon. Nat. Commun. 2024, 15, 5329. [Google Scholar] [CrossRef]
- He, J.; Liu, X.; Meng, W.; Chen, X. Recent advances in studies of soil organic carbon stability in Karst areas. Front. For. Glob. Change 2024, 7, 1453615. [Google Scholar] [CrossRef]
- Hu, Q.; Thomas, B.W.; Powlson, D.; Hu, Y.; Zhang, Y.; Jun, X.; Shi, X.; Zhang, Y. Soil organic carbon fractions in response to soil, environmental and agronomic factors under cover cropping systems: A global meta-analysis. Agric. Ecosyst. Environ. 2023, 355, 108591. [Google Scholar] [CrossRef]
- You, Y.; Wang, J.; Huang, X.; Tang, Z.; Liu, S.; Sun, O.J. Relating microbial community structure to functioning in forest soil organic carbon transformation and turnover. Ecol. Evol. 2014, 4, 633–647. [Google Scholar] [CrossRef]
- Plaza-Bonilla, D.; Álvaro-Fuentes, J.; Cantero-Martínez, C. Identifying soil organic carbon fractions sensitive to agricultural management practices. Soil Tillage Res. 2014, 139, 19–22. [Google Scholar] [CrossRef]
- Song, J.; Wang, J.; Hou, Q.; Xing, Z.; Zhang, Z.; Du, S.; Liu, M. Short-term effects of irrigation and nitrogen management on paddy soil carbon pools under deep placement of basal fertilizer nitrogen. Sci. Rep. 2024, 14, 11329. [Google Scholar] [CrossRef] [PubMed]
- Li, L.; Yang, J.; Yu, Y.; Shakoor, A.; Virk, A.L.; Li, F.M.; Yang, H.; Kan, Z.R. Crop straw converted to biochar increases soil organic carbon but reduces available carbon. Eur. J. Agron. 2025, 164, 127499. [Google Scholar] [CrossRef]
- do Nascimento, Í.V.; Fregolente, L.G.; de Araújo Pereira, A.P.; do Nascimento, C.D.V.; Mota, J.C.A.; Ferreira, O.P.; Sousa, H.H.d.F.; da Silva, D.G.G.; Simões, L.R.; Filho, A.S.; et al. Biochar as a carbonaceous material to enhance soil quality in drylands ecosystems: A review. Environ. Res. 2023, 233, 116489. [Google Scholar] [CrossRef]
- Hu, W.; Zhang, Y.; Rong, X.; Zhou, X.; Fei, J.; Peng, J.; Luo, G. Biochar and organic fertilizer applications enhance soil functional microbial abundance and agroecosystem multifunctionality. Biochar 2024, 6, 3. [Google Scholar] [CrossRef]
- Jiang, Z.; Yang, S.; Pang, Q.; Abdalla, M.; Qi, S.; Hu, J.; Qiu, H.; Smith, P. Optimizing biochar application rate and predicting of climate change impacts on net greenhouse gas emissions in paddy systems using DNDC-BC model. Agric. For. Meteorol. 2025, 364, 110461. [Google Scholar] [CrossRef]
- Ruan, R.; Zhang, P.; Lambers, H.; Xie, W.; Zhang, Z.; Xie, S.; Wang, Y.; Wang, Y. Biochar application improves maize yield on the Loess Plateau of China by changing soil pore structure and enhancing root growth. Sci. Total Environ. 2024, 956, 177379. [Google Scholar] [CrossRef]
- Chagas, J.K.M.; de Figueiredo, C.C.; Ramos, M.L.G. Biochar increases soil carbon pools: Evidence from a global meta-analysis. J. Environ. Manag. 2022, 305, 114403. [Google Scholar] [CrossRef]
- Sun, Y.; Zhang, W.; Xiu, L.; Gu, W.; Wu, D.; Tang, L.; Chen, W. Long-term fertilization regimes modulate dissolved organic matter molecular chemodiversity and greenhouse gas emissions in paddy soil. Biochar 2025, 7, 43. [Google Scholar] [CrossRef]
- Li, Q.; Zhang, J.; Ye, J.; Liu, Y.; Lin, Y.; Yi, Z.; Wang, Y. Biochar affects organic carbon composition and stability in highly acidic tea plantation soil. J. Environ. Manag. 2024, 370, 122803. [Google Scholar] [CrossRef]
- Palansooriya, K.N.; Wong, J.T.F.; Hashimoto, Y.; Huang, L.; Rinklebe, J.; Chang, S.X.; Bolan, N.; Wang, H.; Ok, Y.S. Response of microbial communities to biochar-amended soils: A critical review. Biochar 2019, 1, 3–22. [Google Scholar] [CrossRef]
- Beillouin, D.; Corbeels, M.; Demenois, J.; Berre, D.; Boyer, A.; Fallot, A.; Feder, F.; Cardinael, R. A global meta-analysis of soil organic carbon in the Anthropocene. Nat. Commun. 2023, 14, 3700. [Google Scholar] [CrossRef] [PubMed]
- Edeh, I.G.; Mašek, O.; Buss, W. A meta-analysis on biochar’s effects on soil water properties–New insights and future research challenges. Sci. Total Environ. 2020, 714, 136857. [Google Scholar] [CrossRef]
- Yuan, Y.; Liang, Y.; Cai, H.; Yuan, J.; Li, C.; Liu, H.; Zhang, C.; Wang, L.; Zhang, J. Soil organic carbon accumulation mechanisms in soil amended with straw and biochar: Entombing effect or biochemical protection? Biochar 2025, 7, 33. [Google Scholar] [CrossRef]
- Li, B.; Guo, Y.; Liang, F.; Liu, W.; Wang, Y.; Cao, W.; Song, H.; Chen, J.; Guo, J. Global integrative meta-analysis of the responses in soil organic carbon stock to biochar amendment. J. Environ. Manag. 2024, 351, 119745. [Google Scholar] [CrossRef]
- Zhang, N.; Ye, X.; Gao, Y.; Liu, G.; Liu, Z.; Zhang, Q.; Liu, E.; Sun, S.; Ren, X.; Jia, Z.; et al. Environment and agricultural practices regulate enhanced biochar-induced soil carbon pools and crop yield: A meta-analysis. Sci. Total Environ. 2023, 905, 167290. [Google Scholar] [CrossRef]
- Xu, H.; Cai, A.; Wu, D.; Liang, G.; Xiao, J.; Xu, M.; Colinet, G.; Zhang, W. Effects of biochar application on crop productivity, soil carbon sequestration, and global warming potential controlled by biochar C: N ratio and soil pH: A global meta-analysis. Soil Tillage Res. 2021, 213, 105125. [Google Scholar] [CrossRef]
- Frimpong, K.A.; Owusu, S.; Darko, R.O.; Hanyabui, E.; Abbey, A.N.A.; Tetteh, D.A. Effect of biochar application rates on soil properties and growth of Amaranthus caudatus. Discov. Agric. 2025, 3, 21. [Google Scholar] [CrossRef]
- Foster, E.J.; Fogle, E.J.; Cotrufo, M.F. Sorption to biochar impacts β-glucosidase and phosphatase enzyme activities. Agriculture 2018, 8, 158. [Google Scholar] [CrossRef]
- Buss, W.; Hilber, I.; Graham, M.C.; Mašek, O. Composition of PAHs in biochar and implications for biochar production. ACS Sustain. Chem. Eng. 2022, 10, 6755–6765. [Google Scholar] [CrossRef]
- Holatko, J.; Kucerik, J.; Mustafa, A.; Lonova, K.; Siddiqui, M.H.; Naveed, M.; Hammerschmiedt, T.; Kintl, A.; Malicek, O.; Chorazy, T.; et al. Influence of biochar feedstock blends on soil enzyme activity, nutrient cycling, lettuce biomass accumulation and photosynthesis. BMC Plant Biol. 2025, 25, 323. [Google Scholar] [CrossRef]
- He, Y.; Zhou, X.; Jiang, L.; Li, M.; Du, Z.; Zhou, G.; Shao, J.; Wang, X.; Xu, Z.; Bai, S.; et al. Effects of biochar application on soil greenhouse gas fluxes: A meta-analysis. Gcb Bioenergy 2017, 9, 743–755. [Google Scholar] [CrossRef]
- Xu, J.; Li, J.; Zhao, X.; Liu, Z.; Xu, H.; Cao, K.; Ye, L. Impact of Reduced Chemical Fertilizer and Organic Amendments on Yield, Nitrogen Use Efficiency, and Soil Microbial Dynamics in Chinese Flowering Cabbage. Horticulturae 2025, 11, 859. [Google Scholar] [CrossRef]
- Zhang, H.; Wang, S.; Tang, Z.; Yang, Q. Impact of Reducing Nitrogen Fertilizer with Biochar on Flavor Substance and Nitrogen Balance in Different Swollen-Stem-Mustard Varieties. Agronomy 2024, 14, 1254. [Google Scholar] [CrossRef]
- Nong, T.; Yang, X.; Pan, R.; Zhao, Y.; Liu, X.; Wang, J.; Yin, Z.; Yan, B.; Xia, L.; An, S.; et al. Spartina alterniflora invasion exacerbates soil microbial carbon and phosphorus co-limitations and alters microbial carbon and nitrogen use efficiency in the coastal wetlands of eastern China. Ecol. Process. 2025, 14, 72. [Google Scholar] [CrossRef]
- Huang, J.; Zhu, C.; Kong, Y.; Cao, X.; Zhu, L.; Zhang, Y.; Ning, Y.; Tian, W.; Zhang, H.; Yu, Y.; et al. Biochar application alleviated rice salt stress via modifying soil properties and regulating soil bacterial abundance and community structure. Agronomy 2022, 12, 409. [Google Scholar] [CrossRef]
- Chen, Y.; Tian, X.; Wang, J.H.; Zhang, Y.; Wang, J.; Li, Z.T.; Zhao, K.L.; Wu, J.Z. Silicon-iron modified biochar remediates cadmium and arsenic co-contaminated paddy soil by regulating cadmium and arsenic speciation. Front. Microbiol. 2025, 16, 1579213. [Google Scholar] [CrossRef] [PubMed]
- Li, S.; Peng, Y.; Li, M.; Li, X.; Li, H.; Dabu, X.; Yang, Y. Different active exogenous carbons improve the yield and quality of roses by shaping different bacterial communities. Front. Microbiol. 2025, 16, 1558322. [Google Scholar] [CrossRef]
- Li, W.; Guo, Z.; Li, J.; Han, J. Response of the characteristics of organic carbon mineralization of soft rock and soil composed of sand to soil depth. PeerJ 2021, 9, e11572. [Google Scholar] [CrossRef] [PubMed]
- Luo, Y.; Li, Q.; Wang, C.; Li, B.; Stomph, T.J.; Yang, J.; Tao, Q.; Yuan, S.; Tang, X.; Ge, J.; et al. Negative effects of urbanization on agricultural soil easily oxidizable organic carbon down the profile of the Chengdu Plain, China. Land Degrad. Dev. 2020, 31, 404–416. [Google Scholar] [CrossRef]
- Vance, E.D.; Brookes, P.C.; Jenkinson, D.S. An extraction method for measuring soil microbial biomass C. Soil Biol. Biochem. 1987, 19, 703–707. [Google Scholar] [CrossRef]
- Xiang, Q.; Ma, T.; Wang, X.; Yang, Q.; Lv, L.; Wang, R.; Li, J.; Ma, J. Effects of Different Living Grass Mulching on Soil Carbon and Nitrogen in an Apple Orchard on Loess Plateau. Agronomy 2024, 14, 1917. [Google Scholar] [CrossRef]
- Mao, X.; Sun, T.; Zhu, L.; Wanek, W.; Cheng, Q.; Wang, X.; Zhou, J.; Liu, X.; Ma, Q.; Wu, L.; et al. Microbial adaption to stoichi-ometric imbalances regulated the size of soil mineral-associated organic carbon pool under continuous organic amendments. Geoderma 2024, 445, 116883. [Google Scholar] [CrossRef]
- Lu, H.; Xu, C.; Zhang, J.; Du, C.; Wu, G.; Luo, L. The characteristics of alkaline phosphatase activity and phoD gene community in heavy-metal contaminated soil remediated by biochar and compost. Bull. Environ. Contam. Toxicol. 2022, 109, 298–303. [Google Scholar] [CrossRef]
- Yao, Q. Effects of Biochar Application on Soil Organic Carbon Components and Nutrients in Farmland of the North China Plain; Hebei Agricultural University: Baoding, China, 2021. [Google Scholar] [CrossRef]
- Zhang, Q.Z.; Dijkstra, F.A.; Liu, X.R.; Wang, Y.D.; Huang, J.; Lu, N. Effects of biochar on soil microbial biomass after four years of consecutive application in the north China plain. PLoS ONE 2014, 9, e102062. [Google Scholar] [CrossRef]
- Ali, A.; Jabeen, N.; Chachar, Z.; Chachar, S.; Ahmed, S.; Ahmed, N.; Laghari, A.A.; Sahito, Z.A.; Farruhbek, R.; Yang, Z. The role of biochar in enhancing soil health & interactions with rhizosphere properties and enzyme activities in organic fertilizer substit-ution. Front. Plant Sci. 2025, 16, 1595208. [Google Scholar] [CrossRef]
- Flemming, H.C.; Wingender, J. The biofilm matrix. Nat. Rev. Microbiol. 2010, 8, 623–633. [Google Scholar] [CrossRef] [PubMed]
- Pei, J.; Liang, Y.; Xue, L.; Zamanian, K.; Sun, S.; Li, W.; Zhang, S.; Zhao, X. Five years of biochar amendment combined with reduced fertilization and irrigation improved the soil organic carbon composition and structure in a solonchak. Sci. Rep. 2025, 15, 21823. [Google Scholar] [CrossRef]
- Pietikäinen, J.; Kiikkilä, O.; Fritze, H. Charcoal as a habitat for microbes and its effect on the microbial community of the underlying humus. Oikos 2000, 89, 231–242. [Google Scholar] [CrossRef]
- Cao, X.; Harris, W. Properties of dairy-manure-derived biochar pertinent to its potential use in remediation. Bioresour. Technol. 2010, 101, 5222–5228. [Google Scholar] [CrossRef]
- Römkens, P.F.; Bril, J.; Salomons, W. Interaction between Ca2+ and dissolved organic carbon: Implications for metal mobilization. Appl. Geochem. 1996, 11, 109–115. [Google Scholar] [CrossRef]
- Qiu, H.; Hu, Z.; Liu, J.; Zhang, H.; Shen, W. Effect of biochar on labile organic carbon fractions and soil carbon pool management index. Agronomy 2023, 13, 1385. [Google Scholar] [CrossRef]
- Qi, Y.; Liu, H.; Wang, J.; Wang, Y. Effects of different straw biochar combined with microbial inoculants on soil environment in pot experiment. Sci. Rep. 2021, 11, 14685. [Google Scholar] [CrossRef]
- Meng, J.; Li, W.; Qiu, Y.; Li, Z.; Li, L.; Luo, Y.; Guo, H.; Yu, Y.; Shan, S.; Chen, H. Responses of soil microbial communities to manure and biochar in wheat cultivation of a rice-wheat rotation agroecosystem in East China. Pedosphere 2023, 33, 893–904. [Google Scholar] [CrossRef]
- Kolton, M.; Graber, E.R.; Tsehansky, L.; Elad, Y.; Cytryn, E. Biochar-stimulated plant performance is strongly linked to microbial diversity and metabolic potential in the rhizosphere. New Phytol. 2017, 213, 1393–1404. [Google Scholar] [CrossRef]
- Liang, C.; Schimel, J.P.; Jastrow, J.D. The importance of anabolism in microbial control over soil carbon storage. Nat. Microbiol. 2017, 2, 17105. [Google Scholar] [CrossRef] [PubMed]
- Huang, S.; Shan, M.; Chen, J.; Penttinen, P.; Qin, H. Contrasting dynamics of polychlorinated biphenyl dissipation and fungal community composition in low and high organic carbon soils with biochar amendment. Environ. Sci. Pollut. Res. 2018, 25, 33432–33442. [Google Scholar] [CrossRef]
- Wang, G.; Ma, Y.; Chenia, H.Y.; Govinden, R.; Luo, J.; Ren, G. Biochar-mediated control of phytophthora blight of pepper is closely related to the improvement of the rhizosphere fungal community. Front. Microbiol. 2020, 11, 1427. [Google Scholar] [CrossRef] [PubMed]
- Caldara, M.; Gullì, M.; Graziano, S.; Riboni, N.; Maestri, E.; Mattarozzi, M.; Bianchi, F.; Careri, M.; Marmiroli, N. Microbial consortia and biochar as sustainable biofertilisers: Analysis of their impact on wheat growth and production. Sci. Total Environ. 2024, 917, 170168. [Google Scholar] [CrossRef]
- Yan, Q.; Tian, H.; Huang, Y.; Mu, X.; Tang, G.; Ma, H.; Megharaj, M.; Xu, W.; He, W. Recycled wheat straw biochar enhances nutrient-poor soil: Enzymatic kinetics of carbon, nitrogen, and phosphorus cycling. J. Environ. Manag. 2025, 380, 124950. [Google Scholar] [CrossRef]
- Zhang, Y.; Ma, W.; Sun, X.; Jiang, J.; Li, D.; Tang, G.; Xu, W.; Jia, H. Biochar aged for five years altered Carbon fractions and enzyme activities of Sandy Soil. Land 2023, 12, 1645. [Google Scholar] [CrossRef]
- Yan, H.K.; Zhang, C.C.; Nai, G.J.; Ma, L.; Lai, Y.; Pu, Z.H.; Ma, S.Y.; Li, S. Microbial inoculant GB03 increased the yield and quality of grape fruit under salt-alkali stress by changing rhizosphere microbial communities. Foods 2025, 14, 711. [Google Scholar] [CrossRef]
- Cui, Y.; Ning, Z.; Li, M.; Qin, X.; Yue, X.; Chen, X.; Zhu, C.; Sun, H.; Huang, Y. Microbial network-driven remediation of saline-alkali soils by salt-tolerant plants. Front. Microbiol. 2025, 16, 1565399. [Google Scholar] [CrossRef]
- Wojewódzki, P.; Lemanowicz, J.; Debska, B.; Haddad, S.A.; Tobiasova, E. The application of biochar from waste biomass to improve soil fertility and soil enzyme activity and increase carbon sequestration. Energies 2022, 16, 380. [Google Scholar] [CrossRef]
- Zheng, H.; Liu, Y.; Zhang, J.; Chen, Y.; Yang, L.; Li, H.; Wang, L. Factors influencing soil enzyme activity in China’s forest ecosystems. Plant Ecol. 2018, 219, 31–44. [Google Scholar] [CrossRef]





| pH | BD (g cm−3) | NH4+-N (mg kg−1) | AP (mg kg−1) | AK (mg kg−1) | NO3−-N (mgkg−1) | SOM (g kg−1) | DOC (mg kg−1) | MBC (mg kg−1) |
|---|---|---|---|---|---|---|---|---|
| 8.09 | 1.50 | 4.10 | 30.17 | 189.98 | 7.89 | 15.80 | 44.79 | 15.80 |
| Variety | Treatment | pH | BD | NH4+-N | NO3−-N | AP | AK | TN |
|---|---|---|---|---|---|---|---|---|
| (g cm−3) | (mg kg−1) | (mg kg−1) | (mg kg−1) | (mg kg−1) | (g kg−1) | |||
| Maize season | CK | 7.71 ± 0.12 c | 1.36 ± 0.01 a | 2.29 ± 0.21 c | 9.54 ± 0.72 a | 27.19 ± 1.29 ab | 149.99 ± 3.34 ab | 0.90 ± 0.06 c |
| B5 | 7.92 ± 0.13 b | 1.38 ± 0.03 a | 3.37 ± 0.19 a | 9.48 ± 0.10 a | 27.50 ± 0.94 a | 157.43 ± 2.83 a | 1.04 ± 0.11 b | |
| B10 | 8.19 ± 0.26 a | 1.42 ± 0.03 a | 2.69 ± 0.22 b | 8.13 ± 0.07 b | 25.34 ± 0.46 b | 139.25 ± 2.94 c | 1.07 ± 0.04 b | |
| B20 | 8.25 ± 0.17 a | 1.36 ± 0.04 a | 2.24 ± 0.06 c | 6.06 ± 0.39 c | 26.52 ± 0.86 ab | 146.60 ± 6.40 bc | 1.22 ± 0.02 a | |
| Wheat season | CK | 7.79 ± 0.01 a | 1.32 ± 0.02 a | 2.26 ± 0.11 c | 14.39 ± 0.19 b | 32.81 ± 0.27 b | 241.77 ± 7.33 a | 1.16 ± 0.03 c |
| B5 | 7.8 ± 0.08 a | 1.35 ± 0.01 a | 3.49 ± 0.12 a | 15.47 ± 0.40 a | 42.20 ± 3.53 a | 215.40 ± 4.98 b | 1.31 ± 0.03 bc | |
| B10 | 7.81 ± 0.02 a | 1.36 ± 0.03 a | 3.53 ± 0.11 a | 14.58 ± 0.17 b | 38.59 ± 0.72 a | 198.60 ± 6.59 c | 1.40 ± 0.12 b | |
| B20 | 7.84 ± 0.04 a | 1.32 ± 0.01 a | 3.20 ± 0.07 b | 12.07 ± 0.39 c | 39.62 ± 2.68 a | 206.87 ± 8.58 bc | 1.58 ± 0.08 a |
Disclaimer/Publisher’s Note: The statements, opinions and data contained in all publications are solely those of the individual author(s) and contributor(s) and not of MDPI and/or the editor(s). MDPI and/or the editor(s) disclaim responsibility for any injury to people or property resulting from any ideas, methods, instructions or products referred to in the content. |
© 2025 by the authors. Licensee MDPI, Basel, Switzerland. This article is an open access article distributed under the terms and conditions of the Creative Commons Attribution (CC BY) license (https://creativecommons.org/licenses/by/4.0/).
Share and Cite
Wang, Y.; Zhang, M.; Sun, A.; Fu, X.; Peng, Z.; Xu, H.; Xue, C. Biochar Application Enhances Soil Carbon Sequestration in the North China Plain by Improving Soil Properties and Reshaping Microbial Community Structure. Agronomy 2025, 15, 2539. https://doi.org/10.3390/agronomy15112539
Wang Y, Zhang M, Sun A, Fu X, Peng Z, Xu H, Xue C. Biochar Application Enhances Soil Carbon Sequestration in the North China Plain by Improving Soil Properties and Reshaping Microbial Community Structure. Agronomy. 2025; 15(11):2539. https://doi.org/10.3390/agronomy15112539
Chicago/Turabian StyleWang, Yang, Mengping Zhang, Ao Sun, Xin Fu, Zhengping Peng, Huasen Xu, and Cheng Xue. 2025. "Biochar Application Enhances Soil Carbon Sequestration in the North China Plain by Improving Soil Properties and Reshaping Microbial Community Structure" Agronomy 15, no. 11: 2539. https://doi.org/10.3390/agronomy15112539
APA StyleWang, Y., Zhang, M., Sun, A., Fu, X., Peng, Z., Xu, H., & Xue, C. (2025). Biochar Application Enhances Soil Carbon Sequestration in the North China Plain by Improving Soil Properties and Reshaping Microbial Community Structure. Agronomy, 15(11), 2539. https://doi.org/10.3390/agronomy15112539

