Sign in to use this feature.

Years

Between: -

Subjects

remove_circle_outline
remove_circle_outline
remove_circle_outline
remove_circle_outline
remove_circle_outline
remove_circle_outline
remove_circle_outline
remove_circle_outline
remove_circle_outline

Journals

remove_circle_outline
remove_circle_outline
remove_circle_outline
remove_circle_outline
remove_circle_outline
remove_circle_outline
remove_circle_outline
remove_circle_outline
remove_circle_outline
remove_circle_outline
remove_circle_outline

Article Types

Countries / Regions

remove_circle_outline
remove_circle_outline
remove_circle_outline
remove_circle_outline
remove_circle_outline
remove_circle_outline
remove_circle_outline

Search Results (604)

Search Parameters:
Keywords = four-dimensional space

Order results
Result details
Results per page
Select all
Export citation of selected articles as:
12 pages, 1631 KB  
Article
Principal Component Analysis of Carcass Traits in Native Mexican Turkeys
by Francisco Antonio Cigarroa Vázquez, Jaime Bautista Ortega, Víctor Hugo González Torres, Said Cadena Villegas, Roberto de la Rosa Santamaría, Dany Alejandro Dzib Cauich and Rodrigo Portillo Salgado
Poultry 2026, 5(1), 2; https://doi.org/10.3390/poultry5010002 - 22 Dec 2025
Abstract
Male turkeys are raised mainly for meat production due to their high carcass yields and good capacity to convert food into meat. However, their carcass characteristics remain poorly understood. The objective of the study was to describe the carcass traits of 45 male [...] Read more.
Male turkeys are raised mainly for meat production due to their high carcass yields and good capacity to convert food into meat. However, their carcass characteristics remain poorly understood. The objective of the study was to describe the carcass traits of 45 male native Mexican turkeys raised in the municipality of Champoton, Mexico, using principal component analysis (PCA). Fourteen carcass traits, namely, slaughter weight (SW), hot carcass weight (HCW), cold carcass weight (CCW), dressing percentage (DP), neck weight (NEW), foot weight (FEW), breast weight (BRW), thigh weight (THW), drumstick weight (DRW), wing weight (WIW), back weight (BAW), gizzard weight (GIW), heart weight (HEW), and liver weight (LIW), were collected. Pearson’s correlation analysis revealed strong positive relationships among carcass variables, with the highest correlations observed between CCW and HCW (r = 0.99; p < 0.001), SW and HCW (r = 0.98; p < 0.001), and SW and CCW (r = 0.98; p < 0.001). Hierarchical clustering identified four main groups of variables with similar correlation patterns. Three principal components (PCs) with eigenvalues greater than 1.0 were extracted, explaining 85.48% of the total variance in carcass traits. The first principal component (PC1) contributed 72.81% of the total variation (eigenvalue = 10.19), with high loadings (>0.70) for CCW (0.98), HCW (0.98), SW (0.98), DRW (0.95), BRW (0.91), WIW (0.90), THW (0.89), HEW (0.87), BAW (0.81), and FEW (0.82), representing a general size factor. PC2 explained 6.86% of the variance (eigenvalue = 0.96), characterized by a negative loading for DP (−0.64) and positive loadings for GIW (0.35) and LIW (0.34). PC3 accounted for 5.81% of the variance (eigenvalue = 0.81), with a negative loading for LIW (−0.63) and positive loadings for NEW (0.51) and FEW (0.46). Communality values exceeded 0.85 for all variables, indicating adequate representation in the reduced dimensional space. It was concluded that PCA effectively reduced dimensionality while retaining 85.48% of original information and can be used for the improvement of the carcass traits of male native Mexican turkey breeding programs. Full article
Show Figures

Figure 1

21 pages, 2847 KB  
Article
Modeling and Solving Two-Sided Disassembly Line Balancing Problem Under Partial Disassembly of Parts
by Shuwei Wang, Huaizi Wang, Jia Liu, Guofeng Xu and Guoxun Xu
Symmetry 2026, 18(1), 4; https://doi.org/10.3390/sym18010004 - 19 Dec 2025
Viewed by 107
Abstract
In two-sided disassembly lines, stations are symmetrically arranged on both sides of the conveyor, which is suitable for large-sized waste products. During the disassembly process, evenly assigning parts to workstations while satisfying various constraints and optimizing some disassembly objectives is a challenging task. [...] Read more.
In two-sided disassembly lines, stations are symmetrically arranged on both sides of the conveyor, which is suitable for large-sized waste products. During the disassembly process, evenly assigning parts to workstations while satisfying various constraints and optimizing some disassembly objectives is a challenging task. Therefore, this study deals with a two-sided partial disassembly line balancing problem, and a multi-objective mathematical model for this problem is built. While satisfying various constraints, four objectives, namely, the hazard index, profit, smoothness index, and demand index, are optimized. Due to the NP-hard nature of the problem, an improved discrete whale optimization algorithm is proposed. According to the characteristics of the feasible solutions, an encoding method based on a one-dimensional integer array is designed, which can effectively decrease the memory space and simplify the design of neighbor structures. In the three stages of encircling prey, random wandering, and bubble-net attacking, based on the search features of each stage, different neighbor operators and search strategies are designed to enhance the local exploitation and global exploration capabilities. Finally, the performance of the proposed algorithm was tested against other algorithms for different types of instances and a disassembly case. The results show that the proposed algorithm can not only solve various types of disassembly line balancing problems but also shows superior performance. Full article
(This article belongs to the Section Mathematics)
Show Figures

Figure 1

19 pages, 3317 KB  
Article
Cementitious Composites Reinforced with Multidimensional Epoxy-Coated Sisal/PET Braided Textile
by Lais Kohan, Carlos Alexandre Fioroni, Adriano G. S. Azevedo, Ivis de Aguiar Souza, Tais O. G. Freitas, Daniel V. Oliveira, Julia Baruque-Ramos, Raul Fangueiro and Holmer Savastano Junior
Textiles 2025, 5(4), 70; https://doi.org/10.3390/textiles5040070 - 18 Dec 2025
Viewed by 107
Abstract
Textile-reinforced concrete (TRC) is an alternative class of mechanical reinforcement for cement composites. The biaxial braided reinforcement structure in composite materials with diverse cross-sectional shapes offers high adaptability, torsional stability, and resistance to damage. In general, 3D textile reinforcements improve the mechanical properties [...] Read more.
Textile-reinforced concrete (TRC) is an alternative class of mechanical reinforcement for cement composites. The biaxial braided reinforcement structure in composite materials with diverse cross-sectional shapes offers high adaptability, torsional stability, and resistance to damage. In general, 3D textile reinforcements improve the mechanical properties of composites compared to 2D reinforcements. This study aimed to verify reinforcement behavior by comparing multidimensional braided textiles, 2D (one- and two-layer) reinforcements, and 3D reinforcement in composite cementitious boards. Experimental tests were performed to evaluate the effect of textile structures on cementitious composites using four-point bending tests, porosity measurements, and crack patterns. All textiles showed sufficient space between yarns, allowing the matrix (a commercial formulation) to infiltrate and influence the composite mechanical properties. All composites presented ductility behavior. The two layers of 2D textile composites displayed thicker cracks, influenced by shear forces. Three-dimensional textiles exhibited superior values in four-point bending tests for modulus of rupture (7.4 ± 0.5 MPa) and specific energy (5.7 ± 0.3 kJ/m2). No delamination or debonding failure was observed in the boards after the bending tests. The 3D textile structure offers a larger contact area with the cementitious matrix and creates a continuous network, enabling more uniform force distribution in all directions. Full article
(This article belongs to the Special Issue Advances in Technical Textiles)
Show Figures

Figure 1

24 pages, 2223 KB  
Article
Assessing the Quality of Public Spaces in Traditional Villages in Chongqing, Southwest China
by Wei Wang, Yiping Chen, Yun Gao, Lili Dong, Jieying Zeng and Lingfei Zhou
Land 2025, 14(12), 2433; https://doi.org/10.3390/land14122433 - 16 Dec 2025
Viewed by 184
Abstract
In many traditional villages in China, substantial government investment has been directed toward reconstructing public spaces for tourism development. Yet, many of these newly built spaces remain underused, revealing a persistent mismatch between top–down planning and villagers’ everyday needs. To address this gap, [...] Read more.
In many traditional villages in China, substantial government investment has been directed toward reconstructing public spaces for tourism development. Yet, many of these newly built spaces remain underused, revealing a persistent mismatch between top–down planning and villagers’ everyday needs. To address this gap, this study employs a mixed-methods approach to evaluate the quality of rural public spaces. Drawing on a systematic review, a four-dimensional assessment model—encompassing environmental, social, cultural, and economic attributes—was developed and operationalized through 17 specific indicators. The model was applied to three traditional villages in Chongqing, Southwest China, using field observation, questionnaire surveys, confirmatory factor analysis, and semi-structured interviews. The findings show that while environmental and cultural qualities are generally appreciated, villagers’ overall evaluations are strongly shaped by livelihood considerations and the extent to which public spaces support everyday practices. In tourism-oriented villages, public spaces often function primarily as attractions rather than as sites of daily life, limiting their social usefulness despite significant investment. The results demonstrate that economic indicators, which are often overlooked in existing studies, are essential for assessing the quality of public space in traditional villages and for strengthening community engagement. These insights contribute to a more comprehensive understanding of rural public space and offer practical guidance for rural revitalization and community-based planning. Full article
Show Figures

Figure 1

18 pages, 582 KB  
Article
Construction of Space-Filling Asymmetrical Marginally Coupled Designs
by Weiping Zhou, Miaomiao Meng, Min Li and Xue Yang
Entropy 2025, 27(12), 1256; https://doi.org/10.3390/e27121256 - 13 Dec 2025
Viewed by 154
Abstract
Marginally coupled designs (MCDs) are very suitable for computer experiments with both qualitative and quantitative factors. An MCD consisting of two subdesigns—one for the qualitative factors and the other for the quantitative factors—is said to be symmetrical or asymmetrical when the qualitative factor [...] Read more.
Marginally coupled designs (MCDs) are very suitable for computer experiments with both qualitative and quantitative factors. An MCD consisting of two subdesigns—one for the qualitative factors and the other for the quantitative factors—is said to be symmetrical or asymmetrical when the qualitative factor subdesign is equal-level or mixed-level, respectively. Although symmetrical MCDs have been studied extensively recently, investigations of asymmetrical MCDs are still relatively scarce. In this paper, based on space-filling symmetrical MCDs or space-filling Latin hypercube designs (LHDs), we propose four approaches to constructing a series of space-filling asymmetrical MCDs. The obtained asymmetrical MCDs can inherit the low-dimensional space-filling properties of these symmetrical MCDs or these LHDs. Moreover, the resulting asymmetrical MCDs are flexible in terms of their run sizes. A numerical study is conducted to compare and evaluate the performance of the proposed designs in computer experiments. Full article
(This article belongs to the Special Issue Number Theoretic Methods in Statistics: Theory and Applications)
Show Figures

Figure 1

47 pages, 17387 KB  
Article
Numerical Evaluation and Assessment of Key Two-Phase Flow Parameters Using Four-Sensor Probes in Bubbly Flow
by Guillem Monrós-Andreu, Carlos Peña-Monferrer, Raúl Martínez-Cuenca, Salvador Torró and Sergio Chiva
Sensors 2025, 25(24), 7490; https://doi.org/10.3390/s25247490 - 9 Dec 2025
Viewed by 258
Abstract
Intrusive phase-detection probes remain a standard tool for local characterization of gas–liquid bubbly flows, but their accuracy is strongly affected by probe geometry and bubble–probe interaction kinematics. This work presents a Monte Carlo-based framework to evaluate four-sensor intrusive probes in bubbly flow, relaxing [...] Read more.
Intrusive phase-detection probes remain a standard tool for local characterization of gas–liquid bubbly flows, but their accuracy is strongly affected by probe geometry and bubble–probe interaction kinematics. This work presents a Monte Carlo-based framework to evaluate four-sensor intrusive probes in bubbly flow, relaxing the classical assumptions of spherical bubbles and purely axial trajectories. Bubbles are represented as spheres or ellipsoids, a broad range of non-dimensional probe geometries are explored, and local quantities such as interfacial area concentration, bubble and flux velocities, and chord lengths are recovered from synthetic four-sensor signals. The purpose of the framework is threefold: (i) it treats four-sensor probes in a unified way for interfacial area, velocity, and chord length estimation; (ii) it includes ellipsoidal bubbles and statistically distributed incidence angles; and (iii) it yields compact correction laws and design maps expressed in terms of the spacing-to-diameter ratio ap/D, the dimensionless probe radius rp/D, and the missing ratio mr (defined as the fraction of bubbles that cross the probe footprint without being detected), which can be applied to different intrusive four-sensor probes. The numerical results show that, within a recommended geometric range 0.5ap/D2 and rp/D0.25 and for missing ratios mr0.7, the axial velocity Vz estimates the bubble centroid velocity and its projection with typical errors within ±10%, while a chord length correction CLcorr(mr) recovers the underlying chord length distribution with a residual bias of only a few percent. The proposed interfacial area correction, written solely in terms of mr, remains accurate in polydisperse bubbly flows. Outside the recommended (ap/D,rp/D) range, large probe radius or extreme tip spacing lead to velocity and chord length errors that can exceed 20–30%. Overall, the framework provides quantitative guidelines for designing and using four-sensor intrusive probes in bubbly flows and for interpreting their measurements through geometry-aware correction factors. Full article
(This article belongs to the Section Intelligent Sensors)
Show Figures

Figure 1

20 pages, 5349 KB  
Article
Analysis of Microscopic Characteristics of Pepper Seedling Root Systems and Study on Transplanting Gripping Injury Based on Micro-CT
by Chao Zhang, Tengxiao Feng, Liming Zhou, Yidong Ma, Mingyong Li, Huankun Wang and Yizhou Wang
Agronomy 2025, 15(12), 2822; https://doi.org/10.3390/agronomy15122822 - 8 Dec 2025
Viewed by 149
Abstract
While the root architecture of potted crop seedlings directly determines subsequent crop productivity and adaptability, these root systems remain challenging to quantify using conventional methods due to their structural complexity. To investigate the microscopic characteristics of the root systems of pepper seedlings within [...] Read more.
While the root architecture of potted crop seedlings directly determines subsequent crop productivity and adaptability, these root systems remain challenging to quantify using conventional methods due to their structural complexity. To investigate the microscopic characteristics of the root systems of pepper seedlings within pots, Micro-CT was employed to scan the seedling pots. After three-dimensional (3D) reconstruction was conducted on the data acquired from the pot scans, the 3D model of the root system was segmented and extracted using the watershed algorithm. Vertically, the three-dimensional root model was divided from top to bottom into four equally spaced regions (a, b, c, and d), showing the volumetric distribution characteristics of pepper seedling roots within the pots. The results showed that region a had the largest average root volume proportion (29.72%), primarily due to the substantial volume contribution of the taproot. Region d followed with an average proportion of 27.26%, resulting from root coiling and entanglement at the pot bottom caused by the spatial constraints of the seedling tray. The middle regions of the pot, b and c, showed average root volume proportions of 23.14% and 19.89%, respectively. To further investigate the influence of root system characteristics on root injury during seedling gripping, the seedlings were categorized into three types based on their taproot growth positions. A gripping experiment was conducted on these three seedling types using spatula-equipped needles. The results showed that the greatest root injury (12.67%) was observed in Type 1 seedlings, which had taproots located closest to the needle insertion point. In contrast, the least injury (4.09%) was found in Type 3 seedlings, characterized by centrally positioned taproots. Type 2 seedlings, with their taproots growing on the side (laterally away from the insertion point), sustained intermediate injury (5.45%). This was because their lateral positioning led to an uneven distribution of mechanical stress during gripping compared with Type 3 seedlings. A validation experiment conducted on an automated seedling retrieval platform confirmed the root injury analysis. The experimental results showed maximum root injury in Type 1 seedlings (14.16%), followed by Type 2 (6.03%) and Type 3 (4.82%) seedlings, with a successful retrieval rate of 95.29%. These findings were consistent with the Micro-CT analysis. This study could provide a theoretical foundation for low-injury seedling gripping in fully automated seedling transplanters. Full article
Show Figures

Figure 1

26 pages, 7220 KB  
Article
Life-Cycle Assessment of Carbon Sink Efficiency in Urban Landscape Spatial Units: Evidence from Luhe Park, Nanjing
by Ning Zhang, Leijie Lang, Shi Cheng, Boqing Fan and Yuhao Fang
Forests 2025, 16(12), 1828; https://doi.org/10.3390/f16121828 - 6 Dec 2025
Viewed by 215
Abstract
Urban green spaces are pivotal to enhancing carbon sinks and advancing carbon neutrality goals, yet the structural complexity of green space units often leads to scale mismatches and weak spatial responsiveness in current assessments. This study develops an integrated evaluation framework that combines [...] Read more.
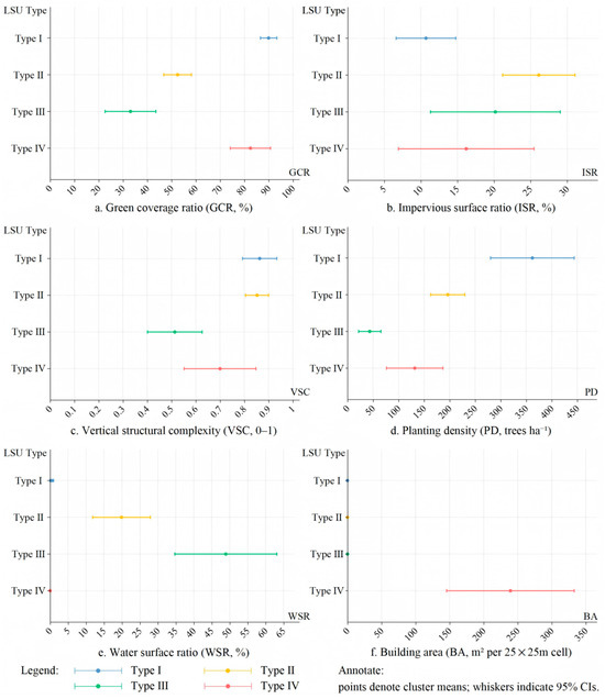
Urban green spaces are pivotal to enhancing carbon sinks and advancing carbon neutrality goals, yet the structural complexity of green space units often leads to scale mismatches and weak spatial responsiveness in current assessments. This study develops an integrated evaluation framework that combines landscape spatial unit typologies with life-cycle-based carbon flux modeling. We defined 22 landscape spatial unit types based on two-dimensional surface cover and three-dimensional vegetation structure, including waterbodies and vertical greening. A life-cycle carbon model was developed with indicators covering unit carbon sink, unit carbon emission, unit net carbon sink efficiency, and time to carbon balance. Taking Luhe Park in Nanjing as a case study, the carbon sink efficiency indicators were quantified for 108 units over a 50-year cycle. Results indicate that multilayer vegetation structures, high green coverage, and moderate-to-high planting density markedly enhance carbon sink efficiency, whereas extensive built surfaces and high impervious ratios suppress it. K-means clustering classified the spatial units into four types with emphasis on efficiency-driven, structural optimization, functional compatibility, and imbalance compensation, respectively, revealing a clear gradient tied to spatial configuration. To translate diagnosis into design, we report 95% confidence intervals of key structural factors as actionable thresholds. These ranges inform targeted interventions such as maintaining continuity and multilayer structure in high-efficiency areas, modest structural upgrades with native drought-tolerant plants, edge greening with permeable pavements in open spaces, and streamlined vertical systems linked to adjacent high-sink ground units. The framework delivers spatially explicit, life-cycle-aware evidence to support low-carbon planning and design of urban green spaces. Full article
Show Figures

Figure 1

24 pages, 3009 KB  
Article
SpaceTime: A Deep Similarity Defense Against Poisoning Attacks in Federated Learning
by Geethapriya Thamilarasu and Christian Dunham
Big Data Cogn. Comput. 2025, 9(12), 313; https://doi.org/10.3390/bdcc9120313 - 5 Dec 2025
Viewed by 297
Abstract
Federated learning has gained popularity in recent years to enhance IoT security because the model allows decentralized devices to collaboratively learn a shared model without exchanging raw data. Despite its privacy advantages, federated learning is vulnerable to poisoning attacks, where malicious devices introduce [...] Read more.
Federated learning has gained popularity in recent years to enhance IoT security because the model allows decentralized devices to collaboratively learn a shared model without exchanging raw data. Despite its privacy advantages, federated learning is vulnerable to poisoning attacks, where malicious devices introduce manipulated data or model updates to corrupt the global model. These attacks can degrade the model’s performance or bias its outcomes, making it difficult to ensure the integrity of the learning process across decentralized devices. In this research, our goal is to develop a defense mechanism against poisoning attacks in federated learning models. Specifically, we develop a spacetime model, that combines the three dimensions of space and the one dimension of time into a four-dimensional manifold. Poisoning attacks have complex spatial and time relationships that present identifiable patterns in that manifold. We propose SpaceTime-Deep Similarity Defense (ST-DSD), a deep learning recurrent neural network that includes space and time perceptions to provide a defense against poisoning attacks for federated learning models. The proposed mechanism is built upon a time series regression many-to-one architecture using spacetime relationships to provide an adversarial trained deep learning poisoning defense. Simulation results show that SpaceTime defense outperforms existing solutions for poisoning defenses in IoT environments. Full article
Show Figures

Figure 1

35 pages, 1130 KB  
Article
Five-Dimensional Euler Equations for Rotating Bodies
by Vladimir Kobelev
Appl. Mech. 2025, 6(4), 86; https://doi.org/10.3390/applmech6040086 - 4 Dec 2025
Viewed by 180
Abstract
This manuscript examines the rotational dynamics of rigid bodies in five-dimensional Euclidean space. This results in ten coupled nonlinear differential equations for angular velocities. Restricting rotations along certain axes reduces the 5D equations to sets of 4D Euler equations, which collapse to the [...] Read more.
This manuscript examines the rotational dynamics of rigid bodies in five-dimensional Euclidean space. This results in ten coupled nonlinear differential equations for angular velocities. Restricting rotations along certain axes reduces the 5D equations to sets of 4D Euler equations, which collapse to the classical 3D Euler equations. This demonstrates consistency with established mechanics. For bodies with equal principal moments of inertia (e.g., hyperspheres and Platonic solids), the rotation velocities remain constant over time. In cases with six equal and four distinct inertia moments, the solutions exhibit harmonic oscillations with frequencies determined by the initial conditions. Rotations are stable when the body spins around an axis with the largest or smallest principal moment of inertia, thus extending classical stability criteria into higher dimensions. This study defines a 5D angular momentum operator and derives commutation relations, thereby generalizing the familiar 3D and 4D cases. Additionally, it discusses the role of Pauli matrices in 5D and the implications for spin as an intrinsic property. While mathematically consistent, the hypothesis of a fifth spatial dimension is ultimately rejected since it contradicts experimental evidence. This work is valuable mainly as a theoretical framework for understanding spin and symmetry. This paper extends Euler’s equations to five dimensions (5D), demonstrates their reduction to four dimensions (4D) and three dimensions (3D), provides closed-form and oscillatory solutions under specific inertia conditions, analyzes stability, and explores quantum mechanical implications. Ultimately, it concludes that 5D space is not physically viable. Full article
Show Figures

Graphical abstract

26 pages, 6495 KB  
Article
Shaping Multi-Dimensional Traffic Features for Covert Communication in QUIC Streaming
by Dongfang Zhang, Dongxu Liu, Jianan Huang, Lei Guan and Xiaotian Yin
Mathematics 2025, 13(23), 3879; https://doi.org/10.3390/math13233879 - 3 Dec 2025
Viewed by 444
Abstract
Network covert channels embed secret data into legitimate traffic, but existing methods struggle to balance undetectability, robustness, and throughput. Application-independent channels at lower protocol layers are easily normalized or disrupted by network noise, while application-dependent streaming schemes rely on handcrafted traffic manipulations that [...] Read more.
Network covert channels embed secret data into legitimate traffic, but existing methods struggle to balance undetectability, robustness, and throughput. Application-independent channels at lower protocol layers are easily normalized or disrupted by network noise, while application-dependent streaming schemes rely on handcrafted traffic manipulations that fail to preserve the spatio-temporal dynamics of real encrypted flows and thus remain detectable by modern machine learning (ML)-based classifiers. Meanwhile, with the rapid adoption of HTTP/3, Quick UDP Internet Connections (QUIC) has become the dominant transport for streaming services, offering stable long-lived flows with rich spatio-temporal structure that create new opportunities for constructing resilient covert channels. In this paper, a QUIC streaming-based Covert Channel framework, QuicCC-SMD, is proposed that dynamically Shapes Multi-Dimensional traffic features to identify and exploit redundancy spaces for secret data embedding. QuicCC-SMD models the statistical and temporal dependencies of QUIC flows via Markov chain-based state representations and employs convex optimization to derive an optimal deformation matrix that maps source traffic to legitimate target distributions. Guided by this matrix, a packet-level modulation performs through packet padding, insertion, and delay operations under a periodic online optimization strategy. Evaluations on a real-world HTTP/3 over QUIC (HTTP/3-QUIC) dataset containing 18,000 samples across four video resolutions demonstrate that QuicCC-SMD achieves an average F1 score of 56% at a 1.5% embedding rate, improving detection resistance by at least 7% compared with three representative baselines. Full article
Show Figures

Figure 1

33 pages, 10355 KB  
Article
S2GL-MambaResNet: A Spatial–Spectral Global–Local Mamba Residual Network for Hyperspectral Image Classification
by Tao Chen, Hongming Ye, Guojie Li, Yaohan Peng, Jianming Ding, Huayue Chen, Xiangbing Zhou and Wu Deng
Remote Sens. 2025, 17(23), 3917; https://doi.org/10.3390/rs17233917 - 3 Dec 2025
Viewed by 486
Abstract
In hyperspectral image classification (HSIC), each pixel contains information across hundreds of contiguous spectral bands; therefore, the ability to perform long-distance modeling that stably captures and propagates these long-distance dependencies is critical. A selective structured state space model (SSM) named Mamba has shown [...] Read more.
In hyperspectral image classification (HSIC), each pixel contains information across hundreds of contiguous spectral bands; therefore, the ability to perform long-distance modeling that stably captures and propagates these long-distance dependencies is critical. A selective structured state space model (SSM) named Mamba has shown strong capabilities for capturing cross-band long-distance dependencies and exhibits advantages in long-distance modeling. However, the inherently high spectral dimensionality, information redundancy, and spatial heterogeneity of hyperspectral images (HSI) pose challenges for Mamba in fully extracting spatial–spectral features and in maintaining computational efficiency. To address these issues, we propose S2GL-MambaResNet, a lightweight HSI classification network that tightly couples Mamba with progressive residuals to enable richer global, local, and multi-scale spatial–spectral feature extraction, thereby mitigating the negative effects of high dimensionality, redundancy, and spatial heterogeneity on long-distance modeling. To avoid fragmentation of spatial–spectral information caused by serialization and to enhance local discriminability, we design a preprocessing method applied to the features before they are input to Mamba, termed the Spatial–Spectral Gated Attention Aggregator (SS-GAA). SS-GAA uses spatial–spectral adaptive gated fusion to preserve and strengthen the continuity of the central pixel’s neighborhood and its local spatial–spectral representation. To compensate for a single global sequence network’s tendency to overlook local structures, we introduce a novel Mamba variant called the Global_Local Spatial_Spectral Mamba Encoder (GLS2ME). GLS2ME comprises a pixel-level global branch and a non-overlapping sliding-window local branch for modeling long-distance dependencies and patch-level spatial–spectral relations, respectively, jointly improving generalization stability under limited sample regimes. To ensure that spatial details and boundary integrity are maintained while capturing spectral patterns at multiple scales, we propose a multi-scale Mamba encoding scheme, the Hierarchical Spectral Mamba Encoder (HSME). HSME first extracts spectral responses via multi-scale 1D spectral convolutions, then groups spectral bands and feeds these groups into Mamba encoders to capture spectral pattern information at different scales. Finally, we design a Progressive Residual Fusion Block (PRFB) that integrates 3D residual recalibration units with Efficient Channel Attention (ECA) to fuse multi-kernel outputs within a global context. This enables ordered fusion of local multi-scale features under a global semantic context, improving information utilization efficiency while keeping computational overhead under control. Comparative experiments on four publicly available HSI datasets demonstrate that S2GL-MambaResNet achieves superior classification accuracy compared with several state-of-the-art methods, with particularly pronounced advantages under few-shot and class-imbalanced conditions. Full article
Show Figures

Figure 1

29 pages, 11546 KB  
Article
Evolutionary Characteristics, Improvement Strategies and Driving Mechanisms of the Human Settlement Environment in Chinese Traditional Villages Based on Historical Hydrological Resilience Assessment
by Haobing Wang, Pengcheng Liu, Yong Shan, Junxue Zhang and Sisi Xia
Buildings 2025, 15(23), 4264; https://doi.org/10.3390/buildings15234264 - 25 Nov 2025
Viewed by 259
Abstract
(1) Background: In the context of rapid urbanization and climate change, Chinese traditional villages are facing severe challenges such as deterioration of hydrological environment, weakened social resilience, and degradation of cultural heritage. (2) Methods: This paper took Baoyan Village in Zhenjiang City, Jiangsu [...] Read more.
(1) Background: In the context of rapid urbanization and climate change, Chinese traditional villages are facing severe challenges such as deterioration of hydrological environment, weakened social resilience, and degradation of cultural heritage. (2) Methods: This paper took Baoyan Village in Zhenjiang City, Jiangsu Province as the research object and constructs a research framework of “assessment of historical hydrological resilience–diagnosis of current problems–construction of enhancement strategies”, aiming to explore the paths and driving mechanisms for enhancing the resilience of traditional villages. The spatio-temporal evolution of historical hydrological resilience in Baoyan Village was quantitatively evaluated by establishing a three-dimensional resilience index system of “ecological governance–social adaptation–cultural continuity”, combined with the Analytic Hierarchy Process (AHP) and GIS spatial overlay technology. (3) Results: The study found that ① The hydrological resilience zoning of Baoyan Village presented spatial differentiation characteristics of “core vulnerability-marginal resilience”, and the high-risk area was concentrated in the cultural building density area along the old Tongji River in the historical town area, indicating that this area requires key flood protection and resilience construction; ② this paper constructed a composite evaluation system of “Ecological Governance–cultural inheritance–social adaptation”, and the total score after evaluation was 0.67, indicating that the overall HHRI of Baoyan Village has declined. Specifically, the scores for Ecological Governance Resilience and Cultural Heritage Resilience were 0.48 and 0.46, respectively, reflecting a significant decrease compared to historical scenarios. Conversely, the score for Social Adaptation Resilience was recorded at 1.05, suggesting an improvement in this dimension. This enhancement can be attributed to advancements in water infrastructure and increased levels of community organizational support, which have bolstered the village’s capacity to withstand flooding events. ③ The integrity of weir fields, the transmission of traditional disaster prevention knowledge, and the stability of natural river channels are the main factors hindering the improvement of resilience systems. (4) Conclusions: Based on the assessment results, this study proposed the resilience enhancement path of “ecological space reconstruction-traditional water management wisdom activation–cultural resilience empowerment” for this case, and constructed a four-pronged driving mechanism consisting of government guidance, community participation, technology empowerment, and industrial synergy for implementation. Practice has shown that through specific strategies such as restoring the weir and field system, constructing sponge village units, and developing the rain and flood cultural experience industry, the key obstacle factors of the village can be effectively addressed, and the goals of flood safety and cultural inheritance can be achieved in a coordinated manner. This case provides an empirical reference that combines historical wisdom with modern technology for understanding the evolution of human–water relationships and the enhancement of resilience in traditional villages, and its research framework and methods are also of reference value for similar villages. Full article
(This article belongs to the Section Architectural Design, Urban Science, and Real Estate)
Show Figures

Figure 1

15 pages, 1766 KB  
Article
Evaluating LDA and PLS-DA Algorithms for Food Authentication: A Chemometric Perspective
by Martin Mészáros, Jiří Sedlák, Tomáš Bílek and Aleš Vávra
Algorithms 2025, 18(12), 733; https://doi.org/10.3390/a18120733 - 21 Nov 2025
Viewed by 441
Abstract
High-dimensional analytical datasets, such as those generated by inductively coupled plasma–mass spectrometry (ICP-MS), require robust computational frameworks for dimensionality reduction, classification, and model validation. This study presents a comparative evaluation of Linear Discriminant Analysis (LDA) and Partial Least Squares Discriminant Analysis (PLS-DA) algorithms [...] Read more.
High-dimensional analytical datasets, such as those generated by inductively coupled plasma–mass spectrometry (ICP-MS), require robust computational frameworks for dimensionality reduction, classification, and model validation. This study presents a comparative evaluation of Linear Discriminant Analysis (LDA) and Partial Least Squares Discriminant Analysis (PLS-DA) algorithms applied to multivariate chemometric data for food origin authentication. The research employs a workflow that integrates Principal Component Analysis (PCA) for feature extraction, followed by supervised classification using LDA and PLS-DA. Model performance and stability were systematically assessed. The dataset comprised 28 apple samples from four geographical regions and was processed with normalization, scaling, and transformation prior to modeling. Each model was validated via leave-one-out cross-validation and evaluated using accuracy, sensitivity, specificity, balanced accuracy, detection prevalence, p-value, and Cohen’s Kappa. The results demonstrate that, as a linear projection-based classifier, LDA provides higher robustness and interpretability in small and unbalanced datasets. In contrast, PLS-DA, which is optimized for covariance maximization, exhibits higher apparent sensitivity but lower reproducibility under similar conditions. The study also emphasizes the importance of dimensionality reduction strategies, such as PCA-based variable selection versus latent space extraction in PLS-DA, in controlling overfitting and improving model generalizability. The proposed algorithmic workflow provides a reproducible and statistically sound approach for evaluating discriminant methods in chemometric classification. Full article
(This article belongs to the Collection Feature Papers in Algorithms)
Show Figures

Figure 1

14 pages, 3046 KB  
Article
Parallel Hypersurfaces in 𝔼4 and Their Applications to Rotational Hypersurfaces
by Sezgin Büyükkütük, Ilim Kişi, Günay Öztürk and Emre Kişi
Mathematics 2025, 13(22), 3684; https://doi.org/10.3390/math13223684 - 17 Nov 2025
Viewed by 330
Abstract
This study explores parallel hypersurfaces in four-dimensional Euclidean space E4, deriving explicit expressions for their Gaussian and mean curvatures in terms of the curvature functions of the base hypersurface. We identify conditions under which these parallel hypersurfaces are flat or minimal. [...] Read more.
This study explores parallel hypersurfaces in four-dimensional Euclidean space E4, deriving explicit expressions for their Gaussian and mean curvatures in terms of the curvature functions of the base hypersurface. We identify conditions under which these parallel hypersurfaces are flat or minimal. The theory is applied to several key hypersurfaces, including rotational hypersurfaces, hyperspheres, catenoidal hypersurfaces, and helicoidal hypersurfaces, with detailed curvature computations and visualizations. These results not only extend classical curvature relations into higher-dimensional spaces but also offer valuable insights into curvature transformations, with practical applications in both theoretical and computational geometry. Full article
Show Figures

Figure 1

Back to TopTop