Sign in to use this feature.

Years

Between: -

Subjects

remove_circle_outline
remove_circle_outline
remove_circle_outline
remove_circle_outline
remove_circle_outline

Journals

Article Types

Countries / Regions

Search Results (14)

Search Parameters:
Keywords = force–torque transducers

Order results
Result details
Results per page
Select all
Export citation of selected articles as:
18 pages, 8535 KB  
Article
Rotary–Linear Type Piezoelectric Actuator Based on Double-Elliptical Stator
by Andrius Čeponis and Dalius Mažeika
Actuators 2024, 13(12), 478; https://doi.org/10.3390/act13120478 - 25 Nov 2024
Cited by 1 | Viewed by 1257
Abstract
This paper introduces a novel piezoelectric actuator designed for precise linear and rotational movements of a cylindrical slider-rotor. The actuator’s design features two elliptical frames interconnected by two plates, with a cylindrical contact situated on the top of the upper plate to facilitate [...] Read more.
This paper introduces a novel piezoelectric actuator designed for precise linear and rotational movements of a cylindrical slider-rotor. The actuator’s design features two elliptical frames interconnected by two plates, with a cylindrical contact situated on the top of the upper plate to facilitate the motion or rotation of the slider. Two piezoelectric multilayer transducers are housed within each elliptical frame and are used to excite vibrations of the elliptical frames using two harmonic signals with a phase difference of π/2 and varying excitation schemes. This excitation pattern generates elliptical motion trajectories of the contact in two orthogonal planes, enabling both linear and rotational displacements of the slider-rotor. Numerical and experimental investigations were conducted to validate the performance and accuracy of the actuator. Additionally, harmonic response and transient analysis were performed to investigate elliptical motion trajectories of the contact in perpendicular planes under various excitation schemes and frequencies. The results confirm that the rotational and linear motions of the slider-rotor can be independently controlled. The actuator achieved a maximum rotational speed of 163.1 RPM and a maximum linear speed of 41.4 mm/s, with a corresponding peak output torque and force of 236.1 mN·mm and 368.1 mN, respectively. A resolution measurements showed that the actuator can achieve an angular resolution of 1.02 mrad and a linear resolution of 53.8 µm. Full article
(This article belongs to the Section Actuator Materials)
Show Figures

Figure 1

23 pages, 5713 KB  
Article
A New Cable-Driven Model for Under-Actuated Force–Torque Sensitive Mechanisms
by Giovanni Gerardo Muscolo and Paolo Fiorini
Machines 2023, 11(6), 617; https://doi.org/10.3390/machines11060617 - 3 Jun 2023
Cited by 6 | Viewed by 3232
Abstract
Force–torque sensors are used in many and different domains (i.e., space, medicine, biology, etc.). Design solutions of force–torque sensors can be conceived by using many types of connections or components; however, there are only a few sensors designed using cable-driven systems. This could [...] Read more.
Force–torque sensors are used in many and different domains (i.e., space, medicine, biology, etc.). Design solutions of force–torque sensors can be conceived by using many types of connections or components; however, there are only a few sensors designed using cable-driven systems. This could be related to many reasons, one of which being that cables are able only to pull and not push. In this paper, a new cable-driven model for under-actuated force–torque sensing mechanisms is proposed, simulated, and tested, underlining the novelty of using cables for force–torque sensing. Analytical formulations, simulations, and physical implementations are presented in this paper. Results confirm that the new proposed model can be used for force–torque sensing mechanisms in micro- and macro- applications where under-actuation is a fundamental requirement, as in robotic surgery. The proposed model and mechanism can be used in the design of sensors and actuators. The innovative model is validated with two different test benches, opening new challenges in the design and development of under-actuated force–torque transducers. Full article
Show Figures

Figure 1

17 pages, 2552 KB  
Article
Research on Interdependence between Specific Rock Cutting Energy and Specific Drilling Energy
by Davor Antoljak, Dalibor Kuhinek, Tomislav Korman and Trpimir Kujundžić
Appl. Sci. 2023, 13(4), 2280; https://doi.org/10.3390/app13042280 - 10 Feb 2023
Cited by 6 | Viewed by 2503
Abstract
A method based on extensive laboratory and field measurements was developed to determine the dependence of specific rock cutting energy (SEc) on specific drilling energy (SEd) for machines with different operating and design characteristics and similar breaking mechanics. Laboratory measurements were performed on [...] Read more.
A method based on extensive laboratory and field measurements was developed to determine the dependence of specific rock cutting energy (SEc) on specific drilling energy (SEd) for machines with different operating and design characteristics and similar breaking mechanics. Laboratory measurements were performed on a linear rock cutting device and a laboratory drill, using a measurement system to measure electrical power and cutting forces using force/torque transducers. Field power consumption measurements were performed on a chainsaw cutting machine and a hydraulic rotary drill under real working conditions in the dimension stone quarries. The analysis of the measured results confirmed the strong dependence of the specific rock cutting energy on the specific drilling energy and confirmed that laboratory devices can be used to simulate actual rock cutting and drilling process. In addition, the results are applicable in the dimension stone exploration and exploitation phase in order to assess and reduce energy consumption by optimizing the operating parameters of the chain cutter and/or the hydraulic rotary drill. Full article
Show Figures

Figure 1

11 pages, 4088 KB  
Article
Evaluation of Axial Preload in Different-Frequency Smart Bolts by Laser Ultrasound
by Guanpin Ren, Huan Zhan, Ziqian Liu, Wei Jiang, Ru Li and Shuang Liu
Sensors 2022, 22(22), 8665; https://doi.org/10.3390/s22228665 - 10 Nov 2022
Cited by 10 | Viewed by 3168
Abstract
We report here on a laser ultrasonic system to indirectly evaluate the preload force of different-frequency piezoelectric bolts. This newly developed system enables us to achieve the goal of non-contact excitation and synchronously collects the laser-induced ultrasonic signal by the combination of a [...] Read more.
We report here on a laser ultrasonic system to indirectly evaluate the preload force of different-frequency piezoelectric bolts. This newly developed system enables us to achieve the goal of non-contact excitation and synchronously collects the laser-induced ultrasonic signal by the combination of a smart piezoelectric sensor and a magnetically mounted transducer connector. A numerical model based on the finite element method (FEM) was developed to simulate the propagation and displacement distribution of laser-generated ultrasonic waves along the axial direction. The measured A-scan waveform basically coincided with the counterpart obtained from a theoretical simulation, confirming the effectiveness of the proposed system to measure a bolt. By comparison, a laser spot diameter of 6 mm was the optimal beam diameter for the excitation of the ultrasonic wave in the bolt. The linear relationship between time of flight (TOF) of the ultrasonic longitudinal wave and bolt torque was almost independent from the center frequency of the smart bolt. By contrast, a piezoelectric patch centered at 5 MHz was more suitable as an ultrasonic sensor in terms of the nonlinear effects component suppression and linear fitting degree between TOF and torque. The results indicate that the proposed system based on a surface-mounted piezoelectric sensor is a promising system for evaluating the axial preload change of connector and fastener and is an additional potential laser ultrasonic system for nondestructive tests. Full article
Show Figures

Figure 1

15 pages, 5416 KB  
Article
Shaping the Design Features of a Dynamometer for Measuring Resistance Biaxial Components of Symmetrical Coulters
by Jacek Marcinkiewicz, Mikołaj Spadło, Zaneta Staszak and Jarosław Selech
Sensors 2022, 22(1), 272; https://doi.org/10.3390/s22010272 - 30 Dec 2021
Cited by 3 | Viewed by 2553
Abstract
The article lays out the methodology for shaping the design features of a strain gauge transducer, which would make it possible to study forces and torques generated during the operation of symmetrical seeder coulters. The transducers that have been known up until now [...] Read more.
The article lays out the methodology for shaping the design features of a strain gauge transducer, which would make it possible to study forces and torques generated during the operation of symmetrical seeder coulters. The transducers that have been known up until now cannot be used to determine forces and torques for the coulter configuration adopted by the authors. For this purpose, the design of the transducer in the form of strain gauge beams was used to ensure the accumulated stress concentration. A detailed design was presented in the form of a 3D model, along with a transducer body manufactured on its basis, including the method for arranging the strain gauges thereon. Moreover, the article discusses the methodology of processing voltage signals obtained from component loads. Particular attention was paid to the methodology of determining the load capacity of the transducer structure, based on finite element method (FEM). This made it possible to choose a transducer geometry providing the expected measurement sensitivity and, at the same time, maintaining the best linearity of indications, insignificant coupling error, and a broad measurement range. The article also presents the characteristics of the transducer calibration process and a description of a special test stand designed for this purpose. The transducer developed within the scope of this work provides very high precision of load spectrum reads, thus enabling the performance of a detailed fatigue analysis of the tested designs. Additionally, the versatility it offers makes it easy to adapt to many existing test stands, which is a significant advantage because it eliminates the need to build new test stands. Full article
(This article belongs to the Special Issue Shape Sensing 2021-2024)
Show Figures

Figure 1

29 pages, 7918 KB  
Article
A Vibrissa-Inspired Highly Flexible Tactile Sensor: Scanning 3D Object Surfaces Providing Tactile Images
by Lukas Merker, Joachim Steigenberger, Rafael Marangoni and Carsten Behn
Sensors 2021, 21(5), 1572; https://doi.org/10.3390/s21051572 - 24 Feb 2021
Cited by 5 | Viewed by 3104
Abstract
Just as the sense of touch complements vision in various species, several robots could benefit from advanced tactile sensors, in particular when operating under poor visibility. A prominent tactile sense organ, frequently serving as a natural paragon for developing tactile sensors, is the [...] Read more.
Just as the sense of touch complements vision in various species, several robots could benefit from advanced tactile sensors, in particular when operating under poor visibility. A prominent tactile sense organ, frequently serving as a natural paragon for developing tactile sensors, is the vibrissae of, e.g., rats. Within this study, we present a vibrissa-inspired sensor concept for 3D object scanning and reconstruction to be exemplarily used in mobile robots. The setup consists of a highly flexible rod attached to a 3D force-torque transducer (measuring device). The scanning process is realized by translationally shifting the base of the rod relative to the object. Consequently, the rod sweeps over the object’s surface, undergoing large bending deflections. Then, the support reactions at the base of the rod are evaluated for contact localization. Presenting a method of theoretically generating these support reactions, we provide an important basis for future parameter studies. During scanning, lateral slip of the rod is not actively prevented, in contrast to literature. In this way, we demonstrate the suitability of the sensor for passively dragging it on a mobile robot. Experimental scanning sweeps using an artificial vibrissa (steel wire) of length 50 mm and a glass sphere as a test object with a diameter of 60 mm verify the theoretical results and serve as a proof of concept. Full article
(This article belongs to the Special Issue Tactile and Force Sensors in Robotics)
Show Figures

Figure 1

13 pages, 3885 KB  
Article
Model-Based Analysis and Regulating Approach of Air-Coupled Transducers with Spurious Resonance
by Xiangxiang Peng, Liang Hu, Weiting Liu and Xin Fu
Sensors 2020, 20(21), 6184; https://doi.org/10.3390/s20216184 - 30 Oct 2020
Cited by 8 | Viewed by 2415
Abstract
As an essential characteristic of air-coupled transducers, electrical impedance can provide valuable information for quality control during manufacturing of transducers. It is also found feasible to directly read the optimal operating frequency from the impedance plots when the resonance is independent of the [...] Read more.
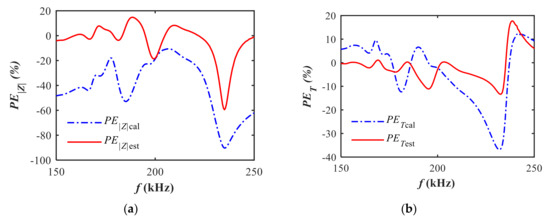
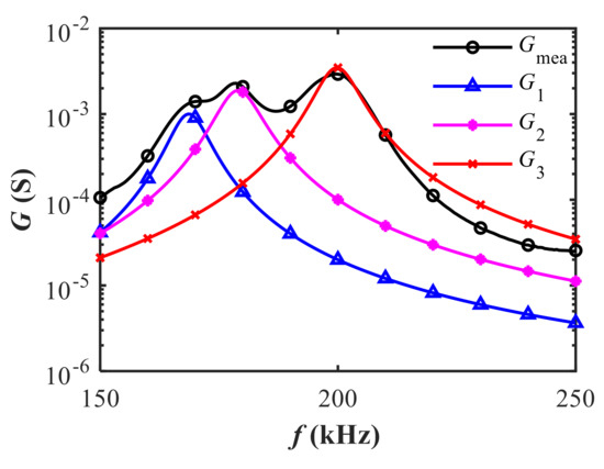
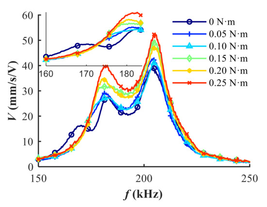
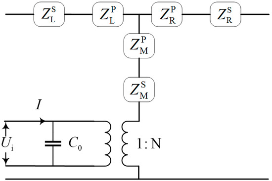
As an essential characteristic of air-coupled transducers, electrical impedance can provide valuable information for quality control during manufacturing of transducers. It is also found feasible to directly read the optimal operating frequency from the impedance plots when the resonance is independent of the others. However, the spurious resonance emerges when two neighboring resonances are closely spaced, resulting in distorted impedance and ambiguous optimal operating frequency. In this paper, the electrical impedance of air-coupled transducers with spurious resonance is modeled using the Butterworth–Van Dyke (BVD) equivalent circuit. Then model-based sensitivity analysis is performed to evaluate the mutual interference between adjacent resonances. Based on the analysis results, the prestress method is proposed to regulate and suppress the spurious resonance by adjusting the equivalent parameters of the BVD model. Experimental study was carried out on the response of the electrical impedance and the vibration velocity of the transducer with spurious resonance to pre-tightening force. The results show that the spurious resonance disappeared when the pre-tightening force was initially loaded. Moreover, the vibration velocity of two main resonance peaks increases about 45.6% and 33.9% as the pre-tightening torque increases to 0.25 N∙m. Hence it is validated that the proposed prestress method is efficient to suppress the spurious resonance and improve the transducers performance. Full article
(This article belongs to the Section Physical Sensors)
Show Figures

Figure 1

16 pages, 5743 KB  
Article
Design of Unimorph Type 3DOF Ultrasonic Motor
by Vytautas Jūrėnas, Gražvydas Kazokaitis and Dalius Mažeika
Appl. Sci. 2020, 10(16), 5605; https://doi.org/10.3390/app10165605 - 13 Aug 2020
Cited by 12 | Viewed by 2602
Abstract
A new design of 3 degrees of freedom (DOF) piezoelectric ultrasonic motor (USM) is introduced in this paper. The concept of this design is to incorporate a spherical rotor between two piezoelectric transducers. Each transducer is coupled with a flange, and it operates [...] Read more.
A new design of 3 degrees of freedom (DOF) piezoelectric ultrasonic motor (USM) is introduced in this paper. The concept of this design is to incorporate a spherical rotor between two piezoelectric transducers. Each transducer is coupled with a flange, and it operates like a unimorph structure. Such a design of the transducer allows to increase the amplitude of the vibrations and to generate the higher torque and driving force used to achieve 3DOF rotary motion of the spherical rotor. The proposed USM may be used for humanoid robots, optomechanical systems, or small satellites. This USM consists of several components, is lightweight and reliable. Numerical analysis and experimental studies were performed to validate the feasibility of this drive, to find out proper resonant frequencies for the unimorph, and optimize the shape of the flange. Experimental studies were accomplished to validate the results of the numerical analysis and to validate the operating principles of the piezoelectric motor. Full article
(This article belongs to the Special Issue Ultrasonic Transducers and Related Apparatus and Applications)
Show Figures

Figure 1

15 pages, 8085 KB  
Article
Visuo-Haptic Mixed Reality Simulation Using Unbound Handheld Tools
by Mehmet Murat Aygün, Yusuf Çağrı Öğüt, Hulusi Baysal and Yiğit Taşcıoğlu
Appl. Sci. 2020, 10(15), 5344; https://doi.org/10.3390/app10155344 - 3 Aug 2020
Cited by 9 | Viewed by 6228
Abstract
Visuo-haptic mixed reality (VHMR) adds virtual objects to a real scene and enables users to see and also touch them via a see-through display and a haptic device. Most studies with kinesthetic feedback use general-purpose haptic devices, which require the user to continuously [...] Read more.
Visuo-haptic mixed reality (VHMR) adds virtual objects to a real scene and enables users to see and also touch them via a see-through display and a haptic device. Most studies with kinesthetic feedback use general-purpose haptic devices, which require the user to continuously hold an attached stylus. This approach constrains users to the mechanical limits of the device even when it is not needed. In this paper, we propose a novel VHMR concept with an encountered-type haptic display (ETHD), which consists of a precision hexapod positioner and a six-axis force/torque transducer. The main contribution is that the users work with unbound real-life tools with tracking markers. ETHD’s end-effector remains inside the virtual object and follows the tooltip to engage only during an interaction. We have developed a simulation setup and experimentally evaluated the relative accuracy and synchronization of the three major processes, namely tool tracking, haptic rendering, and visual rendering. The experiments successfully build-up to a simple simulation scenario where a tennis ball with a fixed center is deformed by the user. Full article
(This article belongs to the Special Issue Haptics: Technology and Applications)
Show Figures

Graphical abstract

14 pages, 16773 KB  
Article
Development and Characterization of a Compact Device for Measuring the Braking Torque of a Vehicle
by Ester Olmeda, María Garrosa, Susana Sanz Sánchez and Vicente Díaz
Sensors 2020, 20(15), 4278; https://doi.org/10.3390/s20154278 - 31 Jul 2020
Cited by 3 | Viewed by 5424
Abstract
In this article, a new force transducer is designed, developed and built for the measurement of braking forces in the wheel rim of a motor vehicle. The parameters of the transducer design are justified using numerical simulation. In order to install it in [...] Read more.
In this article, a new force transducer is designed, developed and built for the measurement of braking forces in the wheel rim of a motor vehicle. The parameters of the transducer design are justified using numerical simulation. In order to install it in the vehicle in a simple and interference-free way, the metal base of the caliper rod is used. It is manufactured and installed in a vehicle in order to obtain the signals of the wheel braking torque, in real time, and at different speeds of circulation, carrying out several tests on the track. Subsequently, data are obtained from calculations of the disc brake system itself. The latter provides instantaneous adherence values between the brake pad and the disc. Full article
(This article belongs to the Special Issue Sensors in Experimental Mechanics)
Show Figures

Figure 1

19 pages, 6374 KB  
Article
Development of an Accurate Resonant Frequency Controlled Wire Ultrasound Surgical Instrument
by Jungsuk Kim, Kyeongjin Kim, Sun-Ho Choe and Hojong Choi
Sensors 2020, 20(11), 3059; https://doi.org/10.3390/s20113059 - 28 May 2020
Cited by 16 | Viewed by 5571
Abstract
Our developed wire ultrasound surgical instrument comprises a bolt-clamped Langevin ultrasonic transducer (BLUT) fabricated by PMN-PZT single crystal material due to high mechanical quality factor and electromechanical coupling coefficient, a waveguide in the handheld instrument, and a generator instrument. To ensure high performance [...] Read more.
Our developed wire ultrasound surgical instrument comprises a bolt-clamped Langevin ultrasonic transducer (BLUT) fabricated by PMN-PZT single crystal material due to high mechanical quality factor and electromechanical coupling coefficient, a waveguide in the handheld instrument, and a generator instrument. To ensure high performance of wire ultrasound surgical instruments, the BLUT should vibrate at an accurate frequency because the BLUT’s frequency influences hemostasis and the effects of incisions on blood vessels and tissues. Therefore, we implemented a BLUT with a waveguide in the handheld instrument using a developed assembly jig process with impedance and network analyzers that can accurately control the compression force using a digital torque wrench. A generator instrument having a main control circuit with a low error rate, that is, an output frequency error rate within ±0.5% and an output voltage error rate within ±1.6%, was developed to generate the accurate frequency of the BLUT in the handheld instrument. In addition, a matching circuit between the BLUT and generator instrument with a network analyzer was developed to transfer displacement vibration efficiently from the handheld instrument to the end of the waveguide. Using the matching circuit, the measured S-parameter value of the generator instrument using a network analyzer was −24.3 dB at the resonant frequency. Thus, our proposed scheme can improve the vibration amplitude and accuracy of frequency control of the wire ultrasound surgical instrument due to developed PMN-PZT material and assembly jig process. Full article
(This article belongs to the Special Issue Ultrasonic Sensors 2019–2020)
Show Figures

Figure 1

16 pages, 5238 KB  
Article
Electromechanical Dynamics Model of Ultrasonic Transducer in Ultrasonic Machining Based on Equivalent Circuit Approach
by Jian-Guo Zhang, Zhi-Li Long, Wen-Ju Ma, Guang-Hao Hu and Yang-Min Li
Sensors 2019, 19(6), 1405; https://doi.org/10.3390/s19061405 - 21 Mar 2019
Cited by 26 | Viewed by 11058
Abstract
Ultrasonic transducer is a piezoelectric actuator that converts AC electrical energy into ultrasonic mechanical vibration to accelerate the material removal rate of workpiece in rotary ultrasonic machining (RUM). In this study, an impedance model of the ultrasonic transducer is established by the electromechanical [...] Read more.
Ultrasonic transducer is a piezoelectric actuator that converts AC electrical energy into ultrasonic mechanical vibration to accelerate the material removal rate of workpiece in rotary ultrasonic machining (RUM). In this study, an impedance model of the ultrasonic transducer is established by the electromechanical equivalent approach. The impedance model not only facilitates the structure design of the ultrasonic transducer, but also predicts the effects of different mechanical structural dimensions on the impedance characteristics of the ultrasonic transducer. Moreover, the effects of extension length of the machining tool and the tightening torque of the clamping nut on the impedance characteristics of the ultrasonic transducer are investigated. Finally, through experimental analysis, the impedance transfer function with external force is established to analyze the dynamic characteristics of machining process. Full article
(This article belongs to the Section Physical Sensors)
Show Figures

Figure 1

24 pages, 4050 KB  
Article
Experimental and Numerical Investigation of Propeller Loads in Off-Design Conditions
by Fabrizio Ortolani, Giulio Dubbioso, Roberto Muscari, Salvatore Mauro and Andrea Di Mascio
J. Mar. Sci. Eng. 2018, 6(2), 45; https://doi.org/10.3390/jmse6020045 - 24 Apr 2018
Cited by 30 | Viewed by 7352
Abstract
The understanding of the performance of a propeller in realistic operative conditions is nowadays a key issue for improving design techniques, guaranteeing safety and continuity of operation at sea, and reducing maintenance costs. In this paper, a summary of the recent research carried [...] Read more.
The understanding of the performance of a propeller in realistic operative conditions is nowadays a key issue for improving design techniques, guaranteeing safety and continuity of operation at sea, and reducing maintenance costs. In this paper, a summary of the recent research carried out at CNR-INSEAN devoted to the analysis of propeller loads in realistic operative scenarios, with particular emphasis on the in-plane loads, is presented. In particular, the experimental results carried out on a free running maneuvering model equipped with a novel force transducer are discussed and supported by C F D (Computational Fluid Dynamics) analysis and the use of a simplified propeller model, based on Blade Element Momentum Theory, with the aim of achieving a deeper understanding of the mechanisms that govern the functioning of the propeller in off-design. Moreover, the analysis includes the scaling factors that can be used to obtain a prediction from model measurements, the propeller radial force being the primary cause of failures of the shaft bearings. In particular, the analysis highlighted that cavitation at full scale can cause the increment of in-plane loads by about 20% with respect to a non-cavitating case, that that in-plane loads could be more sensitive to cavitation than thrust and torque, and that Reynolds number effect is negligible. For the analysis of cavitation, an alternative version of the B E M T solver, improved with cavitation linear theory, was developed. Full article
(This article belongs to the Special Issue Marine Propulsors)
Show Figures

Figure 1

16 pages, 7565 KB  
Article
Controllable Micro-Particle Rotation and Transportation Using Sound Field Synthesis Technique
by Shuang Deng, Kun Jia, Eryong Wu, Xuxiao Hu, Zongwei Fan and Keji Yang
Appl. Sci. 2018, 8(1), 73; https://doi.org/10.3390/app8010073 - 8 Jan 2018
Cited by 10 | Viewed by 4880
Abstract
Rotation and transportation of micro-particles using ultrasonically-driven devices shows promising applications in the fields of biological engineering, composite material manufacture, and micro-assembly. Current interest in mechanical effects of ultrasonic waves has been stimulated by the achievements in manipulations with phased array. Here, we [...] Read more.
Rotation and transportation of micro-particles using ultrasonically-driven devices shows promising applications in the fields of biological engineering, composite material manufacture, and micro-assembly. Current interest in mechanical effects of ultrasonic waves has been stimulated by the achievements in manipulations with phased array. Here, we propose a field synthesizing method using the fewest transducers to control the orientation of a single non-spherical micro-particle as well as its spatial location. A localized acoustic force potential well is established and rotated by using sound field synthesis technique. The resultant acoustic radiation torque on the trapped target determines its equilibrium angular position. A prototype device consisting of nine transducers with 2 MHz center frequency is designed and fabricated. Controllable rotation of a silica rod with 90 μm length and 15 μm diameter is then successfully achieved. There is a good agreement between the measured particle orientation and the theoretical prediction. Within the same device, spatial translation of the silica rod can also be realized conveniently. When compared with the existing acoustic rotation methods, the employed transducers of our method are strongly decreased, meanwhile, device functionality is improved. Full article
(This article belongs to the Section Acoustics and Vibrations)
Show Figures

Figure 1

Back to TopTop