Sign in to use this feature.

Years

Between: -

Subjects

remove_circle_outline
remove_circle_outline
remove_circle_outline
remove_circle_outline
remove_circle_outline
remove_circle_outline
remove_circle_outline
remove_circle_outline
remove_circle_outline

Journals

Article Types

Countries / Regions

remove_circle_outline
remove_circle_outline
remove_circle_outline
remove_circle_outline

Search Results (276)

Search Parameters:
Keywords = flume test

Order results
Result details
Results per page
Select all
Export citation of selected articles as:
26 pages, 6510 KB  
Article
Integrated Design and Experimental–Numerical Validation of a 22 MW TLP FOWT
by Qiupan Chen, Jiping Chen, Can Yang, Shuqing Wang, Gang Li, Ling Ma, Bo Liu, Yixuan Liu, Zhuolantai Bai and Junrong Wang
J. Mar. Sci. Eng. 2026, 14(6), 588; https://doi.org/10.3390/jmse14060588 - 23 Mar 2026
Viewed by 188
Abstract
Tension leg platform (TLP) floating offshore wind turbines (FOWTs) show strong potential for future commercial deployment for the advantages in global performance, cost efficiency, and economic spatial utilization. However, as system sizes expand and multi-source vibrations become more prominent, the integrated design and [...] Read more.
Tension leg platform (TLP) floating offshore wind turbines (FOWTs) show strong potential for future commercial deployment for the advantages in global performance, cost efficiency, and economic spatial utilization. However, as system sizes expand and multi-source vibrations become more prominent, the integrated design and dynamic responses of the FOWT system grow increasingly complex. This research presents the design of a TLP foundation for a 22 MW FOWT and examines its dynamic response under extreme sea states via a combined numerical and experimental approach. An integrated numerical model of the TLP FOWT is established and subsequently calibrated using data obtained from a 1:64 scale physical model test in a wind-wave flume. By using the calibrated model, the reliability of the TLP FOWT was further validated through an extended Ultimate Limit State (ULS) analysis under a 50-year return period metocean data in the East China Sea. Numerical study demonstrates that the extreme motion responses under 50-year return period data comply with safe operational limits, and the safety factors meet standard specifications. Therefore, this study provides a systematic design scheme along with valuable model test data. These contributions serve as a critical reference for the design and research of future large-megawatt TLP FOWTs. Full article
(This article belongs to the Section Ocean Engineering)
Show Figures

Figure 1

21 pages, 10608 KB  
Article
An Integrated Numerical Model for a BBDB OWC Wave Energy Converter
by Fengru Yang, Rongxiang Fu, Ying Cao, Haipeng Song, Chenyu Zhao and Ying Cui
Mathematics 2026, 14(6), 959; https://doi.org/10.3390/math14060959 - 12 Mar 2026
Viewed by 198
Abstract
Examining the mechanism of two-way interaction between the air turbine and generator is essential for accurately predicting the performance of oscillating water column (OWC) devices. This study developed a fully integrated model for a back-bent duct buoy device, which incorporated the chamber, impulse [...] Read more.
Examining the mechanism of two-way interaction between the air turbine and generator is essential for accurately predicting the performance of oscillating water column (OWC) devices. This study developed a fully integrated model for a back-bent duct buoy device, which incorporated the chamber, impulse turbine, permanent magnet synchronous generator, PI controller, and speed control strategies. The models of chamber–turbine and turbine-control systems were validated separately against wave-flume experimental results under regular and irregular wave conditions. In addition, a comparative study of two control strategies based on Best Efficiency Point Tracking was conducted by analysing key performance parameters at each energy conversion. The mechanism of two-way interaction between the turbine and the generator was elucidated. The integrated model demonstrated a great potential in predicting the conversion performance of wave energy to electrical energy under real sea conditions, as well as testing control strategies and algorithms before physical deployment. Full article
(This article belongs to the Special Issue Mathematical Modeling and Numerical Analysis in Fluid Dynamics)
Show Figures

Figure 1

19 pages, 4815 KB  
Article
Comparison of Hydraulic Behavior of Single-Baffled Block Stepped Spillways Between Regular and Irregular Designs
by Hassan Jasim Alrikaby, Abdul-Hassan K. Al-Shukur, Ahmed Mageed Hussein, Halah Kadhim Tayyeh, Brahim Benzougagh, Qosai S. Radi Marshdi, Amnah Alasqah and Khaled Mohamed Khedher
Water 2026, 18(5), 629; https://doi.org/10.3390/w18050629 - 6 Mar 2026
Viewed by 290
Abstract
This study evaluated the hydraulic performance of regular and irregular stepped spillways experimentally to reduce the hydraulic leap length and enhance energy dissipation. The study tested fourteen physical models with 40° and 45° slopes and step numbers of 5 and 10, analyzing the [...] Read more.
This study evaluated the hydraulic performance of regular and irregular stepped spillways experimentally to reduce the hydraulic leap length and enhance energy dissipation. The study tested fourteen physical models with 40° and 45° slopes and step numbers of 5 and 10, analyzing the effect of a single barrier block and its horizontal position through 98 rectangular flume experiments to evaluate energy dissipation and hydraulic jump length. The results showed that when the nappe flow transitioned to the skimming flow, energy dissipation decreased as discharge increased. Irregular stepped spillways achieved higher energy dissipation than regular ones by about 10–25%, with five-step models outperforming ten-step models due to increased turbulence. A strong positive relationship between discharge and hydraulic jump length was also observed, with jump length increasing by approximately 30–45% at 40° and 45° slopes. Five-degree irregular stepped spillways produced the shortest hydraulic jump lengths, confirming that step irregularity reduces downstream residual energy. Adding a single barrier block improved performance by shortening the hydraulic jump by about 20–35%, especially at higher discharges, with the optimal position at B/2. Overall, an irregular stepped spillway with a barrier block at B/2 was identified as the most effective configuration, enabling shorter hydraulic jumps, smaller stilling basins, and more efficient and economical spillway designs. Full article
(This article belongs to the Special Issue Advances in Open-Channel Flow Hydrodynamics)
Show Figures

Figure 1

21 pages, 4099 KB  
Article
Differences in Habitat Substrate Preference Selection Among Sexes and Populations of Leptobotia elongata
by Lixiong Yu, Min Wang, Jiaxin Li, Fengyue Zhu, Yuliang Yuan, Huiwu Tian, Mingdian Liu, Weiwei Dong, Ji Yang, Senfan Ke, Chenyu Lin and Xinbin Duan
Fishes 2026, 11(3), 137; https://doi.org/10.3390/fishes11030137 - 26 Feb 2026
Viewed by 196
Abstract
Cascade hydropower development in the upper Yangtze River has substantially altered riverine habitat conditions. However, quantitative information on fish substrate preferences remains limited. Based on field surveys, six representative substrate types were identified in the Yibin and Jiangjin reaches, and substrate selection patterns [...] Read more.
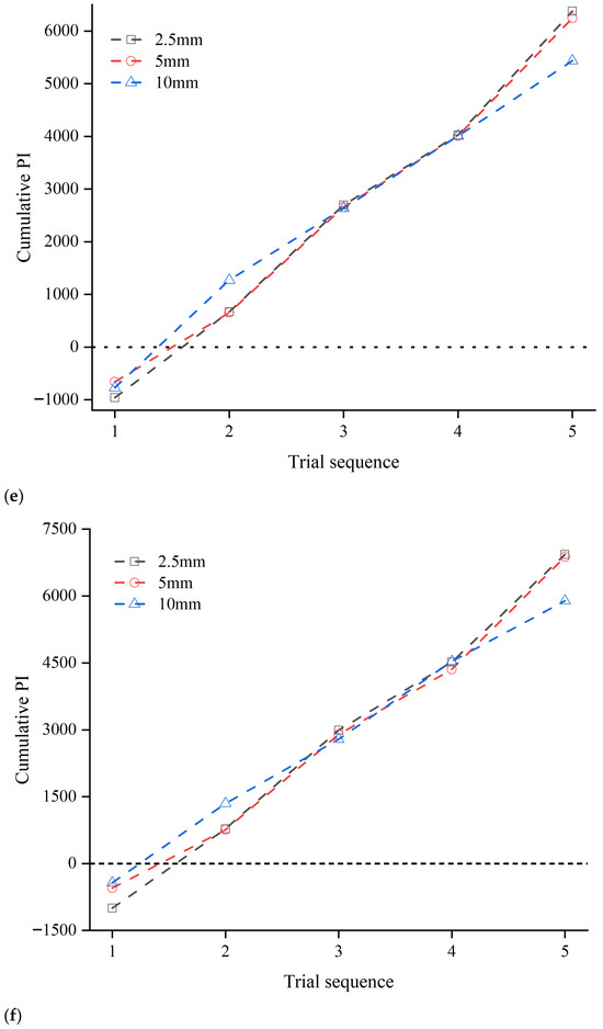
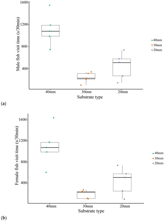
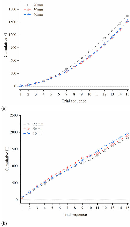
Cascade hydropower development in the upper Yangtze River has substantially altered riverine habitat conditions. However, quantitative information on fish substrate preferences remains limited. Based on field surveys, six representative substrate types were identified in the Yibin and Jiangjin reaches, and substrate selection patterns of Leptobotia elongata were quantified under controlled flume conditions. This study examined sex-specific and population-level differences in substrate preference. A total of 50 samples were analyzed using one-way ANOVA and the Kolmogorov–Smirnov test. The results are summarized as follows: (1) Substrates of 40–20 mm: Individual female L. elongata exhibited the longest residence time on the 40 mm substrate (1640 s), while individual males also spent the longest time on the 40 mm substrate (1549 s). Within this substrate range, males showed a preference only for the 40 mm substrate (PR = 739), whereas females preferred three substrate types, with the strongest preference for the 40 mm substrate (PR = 7543). (2) Substrates of 10–2.5 mm: Female individuals spent the longest time on the 10 mm substrate (1468 s), and male individuals likewise showed the longest residence time on the 10 mm substrate (1568 s). In this range, males did not show a significant preference for any substrate (PR = −907), whereas females preferred three substrate types, with the 2.5 mm substrate exhibiting the highest preference intensity (PR = 2059). (3) Population-level patterns for 40–20 mm substrates: The population spent the longest time on the 40 mm substrate (1799 s) and preferred three substrate types, among which the 20 mm substrate had the highest preference ratio relative to the other preferred substrates (PR = 4750). (4) Population-level patterns for 10–2.5 mm substrates: The longest residence time was observed on the 10 mm substrate (1762 s). The population preferred three substrate types, with the 10 mm substrate showing the highest preference ratio (PR = 5709). Overall, L. elongata showed a general tendency to prefer larger-sized substrates. This preference is likely associated with enhanced habitat complexity, improved foraging opportunities, and the formation of low-velocity refuges. Our results suggest that maintaining or restoring coarse substrate patches in regulated reaches may improve habitat suitability for L. elongata and potentially benefit other benthic fishes with similar ecological requirements. Full article
(This article belongs to the Special Issue Habitat as a Template for Life Histories of Fish)
Show Figures

Figure 1

21 pages, 5494 KB  
Article
Parametric Study of Wake Concentration from the Instantaneous Release of a Dense Fluid Upstream of a Cubic Obstacle
by Romana Akhter and Nigel B. Kaye
Fluids 2026, 11(2), 58; https://doi.org/10.3390/fluids11020058 - 20 Feb 2026
Viewed by 219
Abstract
Experimental results are reported to explore the role of release location and release volume on the dispersion of a dense gas cloud around an isolated cubic building. The experiments are analogous to the Thorney Island dense gas dispersion field tests, and the results [...] Read more.
Experimental results are reported to explore the role of release location and release volume on the dispersion of a dense gas cloud around an isolated cubic building. The experiments are analogous to the Thorney Island dense gas dispersion field tests, and the results are qualitatively similar to those of the full-scale tests. Water bath experiments were used in this study with fresh water in a flume representing the atmospheric wind and dyed saltwater representing the dense gas. Results are presented for different relative density flows, quantified using the Richardson number (Ri), for five different release volumes ranging from 10% to 60% of the building volume. Results are also presented for different upstream release distances ranging from 50% to 150% of the building height. Measurements show that there is a complex interaction between release volume, release distance, and Richardson number, and the resulting flow over and around the building. For releases close to the building, the cloud has little distance over which to adjust before being swept around the building and into the building wake. However, for larger release distances, there is adequate distance for the cloud to adjust, with the nature of the adjustment being a function of the Richardson number. For small Ri (low density difference), the cloud spreads out as it moves downstream, mixes with the ambient fluid, and increases in volume such that the volume of the cloud interacting with the building is larger than the initial release. For higher Ri flows (larger density difference), the dense cloud collapses down onto the channel bed, where it spreads out radially as it is advected downstream. The clouds are, therefore, much shallower than the building height when they collide with the building. This competition between the collapse of the cloud and its advection downstream is parameterized using a novel ‘adjusted Richardson number’ Ri*. Full article
(This article belongs to the Section Geophysical and Environmental Fluid Mechanics)
Show Figures

Figure 1

14 pages, 3937 KB  
Article
Stability Assessment of a Submersible Net Cage with Vertical Buoyancy Columns Under Steady Currents
by Kengo Yaegashi, Kewen Wang, Shintaro Gomi and Tsutomu Takagi
Fishes 2026, 11(2), 92; https://doi.org/10.3390/fishes11020092 - 3 Feb 2026
Viewed by 434
Abstract
Offshore aquaculture requires net cages that remain stable under strong currents and during submersion and emergence operations. In this study, we proposed a submersible net cage structure equipped with vertical buoyancy columns as an alternative to the conventional horizontal floating-frame cage and evaluated [...] Read more.
Offshore aquaculture requires net cages that remain stable under strong currents and during submersion and emergence operations. In this study, we proposed a submersible net cage structure equipped with vertical buoyancy columns as an alternative to the conventional horizontal floating-frame cage and evaluated its stability using a net geometry and load analysis system (NaLA system). Model-scale cages were tested in a recirculating flume tank at two current velocities, and the three-dimensional cage geometry was reconstructed using the multicamera through direct linear transformation method to validate the simulated cage inclination. The NaLA system accurately reproduced the measured geometry and time-varying inclination. After validation, stability was compared over a range of current velocities by tracking the cage inclination during the emergence phase. When mooring lines were attached to the top of the cage, the conventional floating-frame cage exhibited a smaller inclination than the buoyancy-column cage. However, relocating the mooring attachment point on the columns significantly improved the stability; attaching the moorings near the bottom of the columns generated the smallest final inclination and yielded a higher stability than the conventional cage. The buoyancy columns can outperform those of conventional designs when paired with an appropriate mooring configuration, thus offering a promising structure for applications under harsh offshore conditions. Full article
(This article belongs to the Section Fishery Facilities, Equipment, and Information Technology)
Show Figures

Figure 1

16 pages, 2836 KB  
Article
Experimental Study on the Influence of Sand Dune Morphology on Near-Bed Flow Structure
by Shan Li, Zhongwu Jin and Xiaohu Guo
Water 2026, 18(3), 385; https://doi.org/10.3390/w18030385 - 2 Feb 2026
Viewed by 365
Abstract
Riverbed topography in natural rivers commonly features sand dunes, whose morphological variations can alter the turbulent flow structure near the bed and thereby affect processes of channel scour, deposition, and sediment transport. In this study, a series of flume experiments was conducted using [...] Read more.
Riverbed topography in natural rivers commonly features sand dunes, whose morphological variations can alter the turbulent flow structure near the bed and thereby affect processes of channel scour, deposition, and sediment transport. In this study, a series of flume experiments was conducted using an acoustic Doppler velocimeter (ADV) to simulate fixed bedforms of different dune scales (ratio of wavelength to flow depth, λ/h) in a laboratory flume. Velocity measurements were taken along the water depth at the dune crest and trough for each test case. The near-bed distributions of mean flow velocity, Reynolds stress, turbulent kinetic energy (TKE), and turbulence intensity were obtained at the crest and trough under three flow conditions, allowing analysis of the vertical decay of turbulence intensity at different locations on the dune. The results show that the dune steepness (Ψ, defined as dune height over wavelength) is a key parameter controlling the near-bed flow structure. As Ψ increases, the near-bed velocity gradient, Reynolds stress, TKE, and peak turbulence intensity all increase significantly, with the peak positions shifting closer to the bed. The trough region, due to flow separation and vortex shedding, exhibits substantially higher values of all turbulence-related parameters than the crest, making it the primary zone of energy dissipation and turbulence production. This study provides experimental evidence and theoretical reference for understanding the mechanism by which sand dune morphology influences flow structure, and it offers insight for predicting riverbed evolution. Full article
(This article belongs to the Section Water Erosion and Sediment Transport)
Show Figures

Figure 1

20 pages, 2708 KB  
Article
Experimental Determination of Forces and Hydrodynamic Coefficients on Vertical Cylinders Under Wave and Current Conditions
by Oier Peña Vega, Urko Izquierdo, Iñigo Albaina, Gustavo A. Esteban, Iñigo Bidaguren and Jesús María Blanco
J. Mar. Sci. Eng. 2026, 14(2), 129; https://doi.org/10.3390/jmse14020129 - 8 Jan 2026
Viewed by 440
Abstract
This paper presents an extensive experimental study on the hydrodynamic behavior of vertical cylinders representative of the structural elements of offshore floating photovoltaic (OFPV) platforms under both wave and steady-current conditions. The objectives are to determine reliable hydrodynamic coefficients for Morison-type formulations and [...] Read more.
This paper presents an extensive experimental study on the hydrodynamic behavior of vertical cylinders representative of the structural elements of offshore floating photovoltaic (OFPV) platforms under both wave and steady-current conditions. The objectives are to determine reliable hydrodynamic coefficients for Morison-type formulations and to analyze the wake effects between cylinders for modular floating configurations. Tests under regular waves are conducted in a 25 m long wave flume at the Energy Engineering Department of the Bilbao School of Engineering. The obtained inertia and drag coefficients follow the expected trends for a wide range of Keulegan–Carpenter (KC) numbers, aligning well with classical experimental studies. Steady-current experiments are conducted in the same flume using a towing tank method. Again, the obtained drag coefficients align well with previous studies. As for the wake provoked by the first cylinder on the second cylinder located downstream at one of four different distances, in the wave cases, the wake attenuation is minimal and rapid recovery of the flow is observed for a wide range of KC values, while in the steady-current cases, the wake is stronger and affects the forces acting on the second cylinder. Full article
(This article belongs to the Special Issue Advancements in Marine Hydrodynamics and Structural Optimization)
Show Figures

Figure 1

23 pages, 6478 KB  
Article
Passive Water Intake Screen to Reduce Entrainment of Debris and Aquatic Organisms Under Various Hydraulic Flow Conditions
by Agata Pawłowska-Salach, Michał Zielina and Karol Kaczmarski
Water 2025, 17(23), 3424; https://doi.org/10.3390/w17233424 - 2 Dec 2025
Viewed by 1054
Abstract
In order to minimize problems associated with the operation of surface water intakes, passive wedge-wire screens are increasingly being used. Deflectors of special design are placed inside the intake heads to reduce local maximum inlet velocities and to ensure a uniform velocity distribution [...] Read more.
In order to minimize problems associated with the operation of surface water intakes, passive wedge-wire screens are increasingly being used. Deflectors of special design are placed inside the intake heads to reduce local maximum inlet velocities and to ensure a uniform velocity distribution over their surface. The use of computer software based on Computational Fluid Dynamics (CFD) methods enabled simulations and optimization of the intake head design. Subsequently, a series of laboratory tests was conducted. Several scenarios were considered, varying the flow rates in the hydraulic flume and taking into account both the presence and absence of the deflector. Velocities around the intake head were measured, and the amount of particles in the water attracted to the head surface under the analyzed conditions was assessed. The results confirm the clear effect of the deflector on the velocity distribution. Its use originates reduced velocities near the head surface, as well as a smaller amount of debris deposited on the screen, while maintaining efficiency. At the same time, lower inlet velocities close to the head surface reduce the risk of entrainment and potential injury or mortality of young fish, fry, and eggs. Full article
Show Figures

Figure 1

25 pages, 3837 KB  
Article
Swimming Performance and Behavior of High-Altitude Fish in High-Flow Velocity Environments
by Kaixiao Chen, Guanxi Ding, Yun Li, Gangwei He, Yanteng Zhou and Xiaogang Wang
Animals 2025, 15(22), 3327; https://doi.org/10.3390/ani15223327 - 18 Nov 2025
Viewed by 961
Abstract
The optimization of fishway design relies on a deep understanding of fish swimming performance and behavioral traits. Traditional methods often underestimate fish swimming performance and overlook their behavior under high-flow conditions, particularly in the context of high-altitude species. This study, based on an [...] Read more.
The optimization of fishway design relies on a deep understanding of fish swimming performance and behavioral traits. Traditional methods often underestimate fish swimming performance and overlook their behavior under high-flow conditions, particularly in the context of high-altitude species. This study, based on an open-channel flume system and combined with high-speed video tracking and Acoustic Doppler Velocity (ADV) measurements, constructs a Resource Selection Function-Generalized Additive Mixed Models (RSF-GAMMs) to quantify the swimming performance and behavior mechanisms of the high-altitude species, Schizothorax oconnori Lloyd, 1908 (S. oconnori), in high-velocity environments. The results show that S. oconnori significantly outperforms traditional swimming tests and exhibits strong dependence on movement modes. Endurance analysis reveals the breakpoints of endurance models, indicating the species’ high sensitivity to variations in exercise intensity, showcasing the unique physiological and behavioral characteristics of high-altitude fish. In high-velocity conditions, adult S. oconnori primarily aims to optimize energy conservation and stability, selectively choosing water bodies with varying disturbance levels depending on its movement mode and endurance state, thus optimizing path selection. This study presents a systematic method for quantifying the extreme swimming abilities and nonlinear behavioral responses of adult S. oconnori under complex flow conditions, providing scientific guidance for setting hydraulic thresholds and developing protection strategies for fishways. Full article
(This article belongs to the Special Issue Fish Cognition and Behaviour)
Show Figures

Figure 1

24 pages, 4646 KB  
Article
Experimental Analysis of Granular Flow Behavior for Sustainable Landslide Risk Management and Community Resilience
by Daniel Camilo Roman Quintero, Mauricio Alberto Tapias Camacho and Gustavo Chio Cho
Sustainability 2025, 17(22), 10236; https://doi.org/10.3390/su172210236 - 15 Nov 2025
Viewed by 825
Abstract
Sustainable landslide risk management is critical for achieving resilient communities and supporting the United Nations Sustainable Development Goals, particularly in vulnerable mountainous regions of developing countries. This study presents experimental evidence supporting dimensionless analysis approaches for characterizing granular flow behavior, contributing to cost-effective [...] Read more.
Sustainable landslide risk management is critical for achieving resilient communities and supporting the United Nations Sustainable Development Goals, particularly in vulnerable mountainous regions of developing countries. This study presents experimental evidence supporting dimensionless analysis approaches for characterizing granular flow behavior, contributing to cost-effective landslide hazard assessment frameworks. We designed a 4 m experimental flume to investigate the influence of particle characteristics on flow velocity and runout distance, using two materials with contrasting shapes but similar density (~460 kg/m3) and nominal size (~5 mm): uniform crystal beads (φ = 25.2°) and non-uniform crushed granite particles (φ = 36.9°). High-resolution imaging (30 fps, 2336 × 1752 pixels) captured 30 flow experiments from initiation to deposition. Results demonstrate significant differences in flow behavior: crystal beads achieved 50% longer runout distances and 46% higher maximum velocities (380 cm/s vs. 260 cm/s) compared to granite particles. The Savage number (Nsav ) effectively captured fundamental flow-regime differences, with granite particles exhibiting values seven times lower than crystal beads (3.69 vs. 23.91, p < 0.001), indicating greater frictional energy dissipation relative to collisional energy transfer. The Bagnold number confirmed inertially dominated regimes (NBag  > 106) with negligible viscous effects in both materials. These findings demonstrate that accessible material characterization using standard triaxial testing and dimensionless analysis can significantly improve landslide runout prediction accuracy, supporting evidence-based decision-making for sustainable territorial planning and community protection. This research supports the development of practical risk assessment methodologies implementable in resource-limited settings, promoting sustainable development through improved natural hazard management. Full article
(This article belongs to the Section Sustainable Urban and Rural Development)
Show Figures

Figure 1

14 pages, 3277 KB  
Article
Enhancing River Waste Detection with Deep Learning and Preprocessing: A Case Study in the Urban Canals of the Chao Phraya River
by Maiyatat Nunkhaw, Detchphol Chitwatkulsiri and Hitoshi Miyamoto
Water 2025, 17(22), 3193; https://doi.org/10.3390/w17223193 - 8 Nov 2025
Viewed by 1286
Abstract
Plastic waste in river systems represents a major pathway of marine pollution, with rivers estimated to contribute up to 80% of the plastic entering the ocean. This study introduces a deep learning framework with preprocessing for automated detection and tracking of floating plastic [...] Read more.
Plastic waste in river systems represents a major pathway of marine pollution, with rivers estimated to contribute up to 80% of the plastic entering the ocean. This study introduces a deep learning framework with preprocessing for automated detection and tracking of floating plastic waste (macroplastics) in the urban canals of the Chao Phraya River, Thailand. Unlike previous approaches that rely on site-specific retraining or model modification, our method employs a YOLO-based detection model integrated with DeepSORT (Deep Simple Online and Realtime Tracking). The model, initially trained on laboratory flume images, was adapted to real river conditions through a three-step preprocessing pipeline comprising skew correction, background removal, and object region extraction. Experiments on 2000 canal images demonstrated that preprocessing improved the mean Average Precision (mAP) from 0.74 to 0.85, with notable gains for categories such as foam and paper. Testing with a more advanced YOLO architecture further enhanced accuracy, indicating that preprocessing and model upgrades are complementary. These findings suggest that reliable detection and quantification of floating waste can be achieved without retraining. The proposed framework provides a scalable and cost-effective solution for monitoring in data-limited regions, contributing to efforts to mitigate riverine and marine plastic pollution. Future work will address the remaining limitations, as detection performance is still influenced by strong reflections, motion blur, and occlusion, occasionally resulting in missed detections. Full article
Show Figures

Figure 1

22 pages, 2440 KB  
Article
Behaviors of Sediment Particles During Erosion Driven by Turbulent Wave Action
by Fei Wang, Jun Xu and Bryce Vaughan
GeoHazards 2025, 6(4), 66; https://doi.org/10.3390/geohazards6040066 - 15 Oct 2025
Viewed by 945
Abstract
Sediment erosion under turbulent wave action is a highly dynamic process shaped by the interaction between wave properties and sediment characteristics. Despite extensive empirical research, the underlying mechanisms of wave-induced erosion remain insufficiently understood, particularly regarding the threshold energy required for particle mobilization [...] Read more.
Sediment erosion under turbulent wave action is a highly dynamic process shaped by the interaction between wave properties and sediment characteristics. Despite extensive empirical research, the underlying mechanisms of wave-induced erosion remain insufficiently understood, particularly regarding the threshold energy required for particle mobilization and the factors governing displacement patterns. This study employed a custom-built wave flume and a 3D-printed sampler to examine sediment behavior under controlled wave conditions. Rounded glass beads, chosen to eliminate the influence of particle shape, were used as sediment analogs with a similar specific gravity to natural sand. Ten experiments were conducted to systematically assess the effects of particle size, particle number, input voltage (wave power), and water depth on sediment response. The results revealed that (1) only a fraction of particles were mobilized, with the remainder forming stable interlocking structures; (2) the number of displaced particles increased with particle size, particle count, and water depth; (3) a threshold wave power is required to initiate erosion, though buoyancy under shallow conditions reduces this threshold; and (4) wave steepness, rather than voltage or wave height alone, provided the strongest predictor of sediment displacement. These findings highlight the central role of wave steepness in erosion modeling and call for its integration into predictive frameworks. The study concludes with methodological limitations and proposes future research directions, including expanded soil types, large-scale flume testing, and advanced flow field measurements. Full article
Show Figures

Figure 1

11 pages, 1110 KB  
Article
Pulse Frequency and Water Velocity Determine Crossing Probability in Pulsed Direct-Current Fish Barriers
by Wanshuang Yi, Lu Cai, Yun Tan, Bo Xu, Jun Li, Lianwei Liu, Lanlan Xu, David Johnson, Shihong Zhu and Guosheng Yang
Fishes 2025, 10(10), 510; https://doi.org/10.3390/fishes10100510 - 10 Oct 2025
Cited by 1 | Viewed by 615
Abstract
Fish barrier technology by pulsed direct current has broad application potential to guide fish to suitable waters. The primary objective of this investigation was to study the effects of electric pulse frequency and water velocity on fish deterrence by pulsed direct current. The [...] Read more.
Fish barrier technology by pulsed direct current has broad application potential to guide fish to suitable waters. The primary objective of this investigation was to study the effects of electric pulse frequency and water velocity on fish deterrence by pulsed direct current. The test fish were adults of two common carp species, Hypophthalmichthys nobilis (bighead carp, standard length 0.460–0.545 m) and Cyprinus carpio (Eurasian carp, standard length 0.292–0.335 m). Experiments were conducted in the 20 m swimming chamber of a 50 m flume, with a pulsed electric barrier produced by vertical electrodes located in the middle of the swimming chamber. The effectiveness of the electric barrier in deterring fish from swimming upstream past the electrodes was tested. The electric pulse generator produces a square wave pulse, with a voltage of 150 V and width of 2 ms. There were four electric pulse frequency treatments (4 Hz, 6 Hz, 8 Hz, 10 Hz), and two water velocity treatments (0.2 m/s, 0.6 m/s), with 10 replicates of each treatment. There were four primary findings. (1) Of the 160 fish tested, no fish was stunned and only 4 trembled (lost the ability to swim) for more than 2 s after encountering the electric barrier. (2) At a given water velocity, the crossing probability decreased as pulse frequency increased, and the decrease was largest when the frequency increased from 8 to 10 Hz. (3) At a given electric pulse frequency, the crossing probability was higher at the high water velocity, and barrier efficiency was more sensitive to velocity at higher pulse frequencies. (4) H. nobilis, a stronger swimmer, crossed more often than C. carpio. This study can provide ideas for the management of invasive species. However, the study was conducted under controlled laboratory conditions, and field experiments should be carried out before field applications. Full article
(This article belongs to the Special Issue Adaptation and Response of Fish to Environmental Changes)
Show Figures

Figure 1

23 pages, 5537 KB  
Article
Machine Learning Approaches for Simulating Temporal Changes in Bed Profiles Around Cylindrical Bridge Pier: A Comparative Analysis
by Ahad Molavi, Fariborz Ahmadzadeh Kaleybar, Namal Rathnayake, Upaka Rathnayake, Mehdi Fuladipanah and Hazi Mohammad Azamathulla
Hydrology 2025, 12(9), 238; https://doi.org/10.3390/hydrology12090238 - 15 Sep 2025
Cited by 2 | Viewed by 1998
Abstract
Submerged vanes offer a promising solution for reducing scour depth around hydraulic structures such as bridge piers by modifying near-bed flow patterns. However, temporal changes in bed profiles around a cylindrical pier remain insufficiently quantified. This study employs three machine learning models (MLMs), [...] Read more.
Submerged vanes offer a promising solution for reducing scour depth around hydraulic structures such as bridge piers by modifying near-bed flow patterns. However, temporal changes in bed profiles around a cylindrical pier remain insufficiently quantified. This study employs three machine learning models (MLMs), gene expression programming (GEP), support vector regression (SVR), and an artificial neural network (ANN), to simulate the temporal evolution of the bed profile around a cylindrical pier under constant subcritical flow. We use a published laboratory flume dataset (106 observations) obtained for a pier of diameter D=6cm and uniform sediment with median size D50=0.43mm. Geometric/layout parameters of the submerged vanes (number n, transverse offset z, longitudinal spacing e, and distance from the pier base a) were fixed at their reported optima, and subsequent tests varied installation angles α to minimize scour. Models were trained on 70% of the data and tested on 30% using dimensionless inputs (t/te,α1,α2,α3) with t the elapsed time from the start of the run and te the equilibrium time at which scour growth becomes negligible and response s/D with s the instantaneous scour depth at time t. The GEP model with a three-gene structure achieved the best accuracy. During training and testing, GEP attained (RMSE, MAE, R2, (Ds/D)DDR(max))=(0.0864,0.0681,0.9237,4.25) and (0.0729,0.0641,0.9143,4.94), respectively, where Ds denotes scour depth at equilibrium state, D is the pier diameter, and DDR(max)max(Ds/D) is the maximum dimensionless depth ratio observed/predicted. Full article
Show Figures

Figure 1

Back to TopTop