Next Article in Journal
Effects of Bioleaching Pretreatment on Humus Fractions and Electron Transfer Capacity During Aerobic Composting of Dewatered Sludge
Next Article in Special Issue
New Approach for Design of Broad-Crested Weirs with Exponential Sections
Previous Article in Journal
Differentiated Evolution of Two Mid-Channel Bars in the Middle Yangtze River’s Urban Reach: Coupled Drivers and Terrestrial Habitat Assessment
 
 
Font Type:
Arial Georgia Verdana
Font Size:
Aa Aa Aa
Line Spacing:
Column Width:
Background:
Article

Comparison of Hydraulic Behavior of Single-Baffled Block Stepped Spillways Between Regular and Irregular Designs

by
Hassan Jasim Alrikaby
1,
Abdul-Hassan K. Al-Shukur
2,
Ahmed Mageed Hussein
3,4,*,
Halah Kadhim Tayyeh
1,*,
Brahim Benzougagh
5,6,
Qosai S. Radi Marshdi
1,
Amnah Alasqah
7 and
Khaled Mohamed Khedher
8
1
Water Resources Management Engineering Department, College of Engineering, Al-Qasim Green University, Babylon 51013, Iraq
2
Civil Engineering Department, College of Engineering, University of Babylon, Babylon 51002, Iraq
3
Imam Ja’afar Al-Sadiq University, Baghdad, Iraq
4
Center for the Restoration of Iraqi Marshes and Wetlands, Ministry of Water Resources, Baghdad, Iraq
5
Geophysics and Natural Hazards Laboratory, Department of Geomorphology and Geomatics, Scientific Institute, Mohammed V University in Rabat, Avenue Ibn Batouta, Agdal, P.O. Box 703, Rabat-City 10106, Morocco
6
Laboratory of Geoengineering and Environment, Cartography and Tectonophysics Team (CaTec), Department of Geology, Faculty of Sciences, Moulay Ismail University, Meknes-City 50050, Morocco
7
Department of Geography, Princess Nourah bint Abdulrahman University, P.O. Box 84428, Riyadh 11671, Saudi Arabia
8
Department of Civil Engineering, College of Engineering, King Khalid University, Abha 61421, Saudi Arabia
*
Authors to whom correspondence should be addressed.
Water 2026, 18(5), 629; https://doi.org/10.3390/w18050629
Submission received: 5 February 2026 / Revised: 20 February 2026 / Accepted: 2 March 2026 / Published: 6 March 2026
(This article belongs to the Special Issue Advances in Open-Channel Flow Hydrodynamics)

Abstract

This study evaluated the hydraulic performance of regular and irregular stepped spillways experimentally to reduce the hydraulic leap length and enhance energy dissipation. The study tested fourteen physical models with 40° and 45° slopes and step numbers of 5 and 10, analyzing the effect of a single barrier block and its horizontal position through 98 rectangular flume experiments to evaluate energy dissipation and hydraulic jump length. The results showed that when the nappe flow transitioned to the skimming flow, energy dissipation decreased as discharge increased. Irregular stepped spillways achieved higher energy dissipation than regular ones by about 10–25%, with five-step models outperforming ten-step models due to increased turbulence. A strong positive relationship between discharge and hydraulic jump length was also observed, with jump length increasing by approximately 30–45% at 40° and 45° slopes. Five-degree irregular stepped spillways produced the shortest hydraulic jump lengths, confirming that step irregularity reduces downstream residual energy. Adding a single barrier block improved performance by shortening the hydraulic jump by about 20–35%, especially at higher discharges, with the optimal position at B/2. Overall, an irregular stepped spillway with a barrier block at B/2 was identified as the most effective configuration, enabling shorter hydraulic jumps, smaller stilling basins, and more efficient and economical spillway designs.

1. Introduction

Essential hydraulic structures called spillways are made to securely move excess reservoir water and safeguard dam integrity during periods of high inflow [1,2,3]. The hydraulic operation of a spillway is primarily determined by subjective factors such as the overall geometry of the component pieces, as well as the slope angles and dissipative effects of energy from flow moving past the face of the spillway [4,5]. As a rule, spillways serve as protection devices for preventing high hydraulic pressures associated with large discharges from damaging sensitive elements of dams and allow for flow control via regulated discharges through gates or valves [6,7,8,9,10,11,12,13,14]. The majority of the time, spillways will only operate when reservoir elevations exceed the maximum available storage capacity for that reservoir [15,16,17]. Additional operations may occur during regulated release of elevated reservoirs due primarily to water supply or hydropower generation [18,19,20].
The hydraulics of stepped spillways where flows have occurred in the nappe, transitional, and skimming flow regimes have been examined in numerous published works [21,22]. Experimental analyses of these spillways have determined the best combinations of step heights and slope angles to provide the optimum levels of turbulence, air entrainment, and energy dissipation efficiency [23]. Pressure distribution and residual energy relationships have been derived for stepped surfaces, and they indicate that energy dissipation increases with the roughness of the surface and its geometric complexity [24,25]. Variation in ridge shape (e.g., linear, zigzag, and curved) can also affect the turbulence structure and hydraulic performance of stepped spillways [26].
The hydraulic performance of stepped spillways is still highly influenced by the slope angle, discharge circumstances, and the spillway’s geometric configuration, despite notable improvements. The use of stepped spillways as a method of energy dissipation has become very prevalent because of the efficiency of the stepped spillway at dissipating energy when compared with traditional smooth spillways. In some situations, over 77 percent (with an optimized configuration) [27,28,29] of the remaining energy in the water is eliminated. However, many technical and economic factors must also be considered when designing and constructing stepped spillways. The costs associated with spillway structures can constitute a large percentage of the total cost of the construction of the dam, particularly in small dam projects [30,31,32,33,34,35]. Steep slopes are associated with a high-velocity flow of water, which creates supercritical conditions (Froude number greater than 1) and may contribute to cavitation, structural stresses, and residual energy at the spillway toe [32,33]. The phrase “high-velocity flow” in this paper exclusively describes the circumstances of supercritical water flow over stepped spillway chutes.
The effort to develop macro-roughness (to create turbulence and enhance the dissipation of residual energy) has gained considerable attention, as reflected in the amount of research conducted during recent years [8,9,36,37,38]. The influence of different stepping sequence types, slope angles, and surface geometric shapes on the character of the hydraulic jump and the distribution of energy downstream is significant. While stepped surfaces have been widely used, few studies have attempted to include other methods (such as barriers) to create greater disturbance to the flow pattern and/or provide additional mechanisms for dissipating energy. Also, obstructions or macro-barrier-type elements generally alter the recirculation pattern of the flow downstream, increase air entrainment, and reduce downstream kinetic energy more than would be possible using smooth or merely stepped surfaces.
To date, however, very little research has been performed on the effects of regularly and irregularly stepped geometries with one barrier block, and how those relationships will play out on relatively steep slopes (i.e., 40 and 45 degrees). Most previous experiments have either only tested step types or slope angles separately and never considered the overall hydraulic performance of a single-barrier configuration through various geometric arrangements and under supercritical flow conditions. The originality of the present study lies in experimentally comparing regular and irregular stepped spillways equipped with a single barrier block under identical slope and discharge conditions to quantify differences in energy dissipation efficiency and hydraulic jump characteristics.
Accordingly, this study experimentally investigates two stepped configurations (regular and irregular) installed at slopes of 40° and 45°, incorporating a single barrier block to enhance macro-roughness effects. The analysis evaluates energy dissipation efficiency, residual specific energy, and hydraulic jump length under supercritical flow conditions. The findings aim to clarify the hydraulic role of a single macro-barrier element in steep stepped spillways and to provide design-oriented recommendations for improving operational efficiency, minimizing structural risk, and enhancing hydraulic stability.

2. Theoretical Basis for Calculating Energy Dissipation in Stepped Flooders

Energy dissipation in stepped spillways is commonly quantified using the classical energy balance approach adopted in stepped chute hydraulic. The dissipation process results from turbulence generation, boundary shear stresses, flow aeration, and macro-roughness effects induced by step geometry and slope inclination. Under steep slope conditions, the dominant dissipation mechanism is governed by the established flow regime (nappe or skimming), which controls residual energy at the chute toe.

2.1. Energy Dissipation Ratio

The hydraulic performance of the tested configurations was evaluated using the relative energy dissipation ratio based on the classical specific energy balance commonly adopted in stepped spillway hydraulics. This approach quantifies the reduction in specific energy between the upstream control section and the downstream section at the spillway toe.
The relative energy dissipation rate across a stepped spillway can be calculated using the following relationship:
E E O % = ( E o E 1 ) E o %
where
∆E: energy differential between the stepped spillway’s upstream and downstream structures.
E o : is the energy that is present before the spillway.
E 1 : is energy that flows downstream from the spillway.
This relationship shows the proportion of energy wasted as a result of flow and spillway geometry interacting. The higher this percentage, the greater the efficiency in energy dissipation.

2.2. Energy at the Spillway Crest

Specifically, the critical section near the top of the spillway is where the specific energy of the flow is determined using the following relationship:
E o = 1.5 y c + H d
where
E o : The stepped spillway crest’s maximum energy.
H d a m = H s p i l w a y = 30   c m represents the geometric height of the experimental spillway model constructed within the laboratory flume. This value was not derived from the broad-crested weir discharge equation; rather, it corresponds to the fixed structural height of the physical model used in the experimental program.
The parameter yc represents the critical flow depth at the spillway crest control section. It was determined based on the critical flow condition for rectangular channels, assuming steady, one-dimensional flow and negligible energy losses at the crest. Under critical flow conditions (Froude number = 1), the critical depth was calculated using the standard relationship:
yc = (q2/g)1/3
where
q is discharge unit and
g is the acceleration of gravity. The discharge unit was obtained from measured flow rates divided by the channel width.
This assumption is consistent with conventional stepped spillway crest analysis, where the crest section is treated as a control section operating under critical flow conditions.
The term 1.5 yc is derived from the critical flow theory in open channels, where the specific energy at the critical cross-section is equal to 1.5 times the critical depth, a common assumption in spillway flow analysis.

2.3. Energy at the Spillway Toe

The specific energy of the flow at the bottom of the spillway at the step-down base is calculated using the following equation:
E 1 = y 1 + α V 1 2 2 g
E 1 : energy of the stepped spillway downstream
y 1 : depth of the toe in the water
V 1 : Depth of velocity y1
V 1 = q y 1
α: For turbulent flow, the kinetic correction coefficient is typically equal to 1.
g: Accelerations Due to Gravity;
The deference results reflect the amount of energy dissipated by the geometric roughness of the steps, flow turbulence, eddy formation, and air intrusion. An increased number or irregularity of steps, along with the presence of obstructions, enhances these phenomena, lowering the energy that remains at the mouth and speeding up the rate of energy dissipation to lower the risk of erosion and cavitation.

3. Experimental Work

The experiment was carried out in a rectangular cross-sectioned conduit that was 12 m long overall, 0.30 m wide, and 0.45 m high. The channel was located in the University of Babylon’s College of Engineering’s fluid mechanics lab. The experimental channel was designed for a closed water-circulatory system to help provide constant flow rates during experimentation; therefore, flow rates could be measured and controlled by means of a calibrated flow meter. The maximum capacity of the pump for this channel was 30 L/s, giving the ability to conduct experiments with a variety of flow rates. Water surface elevations were measured with a precision level gauge at many locations upstream and downstream of the spillway to assist researchers in tracking flow pattern evolution along the channel. The elevation of the upstream water level where the measurements were taken is at least 9 yc. Additionally, peak length for each model, along with the radius of curvature of the spillway’s upper face, was computed using the reference data and formulas from [39]. Collaborating and comparing model data using consistent shapes and dimensions will yield accurate results. Figure 1 depicts the geometric configurations of the laboratory flow channel that was implemented in this research, while also showing both the major dimensions and the orientation of each element of the flow system within the water channel. Figure 2 provides an overall view of how the experimental work was performed in accordance with the defined methodology, as well as the methods in which the experimental work was executed within the laboratory and how the data collected were analyzed to arrive at meaningful conclusions.

3.1. Model Description

To determine the spillway crest length and upper face curvature, eight models (stepped spillway) were made from waterproof plywood and were geometrically consistent. All models were assigned the same height (30 cm) but had two angles of inclination (θ = 40° and θ = 45°) and two different step counts (5 and 10 steps). The selection of 40° and 45° slopes was intentional to represent steep spillway configurations typically associated with supercritical skimming-flow regimes and high energy dissipation demand. By establishing two different angle increments, investigators were able to evaluate the hydraulic behavior at somewhat extreme discharge conditions, while remaining within widely acceptable ranges for the design of stepped spillways or weirs.
In addition, two different step counts were utilized (i.e., 5 and 10 steps), which represent moderate and high step densities along the length of the chute, respectively. Using this as a relative benchmark allowed investigators to determine if there is a proportional relationship between the number of steps added to the chute being investigated and the amount of energy dissipated, or if changes in flow regime would limit the usefulness of adding additional steps. Also, comparison of the two configurations created a way for investigators to evaluate the influence of geometric frequency on turbulence and residual flow energy development.
Furthermore, each set of models had a common overall dimension (30 cm in width, 30 cm in height, 20 cm in length at the spillway crest, and a radius of curvature of 2 cm). Maintaining identical global dimensions ensured hydraulic consistency and allowed the influence of slope angle and step configuration to be evaluated independently of scale effects. Each angle was designed with four different step heights so that the effect of the geometric gradient on hydraulic behavior (energy dissipation) could be evaluated, and is illustrated in Table 1. Figure 3 shows how all models of stepped spillways differ from one another based on regular vs. irregular steps, number of steps, and angles of inclination.
The experimental channel was constructed from smooth glass panels to minimize boundary friction effects. The stepped models and the single barrier blocks were fabricated from waterproof plywood and coated with a smooth waterproof paint layer to reduce surface irregularities and ensure a hydraulically smooth surface. Therefore, material roughness was considered negligible compared to the geometric roughness introduced by the step configuration and barrier geometry, which represent the primary mechanisms governing turbulence generation and energy dissipation in this study. Nevertheless, the potential influence of material roughness is acknowledged as a limitation of the experimental setup.

3.2. Description of Baffled Block

To enhance hydraulic energy dissipation, models equipped with barrier blocks were adopted for both regular and irregular configurations. Each model included a single barrier block mounted on the first step at varying horizontal distances from the step edge: B/2, B/2.5, and B/3. These blocks were mounted on a physical model with a 45° inclination and a 10-degree pitch, after this configuration was identified as the least energy-efficient in the first phase of the study. Thus, a total of six models of stepped spillways equipped with barrier blocks were developed. Experiments were conducted in the laboratory channel using various models of stepped spillways, including regular and irregular models, as well as models equipped with barrier blocks at different locations. Water was operated at a range of flow rates to cover the required flow range, as shown in Table 2. Data on water depth, velocity, location of the hydraulic jump, and energy rise at the top and bottom of the spillway were recorded, and the energy dissipation efficiency of each model was then calculated and evaluated.

4. Results and Discussion

4.1. Effect of Discharge Rate and Number of Degrees on Energy Dissipation at a Constant Tilt Angle

4.1.1. Energy Dissipation for 40° Spillway Angles

In both regular and irregular layouts with five and ten steps, Figure 4 illustrates the relationship between the discharge (Q) and the flow energy dissipation ratio (ΔE/E0%) for stepped spillways at a constant slope angle of 40°. A general decreasing trend of energy dissipation with increasing discharge is observed for all models, which is consistent with typical stepped spillway behavior reported in previous studies.
This reduction is primarily attributed to the gradual transition of the flow regime as discharge increases. For low discharge conditions, flow is dominated by nappe or transitional regimes, where flow aeration, flow separation, and repeated impacts of the water downstream on each of the step edges contribute to the turbulence and energy loss associated with flow over the steps. The skimming flow regime, which is characterized by a continuous stream of water passing over the tops of each step with minimal contact with the voids of the steps below, is reached with greater outputs. As a result, turbulence intensity and local recirculation zones decrease with increasing discharge, resulting in lower energy dissipation efficiency.
Despite the general trend, there are some fluctuations in the values at intermediate discharge rates. These fluctuations, in spite of being a deviation from a complete monotonic trend, can be attributed to localized hydraulic interactions between the hydraulic properties of the basin’s step and flow, especially in the regions close to the transitions to the skimming flow regime. Therefore, before the flow is fully established, energy dissipation efficiency can be impacted by changes in the air entraining properties of the flow, the location of the water surface, and the amount of flow separation occurring at a step, skimming flow.
From a stepping configuration perspective, a ten-step irregular configuration (irregular spacing between steps) was predicted to produce the least amount of energy dissipation at the medium and high discharge rates. In contrast to the previous finding, the ten irregularly spaced steps were able to create a more coherent surface flow layer, and thus could create less frequent flow separation/re-circulation zones. Therefore, the increase in step number and non-uniform step spacing contributed to the ability to create a smoother overall flow surface at the steps, resulting in greater flow efficiency. The staggered steps had the greatest amount of energy dissipation, especially when the flow was low. The gaps in between each step create more localized turbulence, increase flow separation, and create more eddies than compared with the uniform step-length configuration. As a result, energy loss was greater with the five-step staggered configuration compared to the four-step staggered configuration.
The number of steps and energy dissipation have a nonlinear correlation that is dependent on the flow regime and the step arrangement’s geometry. The assumption has generally been that adding another step to the flow will improve energy dissipation; however, at a 40-degree slope, there are times when adding too many staggered steps negatively affects energy dissipation when the flow is higher. These types of findings have been well documented in laboratory studies of stepped spillways, with the onset of skimming flow directly relating to reduced relative energy dissipation when compared to nappe flows. Comparable transitional fluctuations have also been reported in previous experimental studies, especially near regime transition thresholds where flow becomes highly sensitive to small discharge variations.

4.1.2. Energy Dissipation for 45° Spillway Angles

Figure 5 shows how the energy dissipation ratio (ΔE/E0%) and the discharge rate (Q) relate in stepped spillways at 45 degrees. The data show an overall decrease in the energy dissipation ratio as discharge increases, which is consistent with the way hydraulic systems transition from an intermediate flow to a rapid surface flow, as steps do not create as much turbulence and thus produce less energy loss as they are submerged. Comparing the impacts of the number of steps, it can be seen that the irregular spillway with five steps had the highest energy dissipation ratio at most discharge values. This enhanced energy loss can be attributed to the increased irregularity of the surface and the increase in local turbulence due to increased water velocity in these locations. However, because of its smoother flow over a larger number of steps and quick transition to surface flow, which shortens the time the flow interacts with the dissipation elements, particularly at high discharges, the ten-step irregular spillway has the lowest energy dissipation efficiency.
The results also indicate that increasing the pitch angle to 45°, compared to lower angles, enhances flow velocity and thus reduces residence time above the steps, which limits dissipation efficiency at high discharges. However, the effect of irregular geometry remains evident, as it improves hydraulic performance relatively compared to regular geometries, particularly at low and medium discharges.

4.2. The Effect of Different Distributions of Baffled Blocks on Energy Dissipation

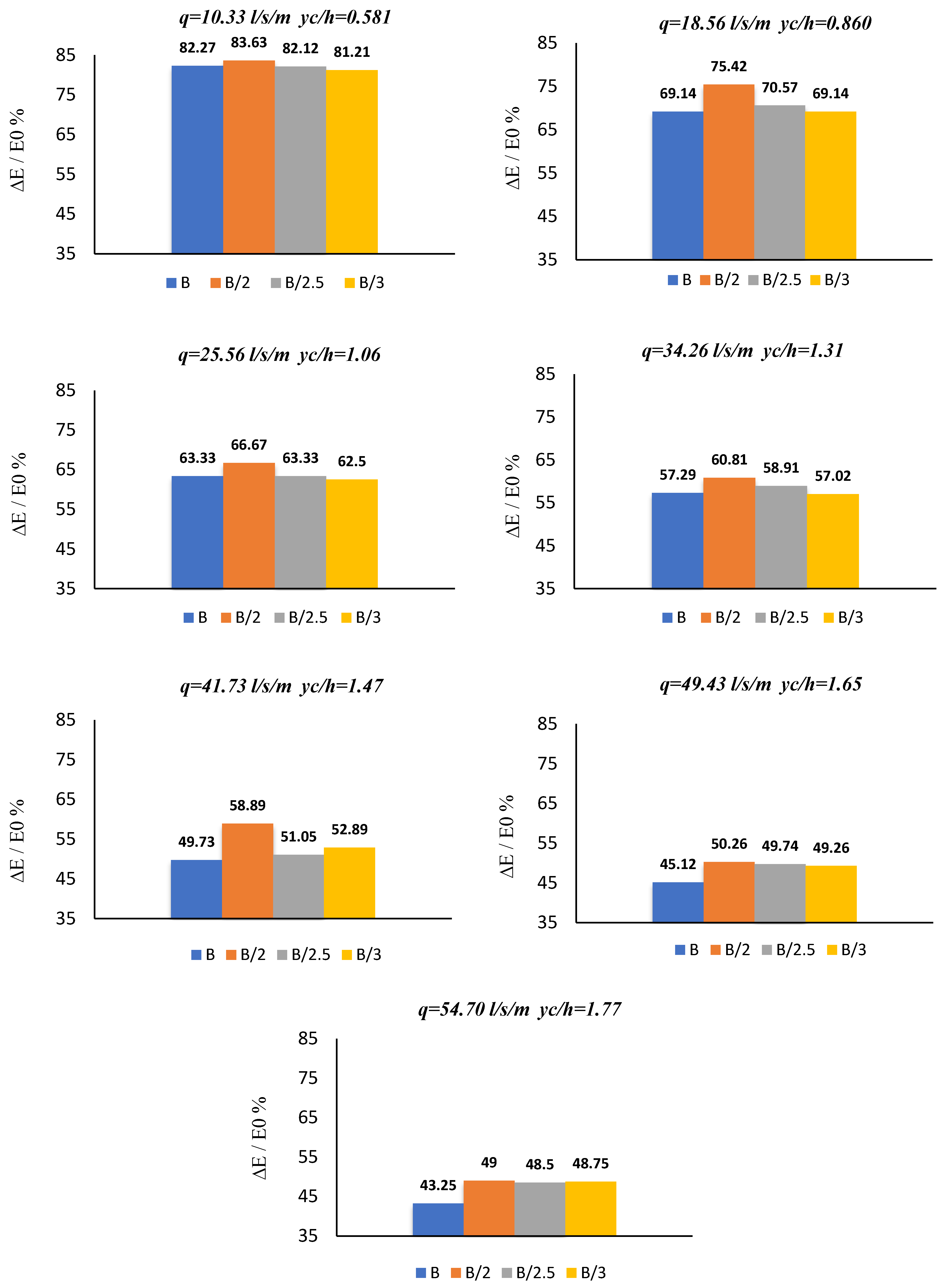
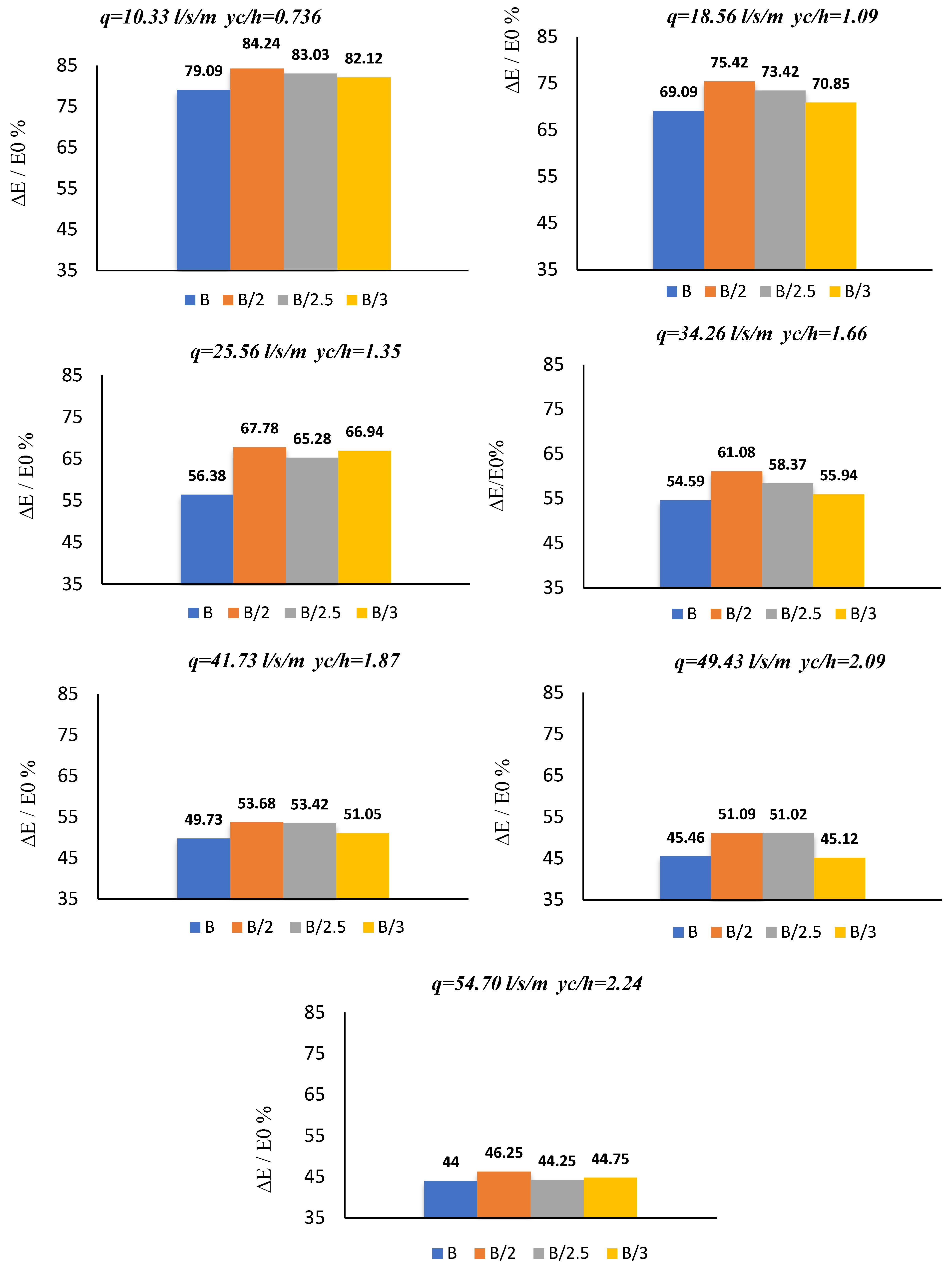
An experimental investigation was carried out on a physical model of a 45° inclined, ten-step cascade spillway for both regular and irregular designs in order to attain the maximum flow energy dissipation efficiency. Researchers positioned one barrier block on the top step and examined how the block’s placement affected the flow’s hydraulic properties in comparison to a control flow condition, which is when there is no barrier block, for three different barrier block placements (B/2, B/2.5, and B/3). When a barrier block was used, the energy dissipation ratio was higher than when the same hydraulic flow was not used. Higher energy dissipation ratios were due to an increase in local turbulence near the barrier block, a better early separation of the flow before reaching the tip of the spillway, and a higher intensity of air-water mixing immediately past the spillway crest. Additionally, by placing the barrier block on the top step, it also decreased the velocity of the flow as it flowed over the spillway during the first several steps, which helped improve the overall efficiency of the converted energy for the rest of the steps.
Further research indicates that where a barrier block is placed plays a significant role in achieving energy dissipation. Positioning the barrier block at B/2 produced the most significant energy loss because this location permits a balanced hydraulic flow where flow impinges and avoids excessive flow or irregular jumps allowing for a strong, stable eddy formation leading to increased energy loss. In contrast, the closer or farther positions (B/2.5 and B/3) resulted in a relative decrease in dissipation efficiency due to reduced effectiveness of the interaction between the flow and the barrier mass as illustrated in Figure 6 and Figure 7. However, while most previous studies focused on multiple baffle blocks or uniformly distributed obstacles, the present results highlight the hydraulic effectiveness of a single barrier block placed strategically on the upper step. The findings show that dissipation efficiency is highly sensitive to block position, with the B/2 location providing optimal flow–obstacle interaction and stable recirculation structures. This behavior emphasizes that not only the presence of obstacles but also their relative positioning along the flow path governs the magnitude of energy loss.

4.3. Effect of Discharge Rate and Number of Steps on Hydraulic Jump Length at a Constant Slope

4.3.1. Spillway Way at 40° Angle

The findings in Figure 8 clearly illustrate a direct correlation between the hydraulic jump length (Lj) of the 40° inclined step spillways and the discharge rate (Q). Because increasing the discharge boosts the flow kinetic energy and the Freud number at the spillway base, a longer distance is needed to shift from supercritical to subcritical flow. The behavior described above corresponds to the basic hydraulic principles of hydraulic jumps, where an increase in the rate of the incoming flow into a settling basin will result in a longer length of hydraulic jump. The data from the various models demonstrate that Sample M2 (which is an irregular five-stepped spillway) has the smallest hydraulic jump lengths for most of the flow rates tested. The reason for this is that, because of the irregular geometric form of the steps, there is more turbulence and hence more energy is dissipated before it enters the settling basin, resulting in less residual velocity and therefore less jump length is required for stabilization. Additionally, because the steps on Sample M2 have a lower number of steps, the energy lost is concentrated and intense. In contrast, when the steps are more numerous (as is the case for other Models), the energy loss is more uniformly distributed over a longer distance.
The findings demonstrate that a 40° slope angle offers a better balance between the flow rate and the dissipation element’s reaction time, enabling a larger impact of irregular stepping in shortening the hydraulic jump’s duration. In practice, cutting the jump length has a clear benefit from a design standpoint since it will result in a smaller stilling basin with lower building and maintenance expenses.

4.3.2. Spillway Way at 45° Angle

Figure 9 shows a strong relationship between the discharge rate (Q) and the hydraulic jump length (Lj) of the stepped spillways at a 45° slope. It takes more distance to convert supercritical flow to subcritical flow via a hydraulic leap as discharge increases because it raises the flow kinetic energy and Froude number at the spillway’s bottom. This behavior is supported by hydraulic theory, in which hydraulic jump lengths increase with increasing inflow to a settling basin. The M10 model representing the irregular five-step stepped spillway produced shorter hydraulic jump lengths over most of the range of discharges compared to other models. This behavior is a result of the combined effect of the irregular steps with their fewer steps, minimizing the residual velocity at the spillway’s end and reducing the hydraulic jump length needed for hydraulic stabilization by permitting maximal energy loss along the spillway body prior to reaching the slope’s bottom. Furthermore, the reduction in hydraulic jump length observed for the irregular five-step configuration (M2) agrees with studies indicating that enhanced upstream energy dissipation directly reduces residual velocity and consequently shortens the required stabilization length downstream.
Additionally, increasing the slope angle beyond 40° caused a marked acceleration of flow due to lessening the response of the flow to the steps. This is evidenced through the relative increase in jump lengths for the same discharge rates with a 45° slope versus a 40° slope. The effect of nonsymmetrical shapes/angles on hydraulic jumps has been confirmed as an effective limitation to jump length confirming that the design of the steps is paramount for controlling hydraulic behavior downstream from spillways (as per the previous discussion). From a practical standpoint, reducing the hydraulic jump length is a significant design advantage, as it directly translates to smaller stilling basin dimensions and reduced construction costs.

4.4. Effect of Baffled Blocks on the Length of the Hydraulic Jump with a Constant Number of Steps

4.4.1. Regular 10 Steps at Angle 45° with First Case One Baffled Blocks

Figure 10 illustrates the relationship between discharge rate (Q) and hydraulic jump length (Lj) for a regular ten-step spillway at a 45° slope with different horizontal distributions of a single barrier block, in addition to the barrier-free reference condition. The results indicate that Lj increases with increasing discharge, which is hydraulically consistent with classical jump theory. As discharge increases, the incoming Froude number and flow momentum at the spillway toe increase, requiring a longer roller length to dissipate excess kinetic energy and finalize the flow’s change from supercritical to subcritical.
This behavior is drastically altered by the inclusion of a barrier block, which shortens the hydraulic jump length in comparison to the reference model (M7), which exhibited the longest jump across most discharge values. In the absence of a barrier element, the supercritical jet reaches the stilling basin with higher residual velocity and momentum, thereby requiring a longer stabilization distance. In contrast to not having any barrier block, the addition of a barrier block allows for the production of upstream turbulence, enhances momentum exchanges, causes early flow separation, and creates localized air entrainment, all of which result in additional energy being dissipated (before entering the basin).
The M9 model configuration (regular 10-step spillway with only one barrier block located at B/2) produced the shortest lengths of hydraulic jumps tested. This appears to be due to the most effective interaction taking place between the supercritical flow core and the barrier block. Furthermore, as is evidenced by the maximum production of stable recirculation zones and early energy dissipation, the residual velocity at the toe of a spillway has been greatly reduced, thus shortening the length of the jump required to achieve a particular discharge.
This is consistent with previous research conducted on baffle blocks and other related energy dissipators, which have indicated that increasing the level of turbulence upstream has a documented direct correlation to reduced lengths of hydraulic jumps downstream without an effect on the fundamental Q–Lj relationship. While barrier blocks have a reduced effect on the magnitude of hydraulic jump length, they do not change the governing hydrodynamic mechanism of formation of hydraulic jumps that occur in cascading spillways, but rather provide an upstream modification of energy; their greatest effectiveness occurring at points where the magnitude of discharge is high enough to cause excessive amplification of kinetic energy leading to excessive lengths of hydraulic jumps.

4.4.2. Ten Irregular Steps at a 45° Angle with One Baffled Block in the First Instance

The relationship between hydraulic jump length (Lj) and discharge rate (Q) for a 10-degree irregular stepped spillway with different barrier block distributions and an example of a control condition without barrier blocks is shown in Figure 11. The results show that the high kinetic energy of the flow causes a predictable hydraulic reaction: the hydraulic jump length typically increases with increasing discharge, and the Freudian number at the spillway end, requiring a longer distance to transition from supercritical to subcritical flow.
Despite this general trend, the introduction of barrier blocks significantly reduced the hydraulic jump lengths compared to the control condition (model M8), which exhibited the longest hydraulic jump across most discharge values. This difference is attributed to the absence of barrier elements in the control condition, allowing the high-velocity flow to continue without sufficient energy loss before entering the settling basin.
As can be seen in the data analyzed, the combination of the irregular degrees of the M12 model and the barrier block at B/2 produced the shortest length of the hydraulic jump.
However, while most previous investigations examined multiple baffle blocks or uniformly spaced obstacles, the present results demonstrate that even a single strategically positioned barrier block (B/2) on an irregular 45° stepped spillway can significantly control jump development. This finding emphasizes that block location relative to the approaching supercritical jet plays a more decisive role than merely increasing the number of obstacles.
The unique characteristics of the irregular degrees combined with the placement of the barrier block in a position where it was effective created the greatest amount of turbulence and local flow separation during the early part of the flow, thereby allowing energy to dissipate quickly, reducing the residual velocity at the base of the spillway, and consequently reducing the distance to form a hydraulic jump. It was shown that the impact of the barrier blocks was most noticeable during the discharge of high flow because they helped to constrain the significant increase in jump length due to the greater kinetic energy of the flow. Although various placements of the barrier blocks were used, the hydraulic behavior of the flows remained the same both before and after their use in terms of how they affected jump lengths, and a direct relationship between jump length and discharge was retained. Therefore, the function of the barrier blocks is to lower the absolute values of jump lengths but not to change the basic hydraulic pattern.

5. Conclusions

The hydraulic performance of regular and irregular stepped spillways under steep slope circumstances (40° and 45°) was experimentally examined in this work, focusing on the combined influence of step number, geometric regularity, and single barrier block positioning on energy dissipation efficiency and hydraulic jump development. The results confirm that energy dissipation efficiency decreases with increasing discharge due to flow regime transition from nappe/transitional flow to skimming flow, where reduced step–flow interaction limits turbulence generation. The results indicate that when designing spillways, designers should give primary consideration to anticipated operating discharge ranges as opposed to relying purely on geometrics and hydraulic resistance assumptions related to the geological makeup of the stream valley.
Based upon the data collected during the hydraulic testing program, irregularly stepped spillways had better hydraulic performance under moderate (to low) discharges than regularly stepped spillways (up to a slope of 45°), and increasing the number of steps on a spillway from 5 to 10 produced lower yields for the measured efficiency of energy dissipation. The increase in the number of steps caused the flow within the spillway (skimming flow) to develop in a smoother condition, causing energy to be redistributed downstream from the spillway. Therefore, the number of steps on a stepped spillway must be optimized based on both slope angle(s) and discharge conditions.
The results from the hydraulic jump testing indicate that there is a strong positive correlation between discharge and the length of hydraulic jumps for both slope angles, confirming classical hydraulic jump theory; however, by modifying the geometry of the spillway upstream from a hydraulic jump, it is possible to significantly change downstream stabilization requirements. For example, installing an obstacle (barrier) upstream of the hydraulic jump reduced residual energy downstream from the hydraulic jump and decreased the hydraulic jump length without changing the basic Q–Lj relationship. Lastly, when the position of the obstacle was tested at B/2, it caused the most effective reduction in residual energy from the spillway because of how early it disturbed the flow and generated turbulence.
From an engineering perspective, the irregular ten-step spillway at 45° equipped with a single barrier block at B/2 achieved the most balanced hydraulic performance, combining enhanced energy dissipation with minimized hydraulic jump length. This configuration has practical implications for reducing stilling basin dimensions, improving structural safety under high discharge conditions, and potentially lowering construction and maintenance costs. Overall, the study demonstrates that optimizing stepped spillway performance requires an integrated evaluation of slope angle, step arrangement, and obstacle positioning rather than isolated modification of a single parameter. These findings provide experimental insight to support more efficient and hydraulically reliable spillway design under steep flow conditions.

Author Contributions

H.J.A.: Data Curation, Formal Analysis, Investigation, Methodology, Resources, Writing the Original Manuscript, Writing and Reviewing the Manuscript, Calibration. A.-H.K.A.-S.: Supervisor, and Project Administration. A.M.H.: Investigation, Methodology, Writing and Reviewing the Manuscript. H.K.T.: Formal Analysis, Investigation, Methodology, Resources, Writing and Reviewing the Manuscript, Calibration. B.B.: Reviewing the manuscript. Q.S.R.M.: Reviewing the manuscript. A.A.: Funding. K.M.K.: Reviewing the manuscript. All authors have read and agreed to the published version of the manuscript.

Funding

This research was funded by the Deanship of Scientific Research at Princess Nourah bint Abdulrahman University Researchers Supporting Project number (PNURSP2026R668), Princess Nourah bint Abdulrahman University, Riyadh, Saudi Arabia.

Data Availability Statement

All data generated or analyzed during this study are included in this manuscript and on Zenodo under license with public access https://doi.org/10.5281/zenodo.18672912.

Acknowledgments

The Authors extend their appreciation to the Deanship Scientific Research at Princess Nourah bint Abdulrahman University. Princess Nourah bint Abdulrahman University Researchers Supporting Project number (PNURSP2026R668), Princess Nourah bint Abdulrahman University, Riyadh, Saudi Arabia.

Conflicts of Interest

The authors declare no competing interests.

References

  1. Kondolf, M.; Yi, J. Dam renovation to prolong reservoir life and mitigate dam impacts. Water 2022, 14, 1464. [Google Scholar] [CrossRef]
  2. Heidarzadeh, M.; Feizi, S. A cascading risk model for the failure of the concrete spillway of the Toddbrook dam, England during the August 2019 flooding. Int. J. Disaster Risk Reduct. 2022, 80, 103214. [Google Scholar] [CrossRef]
  3. Anajwala, P.A.; Desai, A.K.; Patel, J.N. Evaluating the Safety of Spillway Structures in Concrete Gravity Dams: A Comprehensive Risk Analysis Under Diverse Loads. J. Inst. Eng. Ser. A 2025, 106, 469–488. [Google Scholar] [CrossRef]
  4. Shirinzad, A.; Kumahor, S.; Tachie, M.F.; Ghamry, H.; Katopodis, C. Investigation of turbulent flows using spillway models aiming to aid downstream migration of fish. River Res. Appl. 2023, 39, 1110–1121. [Google Scholar] [CrossRef]
  5. Xiang, S.H.; Zhou, J.W.; Qin, T.; Yang, X.G.; Liao, H.M. Flume experimental study on the landslide dam breaching behavior with different spillway morphology. Nat. Hazards 2025, 121, 22211–22236. [Google Scholar] [CrossRef]
  6. Chaube, U.C.; Pandey, A.; Singh, V.P. Operation of dams and barrages. In Canal Irrigation Systems in India: Operation, Maintenance, and Management; Springer Nature: Cham, Switzerland, 2023; pp. 149–169. [Google Scholar]
  7. Chalisgaonkar, R.; Mohan, M. Check Dam Designs: A Practice-Oriented Approach; CRC Press: Cambridge, MA, USA, 2025. [Google Scholar]
  8. Sukerta, I.M.; Chen, T.C.; Mardizal, J.; Salih, S.M.; Zulkarnain, I.; Islam, M.Z.; Majeed, M.S.; Mahdi, A.B.; Mutlak, D.A.; Aravindhan, S. Comparison of lateral spillway and morning glory spillway performance in flood control. J. Water Land Dev. 2022, 53, 187–191. [Google Scholar] [CrossRef]
  9. Schleiss, A.J.; Erpicum, S.; Matos, J. Advances in spillway hydraulics: From theory to practice. Water 2023, 15, 2161. [Google Scholar] [CrossRef]
  10. Bocko, J.; Pastor, M.; Hagara, M.; Lengvarský, P. Identification of the failure causes of the water dam gate valves control mechanism. Eng. Fail. Anal. 2023, 152, 107468. [Google Scholar] [CrossRef]
  11. Sene, K. Reservoirs and Tidal Barriers. In Hydrometeorology: Forecasting and Applications; Springer Nature: Cham, Switzerland, 2024; pp. 399–420. [Google Scholar]
  12. Wang, D.; Chen, Y.; Jarin, M.; Xie, X. Increasingly frequent extreme weather events urge the development of point-of-use water treatment systems. npj Clean Water 2022, 5, 36. [Google Scholar] [CrossRef]
  13. Jalili Kashtiban, Y.; Saeidi, A.; Farinas, M.I.; Quirion, M. A review on existing methods to assess hydraulic erodibility downstream of dam spillways. Water 2021, 13, 3205. [Google Scholar] [CrossRef]
  14. Quan, C.; Wang, D.; Li, X.; Yao, Z.; Guo, P.; Jiang, C.; Xing, H.; Ren, J.; Tong, F.; Wang, Y. Waterway Regulation Effects on River Hydrodynamics and Hydrological Regimes: A Numerical Investigation. Water 2025, 17, 1261. [Google Scholar] [CrossRef]
  15. Su, C.; Wang, P.; Yuan, W.; Cheng, C.; Zhang, T.; Yan, D.; Wu, Z. A MILP based optimization model for reservoir flood control operation considering spillway gate scheduling. J. Hydrol. 2022, 613, 128483. [Google Scholar] [CrossRef]
  16. Thepprasit, C.; Intavong, A.; Chompuchan, C.; Chulee, N.; Sittichok, K. Spillway Capacity Estimation Using Flood Peak Analysis and Probable Maximum Flood Method. Water 2024, 16, 1727. [Google Scholar] [CrossRef]
  17. Alasqah, A.; Hussein, A.M.; Tayyeh, H.K.; Khedher, K.M.; Benzougagh, B.; Azzubaidi, R.Z. Numerical investigations of hockey groynes performance on hydrodynamic of open channels flow by using computational fluid dynamics (CFD). Sci. Rep. 2025, 15, 17046. [Google Scholar] [CrossRef] [PubMed]
  18. Al-Naely, H.; Al-Khafaji, Z.; Khassaf, S. Effect of opening holes on the hydraulic performance for crump weir. Int. J. Eng. 2018, 31, 2022–2027. [Google Scholar] [CrossRef]
  19. Bathre, M.; Das, P.K. Water supply monitoring system with self-powered LoRa based wireless sensor system powered by solar and hydroelectric energy harvester. Comput. Stand. Interfaces 2022, 82, 103630. [Google Scholar] [CrossRef]
  20. Kaur, M.; Nagao, T. Minireview on solar desalination and hydropower generation by water evaporation: Recent challenges and perspectives in materials science. Energy Fuels 2022, 36, 11443–11456. [Google Scholar] [CrossRef]
  21. Jahad, U.A.; Chabuk, A.; Al-Ameri, R.; Majdi, H.S.; Majdi, A.; Al-Ansari, N.; Abed, S.A. Flow characteristics and energy dissipation over stepped spillway with various step geometries: Case study (steps with curve end sill). Appl. Water Sci. 2024, 14, 60. [Google Scholar] [CrossRef]
  22. Daneshfaraz, R.; Sadeghi, H.; Ghaderi, A.; Abraham, J.P. Characteristics of hydraulic jump and energy dissipation in the downstream of stepped spillways with rough steps. Flow Meas. Instrum. 2024, 96, 102506. [Google Scholar] [CrossRef]
  23. Chanson, H. Air entrainment in skimming flows on stepped spillways. J. Hydraul. Res. 1995, 33, 361–369. [Google Scholar] [CrossRef]
  24. Yang, J.; Shen, Z.; Zhang, J.; Teng, X.; Zhang, W.; Dai, J. Experimental and numerical investigation of flow over a spillway bend with different combinations of permeable spur dikes. Water Supply 2022, 22, 1557–1574. [Google Scholar] [CrossRef]
  25. Bekheet, A.A.; AboulAtta, N.M.; Saad, N.Y.; El-Molla, D.A. Energy dissipation in stepped spillways: A comprehensive review of the recent research. Innov. Infrastruct. Solut. 2025, 10, 253. [Google Scholar] [CrossRef]
  26. Bashar, N.A.M.; Zainol, M.R.R.M.A.; Aziz, M.S.A.; Zawawi, M.H.; Mazlan, A.Z.A. Hydraulic Properties of Flow Over Different Types of Spillways: A Review. In AWAM International Conference on Civil Engineering; Springer Nature: Singapore, 2022; pp. 683–696. [Google Scholar]
  27. Pfister, M.; Chanson, H. Two-phase flow properties in skimming flows on stepped spillways. Int. J. Multiph. Flow 2014, 59, 17–28. [Google Scholar] [CrossRef]
  28. Ikinciogullari, E. Stepped spillway design for energy dissipation. Water Supply 2023, 23, 749–763. [Google Scholar] [CrossRef]
  29. Dah-Mardeh, A.; Azizyan, G.; Bejestan, M.S.; Parsaie, A.; Rajaei, S.H. Experimental study of variation sediments and effective hydraulic parameters on scour downstream of stepped spillway. Water Resour. Manag. 2023, 37, 4969–4984. [Google Scholar] [CrossRef]
  30. Chanson, H. Energy dissipation on stepped spillways and hydraulic challenges—Prototype and laboratory experiences. J. Hydrodyn. 2022, 34, 52–62. [Google Scholar] [CrossRef]
  31. Sharifi, S.N. Enhancing performance of stepped spillways: CFD analysis of shaped step surfaces for improved flow dynamic. Results Eng. 2025, 25, 103704. [Google Scholar] [CrossRef]
  32. Matos, J.; Novakoski, C.K.; Ferla, R.; Marques, M.G.; Dai Prá, M.; Canellas, A.V.B.; Teixeira, E.D. Extreme pressures and risk of cavitation in steeply sloping stepped spillways of large dams. Water 2022, 14, 306. [Google Scholar] [CrossRef]
  33. Zanial, W.N.C.W.; Zawawi, M.H.; Sidek, L.M.; Abas, M.A.; Dullah, H.; Hassan, N.H.; Radzi, M.R.; Rahman, A.H. A review: Cavitation on dam spillway. In International Conference on Dam Safety Management and Engineering; Springer Nature: Singapore, 2023; pp. 837–845. [Google Scholar]
  34. Ohtsu, I.; Yasuda, Y.; Takahashi, M. Flow characteristics of skimming flows over stepped channels. J. Hydraul. Eng. 2004, 130, 1011–1021. [Google Scholar] [CrossRef]
  35. Alimohammadi, S.; Behrouz, M.; Ebrahimi, H.; Tabatabai, M.R.M. Reliability analysis of dam spillway capacity under extreme flood uncertainty: Boostan Dam, Iran. J. Hydrol. Reg. Stud. 2025, 62, 102948. [Google Scholar] [CrossRef]
  36. Motahari Moghadam, E. Determination of Critical Hydraulic Parameters Affecting Erosion in Spillways Using Experimental and Numerical Analyses. Doctoral Dissertation, Université du Québec à Chicoutimi, Chicoutimi, QC, Canada, 2025. [Google Scholar]
  37. Hager, W.H. Hydraulic jump in non-prismatic channels. J. Hydraul. Eng. 1993, 119, 785–797. [Google Scholar] [CrossRef]
  38. Smith, H.K. CFD-Based Evaluation of Pressure Distribution and Hydraulic Jump Formation in Moderate Stepped Spillways. 2025. Available online: https://www.researchgate.net/profile/Hussein-Smith/publication/388046454_CFD-Based_Evaluation_of_Pressure_Distribution_and_Hydraulic_Jump_Formation_in_Moderate_Stepped_Spillways/links/6788c1b3f8b7bf1abcbe54b6/CFD-Based-Evaluation-of-Pressure-Distribution-and-Hydraulic-Jump-Formation-in-Moderate-Stepped-Spillways.pdf (accessed on 1 March 2026).
  39. Daneshfaraz, R.; Ghaderi, A. Numerical investigation of inverse curvature ogee spillway. Civ. Eng. J. 2017, 3, 1146–1156. [Google Scholar] [CrossRef]
Figure 1. Schematic representation of the tested stepped spillway configurations showing cross-sectional views of the models within the flume.
Figure 1. Schematic representation of the tested stepped spillway configurations showing cross-sectional views of the models within the flume.
Water 18 00629 g001
Figure 2. Diagram of the experimental research methodology followed in this study.
Figure 2. Diagram of the experimental research methodology followed in this study.
Water 18 00629 g002
Figure 3. Stepped spillway models without baffled blocks, clearly labeled by configuration (M1, M2, etc.).
Figure 3. Stepped spillway models without baffled blocks, clearly labeled by configuration (M1, M2, etc.).
Water 18 00629 g003
Figure 4. Discharge rate and energy dissipation ratio correlation for regular and irregular stepped spillways at a 40° inclination angle.
Figure 4. Discharge rate and energy dissipation ratio correlation for regular and irregular stepped spillways at a 40° inclination angle.
Water 18 00629 g004
Figure 5. The correlation between energy dissipation ratio and discharge rate for regular and irregular stepped spillways at a 45° inclination angle.
Figure 5. The correlation between energy dissipation ratio and discharge rate for regular and irregular stepped spillways at a 45° inclination angle.
Water 18 00629 g005
Figure 6. Impact of baffled mass location on energy dissipation: a regular gradient fle (45°).
Figure 6. Impact of baffled mass location on energy dissipation: a regular gradient fle (45°).
Water 18 00629 g006
Figure 7. Impact of baffled mass location on energy dissipation: uneven gradient flue (45°).
Figure 7. Impact of baffled mass location on energy dissipation: uneven gradient flue (45°).
Water 18 00629 g007
Figure 8. The relationship between the discharge rate and the length of the hydraulic leap for stepped spillways at a 40° inclination angle.
Figure 8. The relationship between the discharge rate and the length of the hydraulic leap for stepped spillways at a 40° inclination angle.
Water 18 00629 g008
Figure 9. Effect of discharge rate on hydraulic jump length of stepped spillways at a 45° inclination angle.
Figure 9. Effect of discharge rate on hydraulic jump length of stepped spillways at a 45° inclination angle.
Water 18 00629 g009
Figure 10. The average 10-step spillway’s hydraulic leap length and discharge relationship with varying baffled block distribution.
Figure 10. The average 10-step spillway’s hydraulic leap length and discharge relationship with varying baffled block distribution.
Water 18 00629 g010
Figure 11. The link between hydraulic jump length and discharge for irregular 10.
Figure 11. The link between hydraulic jump length and discharge for irregular 10.
Water 18 00629 g011
Table 1. Dimensions, step heights, and geometric properties of the models used in the research.
Table 1. Dimensions, step heights, and geometric properties of the models used in the research.
ModelMain Angle (Degree)Height of Steps (cm)Length of Steps (cm)Number of StepsModel Details
M14067.155Regular (Uniform)
M2407.157.925Irregular (non-uniform)
M34033.5710Uniform
M440--10Non-uniform
M545665Uniform
M645-65Non-uniform
M7453310Uniform
M8453.8-10Non-uniform
M9453310Uniform with B/2 one-baffle
M10453310Uniform with B/2.5 one-baffle
M11453310Uniform with B/3 one-baffle
M12453.8-10Non-uniform with B/2 one-baffle
M13453.8-10Non-uniform with B/2.5 one-baffle
M14453.8-10Non-uniform with B/3 one-baffle
Table 2. The laboratory channel’s flow is simulated using the flow rates for each run.
Table 2. The laboratory channel’s flow is simulated using the flow rates for each run.
Run No.Q (l/s)q (l/s/m)
13.1110.33
25.5118.56
37.6725.56
410.2834.26
512.5241.73
614.8349.43
716.4154.70
Disclaimer/Publisher’s Note: The statements, opinions and data contained in all publications are solely those of the individual author(s) and contributor(s) and not of MDPI and/or the editor(s). MDPI and/or the editor(s) disclaim responsibility for any injury to people or property resulting from any ideas, methods, instructions or products referred to in the content.

Share and Cite

MDPI and ACS Style

Alrikaby, H.J.; Al-Shukur, A.-H.K.; Hussein, A.M.; Tayyeh, H.K.; Benzougagh, B.; Marshdi, Q.S.R.; Alasqah, A.; Khedher, K.M. Comparison of Hydraulic Behavior of Single-Baffled Block Stepped Spillways Between Regular and Irregular Designs. Water 2026, 18, 629. https://doi.org/10.3390/w18050629

AMA Style

Alrikaby HJ, Al-Shukur A-HK, Hussein AM, Tayyeh HK, Benzougagh B, Marshdi QSR, Alasqah A, Khedher KM. Comparison of Hydraulic Behavior of Single-Baffled Block Stepped Spillways Between Regular and Irregular Designs. Water. 2026; 18(5):629. https://doi.org/10.3390/w18050629

Chicago/Turabian Style

Alrikaby, Hassan Jasim, Abdul-Hassan K. Al-Shukur, Ahmed Mageed Hussein, Halah Kadhim Tayyeh, Brahim Benzougagh, Qosai S. Radi Marshdi, Amnah Alasqah, and Khaled Mohamed Khedher. 2026. "Comparison of Hydraulic Behavior of Single-Baffled Block Stepped Spillways Between Regular and Irregular Designs" Water 18, no. 5: 629. https://doi.org/10.3390/w18050629

APA Style

Alrikaby, H. J., Al-Shukur, A.-H. K., Hussein, A. M., Tayyeh, H. K., Benzougagh, B., Marshdi, Q. S. R., Alasqah, A., & Khedher, K. M. (2026). Comparison of Hydraulic Behavior of Single-Baffled Block Stepped Spillways Between Regular and Irregular Designs. Water, 18(5), 629. https://doi.org/10.3390/w18050629

Note that from the first issue of 2016, this journal uses article numbers instead of page numbers. See further details here.

Article Metrics

Back to TopTop