Sign in to use this feature.

Years

Between: -

Subjects

remove_circle_outline
remove_circle_outline
remove_circle_outline
remove_circle_outline
remove_circle_outline
remove_circle_outline
remove_circle_outline
remove_circle_outline
remove_circle_outline

Journals

Article Types

Countries / Regions

Search Results (145)

Search Parameters:
Keywords = flavonoid 3′,5′-hydroxylases

Order results
Result details
Results per page
Select all
Export citation of selected articles as:
12 pages, 3784 KB  
Article
Overexpression of Flavonoid Biosynthesis Gene, ZeF3H, from Zelkova schneideriana Enhanced Plant Tolerance to Chilling Stress
by Longfeng Gong, Jiayu Hu, Xiao Liu, Xiaoxiong Lu and Jichen Xu
Forests 2025, 16(12), 1838; https://doi.org/10.3390/f16121838 - 10 Dec 2025
Viewed by 285
Abstract
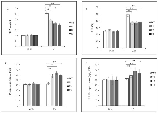
The flavonoid 3′-hydroxylase gene (F3H), in relation to flavonoid biosynthesis, is widely involved in stress tolerance. To understand its contribution to chilling stress, we cloned a ZeF3H gene—1092 bp long and encoding 363 amino acids—from the chilling-tolerant line of Zelkova schneideriana [...] Read more.
The flavonoid 3′-hydroxylase gene (F3H), in relation to flavonoid biosynthesis, is widely involved in stress tolerance. To understand its contribution to chilling stress, we cloned a ZeF3H gene—1092 bp long and encoding 363 amino acids—from the chilling-tolerant line of Zelkova schneideriana. Under a cold treatment, ZeF3H’s expression level in the Zelkova genotypes was found to be significantly related to its morphological performance, with a correlation coefficient of −0.8735. The ZeF3H gene was introduced into tobacco plants. When subjected to 4 °C for 10 h, the ZeF3H-transgenic tobacco plants performed better and had relatively low electrical leakage and malondialdehyde contents—0.76-fold and 0.70-fold lower than the wild-type plant—and had a high proline content and soluble sugar content—1.40- and 1.20-fold higher than that of the WT plants, respectively. In conclusion, ZeF3H can significantly improve plants’ tolerance to chilling stress and can be a candidate gene for molecular breeding programs. Full article
(This article belongs to the Special Issue Tree Epigenetic Diversity and Its Role in Tree Adaptation)
Show Figures

Figure 1

16 pages, 3663 KB  
Article
Combining BSA-Seq, High-Density Genetic Map, and RNA-Seq to Identify Candidate Genes Controlling Embryo Spot Trait in Potato
by Jiahao Miao, Min Yang, Nan Li, Jiaji Wang, Jiangqing Wang, Tianzhi Zhang, Zuo Hu, Zhou Li, Jing Liu, Canhui Li and Jing Yang
Horticulturae 2025, 11(12), 1483; https://doi.org/10.3390/horticulturae11121483 - 8 Dec 2025
Viewed by 449
Abstract
Embryo spots on potato seed enhance the efficiency of doubled haploid screening by facilitating selection. While the spots are known to involve anthocyanin accumulation, their genetic regulation remains unclear. Here, loci and genes regulating spot formation were investigated. An F1 population was [...] Read more.
Embryo spots on potato seed enhance the efficiency of doubled haploid screening by facilitating selection. While the spots are known to involve anthocyanin accumulation, their genetic regulation remains unclear. Here, loci and genes regulating spot formation were investigated. An F1 population was generated by crossing the haploid inducer IVP101 (embryo-spotted male parent) with the diploid inbred line Y8 (non-spotted female parent). Subsequent BSA-seq of the extreme F1 pools mapped a locus to chromosome 10 (49.96–54.31 Mb). QTL mapping via a high-density genetic map of the F2 segregating population (derived from F1 selfing) identified four QTLs (on chromosomes 2, 5, 10, 11). These included the QTLs qSP10-1 (explaining 23.85% of phenotypic variance) and qSP11-1 (18.23%). qSP11-1 overlapped with the reported P locus encoding flavonoid 3′,5′-hydroxylase (F3′5′H), whereas qSP10-1 confirmed the BSA-seq results. Integration of the BSA-seq and QTL mapping results narrowed the target gene locus to a 384.6 kb interval at the end of chromosome 10. Transcriptome sequencing of spotted vs. non-spotted F1 seed, together with gene expression profiling in the qSP10-1 interval, identified five differentially expressed candidate genes. These findings clarify the genetic basis of potato embryo spot formation and provide a reference for breeding and further research. Full article
(This article belongs to the Section Propagation and Seeds)
Show Figures

Figure 1

13 pages, 5394 KB  
Article
Overexpression of VtF3′5′H and RhNHX Genes Alters Flower Color and Plant Morphology in Transgenic Rose ‘Red Farm’
by Ka Youn Lee, Su Young Lee, Yae Jin Kim, Youn Jung Choi, So Hyeon Lim and Yun-Im Kang
Plants 2025, 14(20), 3185; https://doi.org/10.3390/plants14203185 - 16 Oct 2025
Viewed by 654
Abstract
Roses (Rosa hybrida) are among the most highly valued ornamental plants worldwide, with flower color serving as a major determinant of consumer preference and commercial success. However, the absence of the flavonoid 3′,5′-hydroxylase (F3′5′H) gene limits delphinidin biosynthesis, making [...] Read more.
Roses (Rosa hybrida) are among the most highly valued ornamental plants worldwide, with flower color serving as a major determinant of consumer preference and commercial success. However, the absence of the flavonoid 3′,5′-hydroxylase (F3′5′H) gene limits delphinidin biosynthesis, making it difficult to achieve blue or purple pigmentation. Vacuolar sodium/proton antiporters (NHX) regulate vacuolar pH and are also implicated in color stability. In this study, we introduced Viola tricolor F3′5′H (VtF3′5′H) and Rosa hybrida NHX (RhNHX) into the rose cultivar ‘Red Farm’ using Agrobacterium-mediated transformation. The non-native VtF3′5′H gene was detected in transgenic plants but not in the wild type, while RhNHX expression was relatively higher in transgenic plants. Petal anthocyanin content was significantly increased in T1–T4 compared to the wild type, and petal pH was also higher than that of the wild type. Growth and floral traits were also altered. Transgenic plants exhibited shorter stems, reduced stem diameter, more lateral branches, fewer prickles, and more than threefold higher petal numbers. Expression analysis showed reduced GA20-oxidase (GA20ox1) and GA3-oxidase (GA3ox) levels and increased GA2-oxidase (GA2ox) and GA2-oxidase6 (GA2ox6), particularly in stems, suggesting enhanced gibberellin (GA) inactivation. Overexpression of VtF3′5′H and RhNHX led to simultaneous changes in floral pigmentation and plant morphology. These findings indicate that both genes play functional roles in color development and growth regulation in roses. Full article
(This article belongs to the Section Plant Genetics, Genomics and Biotechnology)
Show Figures

Figure 1

18 pages, 4789 KB  
Article
Combination of Metabolomic Analysis and Transcriptomic Analysis Reveals Differential Mechanism of Phenylpropanoid Biosynthesis and Flavonoid Biosynthesis in Wild and Cultivated Forms of Angelica sinensis
by Yuanyuan Wang, Jialing Zhang, Yiyang Chen, Juanjuan Liu, Ke Li and Ling Jin
Metabolites 2025, 15(9), 633; https://doi.org/10.3390/metabo15090633 - 22 Sep 2025
Viewed by 837
Abstract
Objectives: Angelica sinensis is a type of traditional Chinese medicine (TCM) used primarily as a blood tonic. The chemical components that exert their efficacy are mainly bioactive metabolites, such as ferulic acid, flavonoids, and volatile oils. The resources of wild Angelica sinensis (WA) [...] Read more.
Objectives: Angelica sinensis is a type of traditional Chinese medicine (TCM) used primarily as a blood tonic. The chemical components that exert their efficacy are mainly bioactive metabolites, such as ferulic acid, flavonoids, and volatile oils. The resources of wild Angelica sinensis (WA) are very scarce, and almost all the market circulation of TCM formulations relies on cultivated Angelica sinensis (CA). Some studies have shown that WA and CA differ in morphological features and chemical composition, but the reasons and mechanisms behind the differences have not been studied deeply. Methods: Herein, metabolomics analysis (MA) and transcriptomics analysis (TA) were used to reveal the differences in bioactive metabolites and genes between WA and CA. Expression of key genes was verified by real-time reverse transcription-quantitative polymerase chain reaction (RT-qPCR). Results: Results showed that 12,580 differential metabolites (DMs) and 1837 differentially expressed genes (DEGs) were identified between WA and CA. Fourteen DMs (e.g., cinnamic acid, caffeic acid, ferulic acid, p-coumaroylquinic acid, and phlorizin) and 27 DEGs (e.g., cinnamic acid 4-hydroxylase (C4H), 4-coumarate-CoA ligase (4CL), shikimate O-hydroxycinnamoyltransferase (HCT), caffeic acid-O-methyltransferase (COMT), cinnamyl-alcohol dehydrogenase (CAD), flavonol synthase (FLS)) were screened in phenylpropanoid biosynthesis and flavonoid biosynthesis. A combined analysis of MA and TA was performed, and a network map of DMs regulated by DEGs was plotted. The results of real-time RT-qPCR showed that the transcriptome data were reliable. Conclusions: These findings provide a reference for further optimization of the development of WA cultivation and breeding of CA varieties. Full article
(This article belongs to the Section Plant Metabolism)
Show Figures

Graphical abstract

18 pages, 3893 KB  
Article
Metabolome and Transcriptome Analyses of the Molecular Mechanism Underlying Light-Induced Anthocyanin Accumulation in Pepper (Capsicum annuum L.) Peel
by Qinqin He, Liming He, Zongqin Feng, Yunyi Xiao, Qiucheng Qiu, Jiefeng Liu, Hanbing Han and Xinmin Huang
Curr. Issues Mol. Biol. 2025, 47(9), 774; https://doi.org/10.3390/cimb47090774 - 18 Sep 2025
Cited by 1 | Viewed by 919
Abstract
Under light exposure, certain pepper cultivars synthesize large amounts of anthocyanins in their pericarps, with the illuminated areas exhibiting black coloration. However, research on light-induced anthocyanin formation in pepper fruit, particularly the related metabolites and genetic changes, remains limited. To identify the key [...] Read more.
Under light exposure, certain pepper cultivars synthesize large amounts of anthocyanins in their pericarps, with the illuminated areas exhibiting black coloration. However, research on light-induced anthocyanin formation in pepper fruit, particularly the related metabolites and genetic changes, remains limited. To identify the key genes involved in localized anthocyanin synthesis under light conditions, we investigated the black pericarps (light-exposed) and green pericarps of pepper variety MSCJ1 under illumination. Metabolomics analysis identified 579 metabolites in the black and green pepper pericarps, with 50 differentially accumulated metabolites. Petunidin-3-(6″-p-coumaroyl-glucoside) and delphinidin-3-p-coumaroyl-rutinoid accumulation represented the main factor underlying light-induced blackening of the pericarp. RNA-seq identified 121 differentially expressed genes that were significantly enriched in the flavonoid biosynthesis pathway. The genes for phenylalanine ammonia lyase (Capana09g002200, Capna09g002190), cinnamic acid hydroxylase (Capana06g000273), chalcone synthase (Capana05g002274), flavonoid 3-hydroxylase (Capana02g002586), flavonoid 3′-hydroxylase (MSTRG.15987), dihydroflavonol 4-reductase (Capana02g002763), anthocyanin synthase (Capana01g000365), UDP glucosyltransferase (Capana03g000135), and glutathione S-transferase (Capana02g002285) were key genes for anthocyanin synthesis and transport. Transcription factors bHLH (Capana09g001426, Capana09g001427), HSFB3 (Capana05g000086), and TCP4 (Capana07g002142) participated in the regulation of anthocyanin synthesis. These results broaden our understanding of the mechanism of light-induced anthocyanin synthesis in pepper peel. Full article
Show Figures

Figure 1

18 pages, 9418 KB  
Article
Integrated Transcriptomics and Metabolomics Analyses Provide Insights into Heat Resistance in Passion Fruit (P. edulis f. flavicarpa)
by Lin-Hua Chen, Jiong Dong, Bing-Liang Fan, Yongcai Huang, Liu Yang, Wenguo Cai and Ling-Ling Chen
Horticulturae 2025, 11(9), 1037; https://doi.org/10.3390/horticulturae11091037 - 2 Sep 2025
Cited by 1 | Viewed by 994
Abstract
Passion fruit (Passiflora edulis) is an economically important fruit worldwide. However, heat stress severely threatens its production, particularly in tropical and subtropical regions. To elucidate the molecular and metabolic mechanisms underlying heat tolerance, comparative physiological, transcriptomic, and metabolomic analyses were conducted [...] Read more.
Passion fruit (Passiflora edulis) is an economically important fruit worldwide. However, heat stress severely threatens its production, particularly in tropical and subtropical regions. To elucidate the molecular and metabolic mechanisms underlying heat tolerance, comparative physiological, transcriptomic, and metabolomic analyses were conducted between two yellow passion fruit cultivars: heat-tolerant ‘Summer Queen’ (F2) and heat-sensitive ‘Qinmi 9’ (QM9). Physiological evaluations demonstrated that QM9 exhibited significantly lower heat tolerance than F2, manifesting as severe leaf wilting, impaired photosynthetic efficiency, and elevated reactive oxygen species (ROS) accumulation. F2 exhibited distinct metabolic and transcriptional adaptations under heat stress, particularly in purine metabolism and flavonoid biosynthesis. Metabolites such as glutamine, xanthine, luteoloside, and trifolin were enriched in F2, alongside the upregulation of genes like adenosine kinase (AK), xanthine dehydrogenase (XDH), guanine deaminase (GDA), and flavonoid 3′-hydroxylase (F3′H). Weighted gene co-expression network analysis (WGCNA) highlighted strong associations between these pathways and transcription factors (e.g., MYB, HSF, WRKY), suggesting their pivotal roles in heat adaptation. Exogenous application of xanthine and trifolin markedly enhanced heat tolerance in passion fruit. Furthermore, knockdown of PeGDA and PeXDH markedly altered the heat tolerance of F2. These findings reveal that elevated metabolites in purine metabolism and flavonoid biosynthesis enhance heat tolerance in passion fruit, offering new insights into the molecular mechanisms of heat tolerance and potential targets for breeding climate-resilient passion fruit varieties. Full article
(This article belongs to the Special Issue Fruit Tree Physiology and Molecular Biology)
Show Figures

Figure 1

16 pages, 1313 KB  
Article
Mycorrhizas Promote Total Flavonoid Levels in Trifoliate Orange by Accelerating the Flavonoid Biosynthetic Pathway to Reduce Oxidative Damage Under Drought
by Lei Liu and Hong-Na Mu
Horticulturae 2025, 11(8), 910; https://doi.org/10.3390/horticulturae11080910 - 4 Aug 2025
Cited by 1 | Viewed by 897
Abstract
Flavonoids serve as crucial plant antioxidants in drought tolerance, yet their antioxidant regulatory mechanisms within mycorrhizal plants remain unclear. In this study, using a two-factor design, trifoliate orange (Poncirus trifoliata (L.) Raf.) seedlings in the four-to-five-leaf stage were either inoculated with Funneliformis [...] Read more.
Flavonoids serve as crucial plant antioxidants in drought tolerance, yet their antioxidant regulatory mechanisms within mycorrhizal plants remain unclear. In this study, using a two-factor design, trifoliate orange (Poncirus trifoliata (L.) Raf.) seedlings in the four-to-five-leaf stage were either inoculated with Funneliformis mosseae or not, and subjected to well-watered (70–75% of field maximum water-holding capacity) or drought stress (50–55% field maximum water-holding capacity) conditions for 10 weeks. Plant growth performance, photosynthetic physiology, leaf flavonoid content and their antioxidant capacity, reactive oxygen species levels, and activities and gene expression of key flavonoid biosynthesis enzymes were analyzed. Although drought stress significantly reduced root colonization and soil hyphal length, inoculation with F. mosseae consistently enhanced the biomass of leaves, stems, and roots, as well as root surface area and diameter, irrespective of soil moisture. Despite drought suppressing photosynthesis in mycorrhizal plants, F. mosseae substantially improved photosynthetic capacity (measured via gas exchange) and optimized photochemical efficiency (assessed by chlorophyll fluorescence) while reducing non-photochemical quenching (heat dissipation). Inoculation with F. mosseae elevated the total flavonoid content in leaves by 46.67% (well-watered) and 14.04% (drought), accompanied by significantly enhanced activities of key synthases such as phenylalanine ammonia-lyase (PAL), chalcone synthase (CHS), chalcone isomerase (CHI), 4-coumarate:coA ligase (4CL), and cinnamate 4-hydroxylase (C4H), with increases ranging from 16.90 to 117.42% under drought. Quantitative real-time PCR revealed that both mycorrhization and drought upregulated the expression of PtPAL1, PtCHI, and Pt4CL genes, with soil moisture critically modulating mycorrhizal regulatory effects. In vitro assays showed that flavonoid extracts scavenged radicals at rates of 30.07–41.60% in hydroxyl radical (•OH), 71.89–78.06% in superoxide radical anion (O2•−), and 49.97–74.75% in 2,2-diphenyl-1-picrylhydrazyl (DPPH). Mycorrhizal symbiosis enhanced the antioxidant capacity of flavonoids, resulting in higher scavenging rates of •OH (19.07%), O2•− (5.00%), and DPPH (31.81%) under drought. Inoculated plants displayed reduced hydrogen peroxide (19.77%), O2•− (23.90%), and malondialdehyde (17.36%) levels. This study concludes that mycorrhizae promote the level of total flavonoids in trifoliate orange by accelerating the flavonoid biosynthesis pathway, hence reducing oxidative damage under drought. Full article
Show Figures

Figure 1

15 pages, 3899 KB  
Article
Transcriptome and Metabolome Revealed Impacts of Zn Fertilizer Application on Flavonoid Biosynthesis in Foxtail Millet
by Ke Ma, Xiangyu Li, Xiangyang Chen, Chu Wang, Zecheng Zhang, Xiangyang Yuan, Fu Chen and Xinya Wen
Agronomy 2025, 15(8), 1767; https://doi.org/10.3390/agronomy15081767 - 23 Jul 2025
Viewed by 735
Abstract
To explore the effects of various zinc (Zn) fertilizer application methods and concentrations on foxtail millet quality and flavonoid biosynthesis, we used Zhangzagu 13 as the experimental material. The transcriptome and metabolome were used to examine variations in flavonoid biosynthesis and metabolism in [...] Read more.
To explore the effects of various zinc (Zn) fertilizer application methods and concentrations on foxtail millet quality and flavonoid biosynthesis, we used Zhangzagu 13 as the experimental material. The transcriptome and metabolome were used to examine variations in flavonoid biosynthesis and metabolism in foxtail millet under different Zn application methods. The results showed that different Zn application methods significantly increased the total polyphenol, carotenoid, total flavonoid, and Zn contents in the grains of foxtail millet. Under the basal soil application (S3) and foliar spray (F2) treatments, the total flavonoid content significantly increased by 45.87% and 64.40%, respectively, compared with that of CK. Basal soil Zn fertilization increased the flavonoid content of foxtail millet by up-regulating genes related to flavonoid metabolism and biosynthesis, including flavanone-3-hydroxylase, chalcone isomerase, and leucoanthocyanidin reductase. Foliar Zn application enhanced flavonoid content by up-regulating genes involved in flavonoid metabolic and biosynthetic processes and chalcone isomerase. In conclusion, using Zn fertilizer can improve the synthesis and metabolism of foxtail millet flavonoids, effectively increase the content of functional substances in grains, and realize the biofortification of foxtail millet grains. Full article
(This article belongs to the Section Plant-Crop Biology and Biochemistry)
Show Figures

Figure 1

14 pages, 1196 KB  
Article
Effects of Methyl Jasmonate on Flavonoid Accumulation and Physiological Metabolism in Finger Millet (Eleusine coracana L.) Sprouts
by Zhangqin Ye, Jing Zhang, Xin Tian, Zhengfei Yang, Jiangyu Zhu and Yongqi Yin
Plants 2025, 14(14), 2201; https://doi.org/10.3390/plants14142201 - 16 Jul 2025
Cited by 1 | Viewed by 966
Abstract
Finger millet (Eleusine coracana L.) is a nutrient-dense cereal with high flavonoid content, yet the mechanisms regulating its secondary metabolite biosynthesis remain underexplored. Various exogenous stimuli can readily activate the enzymatic pathways and gene expression associated with flavonoid biosynthesis in plants, which [...] Read more.
Finger millet (Eleusine coracana L.) is a nutrient-dense cereal with high flavonoid content, yet the mechanisms regulating its secondary metabolite biosynthesis remain underexplored. Various exogenous stimuli can readily activate the enzymatic pathways and gene expression associated with flavonoid biosynthesis in plants, which are regulated by developmental cues. Research has established that methyl jasmonate (MeJA) application enhances secondary metabolite production in plant systems. This investigation examined MeJA’s influence on flavonoid accumulation and physiological responses in finger millet sprouts to elucidate the molecular mechanisms underlying MeJA-mediated flavonoid accumulation. The findings revealed that MeJA treatment significantly suppressed sprout elongation while enhancing the biosynthesis of total flavonoids and phenolic compounds. MeJA treatment triggered oxidative stress responses, with hydrogen peroxide and superoxide anion concentrations increasing 1.84-fold and 1.70-fold compared to control levels at 4 days post-germination. Furthermore, the antioxidant defense mechanisms in finger millet were upregulated following treatment, resulting in significant enhancement of catalase and peroxidase enzymatic activities and corresponding transcript abundance. MeJA application augmented the activities of key phenylpropanoid pathway enzymes—phenylalanine ammonia-lyase (PAL) and cinnamate 4-hydroxylase (C4H)—and upregulated their respective gene expression. At 4 days post-germination, EcPAL and EcC4H transcript levels were elevated 3.67-fold and 2.61-fold, respectively, compared to untreated controls. MeJA treatment significantly induced the expression of downstream structural genes and transcriptional regulators. This study provides a deeper understanding of the mechanism of flavonoid accumulation in foxtail millet induced by MeJA, and lays a foundation for exogenous conditions to promote flavonoid biosynthesis in plants. Full article
(This article belongs to the Section Plant Physiology and Metabolism)
Show Figures

Figure 1

18 pages, 2995 KB  
Article
Improving the Surface Color and Delaying Softening of Peach by Minimizing the Harmful Effects of Ethylene in the Package
by Hongsheng Zhou, Siyu Ma, Jing Zhao, Ying Gao, Wen Huang, Yingtong Zhang, Jun Ling, Qian Zhou and Pengxia Li
Foods 2025, 14(14), 2472; https://doi.org/10.3390/foods14142472 - 15 Jul 2025
Viewed by 1195
Abstract
Peach is a typical ethylene-sensitive fruit, and low levels of ethylene can accelerate softening during storage. In this study, we used an ethylene absorbent (EA) and 1-methylcyclopropene (1-MCP) to minimize the detrimental impact of ethylene on the quality of peaches in modified atmosphere [...] Read more.
Peach is a typical ethylene-sensitive fruit, and low levels of ethylene can accelerate softening during storage. In this study, we used an ethylene absorbent (EA) and 1-methylcyclopropene (1-MCP) to minimize the detrimental impact of ethylene on the quality of peaches in modified atmosphere packaging (MAP), and analyzed fruit firmness, color change, anthocyanin content, and the expression patterns of cell wall metabolism-related genes and anthocyanin synthesis-related genes during storage. The results showed that ethylene in the MAP package decreased the firmness and total anthocyanin content of the peaches, while MAP combined with EA (MAP+EA) treatment effectively maintained the firmness of the peaches and counteracted the inhibition of anthocyanin accumulation in the peach skin by ethylene. In addition, the peaches treated with MAP+EA exhibited higher a* values, lower weight loss, and lower activities of cell-wall-modifying enzymes. Meanwhile, MAP+EA treatment also significantly increased the expression of color-related genes such as flavonoid 3′-hydroxylase gene (F3′H), dihydroflavonol 4-reductase (DFR), anthocyanidin synthase (ANS), and UDP-flavonoid 3-O-glucosyltransferase (UFGT). Furthermore, a good synergistic effect was observed between 1-MCP and EA in delaying softening and promoting coloring of peach fruit in the MAP package. The combination of 1-MCP and EA treatment may have the potential to alleviate softening and improve the color and quality of post-harvest fruit during storage. Full article
Show Figures

Figure 1

17 pages, 2952 KB  
Article
Comparative Metabolomic Analysis of Three Medicinal Paphiopedilum Species Reveals Divergence in Antioxidant Capacity and Functional Compound Profiles
by Jinhan Sang, Yishan Yang, Kanghua Xian, Jiang Su, Jianmin Tang, Chuanming Fu, Fengluan Tang and Xiao Wei
Molecules 2025, 30(14), 2961; https://doi.org/10.3390/molecules30142961 - 14 Jul 2025
Cited by 1 | Viewed by 696
Abstract
This study explores the metabolite diversity and potential medicinal value of three Paphiopedilum species—P. dianthum, P. micranthum, and P. barbigerum—using widely targeted metabolomics via HPLC-MS/MS in conjunction with in vitro antioxidant assays. A total of 2201 metabolites were detected [...] Read more.
This study explores the metabolite diversity and potential medicinal value of three Paphiopedilum species—P. dianthum, P. micranthum, and P. barbigerum—using widely targeted metabolomics via HPLC-MS/MS in conjunction with in vitro antioxidant assays. A total of 2201 metabolites were detected across the three species, with flavonoids emerging as the dominant class (480 compounds, accounting for 21.8% of total metabolites). Comparative metabolomic analysis showed that flavonoid levels varied most prominently among the species. Notably, the metabolic profile of P. barbigerum (PB) diverged substantially from those of P. dianthum (PD) and P. micranthum (PM), which shared a higher degree of similarity with each other. Quantitative evaluation of antioxidant-associated metabolites revealed that PB exhibited the greatest enrichment in compounds with antioxidant potential, particularly flavonoids and phenolic acids, followed by PM and PD. These results were corroborated by antioxidant assays, in which PB demonstrated the highest free radical scavenging activity, with PM and PD displaying progressively lower effects. Differences in flavonoid content likely underpin these variations in antioxidant capacity. KEGG pathway enrichment analysis indicated that differentially expressed metabolites were primarily involved in flavonoid-associated biosynthetic routes, notably flavonoid biosynthesis (ko00941) and isoflavonoid biosynthesis (ko00943), with ko00941 being the most enriched. Within this pathway, PB showed eight significantly upregulated flavonoid metabolites, while PM and PD had seven and five, respectively. The observed differences may stem from species-specific expression of key biosynthetic enzymes such as flavonoid 3′-hydroxylase (F3′H) in PM and flavonoid 3′,5′-hydroxylase (F3′5′H) in PB, which influence both flavonoid composition and antioxidant potential. Full article
Show Figures

Graphical abstract

18 pages, 4005 KB  
Article
Colletotrichum capsici-Induced Disease Development in Postharvest Pepper Associated with Cell Wall Metabolism and Phenylpropanoid Metabolism
by Yunfen Liu, Qian Song, Feilong Yin, Yuanli Liang, Mubo Song, Meiying He and Liang Shuai
Horticulturae 2025, 11(7), 794; https://doi.org/10.3390/horticulturae11070794 - 4 Jul 2025
Cited by 1 | Viewed by 1343
Abstract
Colletotrichum capsici is an important pathogen causing anthracnose in postharvest peppers in parts of Asia, seriously compromising quality and storage life. Unveiling the pathogenic mechanism can better prevent postharvest disease in pepper. This study investigated the impacts of C. capsici infection on cell [...] Read more.
Colletotrichum capsici is an important pathogen causing anthracnose in postharvest peppers in parts of Asia, seriously compromising quality and storage life. Unveiling the pathogenic mechanism can better prevent postharvest disease in pepper. This study investigated the impacts of C. capsici infection on cell wall and phenylpropanoid metabolism in postharvest pepper. Compared to the non-inoculated peppers, C. capsici infection notably increased the disease index, damaged visual quality, and reduced the firmness. Morphological observations showed that C. capsici infection contributed to the collapse of epidermal cell structure. During the early stage, C. capsici triggered pepper’s defensive responses, including lignin deposition around the wounds, increased cellulose and hemicellulose content, and boosted disease-resistance enzymes, including phenylalanine ammonia-lyase (PAL), cinnamic acid 4-hydroxylase (C4H), 4-coumarate-CoA ligase (4CL), cinnamyl alcohol dehydrogenase (CAD), laccase (LAC), β-1,3-glucanase (β-1,3-Glu), and chitinase (CHI), alongside elevated total phenolics and flavonoids. However, as storage time progressed, the activities of carboxymethy cellulase (Cx), polygalacturonase (PG), pectin methylesterase (PME), and β-glucosidase (β-Glu) remained at a high level, leading to a reduction in cell wall components, a decline in the activities of disease-resistance enzymes, and a decrease in phenylpropanoid metabolite, resulting from disease progression in pepper. These insights highlight the need for early intervention strategies to mitigate postharvest losses by targeting pathogen-induced stress responses and cell wall integrity preservation. Full article
(This article belongs to the Special Issue Postharvest Diseases in Horticultural Crops and Their Management)
Show Figures

Figure 1

19 pages, 2605 KB  
Article
Transcriptome and Metabolome Analyses of Flavonoid Biosynthesis During Berry Development of Muscadine Grape (Vitis rotundifolia Michx)
by Qiaofeng Yang, Changlin Li, Yan Wang, Xian Pei, Aixin Wang, Li Jin and Linchuan Fang
Plants 2025, 14(13), 2025; https://doi.org/10.3390/plants14132025 - 2 Jul 2025
Cited by 2 | Viewed by 1029
Abstract
Flavonoids play a crucial role in plant development, resistance, and the pigmentation of fruits and flowers. This study aimed to uncover the mechanism of flavonoid biosynthesis and fruit coloring in muscadine grapes. Two muscadine genotypes (Paulk and Supreme) were investigated via metabolomic and [...] Read more.
Flavonoids play a crucial role in plant development, resistance, and the pigmentation of fruits and flowers. This study aimed to uncover the mechanism of flavonoid biosynthesis and fruit coloring in muscadine grapes. Two muscadine genotypes (Paulk and Supreme) were investigated via metabolomic and transcriptomic analysis during three developmental stages (bunch closure, veraison stage, and ripening stage). A total of 314 flavonoids were identified, with flavones and flavonols being the primary constituents. The contents of many differentially accumulated metabolites (DAMs) were higher at the veraison stage. The total anthocyanin content was upregulated during berry development, with the dominant type of anthocyanidin-3,5-O-diglucoside. Proanthocyanins accumulated higher levels in the ripening stage of Paulk than Supreme. Transcriptomic analyses revealed that over 46% of the DEGs exhibited higher expression levels in the bunch closure stage. Moreover, phenylalanine ammonia-lyase (PAL), cinnamyl 4-hydroxylase (C4H), and coumaryl CoA ligase (4CL) genes were upregulated during berry development, suggesting they promote second metabolites biosynthesis. The upregulation of dihydroflavonol 4-reductase (DFR) and leucoanthocyanin reductase (LAR) may related to the higher levels of PA in Paulk. Anthocyanidin synthase (ANS) and UDP-glucose:flavonoid-3-O-glucosyltransferase (UFGT) showed higher expression levels in the ripening stage, which may relate to the accumulation of anthocyanidins. This study provides comprehensive insights into flavonoid metabolism and berry coloration in Vitis rotundifolia. Full article
Show Figures

Figure 1

20 pages, 2519 KB  
Article
Slightly Acidic Electrolyzed Water Improves the Postharvest Quality of Litchi Fruit by Regulating the Phenylpropane Pathway
by Xuanjing Jiang, Xiangzhi Lin, Yuzhao Lin, Yazhen Chen, Yihui Chen and Hongbin Chen
Horticulturae 2025, 11(7), 751; https://doi.org/10.3390/horticulturae11070751 - 1 Jul 2025
Cited by 1 | Viewed by 1356
Abstract
The market value of litchi fruit is declining quickly due to its susceptibility to disease and rapid pericarp browning. Slightly acidic electrolyzed water (SAEW) treatment is recognized as a safe disinfection technology that not only preserves the quality of postharvest produce, but also [...] Read more.
The market value of litchi fruit is declining quickly due to its susceptibility to disease and rapid pericarp browning. Slightly acidic electrolyzed water (SAEW) treatment is recognized as a safe disinfection technology that not only preserves the quality of postharvest produce, but also enhances disease resistance. This study assessed the efficacy of SAEW in preserving litchi fruit and boosting its resistance to disease. Litchi fruit underwent treatment with SAEW at various available chlorine concentrations (ACC) (10, 25, 50, and 75 mg/L) and subsequently stored at 25 °C for a duration of six days. The results revealed that SAEW with an ACC of 25 mg/L markedly improved the postharvest quality of litchi fruits, reduced disease incidence, and enhanced the appearance of the pericarp and nutrient levels in the arils. Additionally, this treatment enhanced the levels of disease resistance-related compounds, including lignin, flavonoids, and total phenolics, in the pericarp of litchis during the later storage stages (p < 0.05). Furthermore, in the final three days of storage, there were also noticeable increases (p < 0.01) in the activities of pericarp disease resistance enzymes (DREs), such as phenylalanine ammonialyase, cinnamate-4-hydroxylase, 4-coumarate CoA ligase, cinnamyl alcohol dehydrogenase, peroxidase, polyphenol oxidase, chitinase, and β-1,3-glucanase. Based on these results, it was concluded that SAEW triggered DRE activities and increased the accumulation of disease resistance-related compounds by regulating the phenylpropane pathway to suppress disease development, and elevated the storage quality of harvested litchi fruit. Consequently, SAEW has proven to be an effective and safe method for enhancing the storability of litchi fruit. Full article
Show Figures

Figure 1

27 pages, 3732 KB  
Review
Occurrence, Biosynthesis, and Health Benefits of Anthocyanins in Rice and Barley
by Essam A. ElShamey, Xiaomeng Yang, Jiazhen Yang, Xiaoying Pu, Li’E Yang, Changjiao Ke and Yawen Zeng
Int. J. Mol. Sci. 2025, 26(13), 6225; https://doi.org/10.3390/ijms26136225 - 27 Jun 2025
Cited by 4 | Viewed by 3657
Abstract
The occurrence of anthocyanins in rice (Oryza sativa) and barley (Hordeum vulgare) varies among cultivars, with pigmented varieties (e.g., black rice and purple barley) accumulating higher concentrations due to genetic and environmental factors. The biosynthesis of anthocyanins is regulated [...] Read more.
The occurrence of anthocyanins in rice (Oryza sativa) and barley (Hordeum vulgare) varies among cultivars, with pigmented varieties (e.g., black rice and purple barley) accumulating higher concentrations due to genetic and environmental factors. The biosynthesis of anthocyanins is regulated by a complex network of structural and regulatory genes. Key enzymes in the pathway include chalcone synthase (CHS), chalcone isomerase (CHI), flavanone 3-hydroxylase (F3H), dihydroflavonol 4-reductase (DFR), anthocyanidin synthase (ANS), and UDP-glucose flavonoid 3-O-glucosyltransferase (UFGT). These genes are tightly controlled by transcription factors (TFs) from the MYB, bHLH (basic helix–loop–helix), and WD40 repeat families, which form the MBW (MYB-bHLH-WD40) regulatory complex. In rice, OsMYB transcription factors such as OsMYB3, OsC1, and OsPL (Purple Leaf) interact with OsbHLH partners (e.g., OsB1, OsB2) to activate anthocyanin biosynthesis. Similarly, in barley, HvMYB genes (e.g., HvMYB10) coordinate with HvbHLH TFs to regulate pigment accumulation. Environmental cues, such as light, temperature, and nutrient availability, further modulate these TFs, influencing the production of anthocyanin. Understanding the genetic and molecular mechanisms behind the biosynthesis of anthocyanins in rice and barley provides opportunities for the development of biofortification strategies that enhance their nutritional value. Full article
Show Figures

Figure 1

Back to TopTop