Sign in to use this feature.

Years

Between: -

Subjects

remove_circle_outline
remove_circle_outline
remove_circle_outline
remove_circle_outline
remove_circle_outline
remove_circle_outline
remove_circle_outline
remove_circle_outline

Journals

Article Types

Countries / Regions

Search Results (40)

Search Parameters:
Keywords = flash-reactor

Order results
Result details
Results per page
Select all
Export citation of selected articles as:
36 pages, 23738 KB  
Article
Development of a Numerically Inexpensive 3D CFD Model of Slag Reduction in a Submerged Arc Furnace for Phosphorus Recovery from Sewage Sludge
by Daniel Wieser, Benjamin Ortner, René Prieler, Valentin Mally and Christoph Hochenauer
Processes 2026, 14(2), 289; https://doi.org/10.3390/pr14020289 - 14 Jan 2026
Viewed by 382
Abstract
Phosphorus is an essential resource for numerous industrial applications. However, its uneven global distribution makes Europe heavily dependent on imports. Recovering phosphorus from waste streams is therefore crucial for improving resource security. The FlashPhos project addresses this challenge by developing a process to [...] Read more.
Phosphorus is an essential resource for numerous industrial applications. However, its uneven global distribution makes Europe heavily dependent on imports. Recovering phosphorus from waste streams is therefore crucial for improving resource security. The FlashPhos project addresses this challenge by developing a process to recover phosphorus from sewage sludge, in which phosphorus-rich slag is produced in a flash reactor and subsequently reduced in a Submerged Arc Furnace (SAF). In this process, approximately 250 kg/h of sewage sludge is converted into slag, which is further processed in the SAF to recover about 8 kg/h of white phosphorus. This work focuses on the development of a computational model of the SAF, with particular emphasis on slag behaviour. Due to the extreme operating conditions, which severely limit experimental access, a numerically efficient three-dimensional CFD model was developed to investigate the internal flow of the three-phase, AC-powered SAF. The model accounts for multiphase interactions, dynamic bubble generation and energy sinks associated with the reduction reaction, and Joule heating. A temperature control loop adjusts electrode currents to reach and maintain a prescribed target temperature. To further reduce computational cost, a novel simulation approach is introduced, achieving a reduction in simulation time of up to 300%. This approach replaces the solution of the electric potential equation with time-averaged Joule-heating values obtained from a preceding simulation. The system requires transient simulation and reaches a pseudo-steady state after approximately 337 s. The results demonstrate effective slag mixing, with gas bubbles significantly enhancing flow velocities compared to natural convection alone, leading to maximum slag velocities of 0.9–1.0 m/s. The temperature field is largely uniform and closely matches the target temperature within ±2 K, indicating efficient mixing and control. A parameter study reveals a strong sensitivity of the flow behaviour to the slag viscosity, while electrode spacing shows no clear influence. Overall, the model provides a robust basis for further development and future coupling with the gas phase. Full article
(This article belongs to the Section Chemical Processes and Systems)
Show Figures

Figure 1

16 pages, 763 KB  
Article
In-Depth Exergy Analysis of the Thermochemical Conversion of Flax Straw via Pyrolysis
by Aknur Temireyeva, Yerbol Sarbassov and Dhawal Shah
Eng 2025, 6(12), 372; https://doi.org/10.3390/eng6120372 - 17 Dec 2025
Viewed by 405
Abstract
Pyrolysis is a promising thermochemical conversion process for transforming biomass waste into valuable products like bio-oil, syngas, and biochar. Understanding the thermodynamic efficiency of this process is important for optimizing its design and operation conditions. This study presents a novel approach for analyzing [...] Read more.
Pyrolysis is a promising thermochemical conversion process for transforming biomass waste into valuable products like bio-oil, syngas, and biochar. Understanding the thermodynamic efficiency of this process is important for optimizing its design and operation conditions. This study presents a novel approach for analyzing lignocellulosic biomass pyrolysis, including flax straw, by using conventional and advanced exergy techniques at different operating temperatures. Using Aspen Plus software, the pyrolysis process was accurately simulated, and system inefficiencies and possible areas for improvement were identified by performing both conventional and advanced exergy analysis. This study addresses the requirements to maximize the yield of valuable products, such as biochar, bio-oil, and biogas, while minimizing exergy losses. The pyrolysis reactor, cyclone, and flash were the main sources of exergy destruction, accounting for 32.2%, 31.8%, and 18.7% of the total exergy destruction, respectively. An advanced exergy analysis revealed that endogenous exergy, which is attributable to internal system irreversibilities, was the primary contributor to exergy destruction within the flax straw pyrolysis process. Notably, 35.6% of the total exergy loss can be potentially mitigated. The findings further suggest that temperature optimization has the potential to significantly reduce exergy destruction by 31.7% via enhancing reaction kinetics and overall conversion efficiency. Full article
(This article belongs to the Special Issue Advances in Decarbonisation Technologies for Industrial Processes)
Show Figures

Figure 1

71 pages, 6657 KB  
Review
Biomass Pyrolysis Pathways for Renewable Energy and Sustainable Resource Recovery: A Critical Review of Processes, Parameters, and Product Valorization
by Nicoleta Ungureanu, Nicolae-Valentin Vlăduț, Sorin-Ștefan Biriș, Neluș-Evelin Gheorghiță and Mariana Ionescu
Sustainability 2025, 17(17), 7806; https://doi.org/10.3390/su17177806 - 29 Aug 2025
Cited by 24 | Viewed by 8011
Abstract
The increasing demand for renewable energy has intensified research on lignocellulosic biomass pyrolysis as a versatile route for sustainable energy and resource recovery. This study provides a comparative overview of main pyrolysis regimes (slow, intermediate, fast, and flash), emphasizing operational parameters, typical product [...] Read more.
The increasing demand for renewable energy has intensified research on lignocellulosic biomass pyrolysis as a versatile route for sustainable energy and resource recovery. This study provides a comparative overview of main pyrolysis regimes (slow, intermediate, fast, and flash), emphasizing operational parameters, typical product yields, and technological readiness levels (TRLs). Reactor configurations, including fixed-bed, fluidized-bed, rotary kiln, auger, and microwave-assisted systems, are analyzed in terms of design, advantages, limitations, and TRL status. Key process parameters, such as temperature, heating rate, vapor residence time, reaction atmosphere, and catalyst type, critically influence the yields and properties of biochar, bio-oil, and syngas. Increased temperatures and fast heating rates favor liquid and gas production, whereas lower temperatures and longer residence times enhance biochar yield and carbon content. CO2 and H2O atmospheres modify product distribution, with CO2 increasing gas formation and biochar surface area and steam enhancing bio-oil yield at the expense of solid carbon. Catalytic pyrolysis improves selectivity toward target products, though trade-offs exist between char and oil yields depending on feedstock and catalyst choice. These insights underscore the interdependent effects of process parameters and reactor design, highlighting opportunities for optimizing pyrolysis pathways for energy recovery, material valorization, and sustainable bioeconomy applications. Full article
(This article belongs to the Special Issue Sustainable Waste Process Engineering and Biomass Valorization)
Show Figures

Figure 1

34 pages, 4220 KB  
Review
Effects of Light Quality Adjustment in Microalgal Cultivation: Flashing Light and Wavelength Shifts in Photobioreactor Design
by Arima Marchese, Serena Lima, Alessandro Cosenza, Francesco Giambalvo and Francesca Scargiali
Processes 2025, 13(4), 1159; https://doi.org/10.3390/pr13041159 - 11 Apr 2025
Cited by 11 | Viewed by 5655
Abstract
The distribution of light within a microalgal culture and the choice of the best wavelengths are considered the most critical aspects in the scale-up of microalgal culture. Several studies have investigated these features, resulting in a substantial body of literature that analyzes the [...] Read more.
The distribution of light within a microalgal culture and the choice of the best wavelengths are considered the most critical aspects in the scale-up of microalgal culture. Several studies have investigated these features, resulting in a substantial body of literature that analyzes the effects in terms of an increase in biomass production or shift in its composition. This work addresses two types of light quality adjustments: the application of flashing light and shifts in light wavelength. The effects on microalgal culture are examined. Later, the application of these light features to photobioreactor design is described. Specifically, three kinds of photobioreactors are examined: (1) reactors designed to minimize light gradients, (2) reactors where the geometry produces a flashing light effect on the cells and (3) reactors that use filters to obtain a shift in the sunlight wavelength. The results showed that both the effect of flashing lights and wavelength shift strongly depends on various parameters such as the alga taken into consideration, the light intensity, the agitation type, growth medium, light intensity and temperature and, regarding the flashing light also, the frequency and the duty cycle. Despite all these specific differences, this work aims to resume and provide specific instruments for choosing operational parameters in microalgal cultivation and in photobioreactor design to achieve targeted outcomes, such as an increase in biomass production or in high-value compound accumulation. Full article
(This article belongs to the Special Issue Bioreactor Design and Optimization Process)
Show Figures

Figure 1

21 pages, 18800 KB  
Article
Research on Thermo-Mechanical Response of Solid-State Core Matrix in a Heat Pipe Cooled Reactor
by Xintong Peng, Cong Liu, Yangbin Deng, Jingyu Nie, Yingwei Wu and Guanghui Su
Energies 2025, 18(6), 1423; https://doi.org/10.3390/en18061423 - 13 Mar 2025
Cited by 2 | Viewed by 1134
Abstract
Due to its advantages of simple structure and high inherent safety, the heat pipe cooled reactor (HPR) could be widely applied in deep-sea navigation, deep-space exploration and land-based power supply as a promising advanced special nuclear power equipment option. In HPRs, the space [...] Read more.
Due to its advantages of simple structure and high inherent safety, the heat pipe cooled reactor (HPR) could be widely applied in deep-sea navigation, deep-space exploration and land-based power supply as a promising advanced special nuclear power equipment option. In HPRs, the space between the components (fuel rods and heat pipes) is filled with solid matrix material, forming a continuous solid reactor core. Thermo-mechanical response of the solid core is a special issue for HPRs and has great impacts on reactor safety. Considering the irradiation and burnup effects, the thermal and mechanical modeling of an HPR was conducted with ABAQUS-2021 in this study. The thermo-mechanical response under long-term normal operation, accident transients and single heat pipe failed conditions was simulated and analyzed. The whole core presents relatively good isothermality due to the high thermal conductivity of the solid matrix. As for the mechanical performance, the maximum stress was about 300 MPa, and the maximum displacement of the matrix could be as high as 3.7 mm. It could lead to significant variation of the reactor physical parameters, which warrants further attention in reactor design and safety analysis. Reactivity insertion accidents or single heat pipe failure has obvious influence on the thermo-mechanical performance of the local matrix, but they did not cause any failure risks, because the HPR design eliminates the dramatic power flash-up and the solid-state core avoids the heat transfer crisis caused by the coolant phase transition. A quantitative evaluation of thermo-mechanical performance was completed by this research, which is of great value for reactor design and safety evaluation of HPRs. Full article
(This article belongs to the Special Issue Optimal Design and Analysis of Advanced Nuclear Reactors)
Show Figures

Figure 1

20 pages, 7939 KB  
Article
Plastic Devolatilisation Kinetics During Isothermal High-Temperature Pyrolysis: Focus on Solid Products (Part I)
by Ieva Kiminaitė, Sebastian Wilhelm, Lukas Martetschläger, Clara Leonie Brigitte Eckert, Marcos Berenguer Casco, Nerijus Striūgas and Sebastian Fendt
Polymers 2025, 17(4), 525; https://doi.org/10.3390/polym17040525 - 18 Feb 2025
Cited by 3 | Viewed by 2961
Abstract
Incineration remains Europe’s main practice for plastic packaging waste treatment, primarily due to the limitations of mechanical recycling technology. Consequently, research and development of more sustainable and flexible approaches are of high importance. Thermochemical conversion of polypropylene, polystyrene, and municipal plastic packaging mix [...] Read more.
Incineration remains Europe’s main practice for plastic packaging waste treatment, primarily due to the limitations of mechanical recycling technology. Consequently, research and development of more sustainable and flexible approaches are of high importance. Thermochemical conversion of polypropylene, polystyrene, and municipal plastic packaging mix via high-temperature flash pyrolysis (1000 °C/s) is studied in this research, focusing on the kinetics and yields of the devolatilisation stage. The primary stage results in the formation of volatile organic compounds considered intermediate products for carbon black production. The experiments were conducted in a pressurised wire mesh reactor, investigating the influence of temperature (600–1200 °C), residence time (0.5–10 s), and pressure (1–25 bar). The positive effect of temperature on the volatile yield was observed up to 2–5 s. The devolatilisation stage was completed within a maximum of 5 s at temperatures ranging from 800 to 1200 °C. The pressure was determined to be a kinetically limiting factor of the process to up to 800 °C, and the effect was not present at ≥1000 °C. Raman spectroscopy measurements revealed that pyrolytic carbon deposited on the post-experimental meshes is structurally similar to the industrially produced carbon black. The kinetic data and developed model can be further applied in the upscale reactor design. Full article
(This article belongs to the Section Circular and Green Sustainable Polymer Science)
Show Figures

Figure 1

13 pages, 1811 KB  
Article
A Study on the Potential for the Application of Peanut Shells as a Reducer in the Process of Metal Recovery from Metallurgical Slags
by Lukasz Kortyka, Jerzy Labaj, Szymon Ptak, Albert Smalcerz, Leszek Blacha, Lukasz Mycka, Tomasz Matula and Robert Findorak
Sustainability 2024, 16(21), 9261; https://doi.org/10.3390/su16219261 - 25 Oct 2024
Cited by 5 | Viewed by 2799
Abstract
Copper production technology is a complex process consisting of many stages. The combination of pyrometallurgical and hydrometallurgical stages, on the one hand, complicates production while, on the other hand, allowing for a relatively selective separation of intermediate or waste materials that can be [...] Read more.
Copper production technology is a complex process consisting of many stages. The combination of pyrometallurgical and hydrometallurgical stages, on the one hand, complicates production while, on the other hand, allowing for a relatively selective separation of intermediate or waste materials that can be subjected to the process of recovery of useful components. Materials of this type are characterised by a much higher copper content relative to the ore material. On the other hand, due to the oxide form, reduction processes are used in which coke is mainly applied. Reduction of the unfavourable phenomenon of CO2 emissions, in this case, can be performed through the use of bioreducers, which are characterised by an inert carbon footprint since the generation of carbon dioxides is the same as its absorption at the stage of vegetation and growth. In this paper, the topic of determining the feasibility of using selected bioreducers, such as peanut shells, to verify their suitability in the process of reducing copper oxides as well as the impact on the working components of the laboratory reactor in which the process is carried out are discussed. In this case, raw materials with a composition similar to the that of slags produced at the copper production stage in a flash furnace were tested for reduction. The results referring to reducing lead and copper contents above 88% Pb and 98% Cu indicate the great potential of this type of bioreducer. An additional advantage is the relatively wide availability of peanut resources. The effects of the copper reduction time on the degree of decopperisation performed with a constant reducer addition at 1300 °C were studied in this paper. Following 1 h of the process, the copper content in the slag was 0.78 wt%, while the longer process duration resulted in a copper fraction of 0.19 wt%. Considering lead, its content was 0.33 wt% after the reduction process. Full article
Show Figures

Figure 1

31 pages, 2260 KB  
Review
Comprehensive Review of Biomass Pyrolysis: Conventional and Advanced Technologies, Reactor Designs, Product Compositions and Yields, and Techno-Economic Analysis
by Wojciech Jerzak, Esther Acha and Bin Li
Energies 2024, 17(20), 5082; https://doi.org/10.3390/en17205082 - 12 Oct 2024
Cited by 72 | Viewed by 26274
Abstract
Pyrolysis is an environmentally friendly and efficient method for converting biomass into a wide range of products, including fuels, chemicals, fertilizers, catalysts, and sorption materials. This review confirms that scientific research on biomass pyrolysis has remained strong over the past 10 years. The [...] Read more.
Pyrolysis is an environmentally friendly and efficient method for converting biomass into a wide range of products, including fuels, chemicals, fertilizers, catalysts, and sorption materials. This review confirms that scientific research on biomass pyrolysis has remained strong over the past 10 years. The authors examine the operating conditions of different types of pyrolysis, including slow, intermediate, fast, and flash, highlighting the distinct heating rates for each. Furthermore, biomass pyrolysis reactors are categorized into four groups, pneumatic bed reactors, gravity reactors, stationary bed reactors, and mechanical reactors, with a discussion on each type. The review then focuses on recent advancements in pyrolysis technologies that have improved efficiency, yield, and product quality, which, in turn, support sustainable energy production and effective waste management. The composition and yields of products from the different types of pyrolysis have been also reviewed. Finally, a techno-economic analysis has been conducted for both the pyrolysis of biomass alone and the co-pyrolysis of biomass with other raw materials. Full article
Show Figures

Figure 1

22 pages, 4462 KB  
Article
Experimental Investigation of Physicochemical Properties of the Produced Biodiesel from Waste Frying Oil and Its Blend with Diesel Fuel
by Grzegorz Wcisło, Agnieszka Leśniak, Dariusz Kurczyński and Bolesław Pracuch
Energies 2024, 17(16), 4175; https://doi.org/10.3390/en17164175 - 22 Aug 2024
Cited by 11 | Viewed by 3601
Abstract
The imperative of utilising alternative fuels for the operation of internal combustion engines stems from the requirements to reduce the emissions of greenhouse gases and other contaminants, the substantial demand for fuels, and the diminishing reserves of natural resources. The global inclination towards [...] Read more.
The imperative of utilising alternative fuels for the operation of internal combustion engines stems from the requirements to reduce the emissions of greenhouse gases and other contaminants, the substantial demand for fuels, and the diminishing reserves of natural resources. The global inclination towards sustainable development necessitates the employment of biofuels as a substitute for fossil fuels. Nonetheless, the expenditures on raw materials for the manufacture of biodiesel remain substantial, thus underlining the importance of exploring solutions for reducing them. An instance of this could be the utilisation of plant and animal by-products, such as used frying oils and slaughterhouse waste, as feedstock for biodiesel production. Not only will this facilitate the creation of less costly biofuel, but it will also provide an effective solution for the management of post-production waste. The objective of the research delineated in this paper was to ascertain select physicochemical attributes of second-generation biodiesel, derived from spent frying oil, as well as mixtures of this biodiesel with diesel and biodiesel concentrations of 10, 20, and 30% (v/v). The biodiesel produced is the waste frying oil methyl esters WFOME. The proprietary GW-201 reactor was employed in the production of biodiesel. For WFOME biodiesel, DF diesel, and their blends—B10, B20, and B30—properties that influence the formation process of the combustible mixture, autoignition, and combustion of fuel–air mixtures in self-ignition engines were determined. The conducted research has established that “B” type fuels prepared from WFOME and DF present a viable alternative to fossil fuels. Pure biodiesel exhibited a marginally reduced lower heating value, however, in the case of fuel mixtures comprising up to 30% (v/v) biodiesel and diesel, the lower heating values approximated that of diesel. An elevated cetane number alongside an increased flash point of pure B100 biodiesel have been noted. The values of cetane number for WFOME and DF mixtures were found to be either comparable or marginally higher than those of pure DF diesel fuel. Full article
(This article belongs to the Special Issue New Challenges in Waste-to-Energy and Bioenergy Systems)
Show Figures

Figure 1

22 pages, 5171 KB  
Article
Flash Pyrolysis of Waste Tires in an Entrained Flow Reactor—An Experimental Study
by Balan Ramani, Arqam Anjum, Eddy Bramer, Wilma Dierkes, Anke Blume and Gerrit Brem
Polymers 2024, 16(12), 1746; https://doi.org/10.3390/polym16121746 - 20 Jun 2024
Cited by 6 | Viewed by 3713
Abstract
In this study, a flash pyrolysis process is developed using an entrained flow reactor for recycling of waste tires. The flash pyrolysis system is tested for process stability and reproducibility of the products under similar operating conditions when operated continuously. The study is [...] Read more.
In this study, a flash pyrolysis process is developed using an entrained flow reactor for recycling of waste tires. The flash pyrolysis system is tested for process stability and reproducibility of the products under similar operating conditions when operated continuously. The study is performed with two different feedstock materials, i.e., passenger car (PCT) and truck tire (TT) granulates, to understand the influence of feedstock on the yield and properties of the pyrolysis products. The different pyrolytic products i.e., pyrolytic carbon black (pCB), oil, and pyro-gas, are analyzed, and their key properties are discussed. The potential applications for the obtained pyrolytic products are discussed. Finally, a mass and energy balance analysis has been performed for the developed pyrolysis process. The study provides insight into the governing mechanisms of the flash pyrolysis process for waste tires, which is useful to optimize the process depending on the desired applications for the pyrolysis products, and also to scale up the pyrolysis process. Full article
(This article belongs to the Special Issue Recycling of Plastic and Rubber Wastes)
Show Figures

Figure 1

23 pages, 2891 KB  
Article
Fast Pyrolysis of Municipal Green Waste in an Auger Reactor: Effects of Residence Time and Particle Size on the Yield and Characteristics of Produced Oil
by M. M. Hasan, M. G. Rasul, M. I. Jahirul and M. M. K. Khan
Energies 2024, 17(12), 2914; https://doi.org/10.3390/en17122914 - 13 Jun 2024
Cited by 17 | Viewed by 2692
Abstract
The development of renewable sources for energy production has assumed a vital role in recent years, particularly with regard to the preservation of energy supplies and the environment. In this regard, municipal green waste (MGW) can be a potential renewable energy source if [...] Read more.
The development of renewable sources for energy production has assumed a vital role in recent years, particularly with regard to the preservation of energy supplies and the environment. In this regard, municipal green waste (MGW) can be a potential renewable energy source if it is integrated with emerging technology, like pyrolysis. Therefore, this study aimed at investigating the effect of residence time and particle size on the yield and composition of oil derived from MGW using fast pyrolysis in an auger reactor. The residence time and particle size were varied from 1 min to 4 min and 1 mm to 10 mm, respectively, while keeping the temperature constant at 500 °C. At a residence time of 3 min, a 2 mm particle size provided the highest bio-oil yield (39.86%). At this experimental setting, biochar yield of 27.16% and syngas yield of 32.98% were obtained. The characterization of produced bio-oil revealed that a total of nine functional groups were present in the bio-oil. The phenols were highest in amount, followed by aromatics and ketones. The increase in residence time decreased the amount of acidic compounds present in the bio-oil. The water content was decreased by ~11% and the calorific value was increased by ~6% with the increase in particle size from 1 mm to 10 mm. Other properties, such as viscosity, density, cetane number, and flash point, did not change significantly with the change in experimental conditions. With a calorific value of 25+ MJ/kg, although the bio-oil produced from MGW can be used for heating (such as in boilers and furnaces), the use of MGW bio-oil in engines requires appropriate upgrading through procedures like hydrodeoxygenation, catalytic cracking, esterification, etc. Full article
(This article belongs to the Section I1: Fuel)
Show Figures

Figure 1

15 pages, 2487 KB  
Article
Liquid Fuel Generation from Onion Shell: An Experimental Approach of Pyrolysis Process
by Md. Alamgir Hossain, Fazlur Rashid, Md. Shamim Akhter, Muhammad Aziz and Md. Emdadul Hoque
Energies 2024, 17(9), 2171; https://doi.org/10.3390/en17092171 - 1 May 2024
Cited by 5 | Viewed by 2911
Abstract
Energy demand is rising over time in both developing and developed countries. Therefore, finding new sources of energy is a prime concern now. For this effort, this paper presents the pyrolysis of onion (Allium cepa) shells in a reactor with a [...] Read more.
Energy demand is rising over time in both developing and developed countries. Therefore, finding new sources of energy is a prime concern now. For this effort, this paper presents the pyrolysis of onion (Allium cepa) shells in a reactor with a fixed bed for generating alternative liquid fuel. This paper also compares alternative fuel characteristics, including higher heating value, viscosity, density, pour point, and flash point, with conventional petroleum fuels at optimal process conditions. The work adopted pyrolysis to produce liquid fuel at a temperature range of 400–550 °C and utilized LPG to provide a heat source. The liquid product (fuel oil) was collected, and non-condensable gas was flared. The liquid product was tested for various properties, and the results of the analyses show that alternative fuel has a higher heating value of 12.227 MJ/kg, density of 800 kg/m3, viscosity of 4.3 cP at 30 °C, pour point below −6.2 °C, and flash point around 137 °C, with a variation due to the volatile matters. To obtain favorable conditions for pyrolysis, some parameters, including bed temperature, sample quantity, average particle size, and operating time, were varied and analyzed. The physio-chemical properties made the alternative fuels isolated from conventional petroleum fuels due to the variation in distillation temperature. This work shows that the fuel oil generated from the pyrolysis of onion shells could be considered an alternative source of fuel. Full article
(This article belongs to the Special Issue Biomass and Municipal Solid Waste Thermal Conversion Technologies II)
Show Figures

Figure 1

16 pages, 3568 KB  
Article
Distribution of Copper, Iron, and Sulfur in Copper Concentrate Particles during Oxidation under Simulated Flash Smelting Conditions
by Manuel Pérez-Tello, Valeria de la Paz-Ojeda, Víctor R. Parra-Sánchez, Eugenia A. Araneda-Hernández, Madrioly C. Fernández-Sagredo and Eduardo A. Villagrán-Guerra
Minerals 2024, 14(3), 315; https://doi.org/10.3390/min14030315 - 16 Mar 2024
Cited by 2 | Viewed by 2579
Abstract
The distribution of copper, iron, and sulfur during the oxidation of La Caridad copper concentrate particles under simulated flash smelting conditions was studied in a laboratory reactor. Six wet-sieved size fractions and the unsieved copper concentrate were oxidized at 1123 K and 40% [...] Read more.
The distribution of copper, iron, and sulfur during the oxidation of La Caridad copper concentrate particles under simulated flash smelting conditions was studied in a laboratory reactor. Six wet-sieved size fractions and the unsieved copper concentrate were oxidized at 1123 K and 40% and 70% O2 by volume in the process gas during the experiments. Samples of partially oxidized particles were collected at 0.2, 0.8, and 0.9 m from the point of entry and analyzed in a QEMSCAN® unit to determine the elemental composition within the population of particles. The distribution of the major elements during oxidation was strongly dependent upon the size and chemical composition of the initial particles. Overall, the copper content tended to increase and sulfur content decreased along the reactor length within all sizes. In contrast, the distribution of iron did not follow a general trend, as it was found to increase, decrease, or remain unchanged depending on the particle size. This finding may represent a key feature to further investigate the reaction path followed by particles during flash smelting, especially those associated with particle fragmentation. In general, the larger the particle size was, the larger the change in the content of the major elements within the particle population. Based on the experimental results, particles within a size fraction of <45 µm tended to follow a reaction path consisting of rapid melting followed by the collision and coalescence of reacting droplets during flight. In contrast, particles within the fraction of 45–53 µm tended to react individually. The oxidation behavior of the unsieved concentrate particles showed a combination of both reaction paths. Full article
(This article belongs to the Special Issue Thermodynamics, Mechanism and Kinetics of Metallurgical Processes)
Show Figures

Figure 1

20 pages, 2405 KB  
Article
The Role of Catalyst Promotive Additives and Temperature in the Hydroisodewaxing Process
by Kamilla Abdildina, Gulzira Vassilina, Albina Abdrassilova, Ivan A. Klassen, Raigul Orynbassar and Fatima Kanapiyeva
Molecules 2023, 28(22), 7598; https://doi.org/10.3390/molecules28227598 - 15 Nov 2023
Cited by 6 | Viewed by 1755
Abstract
One of the valuable fractions of paraffinic oils is the diesel fraction, which can be used as a commercial fuel. However, the high content of alkanes of normal structure (~10–40%) in the diesel fraction leads to a deterioration in the performance characteristics of [...] Read more.
One of the valuable fractions of paraffinic oils is the diesel fraction, which can be used as a commercial fuel. However, the high content of alkanes of normal structure (~10–40%) in the diesel fraction leads to a deterioration in the performance characteristics of the fuel and, as a result, the inability to use the diesel fraction without additional processing in the cold season at lower temperatures, which is critical for many regions with cold winters. The process of catalytic dewaxing is one of the most promising ways to improve the low-temperature characteristics of diesel fractions. This work is devoted to studying the activity of promoted Ni, Mo, and Ni-Mo catalysts based on mesoporous aluminosilicate and pre-activated bentonite in dewaxing diesel fractions. The effect of the nature and content of promoting additives on the activity of bifunctional catalysts in the process of hydroisodewaxing of diesel fraction in a flow-type reactor in the temperature range of 260–340 °C, pressure of 2 MPa and feed space velocity of 1 h–1 was studied. It is shown that the synthesized bifunctional catalysts based on mesoporous aluminosilicate and pre-activated bentonite from the Tagan field (Ni/MAS-H-bentonite, Mo/MAS-H-bentonite, and Ni-Mo/MAS-H-bentonite) have the necessary balance of Lewis and Bronsted acid centers strengths. It allows them to selectively conduct the hydroisodewaxing process. It has been established that the use of the synthesized 5% Ni-1% Mo/MAS-H-bentonite bifunctional catalyst in the diesel fractions hydroisodewaxing process under optimal process conditions makes it possible to obtain diesel fuel with low-temperature characteristics that meet the requirements for cold climate fuels: cold filter plugging point (CFPP)—minus 33 °C, flash point in a closed cup—39 °C and pour point—minus 36 °C. Full article
(This article belongs to the Section Applied Chemistry)
Show Figures

Graphical abstract

17 pages, 4161 KB  
Article
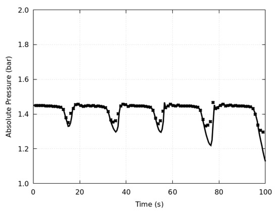
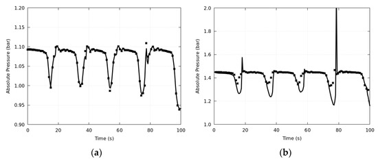
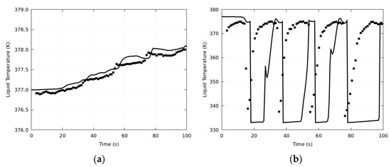
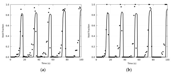
CFD Modeling of Phase Change during the Flashing-Induced Instability in a Natural Circulation Circuit
by Yixiang Liao and Dirk Lucas
Processes 2023, 11(7), 1974; https://doi.org/10.3390/pr11071974 - 29 Jun 2023
Cited by 4 | Viewed by 2792
Abstract
Flashing-induced instability (FII) has a significant impact on the safe operation of a natural circulation circuit, a phenomenon frequently encountered in the cooling systems of advanced light water reactors. While one-dimensional system codes are commonly used for the engineering design and safety analysis [...] Read more.
Flashing-induced instability (FII) has a significant impact on the safe operation of a natural circulation circuit, a phenomenon frequently encountered in the cooling systems of advanced light water reactors. While one-dimensional system codes are commonly used for the engineering design and safety analysis of FII, there is a strong academic interest in understanding the underlying physical mechanisms. To address this, high-resolution computational fluid dynamics (CFD) simulations serve as a valuable tool. However, the current state of CFD modeling for two-phase flows with phase change, which are particularly highly transient fluctuating flashing flows, is still in its early stages of development. In this study, we establish a CFD model that focuses on interphase heat transfer to analyze the phase change during FII. By incorporating experimental data from the literature, we investigate the transient flow field and thermodynamic behavior in the riser of the GENEVA test facility. The study provides valuable insights into the non-equilibrium and interfacial transfer phenomena during the phase change as well as the effect of high-frequency fluctuation. Additionally, we discuss in detail the challenges associated with FII modeling and the limitations of the current model. We also provide suggestions for potential improvements in future numerical studies. The results show that the thermal phase change and heat transfer coefficient model adopted for the simulation reasonably captures the evaporation and condensation process. However, it tends to under-predict the evaporation rate, which results in a larger pressure drop through the riser. The observation that the void fraction close to the wall is higher than that in the riser center evidences that the reliable modeling of bubble size distribution as well as the inclusion of non-drag forces are important for predicting the transverse void distribution. Furthermore, it reveals that both the temperature and pressure change in an FII, and their effects on phase change should be taken into account simultaneously. Full article
(This article belongs to the Section Process Control and Monitoring)
Show Figures

Figure 1

Back to TopTop