You are currently on the new version of our website. Access the old version .
FireFire
  • Article
  • Open Access

13 January 2026

Cone Calorimeter Reveals Flammability Dynamics of Tree Litter and Mixed Fuels in Central Yunnan

,
,
,
,
,
,
,
,
and
1
Yunnan Key Laboratory of Forest Disaster Warning and Control, College of Civil Engineering, Southwest Forestry University, Kunming 650224, China
2
National Forestry and Grassland Fire Monitoring, Early Warning and Prevention Engineering Technology Research Center, Ecology and Nature Conservation Institute, Chinese Academy of Forestry, Beijing 100091, China
3
Kunming Forest Fire Prevention and Control and Forest and Grass Information Center, Kunming 650500, China
4
College of Big Data and Intelligent Engineering, Southwest Forestry University, Kunming 650224, China

Abstract

The characteristics of litter combustion have a significant impact on the spread of surface fires in the central Yunnan Province, a high-risk forest fire zone. The burning behavior of individual and mixed-species litter samples from five dominant tree species (Pinus yunnanensis Franch., Keteleeria evelyniana Mast., Quercus variabilis Blume., Quercus aliena var. acutiserrata, and Alnus nepalensis D. Don.) was assessed in this study using cone calorimeter tests. Fern fronds and fine branches were included in additional tests to evaluate their effects on specific combustion parameters, such as Fire Performance Index (FPI), Flame Duration (FD), Time to Ignition (TTI), Mass Loss Rate (MLR), Residual Mass Fraction (RMF), Peak Heat Release Rate (PHRR), and Total Heat Release (THR). There were remarkable differences in the burning properties of the three types of litter (broadleaf, pine needles, and short pine needles). The THR and PHRR values of P. yunnanensis were the highest, whereas the PHRR of the other species varied very little. Short pine needle litter showed incomplete combustion and a long flame duration. When measured against pure pine needle litter, mixtures of P. yunnanensis and broadleaf litter showed lower PHRR. When set side by side to pure pine needle litter, P. yunnanensis and broadleaf litter showed lower PHRR. THR rose when fine branches were included, underlining the significance of fine woody fuels in fire behavior. The insertion of ferns increases the percentage of unburned biomass, prolongs TTI, and dramatically reduces PHRR.

1. Introduction

The Central Yunnan area is designated as a priority area for ecological conservation and forest protection in Yunnan Province, and possesses a subtropical climate with minimal variations in temperature throughout the year, but significant variations from day to night. There are distinct alternating wet and dry seasons, and it seldom rains much in the winter and spring. This area harbors exceptionally rich forest resources dominated by Pinus yunnanensis forests and mixed P. yunnanensis-broadleaf forests. These forests are primarily composed of secondary vegetation and plantation sections [1]. The complex terrain and microclimates in central Yunnan make it a high-frequency and high-risk region in China. This challenging context results in complex fire behavior and poses substantial difficulties for forest fire prevention efforts. Therefore, effective fuel management is crucial in this field.
Forest fuels are the materials that sustain and propagate forest fires [2]. A forest’s flammability is the capacity of fuels to ignite a flame when the right conditions are present, as well as how quickly they burn and how they behave while burning [3]. Flammability is a crucial component of forest fire risk assessment since it has a significant impact on the initiation, growth, and spread of forest fires [4]. Many scholars have conducted extensive research on fuel flammability. Zhao et al. specifically highlighted that mixing litter from different species can produce non-additive effects on flammability, and that this effect is closely related to litter particle size [5]. Campos-Ruiz et al. assessed the relative contributions of living needle morphology, moisture, and chemical content to the flammability of Pinus banksiana needles [6]. Furthermore, the methods used for collecting and preparing litter samples can significantly influence their packing structure and physical properties, thereby exerting a substantial influence on the combustion characteristics measured in laboratory experiments [7]. Martin established a four-dimensional framework for assessing flammability: consumability, which refers to the proportion of fuel consumed by fire; sustainability, which describes the duration of combustion; combustibility, which signifies the mass loss rate; and ignitability, which relates to the delay of ignition [8].
Additionally, there are currently few comparative studies on regional multi-species systems, and most research focuses on tree species that occur in Northern China or temperate zones, frequently using single-species laboratory analyses [9]. The frequency of forest fires is intrinsically related to species composition [10]. Among surface fuels, litter—particularly leaf litter—serves as the primary vector for fire spread, exhibiting substantial flammability variations across species-specific litter mixtures [11]. Litter accumulation levels and physicochemical properties (e.g., moisture content, crude fat content, specific surface area) directly govern fire behavior, including ignition probability, fire intensity, and spread rate [12]. Thus, the flammability characteristics of litter from various tree species exhibit significant differences. This study aims to quantify the combustion properties of prevalent tree litter in Central Yunnan using a cone calorimeter and to evaluate the differences in flammability between broadleaf and needle fuels, as well as their mixtures, thereby informing local fuel management strategies for wildfire prevention. We integrate species’ ecological functions (e.g., fire-resistant species selection) to formulate management strategies balancing fire prevention and biodiversity conservation [13].

2. Methods and Materials

2.1. Study Site and Sampling

The study area is located in Xinping County (23°38′15″~24°26′05″ N, 101°16′30″~102°16′50″ E) in southwestern central Yunnan Province, which features predominantly mountainous terrain (98.03% of its 4139.6 km2 area), with elevations descending from the northwest (max. 3165.9 m) to the southeast (min. 422.0 m) through deeply incised valleys [14]. Its altitudinally modulated temperate climate generates three distinct zones: high-temperature river valleys, warm-temperate mid-mountains, and cold-temperate high mountains. Its annual temperatures range from 1.3 °C to 32.8 °C (mean: 18.0 °C), with 869.0 mm precipitation and 2838 sunshine hours. The frost-free period lasts around 316 days. Fire regimes in the county display marked seasonality, with elevated incidence during winter and spring when conditions are drier and more conducive to fire. The official fire prevention period extends from December through June of the following year, with prescribed burning practices at Zhaobi Mountain typically commencing in February [15]. Zhaobi Mountain is situated in Xinping County, with coordinates ranging from 102°0′7″–102°0′8″ E to 24°2′38″–24°2′41″ N.
Xinping County is characterized by a forested area spanning approximately 320,000 ha, which corresponds to a forest coverage rate of 60.96%. The natural forest component encompasses roughly 220,000 ha, whereas the artificially regenerated forest area—inclusive of forests established through aerial seeding methods—occupies approximately 96,000 ha. P. yunnanensis emerges as the dominant coniferous species within this geographical region, typically constituting monospecific stands that predominantly exhibit a single-stratum structure. These forests are primarily established via aerial seeding techniques. The forest harbors arborescent species, including Keteleeria evelyniana Mast., Quercus aliena var. acutiserrata, Quercus variabilis Blume, Alnus nepalensis D. Don, Castanopsis orthacantha Franch., etc. Fern plants are relatively well-developed, covering 20%~40% of the ground, with an average height of around 60 cm, featuring species such as Pteridium aquilinum (L.) Kuhn, Dryopteris sparsa (Buch.-Ham. ex D. Don) Kuntze, etc.
Litter samples from representative plant species were collected in May 2025, precisely three months following the implementation of the 2025 prescribed burning areas. This timing strategically preceded the onset of the rainy season to minimize decomposition acceleration induced by precipitation [16]. The prescribed fire’s thermal impact caused significant foliar thermal injury, disrupting the metabolic equilibrium and triggering extensive senescence and decay [17,18]. The samples consisted of senesced needles and leaves that had abscised from trees following thermal injury caused by the prescribed burning. This heat stress triggered localized senescence in lower-canopy foliage, resulting in a layer of recently fallen, discolored litter deposited directly atop the burned forest floor. We specifically collected the superficial layer of this post-fire litter. For each species, litter was gathered from beneath the canopy of 30 selected trees and combined into a composite sample in the laboratory. At the time of collection, these litter fragments remained largely intact and retained sufficient residual moisture, maintaining a pliable condition. Therefore, our study characterizes the combustion properties of the freshly abscised, fire-affected litter that forms a key component of the post-treatment fuel, rather than either live foliage or fully charred remains.

2.2. Experimental Design

The collected samples were dehydrated in forced-air drying ovens at 105 °C until they maintained constant mass. Fuel moisture content (FMC) for each type of litter was determined by measuring mass variations using electronic analytical balances. The FMC was computed as follows:
F M C = m 1 m 2 m 2 × 100 %
where m1 is the fresh weights (g); m2 is the weights after dry (g).
The processed samples were subsequently equilibrated for 48 h in a controlled environment maintained at 24 °C (±2 °C) air temperature and 35% (±5%) relative humidity in order to imitate real-world wildfire circumstances. This protocol simulated the mean diurnal conditions during Central Yunnan’s fire season, characterized by elevated temperatures and low humidity. Five dominant tree species (Pinus yunnanensis Franch., Keteleeria evelyniana Mast., Quercus variabilis Blume., Quercus aliena var. acutiserrata, Alnus nepalensis D. Don) were selected based on representative stand compositions within the study area. Individual species combustion tests were conducted using cone calorimetry. Additionally, binary mixtures pairing P. yunnanensis with each co-dominant species were prepared (Table 1). Particular emphasis was placed on conifer-broadleaf mixtures, as we hypothesized that morphological disparity in leaf structure primarily drives divergent fire behaviors. For each litter type, we aimed for a constant litter depth, representative of typical layer depths observed in our study area. Fuel bed depths were standardized at 15 mm for pure conifer litter, 25 mm for mixed litter, and 30 mm for pure broadleaf litter [19]. Given the non-negligible presence of P. yunnanensis fine woody fuels (≤3 mm diameter) and Pteridium aquilinum fern fronds in surface fine fuels, supplementary tests were designed to evaluate their combustion impacts. Each sample was weighed five times, and the mass represents the mean and standard deviation derived from these measurements.
Table 1. Litter types: pn = pine needle; sn = short needle; bl = broad leaf; dfb = downed fine branches; Mass = mean value and standard deviation of five repetitions per species/mixture. Depth indicates the layer depth in the sample holder.

2.3. Measurement of Combustion Characteristics

Combustion characteristics were quantified using a cone calorimeter (Manufacturer: Motis Combustion Technology Co., Ltd., Suzhou, China). Laboratory conditions during testing ranged from 21.4 °C to 27.6 °C with 35–45% relative humidity. Samples were uniformly packed in aluminum foil-lined 100 × 100 × 25 mm3 trays at predetermined depths, ensuring complete corner filling while avoiding breaking intact leaves. A fixed 25 mm distance was maintained between the radiant heat source and the fuel bed surface. The conical heater delivered a constant incident heat flux of 35 kW/m2 [20]. Due to the influence of heat, flammable gases released from the litter were ignited by an electric spark [21]. Mass loss dynamics were recorded at 0.1 s intervals using an electronic analytical balance (accuracy: ±0.01 g).
The cone calorimeter’s primary output is Heat Release Rate (HRR), derived from oxygen depletion measurements combined with exhaust gas flow rates. From HRR curves, we extracted the Peak Heat Release Rate (PHRR) and the Total Heat Release (THR). HRR represents the heat energy released per unit area (MJ/m2) under prescribed incident heat flux, which is significantly influenced by fuel loading [22]. To prevent weighing errors at minimal mass, Residual Mass Fraction (RMF) was calculated as the sample mass at 95% cumulative THR rather than post-combustion mass. Mass Loss Rate (MLR) denotes the temporal derivative of sample mass during combustion. Ignitability was evaluated via Time to Ignition (TTI), defined as the interval between thermal exposure onset and sustained flaming. Flame Duration (FD) was computed as the period between ignition and HRR decay to 10% of PHRR. Fire Performance Index (FPI) was introduced to reflect the burning properties of the plant itself, calculated as follows:
F P I = T T I P H R R

2.4. Statistical Analysis

The data were processed and analyzed using SPSS 26 statistical software (IBM Corp., Armonk, NY, USA). The normality and homogeneity of variance of the combustion parameters (PHRP, THR, TTI, FD, MLR, RMF, and FPI) were examined. Models were checked visually for normal distribution and homoscedasticity of the residuals. To check for significant differences between litter types, we calculated two-sided Tukey’s honest significance difference post hoc tests. Significance levels were set to p < 0.05. One-way ANOVA was used to assess species differences in combustion parameters. PCA was also conducted in SPSS to reduce the dimensionality of combustion variables to show flammability patterns across samples. All graphical outputs, including plots of combustion characteristics and PCA biplots, were generated using Origin 2021 (OriginLab Corporation, Northampton, MA, USA).

3. Results

3.1. Monospecific Litter Combustion

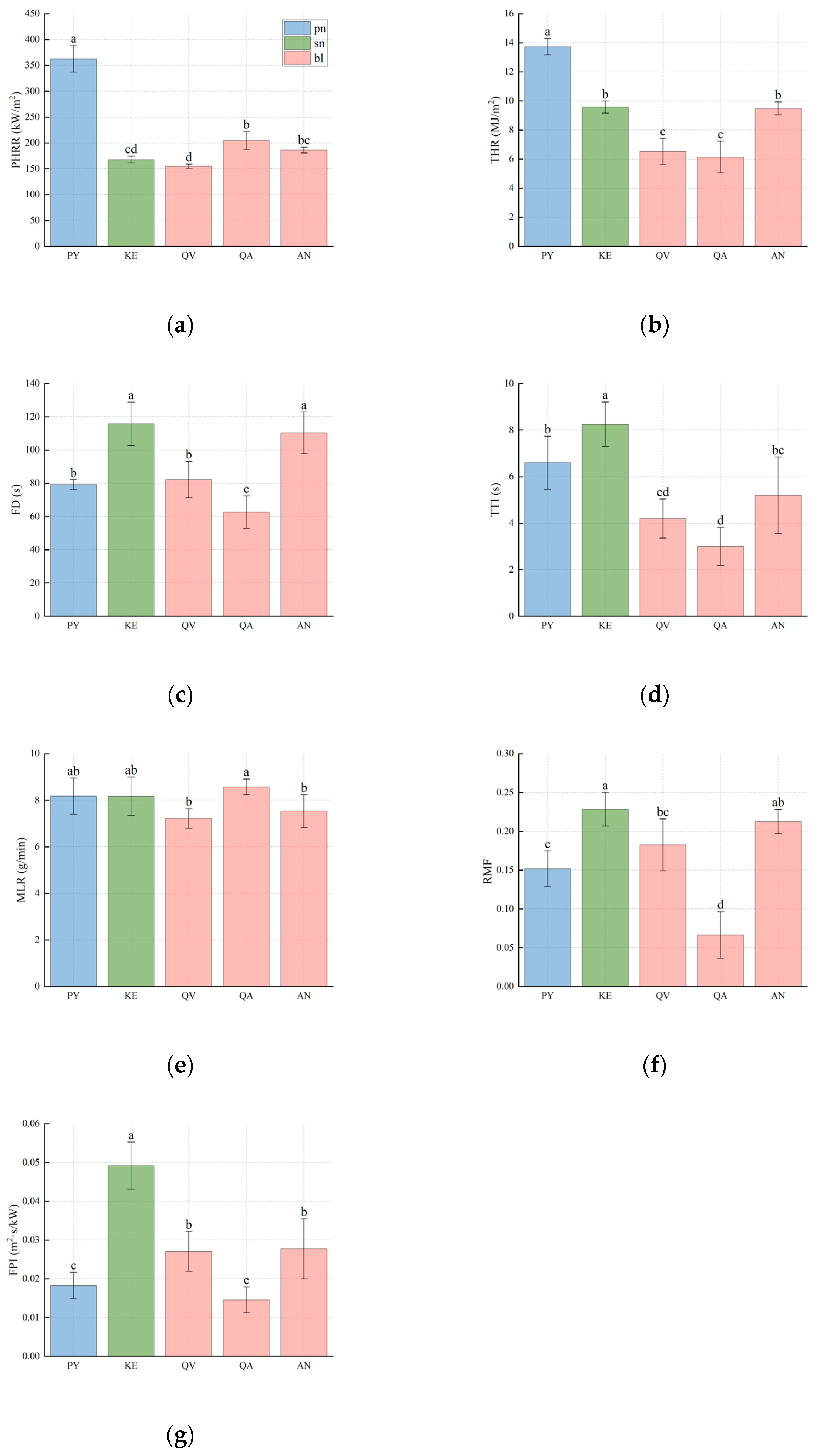
Single-species litters showed notable interspecific variation in combustion characteristics, which were mostly controlled by leaf morphotype (long, short, and broadleaves). Per unit mass analysis showed that P. yunnanensis had the highest PHRR and THR values, as shown in Figure 1. In spite of having the highest RMF and FPI, K. evelyniana also showed the longest FD and TTI. On the contrary hand, Q. aliena had the highest MLR of any species while exhibiting the lowest THR, FD, TTI, RMF, and FPI values. Out of all the different kinds of litter, Q. variabilis had the lowest PHRR.
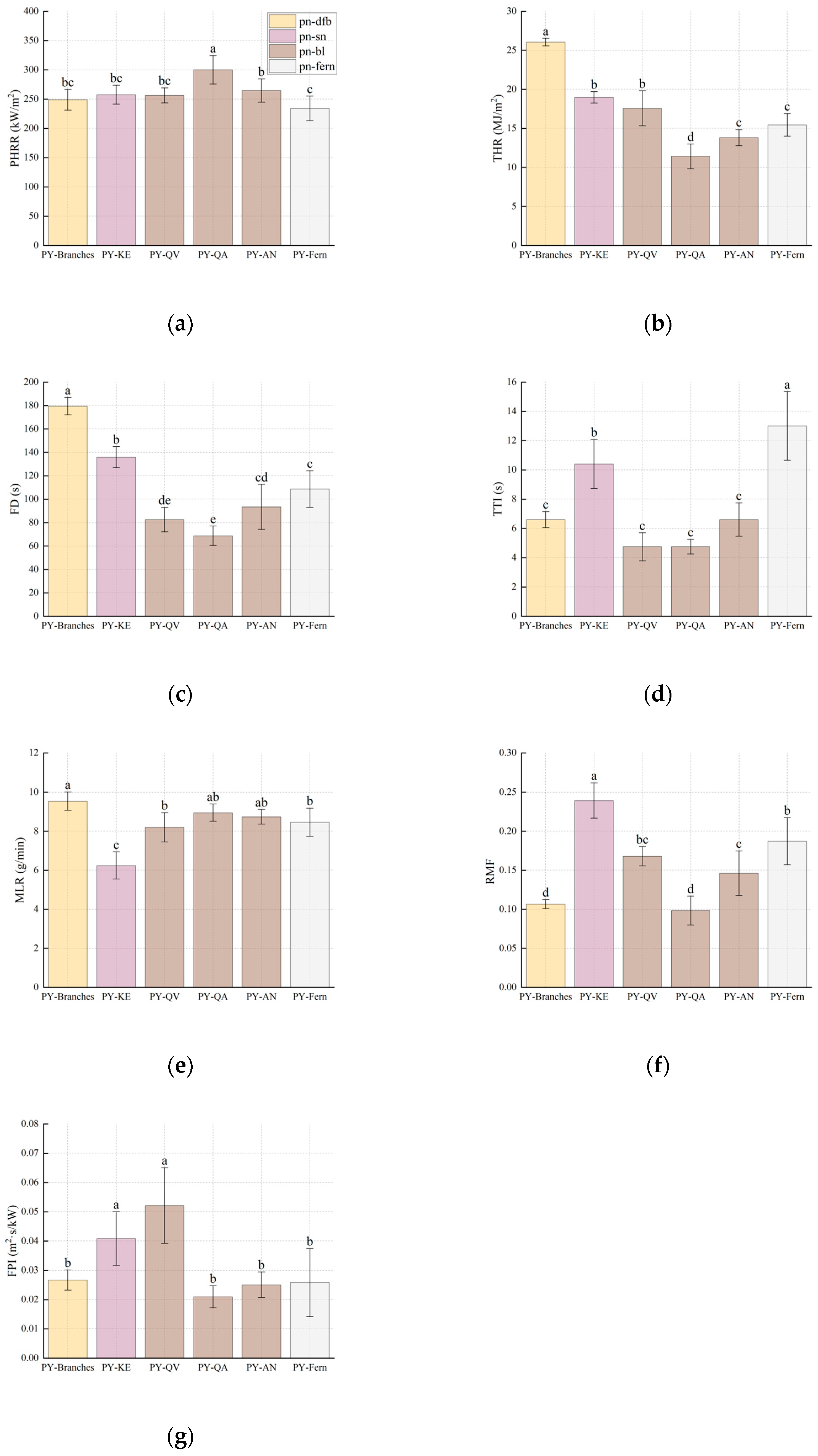
Figure 1. Mean values and standard errors of combustion properties of the mono-specific litter samples derived from cone calorimetry. Different letters indicate significant differences between samples. (a) PHRR, (b) THR, (c) FD, (d) TTI, (e) MLR, (f) RMF, (g) FPI. Points represent the mean, and whiskers the bootstrapped standard error. pn = pine needles, sn = short needles, bl = broadleaves.
Analysis of the combustion parameters revealed that P. yunnanensis attained a PHRR of 362.63 kW/m2, significantly exceeding other species (155.01~204.40 kW/m2). P. yunnanensis also demonstrated the highest THR (13.73 MJ·m−2), while K. evelyniana and A. nepalensis yielded lower THR values (9.58 MJ·m−2 and 9.49 MJ·m−2, respectively). Q. variabilis and Q. aliena registered the lowest THR (6.53 MJ·m−2 and 6.14 MJ·m−2, respectively). For temporal parameters, K. evelyniana exhibited the longest TTI (8.25 s) and FD (115.75 s) among all five litter types, whereas Q. aliena showed the shortest values (3 s and 62.75 s, respectively). MLR was significantly lower in Q. variabilis (7.22 g·min−1) and A. nepalensis (7.54 g·min−1) compared to other species (approximately 8.20 g·min−1). RMF peaked in K. evelyniana (0.23) and reached its minimum in Q. aliena (0.07). FPI indicated K. evelyniana (0.05 m2·s·kW−1) was significantly higher than that of all other taxa, with Q. aliena being the lowest (0.01 m2·s·kW−1), while Q. variabilis and A. nepalensis showed no significant difference.
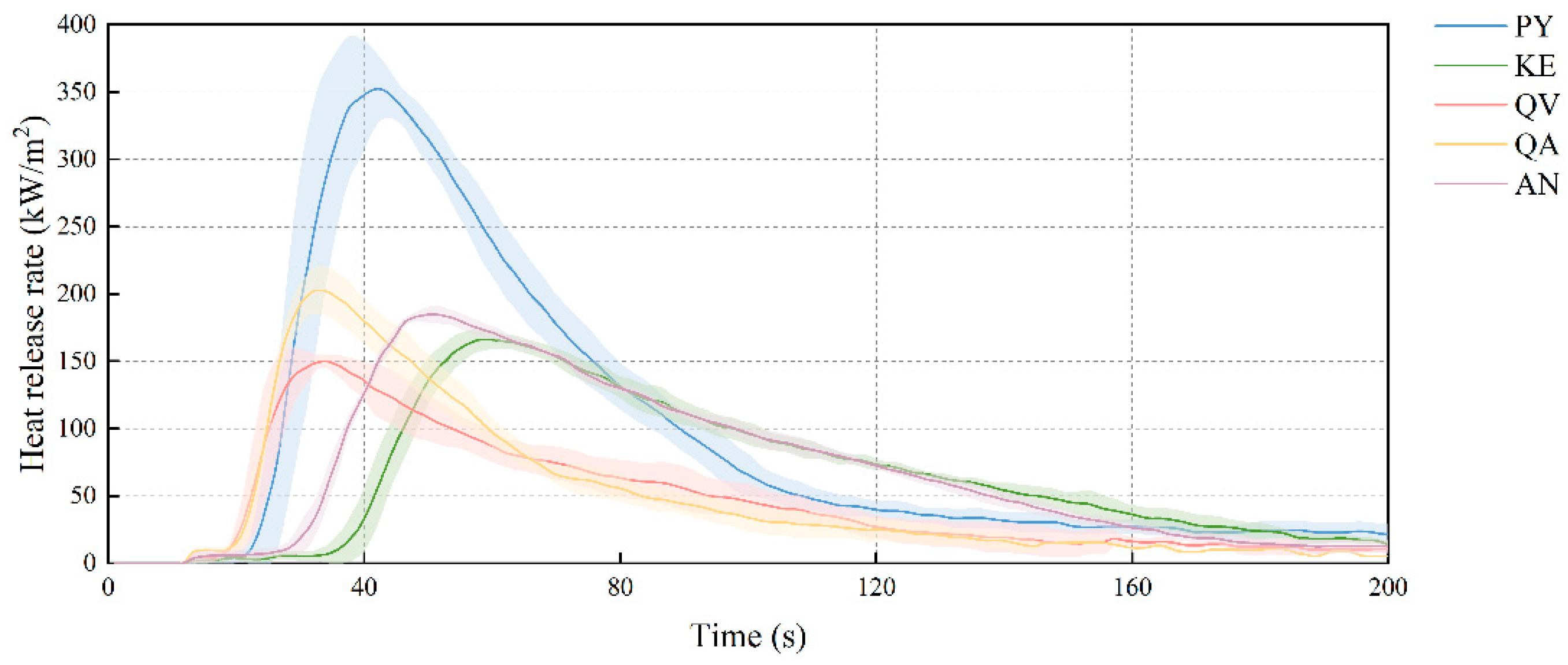
Heat release rate (HRR) curves exhibited significant divergence across the three leaf morphotypes, as depicted in Figure 2. P. yunnanensis demonstrated a rapid HRR surge to the highest peak among the three types, followed by abrupt decay. Q. aliena and Q. variabilis exhibited lower post-peak decay rates, declining to approximately 30 kW·m−2 within 120 s before entering the carbonization process. Conversely, K. evelyniana demonstrated the slowest decay, maintaining 75 kW/m2 beyond 120 s before a gradual descent toward baseline levels.
Figure 2. Heat release rate curves recorded during combustion of mono-specific leaf litter samples using cone calorimetry. Shaded areas represent standard errors calculated from five repeated measurements.

3.2. Mixed-Species Combustion

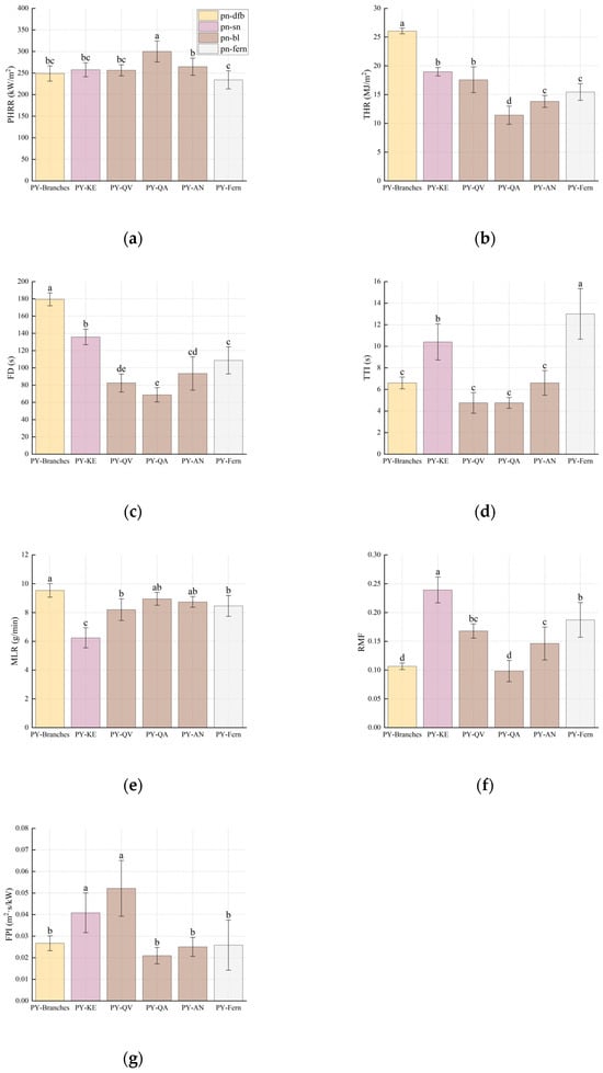
Analysis of mixed litter combustion characteristics (Figure 3) revealed that PY-Branches exhibited the highest values of THR, FD, and MLR among all groups, whereas PY-QA showed the lowest THR and FD, with PY-KE registering minimal MLR. Compared to pure P. yunnanensis litter, PY-Branches demonstrated significantly reduced PHRR, while other mixtures (PY-QV, PY-QA, PY-AN, PY-Fern) showed significantly increased PHRR, with PY-QA reaching the maximum (300.05 kW·m−2) and PY-Fern the minimum (234.08 kW·m−2). The mixed litter types formed a sequence in terms of combustion parameters, with PY-Branches showing the highest THR (26.05 MJ·m−2) and FD (179.4 s) values, followed by PY-KE (18.97 MJ·m−2; 135.8 s), and PY-QA the lowest (11.42 MJ·m−2; 68.75 s). TTI was maximized in PY-Fern (13 s), significantly exceeding PY-KE, PY-Branches, and broadleaf mixtures (PY-QV/PY-QA/PY-AN), where the lowest value in the broad-leaved group was only 4.75 s. For mass-related parameters, MLR peaked in PY-Branches (9.54 g·min−1) and troughed in PY-KE (6.24 g·min−1), with other groups showing non-significant differences. RMF exhibited a decreasing trend: PY-KE (0.24) > PY-Fern > Broadleaf mixtures > PY-Branches (0.11), while FPI reached its maximum in PY-QV (0.05 m2·s·kW−1), followed by PY-KE (0.04 m2·s·kW−1), and minimum in PY-QA (0.02 m2·s·kW−1), with no significant differences in the other three groups.
Figure 3. Mean values and standard errors of combustion properties of mixed leaf litter samples derived from cone calorimetry. Different letters indicate significant differences between samples. (a) PHRR, (b) THR, (c) FD, (d) TTI, (e) MLR, (f) RMF, (g) FPI. Points represent the mean, and whiskers the bootstrapped standard error. pn = long pine needles, sn = short needles, bl = broadleaves, dfb = downed fine branches.
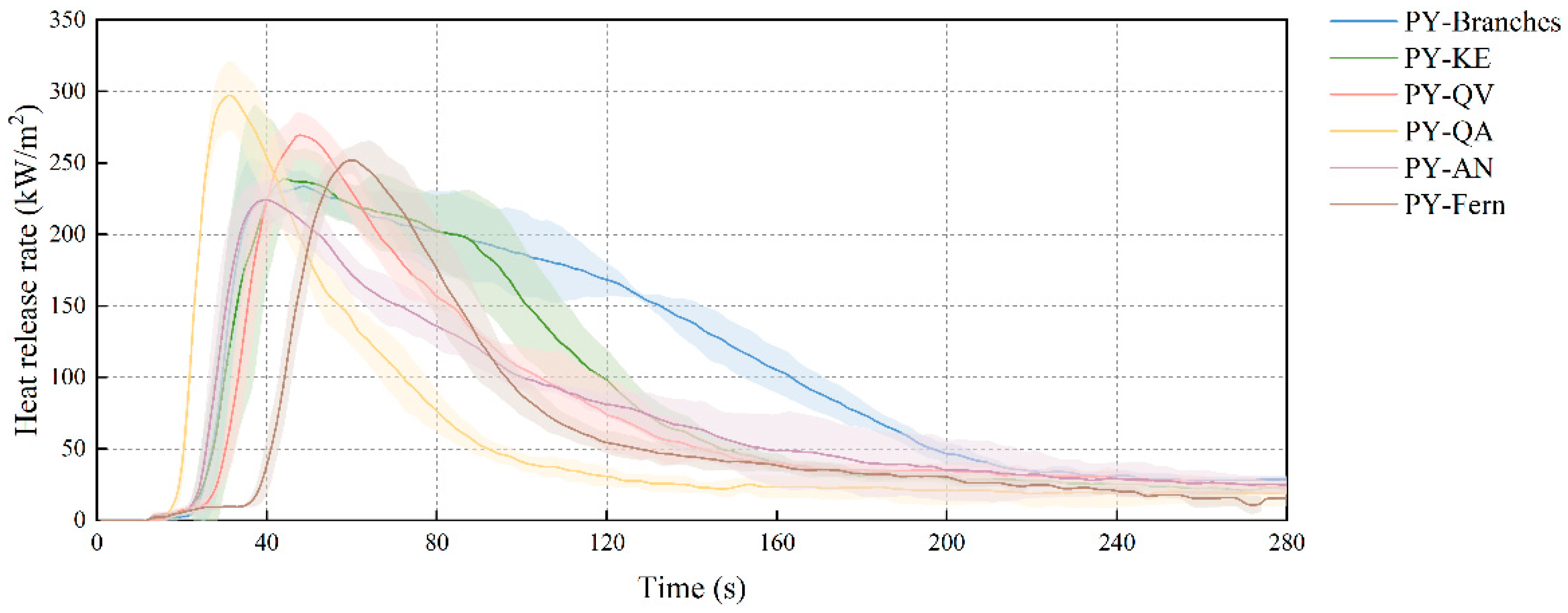
Heat release rate (HRR) profiles for mixed litter combustion reveal distinct burning regimes (Figure 4). PY-Fern exhibited pronounced ignition delay, achieving peak HRR the latest among all mixtures after ignition, followed by rapid decay. PY-Branches showed the slowest decay rate after peak HRR, indicating the longest combustion duration. PY-KE displayed the second-slowest decay rate after peak HRR. The remaining mixtures (PY-QV, PY-QA, PY-AN) shared similar HRR curve patterns: a sharp rise to peak HRR after ignition, followed by rapid decay. Among them, PY-QA achieved the earliest peak and the highest peak HRR (approximately 300 kW·m−2).
Figure 4. Heat release rate curves recorded during combustion of mixed leaf litter samples using cone calorimetry. Shaded areas represent standard errors calculated from five repeated measurements.
To synthesize the multivariate combustion characteristics and visualize the overall relationships among all litter types, a PCA was performed on the seven standardized parameters. As demonstrated in Figure 5, PCA of the combustion behavior of single and mixed litters showed notable distributional differences along the first two principal component axes (PC1 and PC2). Long-burning litter generally had a high proportion of unburned biomass and was not very flammable. Regarding noteworthy parametric correlations, RMF possessed no significant correlation with THR, a negative correlation with PHRR and MLR, a positive correlation with TTI and FD, and a significant positive correlation with FPI. There was an intense positive correlation between TTI and FD. There was no significant correlation with FD, but there was a significant positive correlation with MLR and PHRR. Every combustion parameter made an equivalent impact on the principal components’ explained variance.
Figure 5. Ordination of different litter samples along the first two principal components (PC1 and PC2) of PCA based on combustion characteristics recorded by cone calorimetry. Distinct colors and shapes represent different sample types. The strength of the relationship between variables is reflected by the arrow’s length, whereas their direction indicates their type: positive for the same direction, negative for opposite directions. The shaded areas represent the 95% confidence ellipse, and the different ellipses represent different groups.
For within-group dispersion, single litter dispersion ranked as QA > AN > PY/KE/QV, driven primarily by PC2. In PY-based mixtures, dispersion ranked as PY-QV (highest) > PY-QA/PY-KE (intermediate) > PY-AN/PY-Fern/PY-Branches (lowest). PC1 governed the separation of PY-KE, PY-AN, and PY-Fern, while PC2 dominated in PY-branches, PY-QV, and PY-QA. Sample separation characteristics showed complete segregation between P. yunnanensis and Q. variabilis, with high separation from K. evelyniana and A. nepalensis, confirming that principal components effectively distinguish P. yunnanensis from QV/KE/AN. Adding P. yunnanensis needles to single-species litter significantly reduced separation between mixtures and pure P. yunnanensis. Mean parameter comparisons indicated that Q. variabilis and Q. aliena had the lowest values; A. nepalensis, K. evelyniana, and PY-QA had intermediate-low values; PY-Branches and PY-KE exhibited higher values; and PY (pure), PY-AN, and PY-Fern approximated overall averages.

4. Discussion

4.1. Differences in Single Species

The primary regulator of burning behavior is leaf type (broadleaves, long needles, and short needles) [23]. P. yunnanensis’s low bulk density and high porosity [24], which promote oxygen diffusion and flammable release, account for its high PHRR (362.63 kW/m2) and THR (13.73 MJ·m−2), which may have been caused by its larger starting mass. This is consistent with the burning mechanisms of P. sylvestris in Central European monospecific and mixed litter [19]; P. yunnanensis’s chemical composition and needle morphology work together to increase the risk of fire [25,26]. The stark separation of P. yunnanensis from the broadleaf species along the PC1, which is largely driven by PHRR and THR, provides a multivariate confirmation of its high-intensity combustion characteristic. On the other hand, the short-needle species, K. evelyniana, showed low consumption and superior fire resistance with high RMF (0.23) and FPI (0.05 m2·s·kW−1). Their high bulk density and resulting low porosity in compact fuel beds, which limit oxygen supply and extend combustion time, are the causes of their reduced flammability [27,28]. Actual flammability in natural forests should be higher than prepared samples due to lower bulk density and looser structural arrangement of naturally fallen needles [29]. Compared to other litter types, the three broadleaf species tested generally exhibited intermediate values across multiple flammability characteristics, which is consistent with Flake et al.’s findings linking leaf size, curvature, and specific leaf area to fire behavior [30].

4.2. Differences in Mixed Species

The parameters of mixed litter primarily show intermediate values between those of particular litter types for the majority of measured combustion features [31]. According to earlier research, mixing different kinds of litter does produce combustion characteristics that are not linear combinations of those found in pure samples [32]. The fact that previous studies mainly examined coniferous species mixtures, while we only examined conifer-broadleaf blends, could be one reason for these different findings. This illustrates how the types of litter that are incorporated into mixed samples greatly influence their combustion behavior. Additionally, we speculate that the mixing ratios of various litter types have a significant impact on combustion. The results show that both component species and proportions have a significant impact on the burning response of mixed litter.
Our experiment employed mixing ratios reflecting typical stand structures in Central Yunnan (>60% coniferous litter), causing combustion characteristics to approach those of pure conifer litter; increasing broadleaf proportions (>50%) could shift the system toward broadleaf-dominated combustion. Notably, blending high-risk P. yunnanensis with Q. aliena significantly elevated PHRR, suggesting species combinations may amplify rather than mitigate surface fire risk. This underscores the importance of species-pairing specificity in fire danger management, necessitating future field-scale validation (e.g., fire spread rate monitoring) to optimize blending strategies.

4.3. Impact of Fine Branches

Our results show that fine branches increase overall energy release and fire sustainability. Fine branches greatly increase the fuel load in the field, increasing the severity of the fire. Zhao et al. discovered that because of their multi-branched framework and large inter-particle voids, fine woody fuels are too loosely packed for prolonged combustion when burned alone. Flames spread more easily when leaves fill in the spaces between branches to create “combustible bonds” that create continuous flammable fuel beds [33]. Within our study area, fine branches are abundant, particularly following prescribed burns, though their load remains relatively low compared to fallen leaves [34]. Prescribed burning exhibits lower flame heights that spare tree survival, but lower branches undergo component deactivation through moisture loss under high temperatures, resulting in branch pruning by prescribed fire [35]. During fuel type classification within sample plots, we also found the presence of bark fragments. Although P. yunnanensis bark undergoes natural exfoliation, we excluded it from the current analysis due to its negligible mass contribution and significant interspecies variations in both quantity and quality of bark litter [36]. Bark samples of different lengths and levels of thickness will be used in future research to examine how they affect the structure of fuel beds as well as how they affect the flammability of litter.

4.4. Impact of Fern

Our findings indicate that fern under 35% relative humidity conditions prolongs the TTI of fuel samples. Our inclusion of ferns in flammability testing was motivated by post-burn surveys during February prescribed burns, where desiccated fern fronds retained structural integrity after fire exposure despite being necrotic. Since their average height (67.5 cm) exceeds the typical flame height of downhill surface fires (37.5 cm), most ferns sustained minimal combustion damage, thereby supporting post-fire reproduction months later (Figure 6). Recurrent burning reinforces fern dominance by promoting spore dispersal, eliminating low-growing competitors through severe fire damage, and enriching soil with fire-derived ash that facilitates regrowth [37]. Fern coverage even reached 65% in some study plots. Conversely, during uphill fires with flame heights surpassing fern stature, ferns actively participate in combustion. Comparative analysis of mixed litter now confirms that desiccated ferns reduce PHRR in pine needle fuel beds, delaying time to PHRR through fire-retardant properties. The PCA revealed that the addition of ferns to P. yunnanensis shifted its position markedly along the PC2 axis associated with ignition delay, offering a graphical representation of this mixture’s significant fire-retardant effect.
Figure 6. Undergrowth fern conditions in the same plot after prescribed burning. (a) Day 2 post-fire; (b) 3 months post-fire.

5. Conclusions

This study utilized a cone calorimeter to test the combustion characteristics of five common tree species in Central Yunnan, examining both single-species and mixed-species configurations. Fern and fine branches were specifically added to evaluate their impact on combustion parameters: PHRR, THR, FD, TTI, MLR, RMF, and FPI. This research establishes a combustion database for the region’s dominant species, revealing that, firstly, leaf morphology governs flammability divergence. P. yunnanensis needles exhibit higher combustibility (mean PHRR: 362.63 kW/m2; mean THR: 13.73 MJ·m−2). This result may be attributed to their low bulk density and high terpenoid content. K. evelyniana exhibited the longest flame duration and the highest RMF. This pattern is likely influenced by its compact short needles that limit oxygen availability. Secondly, mixed PY-broadleaf litter demonstrates lower PHRR than pure pine litter. PY-broadleaf blends reduce PHRR by 17–35% (e.g., PY-QA’s mean PHRR: 300.05 kW/m2). This reduction is primarily due to changes in fuel bed structure. Thirdly, fine branches amplify THR by 41% (26.05 MJ·m−2) through fuel continuity. Fern under the 35% relative humidity conditions reduces PHRR, amplifies TTI by 96.97% (13 s), and increases unburned biomass proportion (RMF: 0.19). These findings provide valuable data for studying litter combustion characteristics in Central Yunnan.

Author Contributions

Conceptualization, X.Z.; methodology, S.X.; software, S.Y.; validation, S.A. and J.L.; formal analysis, S.A.; investigation, W.L., J.L. and M.L.; resources, W.L.; data curation, M.L.; writing—original draft preparation, X.Z. and S.X.; writing—review and editing, W.K. and Q.W.; visualization, Q.D.; supervision, X.Y.; project administration, X.Y.; funding acquisition, Q.W. All authors have read and agreed to the published version of the manuscript.

Funding

This study was supported by the National Natural Science Foundation of China (32471878, 32160376) and the Key Laboratory of Forest and Grassland Fire Risk Prevention Ministry of Emergency Management Open Project Fund (FGFRP202303).

Data Availability Statement

The original contributions presented in the study are included in the article; further inquiries can be directed to the corresponding author.

Conflicts of Interest

The authors declare no conflict of interest.

References

  1. Xu, Y.; Guo, H.; Liu, J.; Sun, R.; Li, X. Wildfire Risks under a Changing Climate: Synthesized Assessments of Wildfire Risks over Southwestern China. Front. Environ. Sci. 2023, 11, 1137372. [Google Scholar] [CrossRef]
  2. Shi, Y.; Feng, C.; Zhang, L.; Huang, W.; Wang, X.; Yang, S.; Chen, W.; Xie, W. Characterizing Forest Fuel Properties and Potential Wildfire Dynamics in Xiuwu, Henan, China. Fire 2024, 7, 7. [Google Scholar] [CrossRef]
  3. Du, Q.; Li, W.; Wu, Y.; Wei, Y.; Nuerlan, J.; Wang, M.; Shu, L.; Hu, T.; Ning, J.; Yang, G.; et al. Study on Pyrolysis Characteristics and Combustibility of Typical Arbor Species Along Different Altitude Gradients in Southwestern Yunnan. Forests 2025, 16, 1727. [Google Scholar] [CrossRef]
  4. Wei, P.; Tang, L.; Xiong, Z.; Lamont, B.B.; Chen, L.; Xue, W.; Zhao, Z.; Lu, W.; Han, J.; He, W.; et al. Non-Additive Effects of Leaf-Litter Flammability on Eight Subtropical Tree Species: Implications for Forest Species Composition and Fire Susceptibility. J. Environ. Manag. 2025, 374, 124053. [Google Scholar] [CrossRef]
  5. Zhao, W.; Cornwell, W.K.; van Pomeren, M.; van Logtestijn, R.S.P.; Cornelissen, J.H.C. Species Mixture Effects on Flammability across Plant Phylogeny: The Importance of Litter Particle Size and the Special Role for Non-Pinus Pinaceae. Ecol. Evol. 2016, 6, 8223–8234. [Google Scholar] [CrossRef] [PubMed]
  6. Campos-Ruiz, R.; Parisien, M.-A.; Flannigan, M.D. Physicochemical Characteristics Controlling the Flammability of Live Pinus Banksiana Needles in Central Alberta, Canada. Int. J. Wildland Fire 2022, 31, 857–870. [Google Scholar] [CrossRef]
  7. Ganteaume, A.; Jappiot, M.; Curt, T.; Lampin, C.; Borgniet, L. Flammability of Litter Sampled According to Two Different Methods: Comparison of Results in Laboratory Experiments. Int. J. Wildland Fire 2014, 23, 1061–1075. [Google Scholar] [CrossRef]
  8. Varner, J.M.; Kane, J.M.; Kreye, J.K.; Engber, E. The Flammability of Forest and Woodland Litter: A Synthesis. Curr. For. Rep. 2015, 1, 91–99. [Google Scholar] [CrossRef]
  9. Ramadhan, M.L.; Zarate, S.; Carrascal, J.; Osorio, A.F.; Hidalgo, J.P. Effect of Fuel Bed Size and Moisture on the Flammability of Eucalyptus Saligna Leaves in Cone Calorimeter Testing. Fire Saf. J. 2021, 120, 103016. [Google Scholar] [CrossRef]
  10. Cornelissen, J.H.C.; Grootemaat, S.; Verheijen, L.M.; Cornwell, W.K.; van Bodegom, P.M.; van der Wal, R.; Aerts, R. Are Litter Decomposition and Fire Linked through Plant Species Traits? New Phytol. 2017, 216, 653–669. [Google Scholar] [CrossRef]
  11. Toy-Opazo, O.; Fuentes-Ramirez, A.; Palma-Soto, V.; Garcia, R.A.; Moloney, K.A.; Demarco, R.; Fuentes-Castillo, A. Flammability Features of Native and Non-Native Woody Species from the Southernmost Ecosystems: A Review. Fire Ecol. 2024, 20, 21. [Google Scholar] [CrossRef]
  12. Younes, N.; Yebra, M.; Boer, M.M.; Griebel, A.; Nolan, R.H. A Review of Leaf-Level Flammability Traits in Eucalypt Trees. Fire 2024, 7, 183. [Google Scholar] [CrossRef]
  13. Jian, M.; Jian, Y.; Zeng, H.; Cao, D.; Cui, X. Current Status and Prospects of Plant Flammability Measurements. Fire 2024, 7, 266. [Google Scholar] [CrossRef]
  14. Hong, R.; Li, J.; Wang, J.; Zhu, X.; Li, X.; Ma, C.; Cao, H.; Wang, L.; Wang, Q. Effects of Prescribed Burning on Understory Quercus Species of Pinus yunnanensis Forest. Front. For. Glob. Change 2023, 6, 1208682. [Google Scholar] [CrossRef]
  15. Zhu, X.; Xu, S.; Hong, R.; Yang, H.; Wang, H.; Fang, X.; Yan, X.; Li, X.; Kou, W.; Wang, L.; et al. How Prescribed Burning Affects Surface Fine Fuel and Potential Fire Behavior in Pinus yunnanensis in China. Forests 2025, 16, 548. [Google Scholar] [CrossRef]
  16. Quer, E.; Pereira, S.; Michel, T.; Santonja, M.; Gauquelin, T.; Simioni, G.; Ourcival, J.-M.; Joffre, R.; Limousin, J.-M.; Aupic-Samain, A.; et al. Amplified Drought Alters Leaf Litter Metabolome, Slows down Litter Decomposition, and Modifies Home Field (Dis)Advantage in Three Mediterranean Forests. Plants 2022, 11, 2582. [Google Scholar] [CrossRef]
  17. Javoy, T.; Perret, S.; Perot, T. How Do Mixing Tree Species and Stand Density Affect Crown Defoliation after Heat-Drought Events? For. Ecol. Manag. 2025, 586, 122684. [Google Scholar] [CrossRef]
  18. Anderegg, W.R.L.; Kane, J.M.; Anderegg, L.D.L. Consequences of Widespread Tree Mortality Triggered by Drought and Temperature Stress. Nat. Clim. Change 2013, 3, 30–36. [Google Scholar] [CrossRef]
  19. Ewald, M.; Labenski, P.; Westphal, E.; Metzsch-Zilligen, E.; Großhauser, M.; Fassnacht, F.E. Leaf Litter Combustion Properties of Central European Tree Species. For. Int. J. For. Res. 2025, 98, 29–39. [Google Scholar] [CrossRef]
  20. Wang, H.-H.; Yao, F.-Q.; Tao, J.-J.; Zhu, F. Efficiency of Sustained Burning of Layered Leaf Fuels under External Radiant Heat Flux. Fire Mater. 2020, 44, 121–129. [Google Scholar] [CrossRef]
  21. Krix, D.W.; Murray, B.R. A Predictive Model of Leaf Flammability Using Leaf Traits and Radiant Heat Flux for Plants of Fire-Prone Dry Sclerophyll Forest. Forests 2022, 13, 152. [Google Scholar] [CrossRef]
  22. Melnik, K.O.; Valencia, A.; Katurji, M.; Nilsson, D.; Baker, G.; Melnik, O.M.; Pearce, H.G.; Strand, T.M. Effect of Live/Dead Condition, Moisture Content and Particle Size on Flammability of Gorse (Ulex europaeus) Measured with a Cone Calorimeter. Int. J. Wildland Fire 2024, 33, WF23167. [Google Scholar] [CrossRef]
  23. MacAlister, D.; Chimphango, S.B.; Hattas, D.; Muasya, A.M. Time to Extinguish the Exotic Flame: Lessons from the 2021 Cape Town Fire. S. Afr. J. Bot. 2025, 184, 1163–1173. [Google Scholar] [CrossRef]
  24. Yang, J.; Xu, J.; Wu, X.; Wang, H. Smoldering Ignition and Transition to Flaming Combustion of Pine Needle Fuel Beds: Effects of Bulk Density and Heat Supply. Fire 2024, 7, 383. [Google Scholar] [CrossRef]
  25. Wang, B.; Ju, J.; He, X.-F.; Yuan, T.; Yue, J.-M. Three New Terpenoids from Pinus yunnanensis. Helv. Chim. Acta 2010, 93, 490–496. [Google Scholar] [CrossRef]
  26. Chen, F.; Si, L.; Zhao, F.; Wang, M. Volatile Oil in Pinus yunnanensis Potentially Contributes to Extreme Fire Behavior. Fire 2023, 6, 113. [Google Scholar] [CrossRef]
  27. Campbell-Lochrie, Z.; Walker-Ravena, C.; Gallagher, M.; Skowronski, N.; Mueller, E.V.; Hadden, R.M. Effects of Fuel Bed Structure on Heat Transfer Mechanisms within and above Porous Fuel Beds in Quiescent Flame Spread Scenarios. Int. J. Wildland Fire 2023, 32, 913–926. [Google Scholar] [CrossRef]
  28. Qin, Y.; Zhang, Y.; Chen, Y.; Lin, S.; Huang, X. Minimum Oxygen Supply Rate for Smouldering Propagation: Effect of Fuel Bulk Density and Particle Size. Combust. Flame 2024, 261, 113292. [Google Scholar] [CrossRef]
  29. Grootemaat, S.; Wright, I.J.; van Bodegom, P.M.; Cornelissen, J.H.C. Scaling up Flammability from Individual Leaves to Fuel Beds. Oikos 2017, 126, 1428–1438. [Google Scholar] [CrossRef]
  30. Flake, S.W.; Elliott, P.J.; Durigan, G.; Rossatto, D.R.; Hoffmann, W.A. Linking Leaf Traits and Litter Flammability Using a Novel Framework, Tested with Brazilian Cerrado Trees. Funct. Ecol. 2025, 39, 1247–1261. [Google Scholar] [CrossRef]
  31. Della Rocca, G.; Danti, R.; Hernando, C.; Guijarro, M.; Madrigal, J. Flammability of Two Mediterranean Mixed Forests: Study of the Non-Additive Effect of Fuel Mixtures in Laboratory. Front. Plant Sci. 2018, 9, 825. [Google Scholar] [CrossRef]
  32. de Magalhães, R.M.Q.; Schwilk, D.W. Leaf Traits and Litter Flammability: Evidence for Non-Additive Mixture Effects in a Temperate Forest. J. Ecol. 2012, 100, 1153–1163. [Google Scholar] [CrossRef]
  33. Zhao, W.; van Logtestijn, R.S.P.; van Hal, J.R.; Dong, M.; Cornelissen, J.H.C. Non-Additive Effects of Leaf and Twig Mixtures from Different Tree Species on Experimental Litter-Bed Flammability. Plant Soil 2019, 436, 311–324. [Google Scholar] [CrossRef]
  34. Wang, J.; Hong, R.; Ma, C.; Zhu, X.; Xu, S.; Tang, Y.; Li, X.; Yan, X.; Wang, L.; Wang, Q. Effects of Prescribed Burning on Surface Dead Fuel and Potential Fire Behavior in Pinus yunnanensis in Central Yunnan Province, China. Forests 2023, 14, 1915. [Google Scholar] [CrossRef]
  35. McGuire, J.P.; Kush, J.S.; Varner, J.M.; Lauer, D.K.; Mitchell, J.R. Longleaf Pine (Pinus palustris Mill.) Branch Pruning by Prescribed Fire. For. Sci. 2021, 67, 367–373. [Google Scholar] [CrossRef]
  36. Zhao, W.; Molleman, J.; Grootemaat, S.; Dong, M.; Cornelissen, J.H.C. Thicker or Shorter Bark Fragments of Eucalypt Tree Species Make More Densely Packed Fuel Beds, Which Slow Down Fire Spread. Forests 2024, 15, 2092. [Google Scholar] [CrossRef]
  37. Adie, H.; Richert, S.; Kirkman, K.P.; Lawes, M.J. The Heat Is on: Frequent High Intensity Fire in Bracken (Pteridium aquilinum) Drives Mortality of the Sprouting Tree Protea caffra in Temperate Grasslands. Plant Ecol. 2011, 212, 2013–2022. [Google Scholar] [CrossRef]
Disclaimer/Publisher’s Note: The statements, opinions and data contained in all publications are solely those of the individual author(s) and contributor(s) and not of MDPI and/or the editor(s). MDPI and/or the editor(s) disclaim responsibility for any injury to people or property resulting from any ideas, methods, instructions or products referred to in the content.

Article Metrics

Citations

Article Access Statistics

Article metric data becomes available approximately 24 hours after publication online.