Sign in to use this feature.

Years

Between: -

Subjects

remove_circle_outline
remove_circle_outline
remove_circle_outline
remove_circle_outline
remove_circle_outline
remove_circle_outline
remove_circle_outline
remove_circle_outline
remove_circle_outline

Journals

remove_circle_outline
remove_circle_outline

Article Types

Countries / Regions

remove_circle_outline
remove_circle_outline
remove_circle_outline
remove_circle_outline

Search Results (268)

Search Parameters:
Keywords = finite volume scheme

Order results
Result details
Results per page
Select all
Export citation of selected articles as:
21 pages, 9064 KB  
Article
Mathematical Modeling of Soot Formation and Fragmentation of Carbon Particles During Their Pyrolysis Under Conditions of Removal from the Front of a Forest Fire
by Nikolay Viktorovich Baranovskiy and Viktoriya Andreevna Vyatkina
C 2026, 12(2), 30; https://doi.org/10.3390/c12020030 - 1 Apr 2026
Viewed by 432
Abstract
The object of the study is a single heated carbonaceous particle of relatively small size, 0.003 to 0.01 m. Main hypothesis: The formation of soot particles and black carbon particles is caused by the thermochemical destruction of dry organic matter of forest fuel [...] Read more.
The object of the study is a single heated carbonaceous particle of relatively small size, 0.003 to 0.01 m. Main hypothesis: The formation of soot particles and black carbon particles is caused by the thermochemical destruction of dry organic matter of forest fuel and the mechanical fragmentation of coke residue. The aim of the study is to conduct numerical simulations of heat and mass transfer in a single heated carbonaceous particle, taking into account the soot formation process and assessing its fragmentation with regard to heat exchange with the external environment in a 2D setting. As part of this study, a new model of heat and mass transfer in a pyrolyzed carbonaceous particle was developed, taking into account its step-by-step fragmentation (fragmentation tree model with four secondary particle formations from the initial particle). The calculations resulted in the distributions of temperature and volume fractions of phases in the carbonaceous particle across various scenarios. Scenarios of surface fires (initial temperatures of 900 K and 1000 K), crown fires (1100 K), and a firestorm (1200 K) for typical vegetation (pine, spruce, birch) are considered. Cubic carbonaceous particles are considered in the approximation of a 2D mathematical model. To describe heat and mass transfer in the structure of the carbonaceous particle, a differential equation of thermal conductivity with corresponding initial and boundary conditions of the third type is used, taking into account the gross reaction in the kinetic scheme of pyrolysis and soot formation. Differential analogues of partial differential equations are solved using the finite difference method of second-order approximation. Options for using the developed mathematical model and probabilistic fragmentation criterion for assessing aerosol emissions are proposed. Recommendations: The suggested mathematical model must be incorporated with mathematical models of forest fire plume and aerosol transport in the upper layers of the atmosphere. Moreover, probabilistic criteria for health assessment must be developed for the practical use of the suggested mathematical model. Full article
(This article belongs to the Topic Environmental Pollutant Management and Control)
Show Figures

Figure 1

28 pages, 5247 KB  
Article
Comparative Analysis of High-Fidelity and Reduced-Order Models for Nonlinear Wave–Bathymetry and Wave–Structure Interactions
by Wen-Huai Tsao and Christopher E. Kees
J. Mar. Sci. Eng. 2026, 14(7), 594; https://doi.org/10.3390/jmse14070594 - 24 Mar 2026
Viewed by 334
Abstract
This paper presents a computational study of wave–bathymetry and wave–structure interaction problems using advanced numerical techniques based on high-fidelity, two-phase Navier–Stokes (TpNS) flow and reduced-order, fully nonlinear potential flow models. For high-fidelity simulations, the TpNS equations are discretized using the finite-element method, with [...] Read more.
This paper presents a computational study of wave–bathymetry and wave–structure interaction problems using advanced numerical techniques based on high-fidelity, two-phase Navier–Stokes (TpNS) flow and reduced-order, fully nonlinear potential flow models. For high-fidelity simulations, the TpNS equations are discretized using the finite-element method, with free-surface evolution captured through a hybrid level-set (LS) and volume-of-fluid (VOF) formulation. A monolithic, phase-conservative LS equation is introduced to mitigate mass loss and interface smearing, combined with a semi-implicit projection scheme. Hydrodynamic forces are resolved using a high-order, phase-resolving cut finite-element method (CutFEM), which enables the representation of complex solid geometries within a fixed background mesh. An equivalent polynomial of Heaviside and Dirac distributions ensures accurate evaluation of surface and volume integrals. Hence, no explicit generation of cut cell meshes, adaptive quadrature, or local refinement is required. For reduced-order modeling, a fast regularized boundary integral method (RBIM) is employed to solve the fully nonlinear potential flow. Singular and near-singular integrals are treated using a subtract-and-addition technique based on auxiliary functions derived from Stokes’ theorem, allowing direct application of high-order quadrature without conventional boundary element discretization. An arbitrary Lagrangian–Eulerian (ALE) formulation is adopted to enforce free-surface boundary conditions while avoiding excessive mesh distortion. The proposed approaches are applied to investigate highly nonlinear wave transformation over complex bathymetry and wave-induced dynamics of floating structures, including eddy-making damping effects. Numerical results are validated against experimental measurements. These two modeling approaches represent complementary levels of physical fidelity and computational efficiency, and their systematic comparison clarifies the trade-offs between computational accuracy, efficiency, and cost for practical marine problems. Full article
(This article belongs to the Special Issue Wave–Structure–Seabed Interaction)
Show Figures

Figure 1

23 pages, 1734 KB  
Article
Reinforcement-Learning-Based Optimization of Convective Fluxes for High-CFL Finite-Volume Schemes
by Andrey Rozhkov, Andrey Kozelkov, Vadim Kurulin and Maxim Shishlenin
Computation 2026, 14(4), 75; https://doi.org/10.3390/computation14040075 - 24 Mar 2026
Viewed by 288
Abstract
In this article, we explore the possibility of using reinforcement learning to create convective flow approximation schemes that maintain accuracy and stability at high Courant-Friedrichs-Lewy (CFL) numbers in the finite-volume discretization of advection equations. Unlike most existing data-driven discretization methods, which primarily concentrate [...] Read more.
In this article, we explore the possibility of using reinforcement learning to create convective flow approximation schemes that maintain accuracy and stability at high Courant-Friedrichs-Lewy (CFL) numbers in the finite-volume discretization of advection equations. Unlike most existing data-driven discretization methods, which primarily concentrate on spatial grid refinement, this work emphasizes increasing the allowable time step without compromising solution accuracy. This approach reduces the total number of time integration steps, thereby enabling faster computation. A neural network is used as a surrogate model for reconstructing the convective flow, which takes as input local information about the flow, scalars, and geometry and predicts scalar values at node points. Reinforcement learning is used for training and is formulated as a policy optimization problem, where the long-term reward is defined as the difference between the numerical and reference solutions over the entire simulation period. Both the genetic algorithm and the Deep Deterministic Policy Gradient (DDPG) method are investigated. The effectiveness of the approach is evaluated using a one-dimensional nonlinear advection problem with a constant velocity field. Despite the simplicity of the test case, the results demonstrate that the trained convective flux approximation scheme achieves accuracy comparable to or better than the classical second-order linear upwind (LUD) scheme, while operating at CFL numbers 2–50 times higher than the optimal CFL for LUD, thereby reducing the simulation time by the same factor. This allows for a wider range of stability and accuracy in the finite-volume method and the use of larger time steps without compromising the quality of the solution. The study is intentionally limited to a single spatial dimension and serves as a basic analysis of the method’s applicability. The results demonstrate that reinforcement learning can successfully find more convective flow approximation schemes that improve efficiency at high CFL numbers than conventional explicit second-order schemes, establishing a framework that is subsequently extended in our follow-up work to improve training methods and three-dimensional complex transport problems. The proposed method improves the spatial discretization of convective fluxes, which is independent of the choice of time integration scheme. Therefore, the neural reconstruction can in principle be used in both explicit and implicit finite-volume solvers. Full article
(This article belongs to the Section Computational Engineering)
Show Figures

Figure 1

20 pages, 3358 KB  
Article
CFD Simulation of a Vertical-Axis Savonius-Type Micro Wind Turbine Using Meteorological Data from an Educational Environment
by José Cabrera-Escobar, Carlos Mauricio Carrillo Rosero, César Hernán Arroba Arroba, Santiago Paúl Cabrera Anda, Catherine Cabrera-Escobar and Raúl Cabrera-Escobar
Clean Technol. 2026, 8(2), 40; https://doi.org/10.3390/cleantechnol8020040 - 12 Mar 2026
Viewed by 674
Abstract
This study presents a two-dimensional computational fluid dynamics analysis of a vertical-axis Savonius-type wind turbine under atmospheric conditions representative of an educational environment located in the Ecuadorian Andean region. Unlike previous studies conducted under sea-level meteorological conditions, this research is performed under high-altitude [...] Read more.
This study presents a two-dimensional computational fluid dynamics analysis of a vertical-axis Savonius-type wind turbine under atmospheric conditions representative of an educational environment located in the Ecuadorian Andean region. Unlike previous studies conducted under sea-level meteorological conditions, this research is performed under high-altitude conditions (2723 m a.s.l.). The unsteady flow around the rotor was simulated using a two-dimensional approach based on the Unsteady Reynolds-Averaged Navier–Stokes (URANS) equations, discretized with the finite volume method and coupled with the k–ω Shear Stress Transport (SST) turbulence model. The rotor rotation was modeled using sliding mesh technique, employing a second-order implicit time scheme to ensure numerical stability and adequate temporal resolution. The numerical model was configured for a tip speed ratio of 0.8 and a wind speed of 3.9 m/s. The time step was defined based on a constant angular advancement of the rotor per time iteration, ensuring numerical stability and adequate temporal resolution. The aerodynamic torque was obtained by integrating the pressure and viscous forces acting on the blades, allowing the calculation of the mechanical power generated and the power coefficient. The results showed a periodic and stable torque behavior after the initial transient cycles, yielding an average torque of 0.7687 N·m and a mechanical power of 5.17 W, while the power coefficient reached a value of 0.2102. Analysis of the flow fields revealed the formation of a low-velocity wake downstream of the rotor, regions of high turbulent kinetic energy associated with periodic vortex shedding, and a significant pressure difference between the advancing and returning blades, confirming that turbine operation is dominated by drag forces. The numerical results were validated through comparison with previous studies, showing good agreement and demonstrating the reliability of the proposed Computational Fluid Dynamics (CFD) approach. This study highlights the potential of Savonius turbines for low-power applications in urban and educational environments, as well as the usefulness of CFD as a tool for evaluating and optimizing their aerodynamic performance. Full article
Show Figures

Figure 1

16 pages, 5068 KB  
Article
Improvement in Efficiency of Blunt Cone Drag and Heat Reduction by Combination of Aerospike and Partition Jets
by Shuang Wang, Yongkang Zheng, Hao Tian and Zhigong Tang
Aerospace 2026, 13(3), 235; https://doi.org/10.3390/aerospace13030235 - 3 Mar 2026
Viewed by 329
Abstract
To mitigate the severe aerodynamic and thermal loads on high-speed vehicles, a combined control approach employing an aerospike and a partition jet system is investigated. The influence of jet position on flow field behavior, drag reduction and thermal load management is examined. Using [...] Read more.
To mitigate the severe aerodynamic and thermal loads on high-speed vehicles, a combined control approach employing an aerospike and a partition jet system is investigated. The influence of jet position on flow field behavior, drag reduction and thermal load management is examined. Using the SST k-ω turbulence model integrated into a finite-volume framework, the study conducts numerical simulations by solving the three-dimensional Reynolds-averaged Navier–Stokes equations at a flight altitude of 30 km and Mach 5. Considering that the reverse force generated by the top and bottom jets would cause an increase in drag along the direction of motion, the lateral jet contributes more significantly to the drag reduction. The combination of the aerospike and multi-zone jets performs better in terms of drag reduction and thermal protection than single-zone jet strategies. Among them, the scheme with simultaneous jets at three positions has the highest drag reduction efficiency, up to 230%, but it requires the most working medium. Through the comprehensive analysis of the heat and drag reduction efficiency, the lateral jet is the optimal configuration. Full article
(This article belongs to the Section Aeronautics)
Show Figures

Figure 1

26 pages, 7165 KB  
Article
A Robust Hybrid Staggered/Collocated Mesh Scheme for CFD on Skewed Meshes
by Raad Issa and Giovanni Giustini
Fluids 2026, 11(2), 53; https://doi.org/10.3390/fluids11020053 - 14 Feb 2026
Viewed by 556
Abstract
In this study, a finite-volume computational fluid dynamics (CFD) technique for application on skewed meshes using staggered pressure nodes is proposed. The method is based on the derivation of a momentum equation for the cell face velocities from appropriately discretised momentum equations in [...] Read more.
In this study, a finite-volume computational fluid dynamics (CFD) technique for application on skewed meshes using staggered pressure nodes is proposed. The method is based on the derivation of a momentum equation for the cell face velocities from appropriately discretised momentum equations in the two cells surrounding the cell face with the driving pressure difference pertaining to the staggered adjacent nodes. In this way, a staggered mesh-like method is obtained that would prevent the occurrence of oscillatory behaviour in pressure or velocity fields. The cell-face velocities are then forced to obey continuity via an equation for pressure akin to other standard CFD schemes. This article describes the formulation of the cell-face momentum equation as well as the way the nodal velocity is reconstructed from the surrounding cell-face velocities. The method is demonstrated to recover the advantages of the PISO solution algorithm that were diminished in implementations in collocated schemes. It is also validated on a reference two-dimensional, steady viscous flow case on both rectangular and skewed meshes to verify its accuracy. It is then applied to the case of an unsteady vortex-shedding flow past a square obstacle, on both rectangular and skewed meshes, and the results are compared with a solution obtained from a collocated method as well as with an experimental value of the Strouhal number. Full article
(This article belongs to the Section Mathematical and Computational Fluid Mechanics)
Show Figures

Figure 1

33 pages, 12130 KB  
Article
Optimal Operation Strategy for Regional CCHP Systems Considering Thermal Transmission Delay and Adaptive Temporal Discretization
by Shunchun Yao, Shunzhe Zhao, Jiehui Zheng, Youcai Liang, Qing Wang and Pingxin Wang
Appl. Sci. 2026, 16(4), 1711; https://doi.org/10.3390/app16041711 - 9 Feb 2026
Viewed by 357
Abstract
With the increasing integration of regional energy systems, the dynamic coupling characteristics of cooling, heating, and power flows have become significantly pronounced. However, traditional scheduling models often utilize steady-state assumptions that neglect the thermal transmission delay of the pipeline network, leading to spatiotemporal [...] Read more.
With the increasing integration of regional energy systems, the dynamic coupling characteristics of cooling, heating, and power flows have become significantly pronounced. However, traditional scheduling models often utilize steady-state assumptions that neglect the thermal transmission delay of the pipeline network, leading to spatiotemporal mismatches between energy supply and load demand. To address this issue, this paper proposes an optimal operation strategy for regional Combined Cooling, Heating, and Power (CCHP) systems that explicitly integrates thermal inertia. First, a Pipeline Fluid Micro-element Discretization Method (PFMDM) is developed based on the Lagrangian specification to accurately characterize the dynamic flow and thermal decay processes without the heavy computational burden of partial differential equations. In addition, the accuracy of PFMDM is directly benchmarked against a high-fidelity transient PDE solver (finite-volume TVD–MUSCL scheme) over a wide range of pipe lengths, flow velocities, and thermal loss coefficients, where the outlet-temperature RMSE remains below 0.2 °C. This model quantitatively reveals the “Virtual Energy Storage” (VES) mechanism of the pipeline network. Second, to overcome the “curse of dimensionality” in dynamic scheduling, a Load-Gradient-Based Adaptive Temporal Discretization (LG-ATD) method is proposed. This method maintains a fine-grained baseline for electrical settlement while dynamically aggregating thermal/cooling steps based on load fluctuations. Simulation results demonstrate that the proposed strategy corrects the significant physical deviations of the traditional steady-state model. The analysis reveals that the steady-state model underestimates the required heating and cooling supply capacities by up to 26.66% and 39.15%, respectively, due to the neglect of transmission losses and delays. By leveraging the VES mechanism, the proposed method enables a fuel-shift in the energy-supply structure, substantially decreasing the electricity purchasing cost (by 75.2% in the tested case). This reduction reflects a reallocation from grid purchases to on-site gas-fired cogeneration to maintain physical feasibility under delay and loss effects, and therefore, it is accompanied by an increase in natural gas consumption and a higher total operating cost. Furthermore, the LG-ATD method significantly alleviates the computational burden by substantially compressing the presolved model size and reducing the overall solving time by more than 80%, thereby effectively mitigating the curse of dimensionality for practical engineering applications. Full article
Show Figures

Figure 1

31 pages, 5624 KB  
Article
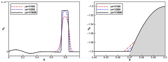
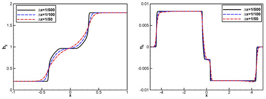
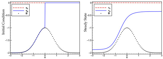
A Well-Balanced Wet–Dry Front Reconstruction for Two-Layer Shallow Water Flows
by Xue Wang
Mathematics 2026, 14(4), 595; https://doi.org/10.3390/math14040595 - 8 Feb 2026
Viewed by 377
Abstract
In this paper, a well-balanced and positivity-preserving scheme for the nonconservative two-layer shallow water equations is developed in the framework of the finite volume method. To address the challenges posed by wet–dry fronts, the focus of our study is on reconstructing them for [...] Read more.
In this paper, a well-balanced and positivity-preserving scheme for the nonconservative two-layer shallow water equations is developed in the framework of the finite volume method. To address the challenges posed by wet–dry fronts, the focus of our study is on reconstructing them for each layer to ensure a well-balanced property. To this end, a new numerical discretization and a special wet–dry front reconstruction are proposed. In addition, the draining time method is employed to ensure the positivity of the water depth. We prove that the proposed scheme is both well-balanced in steady-state solutions and positivity-preserving. Finally, numerical experiments demonstrate the robustness of the scheme. Full article
(This article belongs to the Section E: Applied Mathematics)
Show Figures

Figure 1

34 pages, 5795 KB  
Article
Thermal Analysis, Design, and Optimization of Composite Wing Structures Under Electrothermal Heating
by Damla Pehlivan, Burak Pehlivan and Hasan Aydoğan
Appl. Sci. 2026, 16(3), 1635; https://doi.org/10.3390/app16031635 - 6 Feb 2026
Viewed by 490
Abstract
This study presents a comprehensive thermal analysis, design, and optimization framework for electrothermal heating systems integrated into composite wing structures. Thermal behavior is first investigated using finite volume simulations conducted with a commercial solver. An in-house thermal solver is then developed based on [...] Read more.
This study presents a comprehensive thermal analysis, design, and optimization framework for electrothermal heating systems integrated into composite wing structures. Thermal behavior is first investigated using finite volume simulations conducted with a commercial solver. An in-house thermal solver is then developed based on the governing heat transfer equations and a second-order finite difference discretization scheme. The in-house solver is validated against the commercial solver, showing a maximum deviation of less than 1%. The validated solver is subsequently coupled with a genetic algorithm to perform multi-objective optimization of the electrothermal heating system. A novel correlation for the convection heat transfer coefficient over airfoil surfaces is developed based on extensive turbulent flow simulations and a genetic algorithm. The developed correlation equation has significantly lower percent relative error (from 34% to 6%) compared to flat plate correlations. The developed convection coefficient is incorporated into the optimization process. Key design variables, including heat generation intensity, heater strip dimensions, and the thermal conductivity of composite and surface protection materials, are included in the optimization process. An original objective function is formulated to simultaneously minimize electrical power consumption, prevent ice formation on the external surface, and limit internal temperatures to safe operating ranges for composite materials. The optimized design is evaluated under both spatially varying and constant convection heat transfer coefficients to assess the impact of convection modeling assumptions. The proposed methodology provides a unified and extensible framework for the optimal design of electrothermal ice protection systems and can be readily extended to three-dimensional composite wing configurations. Full article
(This article belongs to the Special Issue Recent Advances and Emerging Trends in Computational Fluid Dynamics)
Show Figures

Figure 1

18 pages, 3457 KB  
Article
Parallel Optimization for Coupled Lattice Boltzmann-Finite Volume Method on Heterogeneous Many-Core Supercomputer
by Xiaojing Lv, Chengsheng Wu, Zhao Liu, Yujing Fan, Jianchun Wang, Yaying Zhang, Yixing Jin and Xuesen Chu
Appl. Sci. 2026, 16(2), 721; https://doi.org/10.3390/app16020721 - 9 Jan 2026
Viewed by 500
Abstract
Nowadays various coupling strategies have been developed to combine the strengths of different numerical methods in computational fluid dynamics (CFD), among which the coupled algorithm of the lattice Boltzmann-finite volume method (LBM-FVM) has gained widespread attention. However, research on parallel optimization of LBM-FVM [...] Read more.
Nowadays various coupling strategies have been developed to combine the strengths of different numerical methods in computational fluid dynamics (CFD), among which the coupled algorithm of the lattice Boltzmann-finite volume method (LBM-FVM) has gained widespread attention. However, research on parallel optimization of LBM-FVM coupled solvers remains limited, mostly focused on independent solvers. In this work, we proposed a flexible framework and optimization schemes to explore the coordinated balance of accuracy-efficiency-hardware adaptability. First, we designed a processor layout strategy to address load imbalance and communication redundancy in the coupled solver. We then developed several parallelization techniques, including LBM restructuring, data reuse, and SIMD optimization for targeted kernels on the most advanced architecture of the Sunway series in China, namely SW26010P heterogeneous many-core processors, which provide hardware architectural advantages well suited for large-scale parallel computational fluid dynamics. Finally, the accuracy of the LBM-FVM coupling simulations was validated through benchmark simulations of 2D/3D lid-driven cavity flow. The results show that our LBM-FVM coupling solver can accurately capture flow characteristics, with vortex structures consistent with experimental data. Additionally, we achieved a 152× speedup for the LBM solver and a 126× speedup for the coupled simulation compared to the standalone FVM simulation on the New Sunway supercomputer system. Our approach marks a milestone in the field of LBM implementations and provides a promising future for coupled algorithms in CFD. Full article
Show Figures

Figure 1

23 pages, 7394 KB  
Article
Cross-Property Relations for Continuous Fiber-Reinforced Ceramic Matrix Composites
by Pu Li, Shouyi Wang, Wei Li, Chunling Zhao, Zhenhua Chen, Jinxin Dai, Shifeng Yuan, Haifeng Zhao and Jian Jiao
J. Compos. Sci. 2026, 10(1), 15; https://doi.org/10.3390/jcs10010015 - 2 Jan 2026
Cited by 1 | Viewed by 476
Abstract
Continuous fiber-reinforced ceramic matrix composites (CFRCMCs) are extensively applied in high-temperature fields such as aerospace, energy, and transportation due to their superior mechanical and thermal properties. The explicit and numerical cross-property relations of CFRCMCs are established by integrating a generalized self-consistent scheme, effective-medium [...] Read more.
Continuous fiber-reinforced ceramic matrix composites (CFRCMCs) are extensively applied in high-temperature fields such as aerospace, energy, and transportation due to their superior mechanical and thermal properties. The explicit and numerical cross-property relations of CFRCMCs are established by integrating a generalized self-consistent scheme, effective-medium conduction models, and finite element analysis. The results reveal that CFRCMCs with a fixed fiber–interphase volume ratio exhibit nearly linear cross-property relations. While the random distribution and diameter of fibers have minimal effects on these relations, a decrease in interphase properties causes the cross-property curves to shift downward. The cross-property relation surfaces for CFRCMCs with varying fiber–interphase volume ratios are validated through finite element analysis. In summary, cross-property relations in CFRCMCs facilitate the prediction of challenging-to-measure physical properties from more readily accessible parameters, substantially simplifying material characterization. This methodology not only optimizes experimental workflows but also delivers a rigorous theoretical framework for multiphysics applications, particularly in extreme thermo-mechanical environments where coupled properties are critical to performance. Full article
Show Figures

Figure 1

29 pages, 8003 KB  
Article
Reaction-Diffusion Model of CAR-T Cell Therapy in Solid Tumours with Antigen Escape
by Maxim V. Polyakov and Elena I. Tuchina
Computation 2026, 14(1), 3; https://doi.org/10.3390/computation14010003 - 30 Dec 2025
Viewed by 994
Abstract
Developing effective CAR-T cell therapy for solid tumours remains challenging because of biological barriers such as antigen escape and an immunosuppressive microenvironment. The aim of this study is to develop a mathematical model of the spatio-temporal dynamics of tumour processes in order to [...] Read more.
Developing effective CAR-T cell therapy for solid tumours remains challenging because of biological barriers such as antigen escape and an immunosuppressive microenvironment. The aim of this study is to develop a mathematical model of the spatio-temporal dynamics of tumour processes in order to assess key factors that limit treatment efficacy. We propose a reaction–diffusion model described by a system of partial differential equations for the densities of tumour cells and CAR-T cells, the concentration of immune inhibitors, and the degree of antigen escape. The methods of investigation include stability analysis and numerical solution of the model using a finite-difference scheme. The simulations show that antigen escape produces a resistant tumour core and relapse after an initial regression; increasing the escape rate from γ=0.001 to 0.1 increases the final tumour volume at t=100 days from approximately 35.3 a.u. to 36.2 a.u. Parameter mapping further indicates that for γ0.01 tumour control can be achieved at moderate killing rates (kCT1day1), whereas for γ0.05 comparable control requires kCT25day1. Repeated CAR-T administration improves durability: the residual normalised tumour volume at t=100 days decreases from approximately 4.5 after a single infusion to approximately 0.9 (double) and approximately 0.5 (triple), with a saturating benefit for further intensification. We conclude that the proposed model is a valuable tool for analysing and optimising CAR-T therapy protocols, and that our results highlight the need for combined strategies aimed at overcoming antigen escape. Full article
(This article belongs to the Section Computational Biology)
Show Figures

Figure 1

22 pages, 8148 KB  
Article
Method for Interpreting In Situ Stress Based on Pump Shutdown Pressure Drop Curves in Deep Coal Seams
by Huaibin Zhen, Haifeng Zhao, Zhaojie Jia, Fengyin Xu, Yanqi Sun, Wenting Zeng and Qi Zhu
Energies 2025, 18(22), 6023; https://doi.org/10.3390/en18226023 - 18 Nov 2025
Viewed by 675
Abstract
The G-function can obtain the formation ground stress information by identifying the fracture closure point after fracturing, but the main fracture closure period of the deep coal seam volume fracture network is long, and the on-site pump stop time is short, and only [...] Read more.
The G-function can obtain the formation ground stress information by identifying the fracture closure point after fracturing, but the main fracture closure period of the deep coal seam volume fracture network is long, and the on-site pump stop time is short, and only the branch fracture closure can be observed. In order to explore the relationship between the closure pressure of branch fractures and the horizontal in situ stress, taking the deep coal seam in Daning–Jixian area as the background, the numerical simulation of the pump-stopping pressure drop of a complex fracture network with different complexity and different approximation angles was carried out using a finite element method, and the relationship between the closure pressure corresponding to the fracture closure point and the in situ stress was explored. The results show that when the crack approximation angle is greater than 60°, it can be approximately considered that the closure pressure of the first crack closure point tends to the maximum horizontal in situ stress. Furthermore, the minimum horizontal in situ stress can be obtained by formula conversion. The above-outlined method is applied to the in situ stress prediction of the X well area in Daning–Jixian County. The calculation results are compared with the test fracturing results, and the relative difference is within 5%, which shows that it has good accuracy and feasibility. The research results can provide guidance for the optimization of deep coalbed methane scheme design. Full article
(This article belongs to the Section H: Geo-Energy)
Show Figures

Figure 1

24 pages, 5078 KB  
Article
Numerical Study on Elastic Properties of Natural Fibres in Multi-Hybrid Composites
by Mughees Shahid, Gediminas Monastyreckis and Daiva Zeleniakiene
Polymers 2025, 17(22), 3031; https://doi.org/10.3390/polym17223031 - 15 Nov 2025
Cited by 5 | Viewed by 1667
Abstract
This study investigates the elastic properties of bio-epoxy composites reinforced with natural fibres (flax, hemp) and synthetic fibres (S-glass), with particular focus on the effect of the fibre volume fraction (VF) ranging from 10% to 70%. Three-dimensional representative volume element (RVE) models were [...] Read more.
This study investigates the elastic properties of bio-epoxy composites reinforced with natural fibres (flax, hemp) and synthetic fibres (S-glass), with particular focus on the effect of the fibre volume fraction (VF) ranging from 10% to 70%. Three-dimensional representative volume element (RVE) models were developed for single-fibre, hybrid, and multi-fibre systems. The mean-field homogenisation (MF) approach, based on the Mori–Tanaka scheme, and finite element analysis (FEA) with periodic boundary conditions were employed to predict the effective elastic properties, including longitudinal, transverse, and shear moduli, as well as Poisson’s ratio. These numerical predictions were validated against analytical models, including the rule of mixtures, Chamis, and composite cylinder assemblage (CCA) methods. The results demonstrate that increasing the VF enhances longitudinal, transverse, and shear moduli while reducing Poisson’s ratio in natural fibre composites. The good agreement between numerical, semi-analytical, and analytical methods validates the 3D RVE models as useful tools for predicting the properties of multi-hybrid natural fibre composites, supporting their design for lightweight structural applications. Full article
Show Figures

Graphical abstract

16 pages, 3548 KB  
Article
Modeling Transient Vaporous Cavitating Flow in Pipelines by a Two-Phase Homogeneous Flow Model
by Jie He, Changjun Li and Yuying Guo
Processes 2025, 13(11), 3510; https://doi.org/10.3390/pr13113510 - 1 Nov 2025
Cited by 2 | Viewed by 773
Abstract
Vaporous cavitating flow may occur in pipelines when a water hammer causes pressure to drop to saturated vapor pressure. This paper presents a two-phase homogeneous flow model for transient vaporous cavitating flows. The homogeneous flow model consists of continuity and momentum balance equations [...] Read more.
Vaporous cavitating flow may occur in pipelines when a water hammer causes pressure to drop to saturated vapor pressure. This paper presents a two-phase homogeneous flow model for transient vaporous cavitating flows. The homogeneous flow model consists of continuity and momentum balance equations and an equation describing the volume fraction of vapor. A two-step finite difference MacCormack scheme is used to solve the model. The calculated results obtained from the model are compared with those of the classical discrete gas cavity model (DGCM) and with experimental data from the literature. For all test cases, the model converged at a similar number of grids. The numerical results indicate that the model can reproduce cavitation events well, especially for the prediction of the first maximum pressure peak after cavity collapse. The model also provides direct access to the vapor volume fraction at each location as a function of time. Through numerical analyses, the initial vapor volume fraction in the model is selected as 10−7; with this selection, the numerical results are in good agreement with experimental data. The model also exhibits comparable predictive capability with respect to the DGCM and superior performance under some operating conditions. Nevertheless, neither of these two models can appropriately estimate the pressure phase in severe cavitation events. Full article
Show Figures

Figure 1

Back to TopTop