error_outline You can access the new MDPI.com website here. Explore and share your feedback with us.
 
 
Sign in to use this feature.

Years

Between: -

Subjects

remove_circle_outline
remove_circle_outline
remove_circle_outline
remove_circle_outline
remove_circle_outline
remove_circle_outline
remove_circle_outline
remove_circle_outline
remove_circle_outline

Journals

remove_circle_outline
remove_circle_outline
remove_circle_outline
remove_circle_outline
remove_circle_outline
remove_circle_outline
remove_circle_outline
remove_circle_outline

Article Types

Countries / Regions

remove_circle_outline
remove_circle_outline
remove_circle_outline
remove_circle_outline
remove_circle_outline

Search Results (593)

Search Parameters:
Keywords = filament extrusion

Order results
Result details
Results per page
Select all
Export citation of selected articles as:
20 pages, 4885 KB  
Article
Development of 3D-Printable Lead-Free Composite Materials for Mixed Photon and Neutron Attenuation
by Shirin Arslonova, Jurgita Laurikaitiene and Diana Adliene
Polymers 2026, 18(2), 176; https://doi.org/10.3390/polym18020176 - 8 Jan 2026
Abstract
The growing use of radiation technologies has increased the need for shielding materials that are lightweight, safe, and adaptable to complex geometries. While lead remains highly effective, its toxicity and weight limit its suitability, driving interest in alternative materials. The process of 3D [...] Read more.
The growing use of radiation technologies has increased the need for shielding materials that are lightweight, safe, and adaptable to complex geometries. While lead remains highly effective, its toxicity and weight limit its suitability, driving interest in alternative materials. The process of 3D printing enables the rapid fabrication of customized shielding geometries; however, only limited research has focused on 3D-printed polymer composites formulated specifically for mixed photon–neutron fields. In this study, we developed a series of 3D-printable ABS-based composites incorporating tungsten (W), bismuth oxide (Bi2O3), gadolinium oxide (Gd2O3), and boron nitride (BN). Composite filaments were produced using a controlled extrusion process, and all materials were 3D printed under identical conditions to enable consistent comparison across formulations. Photon attenuation at 120 kVp and neutron attenuation using a broad-spectrum Pu–Be source (activity 4.5 × 107 n/s), providing a mixed neutron field with a central flux of ~7 × 104 n·cm−2·s−1 (predominantly thermal with epithermal and fast components), were evaluated for both individual composite samples and layered (sandwich) configurations. Among single-material prints, the 30 wt% Bi2O3 composite achieved a mass attenuation coefficient of 2.30 cm2/g, approximately 68% of that of lead. Layered structures combining high-Z and neutron-absorbing fillers further improved performance, achieving up to ~95% attenuation of diagnostic X-rays and ~40% attenuation of neutrons. The developed materials provided a promising balance between 3D-printability and dual-field shielding effectiveness, highlighting their potential as lightweight, lead-free shielding components for diverse applications. Full article
(This article belongs to the Special Issue 3D Printing Polymers: Design and Applications)
Show Figures

Graphical abstract

19 pages, 4385 KB  
Article
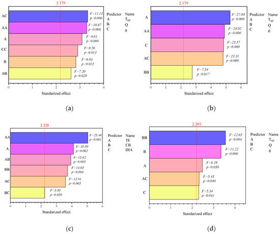
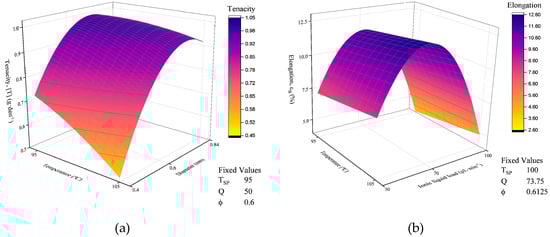
Physicochemical Recycling of Cotton from Textile Waste Driven by the Ionic Liquid [DBNH][AcO] via Wet Spinning Through Factorial Design of Experiments
by Paula Mercado-Martínez, Sergi Gonzalez-Zaragozá, Javier Pascual-Bernabéu, Karen Gutiérrez-Silva, Gorka Marco-Velasco, Josep Pasqual Cerisuelo, Jose D. Badia-Valiente and Amparo Cháfer
Appl. Sci. 2026, 16(2), 648; https://doi.org/10.3390/app16020648 - 8 Jan 2026
Abstract
The textile industry is positioned as one of the most significant contributors to waste generation but remains with low implementation of post-consumer recycling practices. In response to this challenge, this study focuses on the physicochemical recycling of cotton derived from textile waste aided [...] Read more.
The textile industry is positioned as one of the most significant contributors to waste generation but remains with low implementation of post-consumer recycling practices. In response to this challenge, this study focuses on the physicochemical recycling of cotton derived from textile waste aided by a protic ionic liquid, 1,5-diazabicyclo [4.3.0]non-5-ene acetate ([DBNH][OAc]), as a green alternative solvent for dissolving cotton and generating a dope, which is then transformed into a filament through the wet spinning technique. A dedicated setup was developed for the spinning process, and an experimental design based on a statistical factorial approach was applied to optimise the spinning conditions, as temperature, die diameter and velocity of extrusion. The mechanical properties of the filaments, including tenacity and elongation at break, were analysed to assess their performance. The statistical model facilitated the simultaneous optimisation of both responses—tenacity and elongation—resulting in the following optimal conditions: a temperature of 95 °C, a flow rate of 70 μL·min−1, and an extrusion diameter of 0.4 mm. The results demonstrate that both the selected solvent and wet spinning are effective in producing filaments suitable for reuse in the textile industry. Remarkably, filaments derived from textile waste exhibited superior mechanical properties compared to those obtained from virgin white cotton. Full article
(This article belongs to the Section Green Sustainable Science and Technology)
Show Figures

Figure 1

18 pages, 2377 KB  
Article
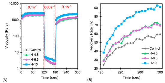
Photo Crosslinkable Hybrid Hydrogels for High Fidelity Direct Write 3D Printing: Rheology, Curing Kinetics, and Bio-Scaffold Fabrication
by Riley Rohauer, Kory Schimmelpfennig, Perrin Woods, Rokeya Sarah, Ahasan Habib and Christopher L. Lewis
J. Funct. Biomater. 2026, 17(1), 30; https://doi.org/10.3390/jfb17010030 - 4 Jan 2026
Viewed by 122
Abstract
This work characterizes hybrid hydrogels prepared via the combination of natural and synthetic polymers. By incorporating a biocompatible compound, poly(ethylene glycol) diacrylate (PEGDA, Mn = 400), into alginate and carboxymethyl cellulose (CMC)-based hydrogels, the in situ UV crosslinking of these materials was [...] Read more.
This work characterizes hybrid hydrogels prepared via the combination of natural and synthetic polymers. By incorporating a biocompatible compound, poly(ethylene glycol) diacrylate (PEGDA, Mn = 400), into alginate and carboxymethyl cellulose (CMC)-based hydrogels, the in situ UV crosslinking of these materials was assessed. A custom direct-write (DW) 3D bioprinter was utilized to prepare hybrid hydrogel constructs and scaffolds. A control sample, which consisted of 4% w/v alginate and 4% w/v CMC, was prepared and evaluated in addition to three PEGDA (4.5, 6.5, and 10% w/v)-containing hybrid hydrogels. Rotational rheology was utilized to evaluate the thixotropic behavior of these materials. Filament fusion tests were employed to generate bilayer constructs of various pore sizes, providing metrics for the printability and diffusion rate of hydrogels post-extrusion. Printability indicates the shape fidelity of pore geometry, whereas diffusion rate represents material spreading after deposition. Curing kinetics of PEGDA-containing hydrogels were evaluated using photo-Differential Scanning Calorimetry (DSC) and photorheology. The Kamal model was fitted to photo-DSC results, enabling an assessment and comparison of the curing kinetics for PEGDA-containing hydrogels. Photorheological results highlight the increase in hydrogel stiffness concomitant with PEGDA content. The range of obtained complex moduli (G*) provides utility for the development of brain, kidney, and heart tissue (620–4600 Pa). The in situ UV irradiation of PEGDA-containing hydrogels improved the shape fidelity of printed bilayers and decreased filament diffusion rates. In situ UV irradiation enabled 10-layer scaffolds with 1 × 1 mm pore sizes to be printed. Ultimately, this study highlights the utility of PEGDA-containing hybrid hydrogels for high-resolution DW 3D bioprinting and potential application toward customizable tissue analogs. Full article
(This article belongs to the Special Issue 3D Bioprinting for Tissue Engineering and Regenerative Medicine)
Show Figures

Graphical abstract

18 pages, 2591 KB  
Article
Enabling Sensor-Integrated and Sustainable Aerospace Structures Through Additively Manufactured Aluminium Mechanisms for CubeSats
by Bernardo Alves, Rafael Sousa, Ricardo Coelho, Daniel Gatões, Luís Cacho, Ricardo Branco, Vítor Miguel Santos and Patrícia Freitas Rodrigues
Sensors 2026, 26(1), 281; https://doi.org/10.3390/s26010281 - 2 Jan 2026
Viewed by 176
Abstract
CubeSats are a fundamental tool of space exploration, allowing for the testing of novel ideas that can be upscaled to more efficient satellite systems. This work presents the development and characterisation of an additively manufactured aluminium mechanism designed to enable the self-functionalisation of [...] Read more.
CubeSats are a fundamental tool of space exploration, allowing for the testing of novel ideas that can be upscaled to more efficient satellite systems. This work presents the development and characterisation of an additively manufactured aluminium mechanism designed to enable the self-functionalisation of CubeSat structures through material extrusion metal additive manufacturing, as a foundation for sensor integration. A space-grade AlSi7Mg alloy was selected and prepared as a filament to print a fully functional hinge geometry, aiming to evaluate the feasibility of producing movable metallic components using a low-cost and sustainable extrusion-based process. Produced parts were subjected to debinding and vacuum sintering, achieving a densification above 85% and an average hardness of 52.2 HV. Further characterisation, including micro-computed tomography, X-ray diffraction and dynamic mechanical analysis, was used to assess the microstructural integrity, present phase, and mechanical behaviour of the sintered components. The designed shrinkage-compensated hinge mechanism preserved its rotational mobility after sintering, validating the mechanical inter-locking strategy and the design for additive manufacturing methodology used. The results demonstrate that material extrusion enables the fabrication of lightweight, functional, and integrated aluminium mechanisms suitable for sensor incorporation and actuation in small satellite systems. This proof-of-concept highlights material extrusion as a sustainable and economically viable route for developing intelligent aero-space structures, paving the way for future adaptive and sensor-integrated CubeSat subsystems. Full article
(This article belongs to the Special Issue Artificial Intelligence and Sensing Technology in Smart Manufacturing)
Show Figures

Figure 1

21 pages, 5007 KB  
Article
Biowastes as Reinforcements for Sustainable PLA-Biobased Composites Designed for 3D Printing Applications: Structure–Rheology–Process–Properties Relationships
by Mohamed Ait Balla, Abderrahim Maazouz, Khalid Lamnawar and Fatima Ezzahra Arrakhiz
Polymers 2026, 18(1), 128; https://doi.org/10.3390/polym18010128 - 31 Dec 2025
Viewed by 292
Abstract
This work focused on the development of eco-friendly bio-composites based on polylactic acid (PLA) and sugarcane bagasse (SCB) as a natural fiber from Moroccan vegetable waste. First, the fiber surface was treated with an alkaline solution to remove non-cellulosic components. Then, the composite [...] Read more.
This work focused on the development of eco-friendly bio-composites based on polylactic acid (PLA) and sugarcane bagasse (SCB) as a natural fiber from Moroccan vegetable waste. First, the fiber surface was treated with an alkaline solution to remove non-cellulosic components. Then, the composite materials with various amounts of treated sugarcane bagasse (TSCB) were fabricated using two routes, melt processing and solvent casting. The primary objective was to achieve high fiber dispersion/distribution and homogeneous bio-composites. The dispersion properties were analyzed using scanning electron microscopy (SEM). Subsequently, the thermal, mechanical, and melt shear rheological properties of the obtained PLA-based bio-composites were investigated. Through a comparative approach between the dispersion state of fillers with extrusion/injection molding and solvent casting method, the work aimed to identify the most suitable processing route for producing PLA-based composites with optimal dispersion, improved thermal stability, and mechanical reinforcement. The results support the potential of TSCB fibers as an effective bio-based additive for PLA filament production, paving the way for the development of eco-friendly and high-performance materials designed for 3D printing applications. Since the solvent-based route did not allow further improvement and presents clear limitations for large-scale or industrial implementation, the transition toward 3D printing became a natural progression in this work. Material extrusion offers several decisive advantages, notably the ability to preserve the original morphology of the fibers due to the moderate thermo-mechanical stresses involved, and the possibility of manufacturing complex geometries that cannot be obtained through conventional injection molding. Although some printing defects may occur during layer deposition, the mechanical properties obtained through 3D printing remain promising and demonstrate the relevance of this approach. Full article
Show Figures

Figure 1

17 pages, 5539 KB  
Article
PEEK/PEI Polymer Blends for Fused Filament Fabrication: Processing, Properties, and Printability
by Conor McCrickard, Adrian Boyd, Krzysztof Rodzen, Edward Archer, Faisal Manzoor and Jawad Ullah
Polymers 2026, 18(1), 113; https://doi.org/10.3390/polym18010113 - 30 Dec 2025
Viewed by 255
Abstract
Printing with high-performance polymers such as polyether ether ketone (PEEK) and polyetherimide (PEI) presents issues regarding shrinkage and warpage due to elevated temperatures. One method highlighted to mitigate against this is through polymer blending. This study explores the development and characterization of PEEK [...] Read more.
Printing with high-performance polymers such as polyether ether ketone (PEEK) and polyetherimide (PEI) presents issues regarding shrinkage and warpage due to elevated temperatures. One method highlighted to mitigate against this is through polymer blending. This study explores the development and characterization of PEEK and PEI blends as filament for fused filament fabrication (FFF) in additive manufacturing. Filaments were produced via melt extrusion using PEEK/PEI weight ratios 100/0, 80/20, 70/30, 60/40, 50/50, 40/60, 20/80, and 0/100 (wt.%). The aim is to identify an optimum blend which enhances printability and maintains mechanical and thermal integrity. The extruded filaments were first characterized through differential scanning calorimetry (DSC) to determine miscibility with all ratios presenting a single glass transition temperature. Samples were then 3D-printed and assessed through mechanical testing, DSC, X-ray diffraction (XRD), and scanning electron microscopy (SEM). The PEEK/PEI 80/20 (wt.%) blend was recognized as the optimum blend for maintaining crystallinity (35%) as well as good mechanical properties, averaging ultimate tensile strengths (UTSs) of 75.6 MPa and a Young’s modulus of 1338 MPa. Thermal properties also improved while warpage reduced and printability improved. Full article
(This article belongs to the Section Polymer Processing and Engineering)
Show Figures

Graphical abstract

29 pages, 12546 KB  
Article
Enhancing Processability and Multifunctional Properties of Polylactic Acid–Graphene/Carbon Nanotube Composites with Cellulose Nanocrystals
by Siting Guo, Evgeni Ivanov, Vladimir Georgiev, Paul Stanley, Iza Radecka, Ahmed M. Eissa, Roberta Tolve and Fideline Tchuenbou-Magaia
Polymers 2026, 18(1), 99; https://doi.org/10.3390/polym18010099 - 29 Dec 2025
Viewed by 292
Abstract
The growing accumulation of plastic and electronic waste highlights the urgent need for sustainable and biodegradable polymers. However, developing intrinsically conductive biodegradable polymers remains challenging, particularly for packaging and sensing applications. Poly(lactic acid) (PLA) is intrinsically non-conductive, and enhancing its functionality without compromising [...] Read more.
The growing accumulation of plastic and electronic waste highlights the urgent need for sustainable and biodegradable polymers. However, developing intrinsically conductive biodegradable polymers remains challenging, particularly for packaging and sensing applications. Poly(lactic acid) (PLA) is intrinsically non-conductive, and enhancing its functionality without compromising structural integrity is a key research goal. In this study, PLA-based filaments were developed using melt extrusion, incorporating cellulose nanocrystals (CNCs), graphene nanoplatelets (GNPs), and carbon nanotubes (CNTs), individually and in hybrid combinations with total filler contents between 1 and 5 wt%. The inclusion of CNC enhanced the dispersion of GNP and CNT, promoting the formation of interconnected conductive networks within the PLA matrix, allowing the percolation threshold to be reached at a lower fillers concentration. Hybrid formulations showed a balance melt strength and processability suitable for fused deposition modelling (FDM) 3D printing and prototypes successfully made. This study also provides the first systematic evaluation of temperature-dependent thermal conductivity of PLA-based composites at multiple temperatures (25, 5, and −20 °C), relevant to typical food and medical supply chains conditions. Full article
Show Figures

Graphical abstract

25 pages, 9154 KB  
Article
Optimization of Silicon Nitride Nanopowder Content in Polyamide 12 (PA12) in Extrusion-Based Additive Manufacturing
by Markos Petousis, Apostolos Korlos, Nikolaos Michailidis, Vassilis M. Papadakis, Apostolos Argyros, Nikolaos Mountakis, Maria Spyridaki, Athena Maniadi, Amalia Moutsopoulou and Nectarios Vidakis
Nanomaterials 2026, 16(1), 47; https://doi.org/10.3390/nano16010047 - 29 Dec 2025
Viewed by 343
Abstract
The use of polyamide-12 (PA12) thermoplastics in additive manufacturing (AM) is promising owing to their mechanical properties and printability. However, in load-bearing applications, improvements in mechanical strength and stiffness are sought after. Herein, the reinforcement efficiency of silicon nitride (Si3N4 [...] Read more.
The use of polyamide-12 (PA12) thermoplastics in additive manufacturing (AM) is promising owing to their mechanical properties and printability. However, in load-bearing applications, improvements in mechanical strength and stiffness are sought after. Herein, the reinforcement efficiency of silicon nitride (Si3N4) nanoparticles in the PA12 matrix was explored. The filler loading varied between 2.0 wt. % and 10.0 wt. %. The nanocomposites were extruded into filament using melt compounding for subsequent material extrusion (MEX) 3D printing. PA12/Si3N4 nanocomposites were examined for their thermal, rheological, morphological, and structural characteristics. For mechanical characterization, flexural, tensile, microhardness, and Charpy impact data were obtained. For structural examination, porosity and dimensional deviation were assessed. Scanning electron microscopy (SEM) was used to investigate morphology and chemical composition. The results indicate that Si3N4 nanopowder significantly improved all mechanical properties, with a greater than 20% increase in tensile strength and elastic modulus when compared to neat PA12. The structural characteristics were also improved. These findings indicate that Si3N4 nanoparticles provide a viable reinforcement filler for PA12 for use in lightweight, robust structural components fabricated using MEX AM. Furthermore, it can be stated that ceramic–polymer nanocomposites further improve the applicability of PA12, where high mechanical performance is required. Full article
(This article belongs to the Section Nanofabrication and Nanomanufacturing)
Show Figures

Graphical abstract

21 pages, 10303 KB  
Article
Effect of Flax Fiber Content on the Properties of Bio-Based Filaments for Sustainable 3D Printing of Automotive Components
by Florence Isnard, Mélissa Poloni, Marta Redrado, Raquel Navarro-Miguel and Skander Mani
Sustainability 2026, 18(1), 199; https://doi.org/10.3390/su18010199 - 24 Dec 2025
Viewed by 187
Abstract
The growing interest in sustainable additive manufacturing has driven research into customized biocomposite filaments reinforced with natural fibers. This study evaluates the influence of flax fiber content (5–15 wt%) on the thermal, rheological, morphological, and mechanical properties of fully bio-based polyamide PA10.10 filaments [...] Read more.
The growing interest in sustainable additive manufacturing has driven research into customized biocomposite filaments reinforced with natural fibers. This study evaluates the influence of flax fiber content (5–15 wt%) on the thermal, rheological, morphological, and mechanical properties of fully bio-based polyamide PA10.10 filaments intended for fused deposition modeling (FDM). Filaments containing up to 15 wt% flax fibers were produced using both conventional single-screw extrusion and the METEOR® elongational mixer to compare shear- and elongation-dominated dispersive mechanisms. Increasing flax loading enhanced stiffness (up to +84% tensile modulus at 15 wt%) but also significantly increased porosity, particularly in METEOR-processed materials, leading to reduced strength and intrinsic viscosity. Microscopy confirmed fiber shortening during compounding and revealed porosity arising from moisture release and insufficient fiber wetting. Rheological analysis showed the onset of a pseudo-percolated fiber network from 10 wt%, while excessive porosity at higher loadings impeded melt flow and printability. Based on the combined evaluation of the mechanical performance, dimensional stability, and processability, a 5 wt% flax formulation was identified as the optimal compromise for FDM. A functional automotive demonstrator (Fiat 500 dashboard fascia) was successfully printed using optimized FDM parameters (nozzle 240 °C, bed 75 °C, speed 20 mm s−1, 0.6 mm nozzle, 0.20 mm layer height, and 100% infill). The part exhibited controlled shrinkage and limited warpage (maximum 1.8 mm across a 165 × 180 × 45 mm geometry with a 3 mm wall thickness). Dimensional accuracy remained within ±0.7 mm relative to the CAD geometry. These results confirm the suitability of PA10.10/flax biocomposites for sustainable, lightweight automotive components and provide key structure–processing–property relationships supporting the development of next-generation bio-based FDM feedstocks. Full article
Show Figures

Graphical abstract

14 pages, 1784 KB  
Article
Research on the Workability of 3D Printed Fiber-Reinforced Concrete Materials
by Qunyi Huang, Qingyu Huang, Hong Yang, Jiahang Zhang and Yajie Wu
Fibers 2026, 14(1), 1; https://doi.org/10.3390/fib14010001 - 19 Dec 2025
Viewed by 266
Abstract
This paper investigates the fundamental workability of 3D printed concrete materials incorporating different fiber types. Fluidity, extrudability, and buildability were proposed as key indicators for assessing printability, evaluated through corresponding test methods, including fluidity tests, filament extrusion tests, and slump tests. The results [...] Read more.
This paper investigates the fundamental workability of 3D printed concrete materials incorporating different fiber types. Fluidity, extrudability, and buildability were proposed as key indicators for assessing printability, evaluated through corresponding test methods, including fluidity tests, filament extrusion tests, and slump tests. The results demonstrate that the optimal ranges for printability are superplasticizer content between 0.35% and 0.45%, accelerator content between 0.60% and 0.85%, and silica fume replacement level between 7.5% and 10%. The incorporation of copper-coated steel fibers led to deteriorated workability, manifested as reduced fluidity, increased fluidity loss over time, poor pumpability, discontinuous extrusion, and low slump, although buildability remained satisfactory. Polypropylene fibers increased the air content in concrete, thereby improving workability; they exhibited good extrusion continuity, appropriate slump and filament width, and favorable buildability. Basalt fibers significantly enhanced air content and workability. However, due to the high stiffness of the fibers, extrusion continuity was only moderate. While the slump and filament width were suitable, the presence of minor voids in the printed filaments resulted in average buildability. Full article
Show Figures

Figure 1

20 pages, 3431 KB  
Article
Effect of MEX Process Parameters on the Mechanical Response of PLA Structures for Orthopedic Applications
by Stelios Avraam, Demetris Photiou, Theodoros Leontiou and Loucas Papadakis
J. Manuf. Mater. Process. 2025, 9(12), 414; https://doi.org/10.3390/jmmp9120414 - 17 Dec 2025
Viewed by 246
Abstract
The advancement of polymeric materials for orthopedic applications has enabled the development of lightweight, adaptable structures that support patient-specific solutions. This study focuses on the design, fabrication, and mechanical characterization of additively manufactured (AM) polymeric polylactic acid (PLA) components produced via Material Extrusion [...] Read more.
The advancement of polymeric materials for orthopedic applications has enabled the development of lightweight, adaptable structures that support patient-specific solutions. This study focuses on the design, fabrication, and mechanical characterization of additively manufactured (AM) polymeric polylactic acid (PLA) components produced via Material Extrusion (MEX), commonly known as Fused Filament Fabrication (FFF). By optimizing geometric configurations and process parameters, these structures demonstrate enhanced flexibility, energy absorption, and load distribution, making them well-suited for orthopedic products and assistive devices. A comprehensive mechanical testing campaign was conducted to evaluate the elasticity, ductility, and strength of FFF-fabricated samples under tensile and three-point bending loads. Key process parameters, including nozzle diameter, layer thickness, and printing orientation, were systematically varied, and their influence on mechanical performance was recorded. The results reveal that these parameters affect mechanical properties in a complex, interdependent manner. To better understand these relationships, an automated routine was developed to calculate the experimental mechanical response, specifically, stiffness and strength. This methodology enables an automated evaluation of the output, considering parameter ranges for future applications. The outcome of the analysis of variance (ANOVA) of the experimental investigation reveals that the printing orientation has a strong impact on the mechanical anisotropy in FFF, while layer thickness and nozzle diameter demonstrate moderate-to-weak importance. Thereafter, the experimental findings were applied on an innovative orthopedic wrist splint design to be fabricated by means of FFF. The most suitable mechanical properties were selected to test the mechanical response of the designed components under operational bending loading by means of linear elastic finite element (FE) analysis. The computational results indicated the importance of employing the actual mechanical properties derived from the applied printing process parameters compared to data sheet values. Hereby, an additional parameter to adjust the mechanical response is the product’s design topology. Finally, this framework lays the foundation for future training of neural networks to optimize specific mechanical responses, reducing reliance on conventional trial-and-error processes and improving the balance between orthopedic product quality and manufacturing efficiency. Full article
Show Figures

Graphical abstract

23 pages, 5287 KB  
Article
Development and Characterization of Biodegradable Polymer Filaments for Additive Manufacturing
by Tomáš Balint, Jozef Živčák, Radovan Hudák, Marek Schnitzer, Miroslav Kohan, Maria Danko, Richard Staško, Peter Szedlák, Marek Jałbrzykowski, Katarzyna Leszczyńska, Pavol Alexy, Ivana Bírová, Zuzana Vanovčanová and Martina Culenová
Polymers 2025, 17(24), 3328; https://doi.org/10.3390/polym17243328 - 17 Dec 2025
Viewed by 497
Abstract
In this study, the authors focus on optimizing the processing parameters for the fabrication of biodegradable polymer filaments intended for subsequent 3D printing of biomedical structures and implants. Following extrusion and additive manufacturing, the produced materials underwent a comprehensive evaluation that included mechanical, [...] Read more.
In this study, the authors focus on optimizing the processing parameters for the fabrication of biodegradable polymer filaments intended for subsequent 3D printing of biomedical structures and implants. Following extrusion and additive manufacturing, the produced materials underwent a comprehensive evaluation that included mechanical, microbiological, biofilm formation, and electron microscopy analyses. The complexity of these tests aimed to determine the potential of the developed materials for biomedical applications, particularly in the field of scaffold fabrication. At the initial stage, three types of filaments (technical designations 111, 145, and 146) were produced using Fused Filament Fabrication (FFF) technology. These filaments were based on a PLA/PHB matrix with varying types and concentrations of plasticizers. Standardized destructive tensile and compressive mechanical tests were conducted using an MTS Insight 1 kN testing system equipped with an Instron 2620-601 extensometer. Among the tested samples, the filament labeled 111, composed of PLA/PHB thermoplastic starch and a plasticizer, exhibited the most favorable mechanical performance, with a Young’s modulus of elasticity of 4.63 MPa for 100% infill. The filament labeled 146 had a Young’s modulus of elasticity of 4.53 MPa for 100% infill and the material labeled 145 had a Young’s modulus of elasticity of 1.45 MPa for 100% infill. Microbiological assessments were performed to evaluate the capacity of bacteria and fungi to colonize the material surfaces. During bacterial activity assessment, we observed biofilm formation on the examined sample surfaces of each material from the smooth and rough sides. The colony-forming units (CFUs) increased directly with the exposure time. For all samples from each material, the Log10 (CFU) value reached above 9.41 during 72 h of incubation for the activity of each type of bacteria (Staphylococcus aureus, Pseudomonas aeruginosa, Candida albicans). Scanning electron microscopy provided insight into the surface quality of the material and revealed its local quality and purity. Surface defects were eliminated by this method. Overall, the results indicate that the designed biodegradable filaments, especially formulation 111, have promising properties for the development of scaffolds intended for hard tissue replacement and could also be suitable for regenerative applications in the future after achieving the desired biological properties. Full article
Show Figures

Figure 1

8 pages, 1658 KB  
Proceeding Paper
Flexural Strength Investigation of Flat-Oriented PLA Filament 3D Printing Parts Under Different Infill Styles and Printing Conditions
by Nikolaos A. Fountas, John D. Kechagias, Stefanos Zaoutsos and Nikolaos M. Vaxevanidis
Eng. Proc. 2025, 119(1), 18; https://doi.org/10.3390/engproc2025119018 - 15 Dec 2025
Viewed by 282
Abstract
Fused filament fabrication (FFF) is a widely used material extrusion-based 3D printing process known for its cost-effectiveness, versatility, and ability to produce intricate components. However, the strength of interlayer bonding is significantly influenced by printing parameters, material characteristics, and the chosen printing paths. [...] Read more.
Fused filament fabrication (FFF) is a widely used material extrusion-based 3D printing process known for its cost-effectiveness, versatility, and ability to produce intricate components. However, the strength of interlayer bonding is significantly influenced by printing parameters, material characteristics, and the chosen printing paths. The present study employs a custom response surface design derived from an L9 orthogonal array to strictly investigate the impact of three distinct infill patterns under varying printing temperatures and printing speeds on the responses of flexural strength, σb, and elasticity modulus, E (MPa). Flat-oriented poly-lactic acid (PLA) specimens were subjected to three-point bending tests to evaluate flexural strength for 100% infill rates and a 0.2 mm layer height. Besides the experimental investigation and the statistical analysis, failure modes of the fractured samples were observed to correlate the independent printing parameters with the aforementioned response. The desirability function was employed to identify the set of optimal parameters for maximizing the flexural strength and elasticity modulus for the particular PLA material brand examined. The results indicated that infill pattern and printing speed have significant impact on both responses. The optimal parameters were identified as “centroid” for infill style, 203.03 °C for printing temperature and 25 mm/s for printing speed. Full article
Show Figures

Figure 1

22 pages, 5466 KB  
Article
Induction-Heated, Unrestricted-Rotation Rectangular-Slot Hot End for FFF
by Miguel Rodríguez, David Blanco, Juan Antonio Martín, Pedro José Villegas, Alejandro Fernández and Pablo Zapico
J. Manuf. Mater. Process. 2025, 9(12), 409; https://doi.org/10.3390/jmmp9120409 - 13 Dec 2025
Viewed by 460
Abstract
This work presents a fused-filament fabrication (FFF) hot end that combines an unrestricted-rotation C-axis with a rectangular-slot nozzle and an induction-heated melt sleeve. The architecture replaces the popular resistive cartridge and heater block design with an external coil that induces eddy-current heating in [...] Read more.
This work presents a fused-filament fabrication (FFF) hot end that combines an unrestricted-rotation C-axis with a rectangular-slot nozzle and an induction-heated melt sleeve. The architecture replaces the popular resistive cartridge and heater block design with an external coil that induces eddy-current heating in a thin-walled sleeve, threaded to the heat break and nozzle, reducing thermal mass and eliminating wired sensors across the rotating interface. A contactless infrared thermometer targets the nozzle tip; the temperature is regulated by frequency-modulating the inverter around resonance, yielding stable control. The hot end incorporates an LPBF-manufactured nozzle, which transitions from a circular inlet to a rectangular outlet to deposit broad, low-profile strands at constant layer height while preserving lateral resolution. The concept is validated on a desktop Cartesian platform retrofitted to coordinate yaw with XY motion. A twin-printer testbed compares the proposed hot end against a stock cartridge-heated system under matched materials and environments. With PLA, the induction-heated, rotating hot end enables printing at 170 °C with defect-free flow and delivers substantial reductions in job time (22–49%) and energy per part (9–39%). These results indicate that the proposed approach is a viable route to higher-throughput, lower-specific-energy material extrusion. Full article
Show Figures

Figure 1

25 pages, 7703 KB  
Article
Orientation and Influence of Anisotropic Nanoparticles in Electroconductive Thermoplastic Composites: A Micromechanical Approach
by Lisa Windisch, Björn Düsenberg, Maximilian Nowka, Karl Hilbig, Thomas Vietor and Carsten Schilde
Polymers 2025, 17(24), 3273; https://doi.org/10.3390/polym17243273 - 9 Dec 2025
Viewed by 522
Abstract
The integration of electrically conductive functionalities into polymer components via additive manufacturing has gained increasing relevance across fields such as sensing, energy storage, and structural electronics. Achieving reliable performance in such applications requires a deeper understanding of how processing conditions affect the internal [...] Read more.
The integration of electrically conductive functionalities into polymer components via additive manufacturing has gained increasing relevance across fields such as sensing, energy storage, and structural electronics. Achieving reliable performance in such applications requires a deeper understanding of how processing conditions affect the internal structure of conductive thermoplastic composites—particularly the orientation and distribution of anisotropic fillers. This study analyzes a PLA-based composite containing carbon nanotubes, carbon black, and graphite flakes to evaluate the influence of extrusion temperature on electrical resistivity and micromechanical properties. To complement scanning electron microscopy, a novel micromechanical mapping approach based on nanoindentation was applied, enabling spatially resolved analysis of local stiffness and hardness. Results show that increasing extrusion temperature improves filler dispersion and alignment, enhancing conductivity and mechanical homogeneity—up to a threshold of 210 °C. Even small temperature changes significantly affect particle orientation and distribution. Unlike global resistivity measurements, the combined use of nanoindentation and microscopic imaging reveals location-specific structural phenomena and filler behavior within the matrix. This newly established method provides high-resolution insight into internal composite architecture and offers a robust foundation for optimizing process-structure-property relationships in conductive polymer systems. Full article
(This article belongs to the Section Polymer Composites and Nanocomposites)
Show Figures

Figure 1

Back to TopTop