Optimization of Silicon Nitride Nanopowder Content in Polyamide 12 (PA12) in Extrusion-Based Additive Manufacturing
Abstract
1. Introduction
2. Materials and Methods
2.1. Materials
2.2. PA12/Si3N4 Filament Extrusion and Specimen 3D Printing
2.3. Morphological Characterization and Energy Dispersive Spectroscopy
2.4. Mechanical Characterization
- Tension testing was performed on V-type coupons with a thickness of 3.2 mm, in accordance with the standard ASTM D638-02a. The apparatus used was an MX2 motorized testing stand by Imada (Imada Inc., Tokyo, Japan) featuring two uniform grips in tensile operation (elongation was set at 10 mm/min).
- Flexure 3-point test, according to ASTM D790-10. The same motorized testing stand was utilized with an appropriate setup, featuring a 52.0 mm clearance (elongation was set at 10 mm/min).
- Impact, following ASTM D6110-04, utilizing a Charpy impact apparatus by the Terco company (Terco, Kungens Kurva, Sweden) model named MT 220 (367 mm hammer release height [98]).
- The microhardness of the fully polished specimens, following ASTM E384-17, was measured using an apparatus manufactured by Innova Test, model Vickers 300 (Maastricht, The Netherlands) device, with an applied force of 100 gF for an indentation duration of 10 s.
2.5. Raman Spectroscopy and Thermal, Rheological, and Structural Characterizations
- The Raman spectra were obtained using a Raman Spectrometer LabRAM HR from the HORIBA Scientific company, based in the city of Kyoto, Japan.
- TGA was implemented on a Diamond Perkin Elmer (Shelton, CT, USA) apparatus.
- DSC was performed using a model DSC-25 Discovery Series (TA Instruments, New Castle, DE, USA).
- Viscosity and MFR measurements were taken with a Discovery Hybrid Rotational Rheometer DHR-20 Series (TA Instruments, DE, USA).
- The dimensional deviation and 3D printing structure porosity were evaluated using a Compact 225 kV Tomoscope HV Micro Focus CT scanner (Werth Messtechnik GmbH, Giessen, Germany).
3. Results
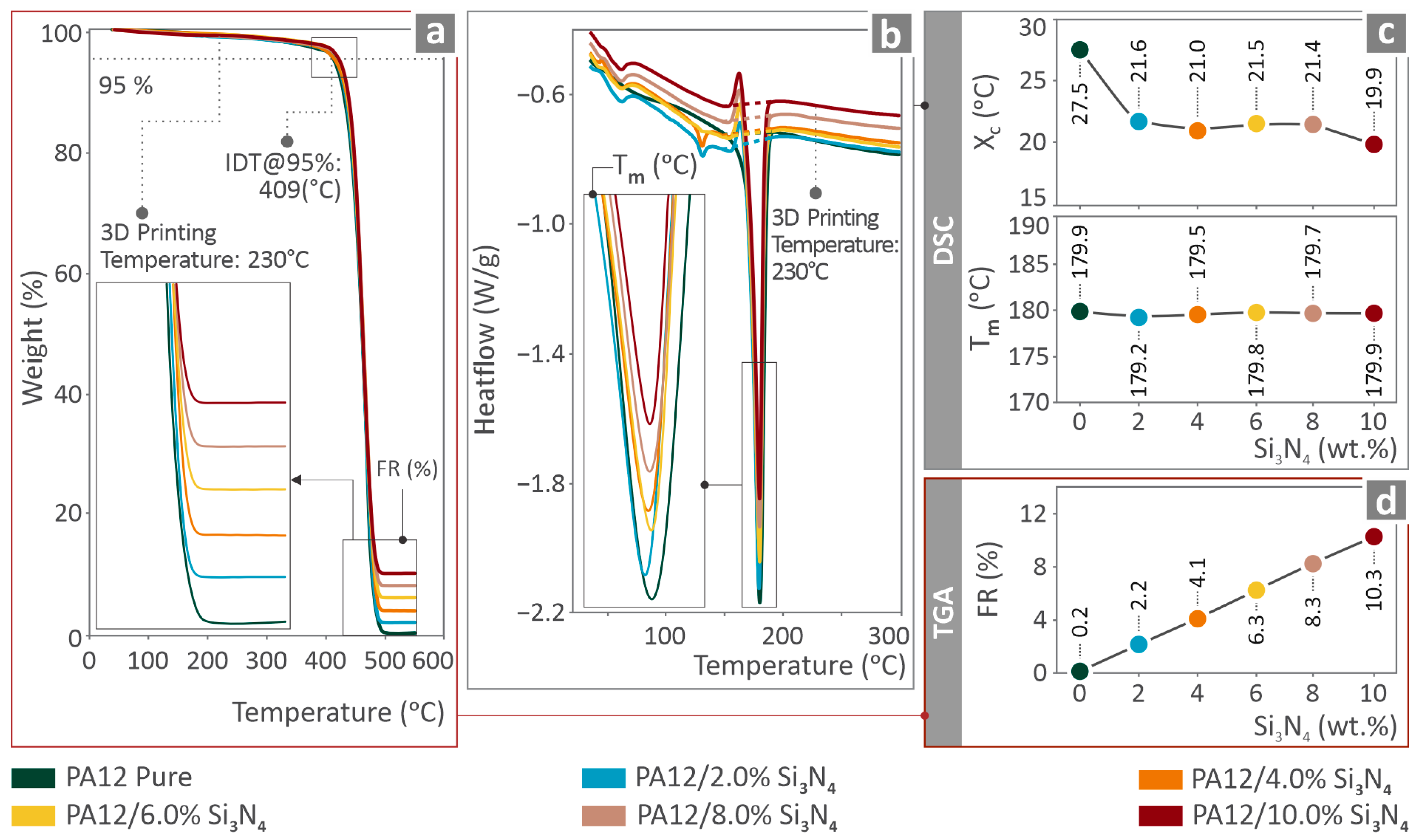
3.1. Thermal Properties
3.2. Raman Spectroscopy Results
3.3. Rheology Data
3.4. Quality Control and Mechanical Testing of the Extruded Filament
3.5. Mechanical Properties
3.6. Structural Characteristics (Quality Metrics)
3.7. Morphological Characteristics
4. Discussion
5. Conclusions
- PA12/6.0 wt. % Si3N4 samples indicated the maximal improvement in mechanical properties compared to pure PA12.
- The tensile strength, Young’s modulus, flexural strength, and stiffness were improved by 23.9%, 17.1%, 18.9%, and 17.6%, respectively.
- The impact strength improved by 16.3% on PA12/8.0 wt. % Si3N4, while microhardness improved 16.6% on the samples with 10.0 filler content.
- PA12/6.0 wt. % Si3N4 samples also showed the highest dimensional accuracy (58.4% improvement) and the lowest porosity (27.6% reduced), proving for the specific nanocomposites a clear correlation between high mechanical performance and print quality.
Supplementary Materials
Author Contributions
Funding
Institutional Review Board Statement
Informed Consent Statement
Data Availability Statement
Acknowledgments
Conflicts of Interest
References
- Cai, C.; Tey, W.S.; Chen, J.; Zhu, W.; Liu, X.; Liu, T.; Zhao, L.; Zhou, K. Comparative Study on 3D Printing of Polyamide 12 by Selective Laser Sintering and Multi Jet Fusion. J. Mater. Process. Technol. 2021, 288, 116882. [Google Scholar] [CrossRef]
- Kohutiar, M.; Kakošová, L.; Krbata, M.; Janík, R.; Fekiač, J.J.; Breznická, A.; Eckert, M.; Mikuš, P.; Timárová, Ľ. Comprehensive Review: Technological Approaches, Properties, and Applications of Pure and Reinforced Polyamide 6 (PA6) and Polyamide 12 (PA12) Composite Materials. Polymers 2025, 17, 442. [Google Scholar] [CrossRef] [PubMed]
- Kam, M.; Ipekci, A.; Şengül, Ö. Investigation of the Effect of FDM Process Parameters on Mechanical Properties of 3D Printed PA12 Samples Using Taguchi Method. J. Thermoplast. Compos. Mater. 2023, 36, 307–325. [Google Scholar] [CrossRef]
- Sheoran, A.J.; Kumar, H.; Arora, P.K.; Moona, G. Bio-Medical Applications of Additive Manufacturing: A Review. Procedia Manuf. 2020, 51, 663–670. [Google Scholar] [CrossRef]
- Singh, A.B. Transforming Healthcare: A Review of Additive Manufacturing Applications in the Healthcare Sector. Eng. Proc. 2024, 72, 2. [Google Scholar]
- Vasco, J.C. Additive Manufacturing for the Automotive Industry. In Additive Manufacturing; Elsevier: Amsterdam, The Netherlands, 2021; pp. 505–530. [Google Scholar]
- Yang, J.; Li, B.; Liu, J.; Tu, Z.; Wu, X. Application of Additive Manufacturing in the Automobile Industry: A Mini Review. Processes 2024, 12, 1101. [Google Scholar] [CrossRef]
- Radhika, C.; Shanmugam, R.; Ramoni, M.; Gnanavel, B. A Review on Additive Manufacturing for Aerospace Application. Mater. Res. Express 2024, 11, 022001. [Google Scholar] [CrossRef]
- Mohanavel, V.; Ali, K.A.; Ranganathan, K.; Jeffrey, J.A.; Ravikumar, M.; Rajkumar, S. The Roles and Applications of Additive Manufacturing in the Aerospace and Automobile Sector. Mater. Today Proc. 2021, 47, 405–409. [Google Scholar] [CrossRef]
- Shanmugam, V.; Rajendran, D.J.J.; Babu, K.; Rajendran, S.; Veerasimman, A.; Marimuthu, U.; Singh, S.; Das, O.; Neisiany, R.E.; Hedenqvist, M.S. The Mechanical Testing and Performance Analysis of Polymer-Fibre Composites Prepared through the Additive Manufacturing. Polym. Test. 2021, 93, 106925. [Google Scholar] [CrossRef]
- Razaviye, M.K.; Tafti, R.A.; Khajehmohammadi, M. An Investigation on Mechanical Properties of PA12 Parts Produced by a SLS 3D Printer: An Experimental Approach. CIRP J. Manuf. Sci. Technol. 2022, 38, 760–768. [Google Scholar] [CrossRef]
- Tan, L.J.; Zhu, W.; Zhou, K. Recent Progress on Polymer Materials for Additive Manufacturing. Adv. Funct. Mater. 2020, 30, 2003062. [Google Scholar] [CrossRef]
- Saleh Alghamdi, S.; John, S.; Roy Choudhury, N.; Dutta, N.K. Additive Manufacturing of Polymer Materials: Progress, Promise and Challenges. Polymers 2021, 13, 753. [Google Scholar] [CrossRef]
- Jafferson, J.M.; Chatterjee, D. A Review on Polymeric Materials in Additive Manufacturing. Mater. Today Proc. 2021, 46, 1349–1365. [Google Scholar] [CrossRef]
- Donate, R.; Monzón, M.; Alemán-Domínguez, M.E. Additive Manufacturing of PLA-Based Scaffolds Intended for Bone Regeneration and Strategies to Improve Their Biological Properties. e-Polymers 2020, 20, 571–599. [Google Scholar] [CrossRef]
- Reverte, J.M.; Caminero, M.Á.; Chacón, J.M.; García-Plaza, E.; Núñez, P.J.; Becar, J.P. Mechanical and Geometric Performance of PLA-Based Polymer Composites Processed by the Fused Filament Fabrication Additive Manufacturing Technique. Materials 2020, 13, 1924. [Google Scholar] [CrossRef] [PubMed]
- Dana, H.R.; Barbe, F.; Delbreilh, L.; Azzouna, M.B.; Guillet, A.; Breteau, T. Polymer Additive Manufacturing of ABS Structure: Influence of Printing Direction on Mechanical Properties. J. Manuf. Process. 2019, 44, 288–298. [Google Scholar] [CrossRef]
- Samykano, M.; Selvamani, S.; Kadirgama, K.; Ngui, W.; Kanagaraj, G.; Sudhakar, K. Mechanical Property of FDM Printed ABS: Influence of Printing Parameters. Int. J. Adv. Manuf. Technol. 2019, 102, 2779–2796. [Google Scholar] [CrossRef]
- García, E.; Núñez, P.; Caminero, M.; Chacón, J.; Kamarthi, S. Effects of Carbon Fibre Reinforcement on the Geometric Properties of PETG-Based Filament Using FFF Additive Manufacturing. Compos. Part B Eng. 2022, 235, 109766. [Google Scholar] [CrossRef]
- Ergene, B.; Bolat, Ç. An Experimental Investigation on the Effect of Test Speed on the Tensile Properties of the Petg Produced by Additive Manufacturing. Int. J. 3D Print. Technol. Digit. Ind. 2022, 6, 250–260. [Google Scholar] [CrossRef]
- Sagris, D.; David, C.; Petousis, M.; Nasikas, N.K.; Mountakis, N.; Spyridaki, M.; Vidakis, N. Optimization of Roughness, Dimensional Conformity, and Porosity of 3D-Printed ASA with MEX: Impact of Critical Process Control Parameters. ACS Omega 2025, 10, 57286–57305. [Google Scholar] [CrossRef]
- Safaei, B.; Memarzadeh, A.; Asmael, M.; Sahmani, S.; Zeeshan, Q.; Jen, T.-C.; Qin, Z. Challenges and Advancements in Additive Manufacturing of Nylon and Nylon Composite Materials: A Comprehensive Analysis of Mechanical Properties, Morphology, and Recent Progress. J. Mater. Eng. Perform. 2024, 33, 6261–6305. [Google Scholar] [CrossRef]
- Mohammadizadeh, M.; Fidan, I. Tensile Performance of 3D-Printed Continuous Fiber-Reinforced Nylon Composites. J. Manuf. Mater. Process. 2021, 5, 68. [Google Scholar] [CrossRef]
- Park, S.J.; Lee, J.E.; Lee, H.B.; Park, J.; Lee, N.-K.; Son, Y.; Park, S.-H. 3D Printing of Bio-Based Polycarbonate and Its Potential Applications in Ecofriendly Indoor Manufacturing. Addit. Manuf. 2020, 31, 100974. [Google Scholar] [CrossRef]
- Bahar, A.; Belhabib, S.; Guessasma, S.; Benmahiddine, F.; Hamami, A.E.A.; Belarbi, R. Mechanical and Thermal Properties of 3D Printed Polycarbonate. Energies 2022, 15, 3686. [Google Scholar] [CrossRef]
- Michailidis, N.; Petousis, M.; Maniadi, A.; Papadakis, V.; Mountakis, N.; Argyros, A.; Nasikas, N.K.; Stratakis, E.; Vidakis, N. Printability and Thermomechanical Metrics of High-Density Polyethylene Doped with Nano Antimony TiN Oxide. Eur. J. Mater. 2025, 5, 2463330. [Google Scholar] [CrossRef]
- Husain, M.; Singh, R.; Pabla, B. On 3D Printing of PVDF Composite-Based Sensors for Biomedical Applications. Natl. Acad. Sci. Lett. 2024, 47, 147–152. [Google Scholar] [CrossRef]
- Vidakis, N.; Nasikas, N.K.; Michailidis, N.; Spyridaki, M.; Mountakis, N.; Argyros, A.; Papadakis, V.M.; Moutsopoulou, A.; Petousis, M. Printability Metrics and Strain Rate Sensitivity of Multirole PVDF in Extrusion-Based Additive Manufacturing. Polymers 2025, 17, 3085. [Google Scholar] [CrossRef]
- Oladapo, B.I.; Zahedi, S.A.; Ismail, S.O.; Omigbodun, F.T. 3D Printing of PEEK and Its Composite to Increase Biointerfaces as a Biomedical Material-A Review. Colloids Surf. B Biointerfaces 2021, 203, 111726. [Google Scholar] [CrossRef]
- Vidakis, N.; Petousis, M.; Mountakis, N.; Karapidakis, E. Box-Behnken Modeling to Quantify the Impact of Control Parameters on the Energy and Tensile Efficiency of PEEK in MEX 3D-Printing. Heliyon 2023, 9, e18363. [Google Scholar] [CrossRef]
- Vidakis, N.; Mountakis, N.; Stratakis, E.; Charou, C.; Valsamos, I.; Petousis, M. High Performance Polysulfone (PSU) Mechanical Response in Additive Manufacturing: Optimization of Critical Control Settings. Int. J. Lightweight Mater. Manuf. 2025; in press. [Google Scholar] [CrossRef]
- Vidakis, N.; Petousis, M.; Spyridaki, M.; Mountakis, N.; Dimitriou, E.; Michailidis, N. Ultra- and High-Performance Polymers for Material Extrusion Additive Manufacturing: Recent Advancements, Challenges, and Optimization Perspectives. Mater. Sci. Eng. R Rep. 2026, 167, 101086. [Google Scholar] [CrossRef]
- Zhang, H.; Wu, J.; Jia, M.; Chen, Y.; Wang, H. Enhancement on the Mechanical Properties of 3D Printing PEI Composites via High Thermal Processing and Fiber Reinforcing. Polym. Adv. Technol. 2023, 34, 3115–3124. [Google Scholar] [CrossRef]
- Zhang, Y.; Ye, H.; Yuan, L.; Luo, C.; Ren, X.; Yu, Q.; Chen, J.; Gao, Q.; Lei, Y.; Cheng, Y. The Effect of Weak Interface on the Fracture Behavior of Material Extrusion 3D-Printed Polyetherimide. Appl. Mater. Today 2023, 34, 101905. [Google Scholar] [CrossRef]
- Petousis, M.; Mountakis, N.; Zavos, A.; Ntintakis, I.; Moutsopoulou, A.; Spyridaki, M.; Nasikas, N.K.; Maravelakis, E.; Vidakis, N. Optimization of the Mechanical Response in MEX Additive Manufacturing of Thermoplastic Polyimide (PI): The Impact of Key Process Control Settings. ACS Omega 2025, 10, 54764–54780. [Google Scholar] [CrossRef] [PubMed]
- Garmabi, M.M.; Shahi, P.; Tjong, J.; Sain, M. 3D Printing of Polyphenylene Sulfide for Functional Lightweight Automotive Component Manufacturing through Enhancing Interlayer Bonding. Addit. Manuf. 2022, 56, 102780. [Google Scholar] [CrossRef]
- Zniker, H.; El Magri, A.; Feddal, I.; Marbouh, M.; El Hasnaoui, M. Effect of Printing Temperature on the Mechanical Properties of 3D Printed Polyphenylene Sulfide (PPS) during Simple and Repeated Impact Tests. Int. Rev. Appl. Sci. Eng. 2025, 16, 210–216. [Google Scholar] [CrossRef]
- Shakiba, M.; Rezvani Ghomi, E.; Khosravi, F.; Jouybar, S.; Bigham, A.; Zare, M.; Abdouss, M.; Moaref, R.; Ramakrishna, S. Nylon—A Material Introduction and Overview for Biomedical Applications. Polym. Adv. Technol. 2021, 32, 3368–3383. [Google Scholar] [CrossRef]
- Paari-Molnar, E.; Qa’dan, W.N.A.; Kardos, K.; Told, R.; Sahai, N.; Varga, P.; Rendeki, S.; Szabo, G.; Fekete, K.; Molnar, T. Biomedical Applications of 3D-Printed Polyamide: A Systematic Review. Macromol. Mater. Eng. 2025, 310, e00156. [Google Scholar] [CrossRef]
- Mandava, P.K.; Joyce, R.; Day, J.B.; Salary, R. Investigation of the Mechanical Properties of Additively Manufactured Bone Tissue Scaffolds, Composed of Polyamide, Polyolefin, and Cellulose Fibers; American Society of Mechanical Engineers: New York, NY, USA, 2022; Volume 85802, p. V001T01A023. [Google Scholar]
- Akbari Javar, R.; Bin Noordin, M.I.; Khoobi, M.; Ghaedi, A. Fatty Acid Based Polyamide for Application in Drug Delivery System: Synthesis, Characterization, Drug Loading and In Vitro Drug Release Study. J. Inorg. Organomet. Polym. Mater. 2020, 30, 2520–2532. [Google Scholar] [CrossRef]
- Modi, Y.K.; Khare, N. Patient-Specific Polyamide Wrist Splint Using Reverse Engineering and Selective Laser Sintering. Mater. Technol. 2022, 37, 71–78. [Google Scholar] [CrossRef]
- Spintzyk, S.; Schmunk, R.; Kraemer Fernandez, P.; Huettig, F.; Unkovskiy, A. 3D Printing of Polyamide to Fabricate a Non-Metal Clasp Removable Partial Denture via Fused Filament Fabrication: A Case Report. Int. J. Environ. Res. Public Health 2021, 18, 8241. [Google Scholar] [CrossRef]
- Kondo, M.Y.; Montagna, L.S.; Morgado, G.F.d.M.; de Castilho, A.L.G.; Batista, L.A.P.d.S.; Botelho, E.C.; Costa, M.L.; Passador, F.R.; Rezende, M.C.; Ribeiro, M.V. Recent Advances in the Use of Polyamide-Based Materials for the Automotive Industry. Polímeros 2022, 32, e2022023. [Google Scholar] [CrossRef]
- Lupone, F.; Tirillò, J.; Sarasini, F.; Badini, C.; Sergi, C. 3D Printing of Low-Filled Basalt PA12 and PP Filaments for Automotive Components. J. Compos. Sci. 2023, 7, 367. [Google Scholar] [CrossRef]
- Mazurkiewicz, M.; Kluczyński, J.; Jasik, K.; Sarzyński, B.; Szachogłuchowicz, I.; Łuszczek, J.; Torzewski, J.; Śnieżek, L.; Grzelak, K.; Małek, M. Bending Strength of Polyamide-Based Composites Obtained during the Fused Filament Fabrication (FFF) Process. Materials 2022, 15, 5079. [Google Scholar] [CrossRef] [PubMed]
- Abderrafai, Y.; Hadi Mahdavi, M.; Sosa-Rey, F.; Hérard, C.; Otero Navas, I.; Piccirelli, N.; Lévesque, M.; Therriault, D. Additive Manufacturing of Short Carbon Fiber-Reinforced Polyamide Composites by Fused Filament Fabrication: Formulation, Manufacturing and Characterization. Mater. Des. 2022, 214, 110358. [Google Scholar] [CrossRef]
- Vidakis, N.; Petousis, M.; Ntintakis, I.; David, C.; Sagris, D.; Mountakis, N.; Moutsopoulou, A. Quantitative Insight into the Compressive Strain Rate Sensitivity of Polylactic Acid, Acrylonitrile Butadiene Styrene, Polyamide 12, and Polypropylene in Material Extrusion Additive Manufacturing. J. Dyn. Behav. Mater. 2024, 10, 251–269. [Google Scholar] [CrossRef]
- Pejkowski, Ł.; Seyda, J.; Nowicki, K.; Mrozik, D. Mechanical Performance of Non-Reinforced, Carbon Fiber Reinforced and Glass Bubbles Reinforced 3D Printed PA12 Polyamide. Polym. Test. 2023, 118, 107891. [Google Scholar] [CrossRef]
- Nasikas, N.K.; Petousis, M.; Papadakis, V.; Argyros, A.; Valsamos, J.; Gkagkanatsiou, K.; Sagris, D.; David, C.; Michailidis, N.; Maravelakis, E.; et al. A Comprehensive Optimization Course of Antimony Tin Oxide Nanofiller Loading in Polyamide 12: Printability, Quality Assessment, and Engineering Response in Additive Manufacturing. Nanomaterials 2024, 14, 1285. [Google Scholar] [CrossRef]
- Naima Khalid, N.; Afiqah Mohd Radzuan, N.; Bakar Sulong, A.; Mohd Foudzi, F. A Review on Bonding of Polyamide Reinforced Carbon Fibre via Additive Manufacturing. IOP Conf. Ser. Mater. Sci. Eng. 2021, 1078, 012004. [Google Scholar] [CrossRef]
- Zhu, S.; Xu, B.; Zhao, W.; Wang, G. Enhancing Flame Retardancy in 3D Printed Polyamide Composites Using Directionally Arranged Recycled Carbon Fiber. Compos. Part B Eng. 2024, 287, 111854. [Google Scholar] [CrossRef]
- Saidane, E.H.; Arnold, G.; Louis, P.; Pac, M.-J. 3D Printed Continuous Glass Fibre-Reinforced Polyamide Composites: Fabrication and Mechanical Characterisation. J. Reinf. Plast. Compos. 2022, 41, 284–295. [Google Scholar] [CrossRef]
- Business Research Insights Polyamide 12 (PA 12 & Nylon 12) Market Size, Share, Growth, and Industry Analysis, By Type (PA12 Resin (Polymer), PA12 Powder) By Application (Automotive Applications, Industrial Applications, Consumer Goods, Electronics) and Regional Forecast to 2033 Source. Available online: https://www.Businessresearchinsights.Com/Market-Reports/Polyamide-12-Pa-12-Nylon-12-Market-124653 (accessed on 15 October 2025).
- Market Reports World. Polyamide 12 (PA 12 and Nylon 12) Market Size, Share, Growth, and Industry Analysis, By Type (PA 12 Resin, PA 12 Compounds), By Application (Automotive, Electronics, Aerospace, Sports Equipment), Regional Insights and Forecast to 2033. Available online: https://www.marketreportsworld.com/market-reports/polyamide-12-pa-12-and-nylon-12-market-14721047 (accessed on 15 October 2025).
- Fundamental Business Insights. Polyamide 12 (PA 12/Nylon 12) Market Size & Share, By Product Types (General Grade, Reinforced, Plasticized), Application (Automotive, Consumer Goods, Electronics, Industrial)—Growth Trends, Regional Insights (U.S., Japan, South Korea, UK, Germany), Competitive Positioning, Global Forecast Report 2025–2034. Available online: https://www.fundamentalbusinessinsights.com/industry-report/polyamide-12-pa-12-nylon-12-market-8664 (accessed on 15 October 2025).
- Verified Market Reports. Global Polyamide 12 (PA 12 & Nylon 12) Market Size By End-Use Industry (Automotive, Aerospace), By Product Form (Powder, Granules), By Application (3D Printing, Injection Molding), By Property Type (Unfilled, Glass-Filled), By Distribution Channel (Direct Sales, Online Sales), By Geographic Scope And Forecast. Available online: https://www.verifiedmarketreports.com/product/polyamide-12-pa-12-nylon-12-market/ (accessed on 15 October 2025).
- Zion Market Research. Polyamide 12 (PA 12/Nylon 12) Market By Product Type (General Grade, Reinforced, Plasticized, Others), By Application (Automotive, Consumer Goods, Electronics, Industrial, Others), and By Region: Global and Regional Industry Overview, Market Intelligence, Comprehensive Analysis, Historical Data, and Forecasts 2025–2034. Available online: https://www.zionmarketresearch.com/report/polyamide-market (accessed on 15 October 2025).
- Thompson, M.S. Current Status and Future Roles of Additives in 3D Printing—A Perspective. J. Vinyl Addit. Technol. 2022, 28, 3–16. [Google Scholar] [CrossRef]
- Petousis, M.; Michailidis, N.; Kulas, V.; Papadakis, V.; Spiridaki, M.; Mountakis, N.; Argyros, A.; Valsamos, J.; Nasikas, N.K.; Vidakis, N. Sustainability-Driven Additive Manufacturing: Implementation and Content Optimization of Fine Powder Recycled Glass in Polylactic Acid for Material Extrusion 3D Printing. Int. J. Lightweight Mater. Manuf. 2025, 8, 595–610. [Google Scholar] [CrossRef]
- Omar, N.; Shuaib, N.; Hadi, M.A.; Azmi, A. Mechanical Properties of Carbon and Glass Fibre Reinforced Composites Produced by Additive Manufacturing: A Short Review; IOP Publishing: Bristol, UK, 2019; Volume 670, p. 012020. [Google Scholar]
- Billah, K.M.M.; Lorenzana, F.A.; Martinez, N.L.; Wicker, R.B.; Espalin, D. Thermomechanical Characterization of Short Carbon Fiber and Short Glass Fiber-Reinforced ABS Used in Large Format Additive Manufacturing. Addit. Manuf. 2020, 35, 101299. [Google Scholar] [CrossRef]
- Anwajler, B.; Zdybel, E.; Tomaszewska-Ciosk, E. Innovative Polymer Composites with Natural Fillers Produced by Additive Manufacturing (3D Printing)—A Literature Review. Polymers 2023, 15, 3534. [Google Scholar] [CrossRef] [PubMed]
- Balla, V.K.; Kate, K.H.; Satyavolu, J.; Singh, P.; Tadimeti, J.G.D. Additive Manufacturing of Natural Fiber Reinforced Polymer Composites: Processing and Prospects. Compos. Part B Eng. 2019, 174, 106956. [Google Scholar] [CrossRef]
- Stockdale, J.R.; Legett, S.A.; Torres, X.M.; Pacheco, A.; Adhikari, S.; Bezek, L.; Labouriau, A. Boron-polymer Composites Engineered for Compression Molding, Foaming, and Additive Manufacturing. J. Appl. Polym. Sci. 2024, 141, e55236. [Google Scholar] [CrossRef]
- Wu, W.; Li, Z.; Lin, G.; Ma, J.; Gao, Z.; Qu, H.; Zhang, F. Additive Manufacturing of Continuous BF-Reinforced PES Composite Material and Mechanical and Wear Properties Evaluation. J. Mater. Sci. 2022, 57, 12903–12915. [Google Scholar] [CrossRef]
- Ranjan, N.; Kumar, R.; Kumar, S.; Kumar, D.; Saxena, K.K. Innovative High-Performance Metal Reinforced Polymers Composites for 3D Printing Applications: A Review. Adv. Mater. Process. Technol. 2024, 10, 1800–1813. [Google Scholar] [CrossRef]
- Buketov, A.; Bagliuk, G.; Sizonenko, O.; Sapronov, O.; Smetankin, S.; Torpakov, A. Effect of Particulate Ti–Al–TiC Reinforcements on the Mechanical Properties of Epoxy Polymer Composites. Powder Metall. Met. Ceram. 2023, 61, 586–596. [Google Scholar] [CrossRef]
- Kumar, R.; Singh, R.; Hashmi, M. Polymer-Ceramic Composites: A State of Art Review and Future Applications. Adv. Mater. Process. Technol. 2022, 8, 895–908. [Google Scholar] [CrossRef]
- Basgul, C.; DeSantis, P.; Derr, T.; Hickok, N.J.; Bock, R.M.; Kurtz, S.M. Exploring the Mechanical Strength, Antimicrobial Performance, and Bioactivity of 3D-Printed Silicon Nitride-PEEK Composites in Cervical Spinal Cages. Int. J. Bioprinting 2024, 10, 431–444. [Google Scholar] [CrossRef]
- De, S.; Rukmani, S.J.; Zhao, X.; Clarkson, C.; Vautard, F.; Bhagia, S.; Goswami, M.; Zhang, S.; Elyas, S.F.; Zhao, W. Additive Manufacturing with Cellulose-Based Composites: Materials, Modeling, and Applications. Adv. Funct. Mater. 2025, 35, 2414222. [Google Scholar] [CrossRef]
- Vidakis, N.; Petousis, M.; David, C.N.; Sagris, D.; Mountakis, N. Biomedical Resin Reinforced with Cellulose Nanofibers (CNF) in VAT Photopolymerization (VPP) Additive Manufacturing (AM): The Effect of Filler Loading and Process Control Parameters on Critical Quality Indicators (CQIs). J. Manuf. Process. 2023, 101, 755–769. [Google Scholar] [CrossRef]
- Wei, Q.; Yang, R.; Zhao, X.; Zhou, J.; An, Y.; Yang, S. Fused Deposition Modeling of Carbon-reinforced Polymer Matrix Composites: A Comprehensive Review. Polym. Compos. 2023, 44, 5313–5345. [Google Scholar] [CrossRef]
- Wu, Y.; An, C.; Guo, Y. 3D Printed Graphene and Graphene/Polymer Composites for Multifunctional Applications. Materials 2023, 16, 5681. [Google Scholar] [CrossRef] [PubMed]
- Zeng, X.; Sipaut, C.S.; Ismail, N.M.; Liu, Y.; Farm, Y.y.; He, J. Mechanical Properties and Biological Activity of 3D Printed Silicon Nitride Materials. Ceram. Int. 2024, 50, 16704–16713. [Google Scholar] [CrossRef]
- Du, X.; Lee, S.S.; Blugan, G.; Ferguson, S.J. Silicon Nitride as a Biomedical Material: An Overview. Int. J. Mol. Sci. 2022, 23, 6551. [Google Scholar] [CrossRef]
- Behar-Lafenêtre, S.; Louh, N.; Grasset, P.; Cornillon, L.; Such-Taboada, M. Silicon Nitride for Structural Parts of Space Applications; SPIE: Bellingham, WA, USA, 2019; Volume 11101, pp. 8–21. [Google Scholar]
- Heimann, R.B. Silicon Nitride Ceramics: Structure, Synthesis, Properties, and Biomedical Applications. Materials 2023, 16, 5142. [Google Scholar] [CrossRef] [PubMed]
- Heimann, R.B. Silicon Nitride, a Close to Ideal Ceramic Material for Medical Application. Ceramics 2021, 4, 208–223. [Google Scholar] [CrossRef]
- Pezzotti, G.; McEntire, B.J. The Future of Silicon Nitride: Biomedical Applications and Beyond. In Silicon Nitride Bioceramics; Bal, B.S., McEntire, B.J., Pezzotti, G., Eds.; Springer International Publishing: Cham, Switzerland, 2024; pp. 415–431. ISBN 978-3-031-67047-3. [Google Scholar]
- Dong, X.; Wu, J.; Yu, H.; Zhou, Q.; Wang, W.; Zhang, X.; Zhang, L.; Li, L.; He, R. Additive Manufacturing of Silicon Nitride Ceramics: A Review of Advances and Perspectives. Int. J. Appl. Ceram. Technol. 2022, 19, 2929–2949. [Google Scholar] [CrossRef]
- Zgalat-Lozynskyy, O.B.; Matviichuk, O.O.; Tolochyn, O.I.; Ievdokymova, O.V.; Zgalat-Lozynska, N.O.; Zakiev, V.I. Polymer Materials Reinforced with Silicon Nitride Particles for 3D Printing. Powder Metall. Met. Ceram. 2021, 59, 515–527. [Google Scholar] [CrossRef]
- John, L.K.; Ramu, M.; Singamneni, S. Mechanical and Thermal Property Enhancement of Silicon Nitride-Reinforced PLA Composites for High-Performance 3D Printing Applications. Prog. Addit. Manuf. 2025, 10, 6405–6419. [Google Scholar] [CrossRef]
- Vidakis, N.; Petousis, M.; Michailidis, N.; Papadakis, V.; Mountakis, N.; Argyros, A.; Dimitriou, E.; Charou, C.; Moutsopoulou, A. Polylactic Acid/Silicon Nitride Biodegradable and Biomedical Nanocomposites with Optimized Rheological and Thermomechanical Response for Material Extrusion Additive Manufacturing. Biomed. Eng. Adv. 2023, 6, 100103. [Google Scholar] [CrossRef]
- Vidakis, N.; Michailidis, N.; Argyros, A.; Mountakis, N.; Papadakis, V.; Spiridaki, M.; Moutsopoulou, A.; Sfakiotakis, E.; Petousis, M. A Coherent Optimization Course of the Silicon Nitride Nanofiller Load in Medical Grade Isotactic Polypropylene for Material Extrusion Additive Manufacturing: Rheology, Engineering Response, and Cost-Effectiveness. Colloid Polym. Sci. 2024, 302, 843–860. [Google Scholar] [CrossRef]
- Michailidis, N.; Petousis, M.; Saltas, V.; Papadakis, V.; Spiridaki, M.; Mountakis, N.; Argyros, A.; Valsamos, J.; Nasikas, N.K.; Vidakis, N. Investigation of the Effectiveness of Silicon Nitride as a Reinforcement Agent for Polyethylene Terephthalate Glycol in Material Extrusion 3D Printing. Polymers 2024, 16, 1043. [Google Scholar] [CrossRef]
- Papadakis, V.M.; Petousis, M.; Michailidis, N.; Spyridaki, M.; Valsamos, I.; Argyros, A.; Gkagkanatsiou, K.; Moutsopoulou, A.; Vidakis, N. Printability Metrics and Engineering Response of HDPE/Si3N4 Nanocomposites in MEX Additive Manufacturing. Nanomaterials 2024, 14, 1680. [Google Scholar] [CrossRef]
- Vidakis, N.; Petousis, M.; Michailidis, N.; David, C.; Saltas, V.; Sagris, D.; Spiridaki, M.; Argyros, A.; Mountakis, N.; Papadakis, V. Interpretation of the Optimization Course of Silicon Nitride Nano-Powder Content in Biomedical Resins for Vat Photopolymerization Additive Manufacturing. Ceram. Int. 2024, 50, 14919–14935. [Google Scholar] [CrossRef]
- Petousis, M.; Maniadi, A.; Papadakis, V.; Mountakis, N.; Argyros, A.; Efstratiadis, V.S.; David, C.; Sagris, D.; Michailidis, N.; Vidakis, N. Optimization of Nano-Silicon Nitride Content in Acrylonitrile Styrene Acrylate for Material Extrusion 3D Printing: Engineering Response Metrics. J. Mater. Eng. Perform. 2025, 34, 20505–20525. [Google Scholar] [CrossRef]
- Petousis, M.; Michailidis, N.; Papadakis, V.M.; Korlos, A.; Mountakis, N.; Argyros, A.; Dimitriou, E.; Charou, C.; Moutsopoulou, A.; Vidakis, N. Optimizing the Rheological and Thermomechanical Response of Acrylonitrile Butadiene Styrene/Silicon Nitride Nanocomposites in Material Extrusion Additive Manufacturing. Nanomaterials 2023, 13, 1588. [Google Scholar] [CrossRef]
- Alakija, F.K.; Mills, D.K. Silicon Nitride 3D Printed Implants with Improved Material Properties for Bone Defect Repair. FASEB J. 2022, 36, 3319–3329. [Google Scholar] [CrossRef]
- Du, X.; Ronayne, S.; Lee, S.S.; Hendry, J.; Hoxworth, D.; Bock, R.; Ferguson, S.J. 3D-Printed PEEK/Silicon Nitride Scaffolds with a Triply Periodic Minimal Surface Structure for Spinal Fusion Implants. ACS Appl. Bio Mater. 2023, 6, 3319–3329. [Google Scholar] [CrossRef]
- Research Nester Silicon Nitride Market Size and Forecast, by Type (Reaction Bonded Silicon Nitride, Hote Pressed, Sintered Silicon Nitride); Application (Reciprocating Engine Components, Bearings, Metal Working Tools, Electronic Circuit Manufacturing, Medical Devices); End Use Industry (Solar Power, Automotive, General Industry, Aerospace, Medical)—Growth Trends, Key Players, Regional Analysis 2026–2035. Available online: https://www.researchnester.com/reports/silicon-nitride-market/5888 (accessed on 15 October 2025).
- Precedence Research Silicon Nitride Market Size, Share and Trends 2025 to 2034. Available online: https://www.precedenceresearch.com/silicon-nitride-market (accessed on 15 October 2025).
- Future Market Insights. Silicon Nitride Market Size and Share Forecast Outlook 2025 to 2035. Available online: https://www.futuremarketinsights.com/reports/silicon-nitride-market (accessed on 15 October 2025).
- Stratview Research. Silicon Nitride Market Analysis 2025–2030. Available online: https://www.stratviewresearch.com/1110/silicon-nitride-market.html (accessed on 15 October 2025).
- Data Bridge Market Research. Global Silicon Nitride Market Size, Share, and Trends Analysis Report—Industry Overview and Forecast to 2032. Available online: https://www.databridgemarketresearch.com/reports/global-silicon-nitride-market (accessed on 15 October 2025).
- Chen, H.; Chen, F.; Chen, H.; Liu, H.; Chen, L.; Yu, L. Thermal Degradation and Combustion Properties of Most Popular Synthetic Biodegradable Polymers. Waste Manag. Res. 2023, 41, 431–441. [Google Scholar] [CrossRef]
- Knaup, F.; Brüning, F.; Schöppner, V. Improvement in an Analytical Approach for Modeling the Melting Process in Single-Screw Extruders. Polymers 2024, 16, 3130. [Google Scholar] [CrossRef] [PubMed]
- Mark, J.E. Polymer Data Handbook; Oxford University Press: New York, NY, USA, 2009; ISBN 978-0-19-518101-2. [Google Scholar]
- Martienssen, W.; Warlimont, H. Springer Handbook of Condensed Matter and Materials Data; Springer Science & Business Media: Berlin/Heidelberg, Germany, 2006. [Google Scholar]
- Stuart, B.H. Temperature Studies of Polycarbonate Using Fourier Transform Raman Spectroscopy. Polym. Bull. 1996, 36, 341–346. [Google Scholar] [CrossRef]
- Makarem, M.; Lee, C.M.; Kafle, K.; Huang, S.; Chae, I.; Yang, H.; Kubicki, J.D.; Kim, S.H. Probing Cellulose Structures with Vibrational Spectroscopy. Cellulose 2019, 26, 35–79. [Google Scholar] [CrossRef]
- Resta, V.; Quarta, G.; Lomascolo, M.; Maruccio, L.; Calcagnile, L. Raman and Photoluminescence Spectroscopy of Polycarbonate Matrices Irradiated with Different Energy 28Si+ Ions. Vacuum 2015, 116, 82–89. [Google Scholar] [CrossRef]
- Zimmerer, C.; Matulaitiene, I.; Niaura, G.; Reuter, U.; Janke, A.; Boldt, R.; Sablinskas, V.; Steiner, G. Nondestructive Characterization of the Polycarbonate-Octadecylamine Interface by Surface Enhanced Raman Spectroscopy. Polym. Test. 2019, 73, 152–158. [Google Scholar] [CrossRef]
- Luiz, B.K.M.; Amboni, R.D.M.C.; Prates, L.H.M.; Bertolino, J.R.; Pires, A.T.N. Influence of Drinks on Resin Composite: Evaluation of Degree of Cure and Color Change Parameters. Polym. Test. 2007, 26, 438–444. [Google Scholar] [CrossRef]
- Gatin, E.; Iordache, S.-M.; Matei, E.; Luculescu, C.-R.; Iordache, A.-M.; Grigorescu, C.E.; Ilici, R.R. Raman Spectroscopy as Spectral Tool for Assessing the Degree of Conversion after Curing of Two Resin-Based Materials Used in Restorative Dentistry. Diagnostics 2022, 12, 1993. [Google Scholar] [CrossRef] [PubMed]
- Peris-Díaz, M.D.; Łydżba-Kopczyńska, B.; Sentandreu, E. Raman Spectroscopy Coupled to Chemometrics to Discriminate Provenance and Geological Age of Amber. J. Raman Spectrosc. 2018, 49, 842–851. [Google Scholar] [CrossRef]
- Cao, G.; Chen, W.; Liu, X.; Zou, Y.; Li, W. Kinetics of Thermo-Oxidative and Thermal Degradation of Poly(d,l-Lactide) (PDLLA) at Processing Temperature. Polym. Degrad. Stab. 2006, 91, 3259–3265. [Google Scholar] [CrossRef]
- Lin, Z.; Guo, X.; He, Z.; Liang, X.; Wang, M.; Jin, G. Thermal Degradation Kinetics Study of Molten Polylactide Based on Raman Spectroscopy. Polym. Eng. Sci. 2021, 61, 201–210. [Google Scholar] [CrossRef]
- Ahn, S.-H.; Montero, M.; Odell, D.; Roundy, S.; Wright, P.K. Anisotropic Material Properties of Fused Deposition Modeling ABS. Rapid Prototyp. J. 2002, 8, 248–257. [Google Scholar] [CrossRef]
- Chacón, J.M.; Caminero, M.A.; García-Plaza, E.; Núñez, P.J. Additive Manufacturing of PLA Structures Using Fused Deposition Modelling: Effect of Process Parameters on Mechanical Properties and Their Optimal Selection. Mater. Des. 2017, 124, 143–157. [Google Scholar] [CrossRef]
- Bellehumeur, C.; E-mail, P.E.; Li, L.; Sun, Q.; Gu, P. Modeling of Bond Formation Between Polymer Filaments in the Fused Deposition Modeling Process. J. Manuf. Process. 2004, 6, 170–178. [Google Scholar] [CrossRef]
- Sun, Q.; Rizvi, G.M.; Bellehumeur, C.T.; Gu, P. Effect of Processing Conditions on the Bonding Quality of FDM Polymer Filaments. Rapid Prototyp. J. 2008, 14, 72–80. [Google Scholar] [CrossRef]
- Vidakis, N.; Petousis, M.; Mountakis, N.; Papadakis, V.; Moutsopoulou, A. Mechanical Strength Predictability of Full Factorial, Taguchi, and Box Behnken Designs: Optimization of Thermal Settings and Cellulose Nanofibers Content in PA12 for MEX AM. J. Mech. Behav. Biomed. Mater. 2023, 142, 105846. [Google Scholar] [CrossRef]
- Corcione, C.E.; Frigione, M. Characterization of Nanocomposites by Thermal Analysis. Materials 2012, 5, 2960–2980. [Google Scholar] [CrossRef]
- Akinyi, C.; Iroh, J.O. Thermal Decomposition and Stability of Hybrid Graphene–Clay/Polyimide Nanocomposites. Polymers 2023, 15, 299. [Google Scholar] [CrossRef]
- Chen, M.; Zhou, W.; Zhang, J.; Chen, Q. Dielectric Property and Space Charge Behavior of Polyimide/Silicon Nitride Nanocomposite Films. Polymers 2020, 12, 322. [Google Scholar] [CrossRef] [PubMed]
- Borić, A.; Kalendová, A.; Urbanek, M.; Pepelnjak, T. Characterisation of Polyamide (PA)12 Nanocomposites with Montmorillonite (MMT) Filler Clay Used for the Incremental Forming of Sheets. Polymers 2019, 11, 1248. [Google Scholar] [CrossRef]
- Latko-Durałek, P.; Misiak, M.; Staniszewska, M.; Rosłoniec, K.; Grodzik, M.; Socha, R.P.; Krzan, M.; Bażanów, B.; Pogorzelska, A.; Boczkowska, A. The Composites of Polyamide 12 and Metal Oxides with High Antimicrobial Activity. Polymers 2022, 14, 3025. [Google Scholar] [CrossRef]
- Hor, J.L.; Wang, H.; Fakhraai, Z.; Lee, D. Effects of Polymer–Nanoparticle Interactions on the Viscosity of Unentangled Polymers under Extreme Nanoconfinement during Capillary Rise Infiltration. Soft Matter 2018, 14, 2438–2446. [Google Scholar] [CrossRef]
- Giannelis, E.P.; Krishnamoorti, R.; Manias, E. Polymer-Silicate Nanocomposites: Model Systems for Confined Polymers and Polymer Brushes. In Polymers in Confined Environments; Granick, S., Binder, K., de Gennes, P.-G., Giannelis, E.P., Grest, G.S., Hervet, H., Krishnamoorti, R., Léger, L., Manias, E., Raphaël, E., et al., Eds.; Springer: Berlin/Heidelberg, Germany, 1999; pp. 107–147. ISBN 978-3-540-69711-4. [Google Scholar]
- Song, Y.; Zheng, Q. Linear Rheology of Nanofilled Polymers. J. Rheol. 2014, 59, 155–191. [Google Scholar] [CrossRef]
- Atif, R.; Inam, F. Reasons and Remedies for the Agglomeration of Multilayered Graphene and Carbon Nanotubes in Polymers. Beilstein J. Nanotechnol. 2016, 7, 1174–1196. [Google Scholar] [CrossRef] [PubMed]
- Rueda, M.M.; Auscher, M.-C.; Fulchiron, R.; Périé, T.; Martin, G.; Sonntag, P.; Cassagnau, P. Rheology and Applications of Highly Filled Polymers: A Review of Current Understanding. Prog. Polym. Sci. 2017, 66, 22–53. [Google Scholar] [CrossRef]
- Abbasi, M.; Moradi, Z.; Mirzaei, M.; Kharazifard, M.J.; Rezaei, S. Polymerization Shrinkage of Five Bulk-Fill Composite Resins in Comparison with a Conventional Composite Resin. J. Dent. 2018, 15, 365–374. [Google Scholar] [CrossRef]
- Fu, S.; Sun, Z.; Huang, P.; Li, Y.; Hu, N. Some Basic Aspects of Polymer Nanocomposites: A Critical Review. Nano Mater. Sci. 2019, 1, 2–30. [Google Scholar] [CrossRef]
- Wang, X.; Zhao, L.; Fuh, J.Y.H.; Lee, H.P. Effect of Porosity on Mechanical Properties of 3D Printed Polymers: Experiments and Micromechanical Modeling Based on X-Ray Computed Tomography Analysis. Polymers 2019, 11, 1154. [Google Scholar] [CrossRef]
- van den Heever, M.; du Plessis, A.; Kruger, J.; van Zijl, G. Evaluating the Effects of Porosity on the Mechanical Properties of Extrusion-Based 3D Printed Concrete. Cem. Concr. Res. 2022, 153, 106695. [Google Scholar] [CrossRef]
- Naresh, D.; Kotnala, P. Design and Investigation of the Influence of Process Parameters on Material-Extruded (MEX) PLA: Porosity Shape and Size, Tensile and Flexural Strength. Prog. Addit. Manuf. 2025, 10, 9397–9421. [Google Scholar] [CrossRef]
- Aldwimi, I.M.; Alhareb, A.A.; Akil, H.M.; Hamid, Z.A.A. Effect of Hybrid Nanofillers on the Mechanical Characteristics of Polymethyl Methacrylate Denture Base Composite. Compos. Mater. 2024, 8, 30–43. [Google Scholar] [CrossRef]
- Molinari, N.; Sutton, A.; Mostofi, A. Mechanisms of Reinforcement in Polymer Nanocomposites. Phys. Chem. Chem. Phys. 2018, 20, 23085–23094. [Google Scholar] [CrossRef] [PubMed]















| Increase (%) | PA12 | PLA [84] | (PP) [85] | PETG [86] | HDPE [87] | ASA [89] | ABS [90] | Biomed Resin [88] |
|---|---|---|---|---|---|---|---|---|
| Tensile strength | 23.9 | 40.4 | 16.0 | 24.5 | 21.0 | 11.6 | 25.6 | 23.6 |
| Flex. strength | 18.9 | 68.0 | 15.7 | 16.6 | 20.6 | 5.7 | 29.4 | 44.8 |
| Opt. loading | 6.0 | 6.0 | 2.0 | 6.0 | 6.0 | 2.0 | 6.0 | 1.0 |
| Composition | Tm (°C) | ΔHm (J/g) | w (g, PA12) | Xc (%) |
|---|---|---|---|---|
| PA12 Pure | 179.9 | 57.6 | 1.00 | 27.5 |
| PA12 vs. Si3N4 2.0 wt. % | 179.2 | 44.3 | 0.98 | 21.6 |
| PA12 vs. Si3N4 4.0 wt. % | 179.5 | 42.1 | 0.96 | 21.0 |
| PA12 vs. Si3N4 6.0 wt. % | 179.8 | 42.3 | 0.94 | 21.5 |
| PA12 vs. Si3N4 8.0 wt. % | 179.7 | 41.1 | 0.92 | 21.4 |
| PA12 vs. Si3N4 10.0 wt. % | 179.7 | 37.4 | 0.90 | 19.9 |
| 1108 | Peak drop | Medium change in C-O-C stretching [102] |
| 1113 | Peak drop | Medium change in C-O-C stretching [102] |
| 1296 | Change | Medium change in C-O-C stretching [102] |
| 1436 | Change | Medium change in CH2 deformation [102,105] |
| 2844 | Peak drop | Large change in CH2 symmetric vibration [103] |
| 2844–2874 | Peak drop | Large change in CH2 symmetric vibration [103] |
| 2886–2948 | Peak drop | Large change in a range of methylation vibration modes [103] |
Disclaimer/Publisher’s Note: The statements, opinions and data contained in all publications are solely those of the individual author(s) and contributor(s) and not of MDPI and/or the editor(s). MDPI and/or the editor(s) disclaim responsibility for any injury to people or property resulting from any ideas, methods, instructions or products referred to in the content. |
© 2025 by the authors. Licensee MDPI, Basel, Switzerland. This article is an open access article distributed under the terms and conditions of the Creative Commons Attribution (CC BY) license.
Share and Cite
Petousis, M.; Korlos, A.; Michailidis, N.; Papadakis, V.M.; Argyros, A.; Mountakis, N.; Spyridaki, M.; Maniadi, A.; Moutsopoulou, A.; Vidakis, N. Optimization of Silicon Nitride Nanopowder Content in Polyamide 12 (PA12) in Extrusion-Based Additive Manufacturing. Nanomaterials 2026, 16, 47. https://doi.org/10.3390/nano16010047
Petousis M, Korlos A, Michailidis N, Papadakis VM, Argyros A, Mountakis N, Spyridaki M, Maniadi A, Moutsopoulou A, Vidakis N. Optimization of Silicon Nitride Nanopowder Content in Polyamide 12 (PA12) in Extrusion-Based Additive Manufacturing. Nanomaterials. 2026; 16(1):47. https://doi.org/10.3390/nano16010047
Chicago/Turabian StylePetousis, Markos, Apostolos Korlos, Nikolaos Michailidis, Vassilis M. Papadakis, Apostolos Argyros, Nikolaos Mountakis, Maria Spyridaki, Athena Maniadi, Amalia Moutsopoulou, and Nectarios Vidakis. 2026. "Optimization of Silicon Nitride Nanopowder Content in Polyamide 12 (PA12) in Extrusion-Based Additive Manufacturing" Nanomaterials 16, no. 1: 47. https://doi.org/10.3390/nano16010047
APA StylePetousis, M., Korlos, A., Michailidis, N., Papadakis, V. M., Argyros, A., Mountakis, N., Spyridaki, M., Maniadi, A., Moutsopoulou, A., & Vidakis, N. (2026). Optimization of Silicon Nitride Nanopowder Content in Polyamide 12 (PA12) in Extrusion-Based Additive Manufacturing. Nanomaterials, 16(1), 47. https://doi.org/10.3390/nano16010047

