PEEK/PEI Polymer Blends for Fused Filament Fabrication: Processing, Properties, and Printability
Abstract
1. Introduction
2. Materials and Methods
2.1. Filament Preparation
2.2. FTIR Analysis
2.3. Three-Dimensional Printing of Samples
2.4. DSC Analysis
2.5. X-Ray Diffraction Analysis
2.6. Mechanical Properties
2.7. Scanning Electron Microscopy (SEM)
3. Results and Discussion
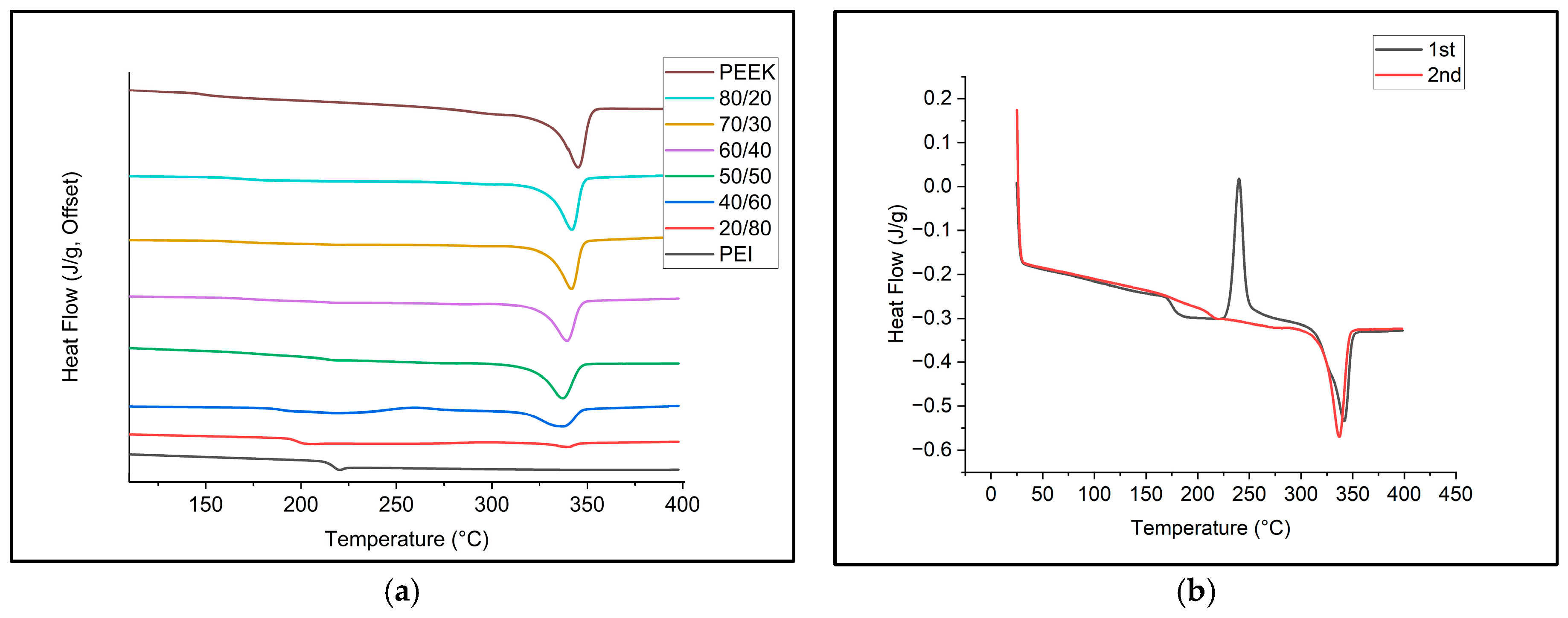
3.1. DSC Results
3.2. FTIR Results
3.3. Three Dimensional Printed Samples
3.4. X-Ray Diffraction
3.5. Mechanical Properties of 3D-Printed PEEK/PEI Blends
3.6. SEM of Printed Samples
4. Conclusions
Author Contributions
Funding
Institutional Review Board Statement
Data Availability Statement
Acknowledgments
Conflicts of Interest
Abbreviations
| PEEK | Polyether ether ketone |
| PEI | Polyetherimide |
| FFF | Fused filament fabrication |
| DSC | Differential scanning colorimetry |
| XRD | X-ray diffraction |
| SEM | Scanning electron microscopy |
| AM | Additive manufacturing |
| HPP | High-Performance polymer |
| FTIR | Fourier transform infrared |
| ATR | Attenuated total reflectance |
| Tm | Melting temperature |
| Tg | Glass transition temperature |
| Tc | Crystallization |
| Tcc | Cold crystallization |
| Xc | Crystallinity |
| UTS | Ultimate tensile strength |
References
- Challa, B.T.; Gummadi, S.K.; Elhattab, K.; Ahlstrom, J.; Sikder, P. In-house processing of 3D printable polyetheretherketone (PEEK) filaments and the effect of fused deposition modeling parameters on 3D-printed PEEK structures. Int. J. Adv. Manuf. Technol. 2022, 121, 1675–1688. [Google Scholar] [CrossRef]
- Jafferson, J.; Chatterjee, D. A review on polymeric materials in additive manufacturing. In Materials Today: Proceedings; Elsevier Ltd.: Amsterdam, The Netherlands, 2021; pp. 1349–1365. [Google Scholar] [CrossRef]
- Ahmad, M.N.; Ishak, M.R.; Yasir, A.S.H.M. Mechanical, thermal and physical properties of natural fiber reinforced composites for 3D printer—Fused deposition modeling: A review. J. Mater. Res. Technol. 2025, 39, 4063–4078. [Google Scholar] [CrossRef]
- Iftekar, S.F.; Aabid, A.; Amir, A.; Baig, M. Advancements and Limitations in 3D Printing Materials and Technologies: A Critical Review. Polymers 2023, 15, 2519. [Google Scholar] [CrossRef]
- Das, A.; Chatham, C.A.; Fallon, J.J.; Zawaski, C.E.; Gilmer, E.L.; Williams, C.B.; Bortner, M.J. Current understanding and challenges in high temperature additive manufacturing of engineering thermoplastic polymers. Addit. Manuf. 2020, 34, 101218. [Google Scholar] [CrossRef]
- Naganaboyina, H.P.S.; Nagaraju, P.; Sonaye, S.Y.; Bokam, V.K.; Sikder, P. In-house processing of carbon fiber-reinforced polyetheretherketone (CFR-PEEK) 3D printable filaments and fused filament fabrication-3D printing of CFR-PEEK parts. Int. J. Adv. Manuf. Technol. 2023, 128, 5011–5024. [Google Scholar] [CrossRef]
- Zanjanijam, A.R.; Major, I.; Lyons, J.G.; Lafont, U.; Devine, D.M. Fused filament fabrication of peek: A review of process-structure-property relationships. Polymers 2020, 12, 1665. [Google Scholar] [CrossRef]
- Rinaldi, M.; Ghidini, T.; Cecchini, F.; Brandao, A.; Nanni, F. Additive layer manufacturing of poly (ether ether ketone) via FDM. Compos. Part B Eng. 2018, 145, 162–172. [Google Scholar] [CrossRef]
- Honigmann, P.; Sharma, N.; Okolo, B.; Popp, U.; Msallem, B.; Thieringer, F.M. Patient-specific surgical implants made of 3D printed PEEK: Material, technology, and scope of surgical application. BioMed Res. Int. 2018, 2018, 4520603. [Google Scholar] [CrossRef]
- Zhao, Y.; Zhao, K.; Li, Y.; Chen, F. Mechanical characterization of biocompatible PEEK by FDM. J. Manuf. Process. 2020, 56, 28–42. [Google Scholar] [CrossRef]
- Fabrizio, M.; Strano, M.; Farioli, D.; Giberti, H. Extrusion Additive Manufacturing of PEI Pellets. J. Manuf. Mater. Process. 2022, 6, 157. [Google Scholar] [CrossRef]
- Ajinjeru, C.; Kishore, V.; Lindahl, J.; Sudbury, Z.; Hassen, A.A.; Post, B.; Love, L.; Kunc, V.; Duty, C. The influence of dynamic rheological properties on carbon fiber-reinforced polyetherimide for large-scale extrusion-based additive manufacturing. Int. J. Adv. Manuf. Technol. 2018, 99, 411–418. [Google Scholar] [CrossRef]
- de Leon, A.C.; Chen, Q.; Palaganas, N.B.; Palaganas, J.O.; Manapat, J.; Advincula, R.C. High performance polymer nanocomposites for additive manufacturing applications. React. Funct. Polym. 2016, 103, 141–155. [Google Scholar] [CrossRef]
- Simunec, D.P.; Jacob, J.; Kandjani, A.E.; Trinchi, A.; Sola, A. Facilitating the additive manufacture of high-performance polymers through polymer blending: A review. Eur. Polym. J. 2023, 201, 112553. [Google Scholar] [CrossRef]
- Arzak, A.; Eguiazábal, J.I.; Nazábal, J. Mechanical performance of directly injection-molded PEEK/PEI blends at room and high temperature. J. Macromol. Sci. Part B 1997, 36, 233–246. [Google Scholar] [CrossRef]
- Ramani, R.; Alam, S. Composition optimization of PEEK/PEI blend using model-free kinetics analysis. Thermochim. Acta 2010, 511, 179–188. [Google Scholar] [CrossRef]
- Alvaredo-Atienza, Á.; Chen, L.; San-Miguel, V.; Ridruejo, Á.; Fernández-Blázquez, J.P. Fabrication and characterization of peek/pei multilayer composites. Polymers 2020, 12, 2765. [Google Scholar] [CrossRef]
- Crevecoeur, G.; Groeninckx, G. Binary Blends of Poly(Ether Ether Ketone) and Poly(Ether Imide): Miscibility, Crystallization Behavior, and Semicrystalline Morphology. Macromolecules 1991, 24, 1190–1195. [Google Scholar] [CrossRef]
- Diouf-Lewis, A.; Farahani, R.D.; Iervolino, F.; Pierre, J.; Abderrafai, Y.; Lévesque, M.; Piccirelli, N.; Therriault, D. Design and characterization of carbon fiber-reinforced PEEK/PEI blends for Fused Filament Fabrication additive manufacturing. Mater. Today Commun. 2022, 31, 103445. [Google Scholar] [CrossRef]
- El Magri, A.; El Mabrouk, K.; Vaudreuil, S. Preparation and characterization of poly(ether ether ketone)/poly(ether imide) [PEEK/PEI] blends for fused filament fabrication. J. Mater. Sci. 2021, 56, 14348–14367. [Google Scholar] [CrossRef]
- El Magri, A. Investigating the tensile properties and crystallinity of 3D-printed poly (ether ether ketone)/poly (ether imide) [PEEK/PEI] blend in the Z-direction by fused filament fabrication. Prog. Addit. Manuf. 2024, 10, 2351–2367. [Google Scholar] [CrossRef]
- Díez-Pascual, A.M.; Díez-Vicente, A.L. Nano-TiO2 reinforced PEEK/PEI blends as biomaterials for load-bearing implant applications. ACS Appl. Mater. Interfaces 2015, 7, 5561–5573. [Google Scholar] [CrossRef]
- McCrickard, C.; Boyd, A.; Archer, E.; Manzoor, F.; Ullah, J. Polyether ether ketone (PEEK) and polyetherimide (PEI) for fused filament fabrication (FFF) in medical applications. Int. J. Adv. Manuf. Technol. 2025, 140, 5737–5754. [Google Scholar] [CrossRef]
- ISO 527-2; Plastics—Determination of Tensile Properties. International Organization for Standardization: Geneva, Switzerland, 2025.
- Hudson, S.D.; Davis, D.D.; Lovinger, A.J. Semicrystalline Morphology of Poly(aryl ether ether ketone)/Poly(ether imide) Blends. Macromolecules 1992, 25, 1759–1765. [Google Scholar] [CrossRef]
- Frigione, M.; Naddeo, C.; Acierno, D. Crystallization behavior and mechanical properties of poly(aryl ether ether ketone)/poly(ether imide) blends. Polym. Eng. Sci. 1996, 36, 2119–2128. [Google Scholar] [CrossRef]
- Rodzeń, K.; McIlhagger, A.; Strachota, B.; Strachota, A.; Meenan, B.J.; Boyd, A. Controlling Crystallization: A Key Factor during 3D Printing with the Advanced Semicrystalline Polymeric Materials PEEK, PEKK 6002, and PEKK 7002. Macromol. Mater. Eng. 2023, 308, 2200668. [Google Scholar] [CrossRef]
- Díez-Pascual, A.M.; Martínez, G.; Gómez, M.A. Synthesis and characterization of poly(ether ether ketone) derivatives obtained by carbonyl reduction. Macromolecules 2009, 42, 6885–6892. [Google Scholar] [CrossRef]
- Chen, B.-K.; Su, C.-T.; Tseng, M.-C.; Tsay, S.-Y. Preparation of polyetherimide nanocomposites with improved thermal, mechanical and dielectric properties. Polym. Bull. 2006, 57, 671–681. [Google Scholar] [CrossRef]
- Collins, C.; Batista, N.L.; Hubert, P. Warpage investigation of carbon/PEEK discontinuous long fibre thin panels. J. Compos. Mater. 2021, 55, 3529–3537. [Google Scholar] [CrossRef]
- Ramani, R.; Alam, S. Influence of poly(ether imide) on the free volume hole size and distributions in poly(ether ether ketone). J. Appl. Polym. Sci. 2012, 125, 3200–3210. [Google Scholar] [CrossRef]
- Kurtz, S.M.; Devine, J.N. PEEK Biomaterials in Trauma, Orthopedic, and Spinal Implants. Biomaterials 2007, 28, 4845–4869. [Google Scholar] [CrossRef]
- Doumeng, M.; Makhlouf, L.; Berthet, F.; Marsan, O.; Delbé, K.; Denape, J.; Chabert, F. A comparative study of the crystallinity of polyetheretherketone by using density, DSC, XRD, and Raman spectroscopy techniques. Polym. Test. 2021, 93, 106878. [Google Scholar] [CrossRef]
- Korycki, A.; Carassus, F.; Tramis, O.; Garnier, C.; Djilali, T.; Chabert, F. Polyaryletherketone Based Blends: A Review. Polymers 2023, 15, 3943. [Google Scholar] [CrossRef] [PubMed]
- Yang, C.; Tian, X.; Li, D.; Cao, Y.; Zhao, F.; Shi, C. Influence of thermal processing conditions in 3D printing on the crystallinity and mechanical properties of PEEK material. J. Mater. Process. Technol. 2017, 248, 1–7. [Google Scholar] [CrossRef]
- Ladipo, T.; Masu, L.; Nziu, P. Experimental Analysis of Crystallinity and Mechanical Properties for Fused Filament Printed Polyetherketone Composites. J. Eng. 2023, 2023, 6687928. [Google Scholar] [CrossRef]
- Liaw, C.Y.; Tolbert, J.W.; Chow, L.W.; Guvendiren, M. Interlayer bonding strength of 3D printed PEEK specimens. Soft Matter 2021, 17, 4775–4789. [Google Scholar] [CrossRef]
- Gao, X.; Qi, S.; Kuang, X.; Su, Y.; Li, J.; Wang, D. Fused filament fabrication of polymer materials: A review of interlayer bond. Addit. Manuf. 2021, 37, 101658. [Google Scholar] [CrossRef]
- Rodzeń, K.; Sharma, P.K.; McIlhagger, A.; Mokhtari, M.; Dave, F.; Tormey, D.; Sherlock, R.; Meenan, B.J.; Boyd, A. The direct 3D printing of functional PEEK/hydroxyapatite composites via a fused filament fabrication approach. Polymers 2021, 13, 545. [Google Scholar] [CrossRef] [PubMed]
- Rodzeń, K.; O’donnell, E.; Hasson, F.; McIlhagger, A.; Meenan, B.J.; Ullah, J.; Strachota, B.; Strachota, A.; Duffy, S.; Boyd, A. Advanced 3D Printing of Polyetherketoneketone Hydroxyapatite Composites via Fused Filament Fabrication with Increased Interlayer Connection. Materials 2024, 17, 3161. [Google Scholar] [CrossRef]













| Polymer | Details | Image |
|---|---|---|
| Polyether Ether Ketone (PEEK) |
| ![]() |
| Polyetherimide (PEI) |
| ![]() |
| Print Parameter. | Value | Unit |
|---|---|---|
| Nozzle temperature | 380 | (°C) |
| Bedplate Temperature | 180 | (°C) |
| IR Heaters | 450 | (°C) |
| Print Speed | 30 | mm/s |
| Chamber Temperature | 75 | (°C) |
| Layer height | 0.2 | mm |
| Infill Density | 100 | % |
| Blend | Glass Transition Temperature (Tg) (°C)—First Heating | Melting Temperature (Tm) (°C)—First Heating | Crystallization (Tc) (°C) | Cold Crystallization (Tcc) (°C) | Cold Crystallization Enthalpy (Tcc) (J/g) | Melting Enthalpy (Hm) (J/g) | Crystallinity (%) |
|---|---|---|---|---|---|---|---|
| PEEK | 155.8 | 324.9 | 301.9 | - | - | 42.9 | 33 |
| 8020 | 163.4 | 322.2 | 300 | - | - | 36.7 | 35.2 |
| 7030 | 167.8 | 322.5 | 299.3 | - | - | 32.5 | 35.6 |
| 6040 | 170 | 323.5 | 293.2 | 206.7 | 6.6 | 28.3 | 27.8 |
| 5050 | 175.1 | 322 | 285.2 | 231.2 | 20.7 | 26.3 | 8.7 |
| 4060 | 184.9 | 318 | 278.5 | 227.6 | 13.8 | 18.4 | 8.9 |
| 2080 | 193.2 | 317.2 | - | 247.5 | 11.2 | 11.9 | 2.7 |
| PEI | 209.6 | - | - | - | - | - | - |
| Blend | Glass Transition Temperature (Tg) (°C)—First Heating | Melting Temperature (Tm) (°C)—First Heating | Crystallization (Tc) (°C) | Cold Crystallization (Tcc) (°C) | Cold Crystallization Enthalpy (Tcc) (J/g) | Melting Enthalpy (Hm) (J/g) | Crystallinity (%) |
|---|---|---|---|---|---|---|---|
| PEEK | 153.6 | 324.9 | 301.9 | - | - | 41.8 | 32 |
| 8020 | 163.9 | 324.8 | 299.9 | - | - | 36.8 | 35 |
| 7030 | 164.5 | 324.2 | 299 | 194.2 | 7.6 | 31.9 | 26.7 |
| 6040 | 168.3 | 323.2 | 293.6 | 213.3 | 19.5 | 27.5 | 10.3 |
| 5050 | 176.7 | 322.5 | 285.2 | 225.1 | 18.5 | 24.6 | 9 |
| 4060 | 181.6 | 318.8 | 278.3 | 230.9 | 15.1 | 18.3 | 6 |
| 2080 | 196.5 | 318 | - | 254.2 | 10.2 | 11.4 | 4 |
| PEI | 215 | - | - | - | - | - | - |
| PEEK | 80/20 | 70/30 | 60/40 | 50/50 | 40/60 | 20/80 | PEI | |
|---|---|---|---|---|---|---|---|---|
| UTS | 74.5 ± 4.04 | 75.6 ± 2.4 | 70.4 ± 6.4 | 70.9 ± 2.4 | 58.4 ± 6.2 | 82.6 ± 5 | 80.3 ± 5.8 | 94.5 ± 5.97 |
| Modulus | 1428 ± 41.8 | 1338 ± 40.9 | 1198 ± 65.9 | 1112 ± 38.3 | 1039 ± 78.4 | 1280 ± 43.5 | 1238 ± 36.7 | 1342 ± 32.2 |
| Strain% | 8.22 ± 1.32 | 9.42 ± 1.02 | 10.47 ± 1.24 | 10.75 ± 0.25 | 9.47 ± 1.35 | 11.9 ± 1.21 | 11.6 ± 1.49 | 11.8 ± 1.42 |
| Max force (KN) | 0.64 | 0.62 | 0.63 | 0.58 | 0.52 | 0.70 | 0.72 | 0.82 |
Disclaimer/Publisher’s Note: The statements, opinions and data contained in all publications are solely those of the individual author(s) and contributor(s) and not of MDPI and/or the editor(s). MDPI and/or the editor(s) disclaim responsibility for any injury to people or property resulting from any ideas, methods, instructions or products referred to in the content. |
© 2025 by the authors. Licensee MDPI, Basel, Switzerland. This article is an open access article distributed under the terms and conditions of the Creative Commons Attribution (CC BY) license.
Share and Cite
McCrickard, C.; Boyd, A.; Rodzen, K.; Archer, E.; Manzoor, F.; Ullah, J. PEEK/PEI Polymer Blends for Fused Filament Fabrication: Processing, Properties, and Printability. Polymers 2026, 18, 113. https://doi.org/10.3390/polym18010113
McCrickard C, Boyd A, Rodzen K, Archer E, Manzoor F, Ullah J. PEEK/PEI Polymer Blends for Fused Filament Fabrication: Processing, Properties, and Printability. Polymers. 2026; 18(1):113. https://doi.org/10.3390/polym18010113
Chicago/Turabian StyleMcCrickard, Conor, Adrian Boyd, Krzysztof Rodzen, Edward Archer, Faisal Manzoor, and Jawad Ullah. 2026. "PEEK/PEI Polymer Blends for Fused Filament Fabrication: Processing, Properties, and Printability" Polymers 18, no. 1: 113. https://doi.org/10.3390/polym18010113
APA StyleMcCrickard, C., Boyd, A., Rodzen, K., Archer, E., Manzoor, F., & Ullah, J. (2026). PEEK/PEI Polymer Blends for Fused Filament Fabrication: Processing, Properties, and Printability. Polymers, 18(1), 113. https://doi.org/10.3390/polym18010113



