Sign in to use this feature.

Years

Between: -

Subjects

remove_circle_outline
remove_circle_outline
remove_circle_outline
remove_circle_outline
remove_circle_outline
remove_circle_outline
remove_circle_outline
remove_circle_outline
remove_circle_outline

Journals

Article Types

Countries / Regions

Search Results (120)

Search Parameters:
Keywords = field-oriented control (FOC)

Order results
Result details
Results per page
Select all
Export citation of selected articles as:
28 pages, 6801 KB  
Article
Extended FOC for High-Performance SPMSMs in EVs Incorporating Flux Linkage Vector Decomposition and Nonlinear Dependencies: Experimental Evaluation and Performance Enhancement
by Rubén Rodríguez Vieitez, Paulo Gabriel Rial Aspera, Jorge Rivas Vázquez, Daniel Villanueva Torres, Nicola Bassan and Jacobo Porteiro Fresco
Energies 2026, 19(7), 1690; https://doi.org/10.3390/en19071690 - 30 Mar 2026
Viewed by 517
Abstract
Surface-mounted permanent magnet synchronous motors (SPMSMs) are widely used in high-performance electric vehicles due to their power density; however, conventional field-oriented control (FOC) relies on simplified models in which electromagnetic torque is described as a function of the quadrature current component, together with [...] Read more.
Surface-mounted permanent magnet synchronous motors (SPMSMs) are widely used in high-performance electric vehicles due to their power density; however, conventional field-oriented control (FOC) relies on simplified models in which electromagnetic torque is described as a function of the quadrature current component, together with constant parameters and idealized trajectories in the idiq plane, limiting adaptability and reducing efficiency and operating range under real conditions. This work introduces a flux linkage vector decomposition approach for SPMSMs, in which the permanent-magnet flux is decomposed into d- and q-axis components under core saturation and integrated into an extended field-oriented control framework. An extended FOC strategy is proposed that incorporates flux linkage vector decomposition, nonlinear magnetic saturation, cross-coupling effects, and nonlinear dependencies of electrical parameters, along with resolver angle correction and dynamic modulation index management. These enhancements modify torque and voltage trajectories by shifting the voltage-limit center and improving the definition of the MTPA, FW, and MTPV regions to better match real motor behavior, enabling performance improvements. Experimental validation on an automotive powertrain using a vehicle control unit (VCU) and precalculated lookup tables (LUTs) demonstrates improvements of up to 13.5% in low-speed torque, 13.7% in high-speed power, and efficiency gains of 4–8% across operating conditions. Full article
(This article belongs to the Collection "Electric Vehicles" Section: Review Papers)
Show Figures

Figure 1

17 pages, 2373 KB  
Article
Sensorless Strategy for Controlling SPMSM Combining Improved Adaptive SMO and Finite-Position-Set PLL
by Xiang Wang, Xu Sun, Liming Deng, Luying Feng, Zhe Yang, Keren Xie and Heng Jin
Actuators 2026, 15(3), 134; https://doi.org/10.3390/act15030134 - 27 Feb 2026
Viewed by 301
Abstract
In this paper, a sensorless field-oriented vector control (FOC) strategy combining an improved adaptive sliding mode observer (IASMO) and a finite-position-set phase-locked loop (FPS-PLL) is proposed for a surface permanent magnet synchronous motor (SPMSM) operating in the medium- and high-speed range. Firstly, a [...] Read more.
In this paper, a sensorless field-oriented vector control (FOC) strategy combining an improved adaptive sliding mode observer (IASMO) and a finite-position-set phase-locked loop (FPS-PLL) is proposed for a surface permanent magnet synchronous motor (SPMSM) operating in the medium- and high-speed range. Firstly, a sliding mode observer (SMO) that can realize the observation of back electromotive force (back-EMF) is proposed, and an adaptive reaching law that can reduce the sliding mode coefficient is designed to help the SMO observe the back-EMF for the purpose of reducing chattering as well as verifying the stability of the system. Then, the FPS-PLL is used instead of a phase-locked loop (PLL) to extract the rotor position information from the observed back-EMF, thus avoiding the time-consuming process of tuning the PI parameters. The proposed FPS-PLL reduces the number of iterations from 64 to 20 while maintaining effective estimation performance. Finally, the effectiveness of the proposed scheme in suppressing chattering and maintaining comparable estimation accuracy while reducing computational burden is demonstrated by experiments. Full article
(This article belongs to the Section Control Systems)
Show Figures

Figure 1

29 pages, 5707 KB  
Article
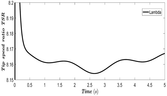
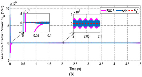
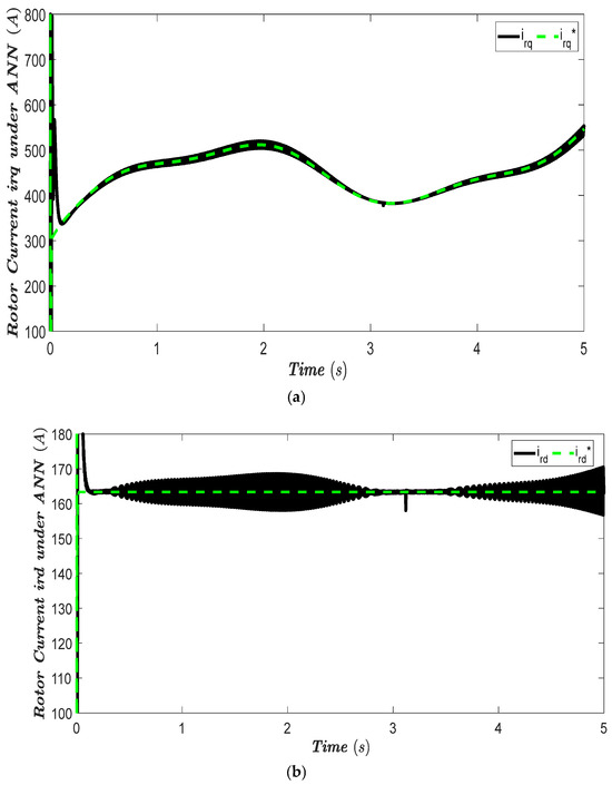
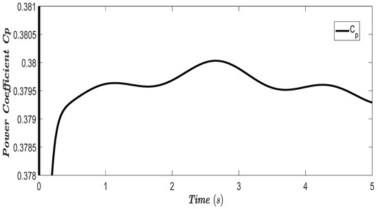
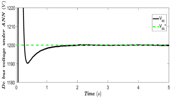
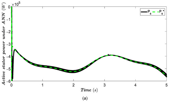
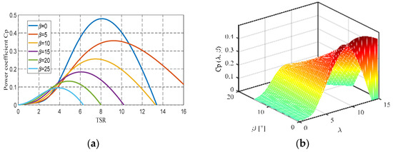
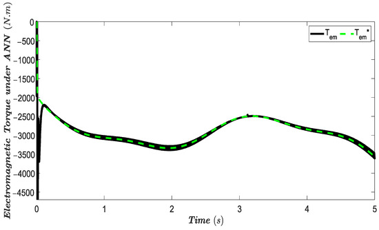
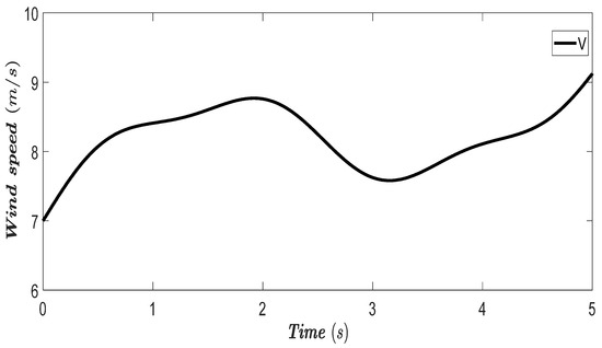
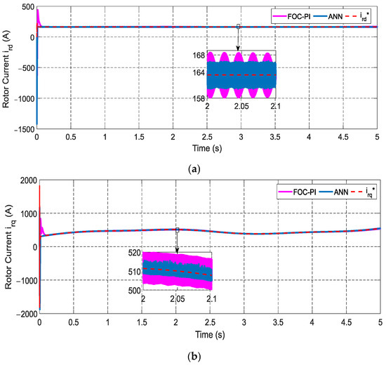
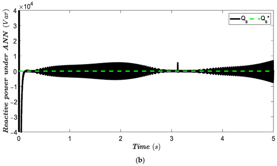
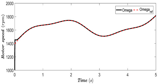
An ANN-Based MPPT and Power Control Strategy for DFIG Wind Energy Systems with Real-Time Validation
by Hamid Chojaa, Kawtar Tifidat, Aziz Derouich, Mishari Metab Almalki and Mahmoud A. Mossa
Inventions 2026, 11(1), 18; https://doi.org/10.3390/inventions11010018 - 15 Feb 2026
Viewed by 557
Abstract
Doubly Fed Induction Generators (DFIGs) are widely employed in variable-speed wind turbine systems due to their high efficiency, enhanced controllability, and economic viability. This paper presents an intelligent neural-network-based control strategy aimed at maximizing wind energy extraction while ensuring accurate speed regulation of [...] Read more.
Doubly Fed Induction Generators (DFIGs) are widely employed in variable-speed wind turbine systems due to their high efficiency, enhanced controllability, and economic viability. This paper presents an intelligent neural-network-based control strategy aimed at maximizing wind energy extraction while ensuring accurate speed regulation of a DFIG by continuously tracking the maximum power point under fluctuating wind conditions. Two independent control schemes are developed for the decoupled regulation of active and reactive power in a grid-connected DFIG wind turbine. The first scheme is based on conventional field-oriented control using proportional integral regulators (FOC–PI), while the second employs an Artificial Neural Network Controller (ANNC). The effectiveness of both controllers is evaluated through MATLAB/Simulink 2020 Version simulations of a 1.5 MW DFIG-based wind energy conversion system and experimentally validated using a real wind profile implemented on an eZdsp TMS320F28335 digital signal processor. The proposed control approach achieves low output ripple, a steady-state error below 0.16%, total harmonic distortion of 0.38%, and a limited overshoot of 5%. The obtained results confirm the robustness and reliability of the implemented control strategies in enhancing power capture and improving overall system stability under variable wind conditions. Full article
(This article belongs to the Special Issue Recent Advances and Challenges in Emerging Power Systems: 3rd Edition)
Show Figures

Figure 1

17 pages, 4081 KB  
Article
Structural Optimization and SVPWM Control Strategy of Rotary Motors for Plasma Spraying Applications
by Lvying Liang, Kaida Cai, Lin Zhang, Zhihuan Tang and Jing Xiao
Machines 2026, 14(2), 192; https://doi.org/10.3390/machines14020192 - 9 Feb 2026
Viewed by 453
Abstract
This study systematically investigates the structural optimization and control strategies of a plasma power supply-based rotating electrical machine. Firstly, stress simulation analysis was conducted on both conventional and optimized motor structures using ANSYS 2025 R1 software. The results demonstrate the maximum stress at [...] Read more.
This study systematically investigates the structural optimization and control strategies of a plasma power supply-based rotating electrical machine. Firstly, stress simulation analysis was conducted on both conventional and optimized motor structures using ANSYS 2025 R1 software. The results demonstrate the maximum stress at the motor bearings decreased from 1.295 MPa to 0.865 MPa after optimization, representing a 33.2% reduction. Secondly, dynamic balance simulation performed with Adams 2024 software revealed that the centroid offset range of the optimized motor was reduced from ±0.05 mm to ±0.0175 mm, achieving a 65% improvement. Furthermore, a motor driver board supporting SVPWM and FOC algorithm was designed and implemented, featuring wide voltage input, multiple output channels, and comprehensive protection functions. Experimental verification confirmed that the developed control system could generate ideal three-phase saddle wave and sinusoidal current waveforms, ensuring smooth motor operation. The system demonstrated excellent dyne pen test results on plasma-sprayed acrylic plates, effectively validating the feasibility of both structural optimization and control strategies. The research outcomes provide theoretical foundations and technical support for high-performance motor design in demanding applications such as plasma spraying. Full article
(This article belongs to the Section Electrical Machines and Drives)
Show Figures

Figure 1

15 pages, 5836 KB  
Article
High-Precision Control Strategy for Ultra-Low Speed and Variable Speed Motion of Satellite Platform Pointing Mechanisms
by Chenhao Han, Haojie Li, Jiahao Cai, Zhenyu Fan, Donghao He, Jianjun Jia, Jiayi Shen, Xin Zhao, Xue Wang and Xindong Liang
Aerospace 2026, 13(2), 118; https://doi.org/10.3390/aerospace13020118 - 25 Jan 2026
Viewed by 378
Abstract
Satellite pointing mechanisms for earth observation require ultra-low speed scanning (approximately 70/s) and precise variable-speed compensation. However, traditional Field-Oriented Control (FOC) suffers from significant velocity bias and instability under these conditions. To address these issues, this paper proposes a [...] Read more.
Satellite pointing mechanisms for earth observation require ultra-low speed scanning (approximately 70/s) and precise variable-speed compensation. However, traditional Field-Oriented Control (FOC) suffers from significant velocity bias and instability under these conditions. To address these issues, this paper proposes a position-loop-based speed control scheme integrated with a variable structure control strategy. By substituting the speed command with a position loop, the proposed method effectively suppresses steady-state velocity bias, while the variable structure strategy mitigates fluctuations during variable-speed motion. Experimental results indicate that, compared to traditional FOC, the proposed method reduces velocity bias error by over 30% during uniform tracking and decreases the amplitude of velocity fluctuations by more than 40% in variable-speed scenarios. This strategy significantly enhances the control precision of satellite pointing mechanisms and improves on-orbit imaging compensation accuracy. Full article
Show Figures

Figure 1

37 pages, 9869 KB  
Article
Conceptual Basis of Adaptation of a Field-Oriented Control System for Traction Induction Motors to the Operating Parameters of a Locomotive
by Vaidas Lukoševičius, Sergey Goolak, Ihor Derehuz, Larysa Neduzha, Artūras Keršys and Vytautas Dzerkelis
Energies 2026, 19(2), 298; https://doi.org/10.3390/en19020298 - 6 Jan 2026
Viewed by 626
Abstract
Field-oriented control (FOC) of induction motors (IMs) is used in railway rolling stock. In such control systems, a fixed frequency of the pulse-width modulation (PWM) inverter is used, which leads to an increase in power losses in the traction drive. To optimize power [...] Read more.
Field-oriented control (FOC) of induction motors (IMs) is used in railway rolling stock. In such control systems, a fixed frequency of the pulse-width modulation (PWM) inverter is used, which leads to an increase in power losses in the traction drive. To optimize power losses in the locomotive traction drive system, it is proposed to adapt the number of PWM inverter pulses to the frequency of the FOC speed controller, which is proportional to the locomotive speed. To solve this problem, conceptual foundations for adapting FOC to the locomotive speed have been developed, the key aspects of which are algorithms for adapting the PWM inverter frequency, the controller parameters and the parameters of the FOC speed controller frequency filters. The most significant results of the work are the methods for adjusting the maximum of the controllers of the basic FOC IM system, the filter structure and the inverter control scheme, adapted to the locomotive speed. The modeling results have shown the effectiveness of the proposed technical solutions. The proposed approach to developing FOC will allow minimizing the consumption of energy resources by the locomotive in the entire range of changes in its speed. Full article
Show Figures

Figure 1

36 pages, 6311 KB  
Article
Implementation of a QDBC with Hysteresis Current Control for PV-Powered Permanent-Magnet-Assisted Synchronous Reluctance Motors
by Walid Emar, Hani Attar, Ala Jaber, Hasan Kanaker, Fawzi Gharagheer and Musbah Aqel
Energies 2026, 19(1), 215; https://doi.org/10.3390/en19010215 - 31 Dec 2025
Viewed by 328
Abstract
In this paper, a permanent-magnet-assisted synchronous reluctance motor (SYNRM) coupled with a newly built QDBC and a voltage-fed inverter (VFI) for a standalone PV water pumping system is suggested. Because power supply oscillations can result in short-term disruptions that affect drive performance in [...] Read more.
In this paper, a permanent-magnet-assisted synchronous reluctance motor (SYNRM) coupled with a newly built QDBC and a voltage-fed inverter (VFI) for a standalone PV water pumping system is suggested. Because power supply oscillations can result in short-term disruptions that affect drive performance in industrial applications involving these motors, a robust smooth control system is required to guarantee high efficiency and uninterrupted operation. According to the suggested architecture, a newly built quadratic boost regulator with a very high voltage gain, called a quadruple-diode boost converter (QDBC), is used to first elevate PV voltage to high levels. Additionally, to optimize the power output of the solar PV module, the perturbation and observation highest power point tracking approach (P&O) is implemented. To provide smooth synchronous motor starting, field-oriented control (FOC) of a voltage-fed inverter (VFI) is combined with hysteresis current control of the QDBC. The optimization algorithms discussed in this paper aim to enhance the efficiency of the SYNRM, particularly in operating a synchronous motor powered by variable energy sources such as solar PV. These algorithms function within a cybernetic system designed for water pumping, incorporating feedback loops and computational intelligence for improved performance. Afterward, the three-phase permanent-magnet synchronous motor that drives the mechanical load is fed by the resulting voltage via a voltage source inverter. Furthermore, a thorough hysteresis current control method implementation of the QDBC was suggested in order to attain optimal efficiency in both devices, which is crucial when off-grids are present. Even when the DC-link voltage dropped by up to 10% of the rated voltage, the suggested method was shown to maintain the required reference torque and rated speed. To verify the efficacy of the suggested method, a simulation setup according to the MATLAB 2022b/Simulink environment was employed. To gather and analyze the data, multiple scenarios with varying operating conditions and irradiance levels were taken into consideration. Finally, a working prototype was constructed in order to validate the mathematical analysis and simulation findings of the suggested framework, which includes a 1 kW motor, current sensor, voltage sensor, QDBC, and VCS inverter. Full article
(This article belongs to the Section F3: Power Electronics)
Show Figures

Figure 1

42 pages, 3195 KB  
Article
A Comparative Study of Discretization Methods for Model Predictive Current Control of Permanent Magnet Synchronous Motors
by Nevra Bayhan and Yasin Koçak
Processes 2026, 14(1), 14; https://doi.org/10.3390/pr14010014 - 19 Dec 2025
Cited by 1 | Viewed by 824
Abstract
This study presents a systematic comparative analysis of nine stator current discretization methods within the Model Predictive Current Control (MPCC) framework for Permanent Magnet Synchronous Motors (PMSMs). These methods have generally been examined individually or in limited combinations in previous research, and this [...] Read more.
This study presents a systematic comparative analysis of nine stator current discretization methods within the Model Predictive Current Control (MPCC) framework for Permanent Magnet Synchronous Motors (PMSMs). These methods have generally been examined individually or in limited combinations in previous research, and this holistic and comprehensive comparison constitutes the core contribution of this work by addressing a significant gap in the existing literature. The investigated MPCC methods—Forward Euler (FE), Backward Euler (BE), Midpoint Euler (ME), Fourth-Order Runge–Kutta (RK4), Runge–Kutta Ralston (RKR), Taylor Series (TS), Verlet Integration (VI), Crank–Nicolson (CN), and Adams–Bashforth (AB)—are comprehensively evaluated for their dynamic performance, including speed tracking, torque response, settling time, rise time, overshoot, and Total Harmonic Distortion (THD). Additionally, these analysis results are benchmarked against conventional Proportional–Integral–Derivative (PID) and Field-Oriented Control (FOC) methods. In terms of key performance indicators, the MPCC–RKR method proved optimal for speed tracking under no-load conditions, achieving the lowest overshoot, specifically ranging from 0.097% to 1.450%. Conversely, MPCC–ME and MPCC–CN demonstrated superior transient performance under sudden-load conditions (1.7 Nm), yielding the smallest torque deviations, fastest settling times. Specifically, MPCC-ME recorded the lowest overshoot (1.512%) at the 7 s load step, while MPCC-CN performed best at 9 s (1.220%) and 11 s (1.577%). Among the predictive schemes, the MPCC–RKR method achieved the highest current quality with a minimum THD of 3.69% at nominal speed. Finally, it has been confirmed through the applied statistical analysis techniques that the performance differences among the discretization methods are significant. The comparative analysis examines both the dynamic performance of the methods and the fundamental trade-off between accuracy and computational burden in MPCC design. Simple single-step explicit methods (FE, ME, RKR, VI, AB) offer low computational cost and are well suited for high–sampling-frequency real-time applications, especially with sufficiently small sampling times, whereas more complex multi-step or implicit methods (BE, RK4, TS, CN) may increase the processor load despite their potential gains in accuracy and stability. This study provides practical, evidence-based guidelines for selecting an optimal discretization method by balancing accuracy and dynamic performance requirements for PMSM applications. Full article
Show Figures

Figure 1

22 pages, 6495 KB  
Article
Simulation Analysis of Motor and Battery Characteristics Using a Validated Model of an Electric Tractor
by Seung-Yun Baek, Hyeon-Ho Jeon, Wan-Soo Kim, Yeon-Soo Kim and Yong-Joo Kim
Electronics 2025, 14(24), 4872; https://doi.org/10.3390/electronics14244872 - 10 Dec 2025
Cited by 1 | Viewed by 589
Abstract
The electrification of agricultural tractors is a key step toward improving energy efficiency and reducing environmental emissions. However, quantitative evaluation of drivetrain performance remains limited because workload data for electric tractors are scarce, while most available datasets originate from conventional mechanical tractors. In [...] Read more.
The electrification of agricultural tractors is a key step toward improving energy efficiency and reducing environmental emissions. However, quantitative evaluation of drivetrain performance remains limited because workload data for electric tractors are scarce, while most available datasets originate from conventional mechanical tractors. In this study, a one-dimensional simulation model was developed to effectively utilize existing workload data by integrating the drivetrain and electrical characteristics of an actual electric tractor. The model combines an electrical subsystem based on field-oriented control (FOC) of a permanent magnet synchronous motor (PMSM) with a vehicle subsystem representing the mechanical drivetrain. Model validation was performed through dynamometer experiments using axle torque as input and motor responses as output, showing strong agreement with measured data. The validated model was applied to field-measured workloads to analyze motor performance, battery state-of-charge behavior, usable operating time, and operating points across various agricultural operations. The proposed simulation model enables quantitative evaluation of electric tractor performance under realistic load conditions and can be extended for co-simulation with higher-level control models. In future studies, the model will be utilized as a platform for testing and developing energy-efficient control algorithms for next-generation electric tractor systems. Full article
Show Figures

Figure 1

19 pages, 5760 KB  
Article
Control Systems for a Coal Mine Tunnelling Machine
by Yuriy Kozhubaev, Roman Ershov, Abbas Ali, Yiming Yao and Changwen Yin
Mining 2025, 5(4), 82; https://doi.org/10.3390/mining5040082 - 10 Dec 2025
Viewed by 620
Abstract
The mining industry places high priority on occupational safety, process quality and operational efficiency. Roadheaders are widely deployed in coal mines to support fully automated excavation, reducing workers’ physical strain and improving overall safety. This article examines an automatic control system for a [...] Read more.
The mining industry places high priority on occupational safety, process quality and operational efficiency. Roadheaders are widely deployed in coal mines to support fully automated excavation, reducing workers’ physical strain and improving overall safety. This article examines an automatic control system for a roadheader cutting head designed to increase mining efficiency, reduce energy consumption and maintain stable performance under varying coal and rock conditions. The system integrates advanced control algorithms with geological strength index (GSI) analysis and asynchronous motor control strategies. GSI-based adaptive speed control conserves energy and increases cutting efficiency compared to manual control. By reducing dynamic load fluctuations, transitions between different cutting zones become smoother, which decreases equipment wear. The proposed control system incorporates speed feedback loops that use a proportional–integral (PI) controller with field-oriented control (FOC), as well as super-twisted sliding mode control (STSMC) with FOC. FOC with STSMC improves roadheader productivity by applying advanced control strategies, adaptive speed regulation and precise geological strength analysis. It is also better able to handle disturbances and sudden loads thanks to STSMC’s nonlinear control robustness. The result is safer, more efficient, and more cost-effective mining that can be implemented across a wide range of underground mining scenarios. Full article
Show Figures

Figure 1

18 pages, 1322 KB  
Article
A Block Controller with Integral Super-Twisting Algorithm for the Path Following of a Self-Driving Electric Vehicle Considering Actuator Dynamics
by Luis Arturo Torres-Romero and Luis Enrique González-Jiménez
World Electr. Veh. J. 2025, 16(12), 643; https://doi.org/10.3390/wevj16120643 - 25 Nov 2025
Cited by 1 | Viewed by 394
Abstract
This research presents the design of a robust nonlinear controller for the lateral dynamics of a self-driving car. It is based on the block control and super-twisting sliding mode control techniques in order to effectively mitigate the uncertainties and disturbances of the vehicle. [...] Read more.
This research presents the design of a robust nonlinear controller for the lateral dynamics of a self-driving car. It is based on the block control and super-twisting sliding mode control techniques in order to effectively mitigate the uncertainties and disturbances of the vehicle. The dynamic model of the system is composed of the standard bicycle dynamic model (not kinematic) for the vehicle and the dynamics of a BLDC motor connected to a steering rack system as the steering actuator. Moreover, the control scheme considers an inner loop for controlling the actuator position based on the field-oriented control (FOC) and PID control approaches. The controller’s overall performance is validated through its application to a mathematical model of a brushless direct current (BLDC) motor, acting as the actuator, plus the steering rack dynamics and the lateral dynamic model of the vehicle. Measurements of voltages and currents are taken in both the abc and dq reference frames, the latter being commonly used in the field-oriented control (FOC) technique. Additionally, the system’s performance is evaluated in terms of trajectory tracking, orientation, and lateral deviation from the lane center. Full article
Show Figures

Figure 1

33 pages, 4386 KB  
Article
Research Based on a Fuzzy Algorithm for Energy Saving Single-Phased Powered Pumps
by Wangsheng Sun, Haiqing Si, Haibo Wang and Gen Li
Machines 2025, 13(11), 1070; https://doi.org/10.3390/machines13111070 - 20 Nov 2025
Viewed by 687
Abstract
Water pumps consume roughly 20% of global electricity, yet 60–70% of pumps operate below optimal efficiency, leading to substantial energy waste. Improving pump efficiency is therefore critical. A major contributor to these losses is the low efficiency of the driving motor at reduced [...] Read more.
Water pumps consume roughly 20% of global electricity, yet 60–70% of pumps operate below optimal efficiency, leading to substantial energy waste. Improving pump efficiency is therefore critical. A major contributor to these losses is the low efficiency of the driving motor at reduced speeds and the lack of variable-speed capability—especially in single-phase pumps. This paper presents a fuzzy-logic–FOC (field oriented control) permanent magnet synchronous motor (PMSM) pump system that can run on either three-phase or single-phase power. The system maintains high efficiency across a wide speed range and saves energy not only through variable-speed operation but also via an intelligent control strategy termed “constant flow, variable pressure.” To assess performance, we conducted experiments comparing the proposed fuzzy-logic FOC controlled PMSM pump and a conventional AC asynchronous induction motor pump. The results show that the new system overcomes the inherent lack of speed regulation in traditional single-phase pumps and significantly improves efficiency across diverse operating conditions. Moreover, by implementing the “constant flow, variable pressure” strategy, the system achieves average energy savings estimated at 30–50% compared with a conventional AC asynchronous motor-driven pump. Full article
(This article belongs to the Section Automation and Control Systems)
Show Figures

Figure 1

20 pages, 862 KB  
Article
Comparison of Advanced Predictive Controllers for IPMSMs in BEV and PHEV Traction Applications
by Romain Cocogne, Sebastien Bilavarn, Mostafa El-Mokadem and Khaled Douzane
World Electr. Veh. J. 2025, 16(11), 592; https://doi.org/10.3390/wevj16110592 - 24 Oct 2025
Viewed by 912
Abstract
The adoption of Interior Permanent Magnet Synchronous Motor (IPMSM) in Battery Electric Vehicle (BEV) and Plug-in Hybrid Electric Vehicle (PHEV) drives the need for innovative approaches to improve control performance and power conversion efficiency. This paper aims at evaluating advanced Model Predictive Control [...] Read more.
The adoption of Interior Permanent Magnet Synchronous Motor (IPMSM) in Battery Electric Vehicle (BEV) and Plug-in Hybrid Electric Vehicle (PHEV) drives the need for innovative approaches to improve control performance and power conversion efficiency. This paper aims at evaluating advanced Model Predictive Control (MPC) strategies for IPMSM drives in a methodic comparison with the most widespread Field Oriented Control (FOC). Different extensions of direct Finite Control Set MPC (FCS-MPC) and indirect Continuous Control Set MPC (CCS-MPC) MPCs are considered and evaluated in terms of reference tracking performance, robustness, power efficiency, and complexity based on Matlab, Simulink™ simulations. Results confirm the inherent better control quality of MPCs over FOC in general and allow us to further identify some possible directions for improvement. Moreover, indirect MPCs perform better, but complexity may prevent them from supporting real-time implementation in some cases. On the other hand, direct MPCs are less complex and reduce inverter losses but at the cost of increased Total Harmonic Distortion (THD) and decreased robustness to parameters deviations. These results also highlight various trade-offs between different predictive control strategies and their feasibility for high-performance automotive applications. Full article
(This article belongs to the Section Propulsion Systems and Components)
Show Figures

Figure 1

22 pages, 6206 KB  
Article
An Open-Source Software Framework for Direct Field-Oriented Control of a BLDC with Only One Sensor for ARM
by Radu Bogdan Sabau and Radu Etz
Appl. Sci. 2025, 15(20), 11018; https://doi.org/10.3390/app152011018 - 14 Oct 2025
Viewed by 1918
Abstract
This paper introduces an open-source software framework for implementing Field-Oriented Control (FOC) on a Brushless DC Motor (BLDC) across its entire speed range. The control strategy employs a Direct FOC method with a single Hall sensor combined with Space Vector Pulse Width Modulation [...] Read more.
This paper introduces an open-source software framework for implementing Field-Oriented Control (FOC) on a Brushless DC Motor (BLDC) across its entire speed range. The control strategy employs a Direct FOC method with a single Hall sensor combined with Space Vector Pulse Width Modulation (SVPWM) and complementary sensorless techniques. The BLDC motor and supporting circuits are modeled and validated through both simulation and hardware implementation. A modular software architecture enables deployment via distinct system components, promoting hardware abstraction and reducing platform-specific dependencies. The entire setup is conceptualized and executed in MATLAB/Simulink R2024b and the framework supports remote experimentation through a web-based interface, requiring only a single MATLAB license. This scalable solution is designed for academic researchers and industry practitioners alike, offering an accessible low-cost platform for motor control development, validation, and early-stage prototyping. Full article
(This article belongs to the Special Issue Mechatronic Systems Design and Optimization)
Show Figures

Figure 1

24 pages, 1878 KB  
Article
Advancements in Sustainable Mobility: Fractional-Order FOC of IM in an Electric Vehicle Powered by an Autonomous PV Battery System
by Fatma Ben Salem, Jaouhar Mouine and Nabil Derbel
Fractal Fract. 2025, 9(10), 661; https://doi.org/10.3390/fractalfract9100661 - 14 Oct 2025
Viewed by 735
Abstract
This paper presents a novel fractional-order field-oriented control (FO-FOC) strategy for induction motor drives in electric vehicles (EVs) powered by an autonomous photovoltaic (PV) battery energy system. The proposed control approach integrates a fractional-order sliding mode controller (FO-SMC) into the conventional FOC framework [...] Read more.
This paper presents a novel fractional-order field-oriented control (FO-FOC) strategy for induction motor drives in electric vehicles (EVs) powered by an autonomous photovoltaic (PV) battery energy system. The proposed control approach integrates a fractional-order sliding mode controller (FO-SMC) into the conventional FOC framework to enhance dynamic performance, improve robustness, and reduce sensitivity to parameter variations. The originality of this work lies in the combined use of fractional-order control and real-time adaptive parameter updating, applied within a PV battery-powered EV platform. This dual-layer control structure allows the system to effectively reject disturbances, maintain torque and flux tracking, and mitigate the effects of component aging or thermal drift. Furthermore, to address the chattering phenomenon typically associated with sliding mode control, a continuous saturation function was employed, resulting in smoother voltage and current responses more suitable for real-time implementation. Extensive simulation studies were conducted under ideal conditions, with parameter mismatch, and with the proposed adaptive update laws. Results confirmed the superiority of the FO-based approach over classical integer-order designs in terms of speed tracking, flux regulation, torque ripple reduction, and system robustness. The proposed methodology offers a promising solution for next-generation sustainable mobility systems requiring high-performance, energy-efficient, and fault-tolerant electric drives. Full article
(This article belongs to the Special Issue Advances in Dynamics and Control of Fractional-Order Systems)
Show Figures

Figure 1

Back to TopTop