Next Article in Journal
Technical Architecture and Control Strategy for Residential Community Orderly Charging Based on an Active Reservation Mechanism for Unconnected Charging Pile
Previous Article in Journal
Research on Small Object Detection in Degraded Visual Scenes: An Improved DRF-YOLO Algorithm Based on YOLOv11
 
 
Font Type:
Arial Georgia Verdana
Font Size:
Aa Aa Aa
Line Spacing:
Column Width:
Background:
Article

Comparison of Advanced Predictive Controllers for IPMSMs in BEV and PHEV Traction Applications

1
Silicon Mobility, Intel Corporation, 535 Route des Lucioles, 06560 Valbonne, France
2
Laboratoire d’Electronique, Antennes et Télécommunications (LEAT), 930 Rte des Colles, 06410 Biot, France
*
Author to whom correspondence should be addressed.
World Electr. Veh. J. 2025, 16(11), 592; https://doi.org/10.3390/wevj16110592
Submission received: 29 August 2025 / Revised: 1 October 2025 / Accepted: 6 October 2025 / Published: 24 October 2025
(This article belongs to the Section Propulsion Systems and Components)

Abstract

The adoption of Interior Permanent Magnet Synchronous Motor (IPMSM) in Battery Electric Vehicle (BEV) and Plug-in Hybrid Electric Vehicle (PHEV) drives the need for innovative approaches to improve control performance and power conversion efficiency. This paper aims at evaluating advanced Model Predictive Control (MPC) strategies for IPMSM drives in a methodic comparison with the most widespread Field Oriented Control (FOC). Different extensions of direct Finite Control Set MPC (FCS-MPC) and indirect Continuous Control Set MPC (CCS-MPC) MPCs are considered and evaluated in terms of reference tracking performance, robustness, power efficiency, and complexity based on Matlab, Simulink™ simulations. Results confirm the inherent better control quality of MPCs over FOC in general and allow us to further identify some possible directions for improvement. Moreover, indirect MPCs perform better, but complexity may prevent them from supporting real-time implementation in some cases. On the other hand, direct MPCs are less complex and reduce inverter losses but at the cost of increased Total Harmonic Distortion (THD) and decreased robustness to parameters deviations. These results also highlight various trade-offs between different predictive control strategies and their feasibility for high-performance automotive applications.

1. Introduction and Background

In recent years, research and innovation in the automotive industry have significantly intensified to promote the adoption of electric traction systems in place of conventional combustion engines to reduce CO 2 emissions. IPMSMs have been widely adopted in BEVs and PHEVs since they offer high-efficiency operation at high torque and power densities compared to other types of electric drives like induction motors, non-salient IPMSMs, or Wound-Rotor Synchronous Motors [1,2]. The physical characteristics of an IMPSM and its three-phase inverter introduce strong non-linearity in the system, increasing the complexity of the control problem. With high requirements for the acceleration and deceleration of the vehicle engine, IPMSMs require sophisticated control algorithms.
Early methods of controlling AC motors for variable speed applications involved the use of conventional fixed-gain Proportional Integral Derivative (PID) controllers, which were widely used in the past due to their simplicity and effectiveness in practical applications [3]. But scalar control can fail to meet the requirements of electric drive applications (such as current precision or robustness), since they are highly vulnerable to e-motor parameter deviations and can seriously degrade under system uncertainties, non-linear phenomena, or external/environmental disturbances [3].
Vector control, also called Field-Oriented Control (FOC), provides better performance compared to scalar control [4]. FOC follows a form of the vector control strategy in which the stator currents of a three-phase IPMSM are identified as two orthogonal components that can be visualized with a vector. One component defines the magnetic flux of the e-motor (d-axis), and the other, the torque (q-axis). The general principle is to orient the stator current vector in the d-q rotating reference frame of the machine using a Clark–Park transform [5].
Direct Torque Control (DTC) is also considered a viable method for controlling IPMSMs [6]. This controller operates by directly controlling the torque and flux of the e-motor in the α - β reference frame, simplifying the control structure and improving dynamic performance [7]. However, the benefits of DTC are balanced by high torque ripple and high sampling rates requirements to achieve optimal performance [8]. Despite these challenges, DTC remains a viable option for applications demanding rapid torque changes, particularly in the context of electric vehicle traction systems.
More recently, advanced methods have emerged to better address highly constrained dynamic and non-linear systems such as IPMSMs (e.g., [9]). Model Predictive Control (MPC) is a class of model-based approaches that relies on an accurate model of the controlled system to predict its future behavior. MPC is often based on state-space models, typically a mathematical formulation of the discrete dynamic system, which provides a comprehensive representation of the system behavior [3]. Starting from a given state, all variables of the controlled system can be predicted over a finite prediction horizon, thus enabling the capability to make more informed decisions and improving the overall control quality. To achieve this, MPC solves an online optimization algorithm to find the optimal control action that drives the predicted output to the reference. The adaptability of MPC comes with a trade-off of increased implementation complexity. The corresponding computing burden (exponential to the horizon length) is the reason MPC is historically used in the BEV/PHEV industry for slow processes such as the power management of a hybrid vehicle or temperature management [10,11].
However, with the rise in high-performance hardware technologies [12], MPC starts to be considered for fast dynamic systems [3]. For IPMSM control, the simplest MPC approach has been used in some investigations, showing promising results [13]. However, the motors considered in these studies are not designed for BEV applications, and oftentimes, simplifications are made that compromise system efficiency [14]. In particular, salient IPMSMs (with non-equal d / q inductance) have been less explored in the literature. Given the relative novelty of this research field, MPC is still in the process of reaching the level of readiness required to align with automotive industry standards. It can also be noted that most studies address mainly one aspect of the control system (like dynamic performances, for example [14]), not considering a global measure of the control quality, robustness, and energy efficiency.
The few suitable MPCs for IPMSM control can be separated into two categories (direct vs. indirect MPC) depending on whether explicit modulation is used. In direct MPC, also known as Finite Control Set Model Predictive Control (FCS-MPC), control and modulation are formulated and solved in one stage to directly generate the modulation signals for the gates of the inverter. This removes the need for an explicit modulator, resulting in a reduction in control and implementation complexity (for short horizons) and better control of energy losses [15]. As a consequence, the modulation algorithm is fixed [16] and cannot be changed for another approach (such as Optimized Pulse Pattern). Moreover, FCS-MPC is more sensitive to e-motor parameter uncertainties [17], and its performance is highly correlated to the sampling frequency [18].
In indirect MPC, also known as Continuous Control Set Model Predictive Control (CCS-MPC), the controller computes the voltage commands and connects to a separate modulation stage to generate pulse width modulation signals for the inverter. Although indirect MPC allows us to deal with a continuous non-linear optimization problem (e.g., the Interior Point Method) [19], it is typically implemented as a standard constrained Quadratic Programming (QP) problem that requires a QP solver to find the optimal solution online and in real time [13]. For this reason, indirect MPC is generally regarded as more computationally expensive than direct MPC, especially for small horizons [20]. However, unlike FCS-MPC, the complexity of the indirect controller does not increase exponentially with the horizon length [16], making CCS-MPC a more suitable approach for long prediction horizons [20].
One of the main disadvantages of MPC comes from e-motor model uncertainties. Deviations in the e-motor parameters (due to temperature changes, manufacturing process, etc.) may occur and lead to prediction errors, strongly altering the control process to a point of inducing steady-state errors and system instability. MPC approaches that explicitly consider these uncertainties are called Robust Model Predictive Control (RMPC). Robust methods are usually based on popular strategies such as min-max predictive control [21,22], tube-based MPC [23], and MPC via Linear Matrix Inequalities (LMIs). Although very effective, these approaches are more suited to systems with slow time responses, or they are more difficult to fine-tune and implement for high-complexity systems [24].
An alternative for MPC robust control is based on using state estimation. Traditional state estimation methods rely typically on the Extended Kalman Filter (EKF) [25], the Luenberger observer [15], or the Moving Horizon Estimation (MHE) [26]. The fundamental idea is that the current state of the system is inferred based on a finite sequence of past measurements, while incorporating information from the dynamic system equation. Reliable state estimates bring undeniable robustness against e-motor parameter estimation error and measurement noise but require efficient implementation to cope with increasingly complex non-linear systems [27]. Instead of performing state estimation, parameter estimation can be performed to obtain the e-motor’s parameters [28,29]. A range of methods are available, including a model reference adaptive system, recursive least squares algorithm, or EKF [29], with the last one being the most robust. These methods enable more accurate prediction on the MPC horizon as the model is constantly updated with accurate parameter values, at the expense of more computation power.
Another approach to address robustness is the use of neural networks. Their ability to model complex non-linear behaviors can be employed to replace the plant model in the MPC [30], or even the full MPC [31], with a neural network controller. However, neural network-based MPC is a relatively new direction of research and still needs further investigation into more complex simulation environments that can consider variable speed or salient motors.
This paper explores different MPC schemes applied on an 800 V IPMSM dedicated to BEV applications and compares the results with those of the most used controller in traction automotive (FOC). Simulations of the IPMSM control system reproduce a variety of operational and physical conditions to appraise more precisely the potential of each type of MPC controller for real-time implementation, considering high-performance hardware with Silicon Mobility’s Adaptive Control Unit (ACU) [12]. Controllers are assessed based on their control quality, robustness, and energy efficiency (inverter loss and THD). New Key Performance Indicator (KPI) (parameters and measurement error sensitivity and Global Score) are also proposed to help reflect overall performances and control quality more objectively.

2. Formalism

2.1. IPMSM Model

The IPMSM is usually formalized using continuous differential equations (Equation (1)) [13]. The physical characteristics of the IPMSM used in this study are listed in Table 1. In particular, numerical values of L d ( i d , i q ) , L q ( i d , i q ) , and ψ ( i q ) are integrated in Look Up Table (LUT), which are generated with a Finite Element Analysis (FEA) tool.
d i d ( t ) d t = R s L d i d ( t ) + ω e L q L d i q ( t ) + v d L d
d i q ( t ) d t = R s L q i q ( t ) ω e L d L q i d ( t ) ω e ψ L q + v q L q
T e = 3 2 N p p ( ψ i q ( t ) + ( L d L q ) i q ( t ) i d ( t ) )
The electromagnetic torque T e in Equation (1c) can be determined from reconstructed currents i d and i q . This value will be useful in the following MPC comparison analysis for the computation of Key Performance Indicators (KPIs). The electrical speed ω e was set manually to ensure better control of the operating point during simulations. Under real operating conditions, this value would result from the difference between the electromechanical torque and the torque load. Parameters L d , L q , R s , and ψ used in the simulation were taken from a real BEV traction device, with L d and L q being different from each other (salient motor).

2.2. Predictive Controllers

2.2.1. General System Equations

Each MPC addressed in this study relates to the control of the IPMSM defined in Equation (1). The corresponding formalization comprises a discrete-time space-state representation formed using the forward Euler method (Equation (2)). The method to obtain this space-state model is derived from [13]. All parameters used in the models are equal to those of the plant, with the exception of R s and ψ , which can be considered biased in some cases depending on the type of simulation configuration (see Section 3.3 for more details on the configurations).
x m ( k + 1 ) = A m x ( k ) + B m u ( k ) + d m
y ( k ) = C m x m ( k )
where
x m ( k ) = i d ( k ) i q ( k ) A m = 1 T s R ^ s L d T s ω e L q L d T s ω e L d L q 1 T s R ^ s L q u ( k ) = v d ( k ) v q ( k ) B m = T s L d 0 0 T s L q d m = 0 T s ω e ψ ^ L q C m = 1 0 0 1
In these expressions, i d and i q are the estimated variables, v d and v q are the control variables, and T s is the controller sampling time.
Additionally, the system is subject to constraints on voltage and current values, as well as on the maximum slope of the current. These constraints can be expressed with non-linear inequalities (Equation (3)), or they can be linearized to simplify the optimization problem (Figure 1). Saturation inequalities (Equation (3a)) reflect a limitation of output voltages and prediction currents of the controllers, which are applied at each step of the control horizon. Dynamic constraints (Equation (3b)) force the controllers to find a solution that can be valid in practice for the motor and prevent unrealistic predictions.
v d 2 + v q 2 υ s m a x 2 i d 2 + i q 2 i s m a x 2 Saturation constraints
Δ i d , q < i s m a x , s l o p e Dynamic constraints
Solving the optimization problem determines the actual voltage value to apply to the e-motor until the next control interval. It is based on a cost function (Equation (4)) minimizing the quadratic error between the estimated and reference currents (Equation (4b)), while accounting for the weighted variations in the command variable Δ u ( k ) (Equation (4c)) by a factor λ u . The variables of Equation (4) are listed in Table 2, with N p as the number of steps in the prediction horizon, y * / y ^ as the reference/predicted currents, and u ^ as the predicted voltage command.
J = k = 1 N p | | y * ( k ) y ^ ( k ) | | 2 2 + λ u | | Δ u ( k 1 ) | | 2 2
| | y * y ^ | | 2 2 = ( y * y ^ ) T I 2 ( y * y ^ )
Δ u ( k ) = u ^ ( k ) u ^ ( k 1 )
where
y * = i d * i q * y ^ = i ^ d i ^ q u ^ = v ^ d v ^ q
The different versions of MPCs considered in this study are listed in Table 3. For each controller, the optimum values of N c (control horizon) and N p (prediction horizon), in terms of the number of control steps, are found using empirical fine tuning. T c and T p are the control and prediction horizons, in terms of physical time, and are a function of N c , N p , and T s (the sampling time). The sampling time is constant for all controllers. It is set to a value of 10 μ s, corresponding to a hardware implementation of FOC on Silicon Mobility ACU.

2.2.2. Finite Control Set MPC (FCS-MPC)

In the list of MPCs under comparison, FCS-MPC is the simplest direct controller that can be implemented. The modulation stage is integrated into the control method, and the control variable is a discrete value corresponding to the state of the inverter gate driver. As the driver output state is controlled directly by MPC, Equation (2) needs to be reformulated to Equation (5). The former control variable u = [ v d , v q ] T therefore becomes u = P m S , where S is the new control variable and P m , the corresponding Clark–Park transform. The value applied to P m in Equation (5) is the classic matrix representation of this Clark–Park transform, with the first matrix (dependent on θ e ) being the Park transform and the second constant matrix being the Clarke transform. Parameter V d c is the DC-link voltage of the system, and θ e is the electric angle (in rad) estimated by the control.
x d ( k + 1 ) = A m x ( k ) + B m P m S ( k ) + d m
y ( k ) = C m x d ( k )
where
S ( k ) = S a S b S c P m = V d c 3 cos θ e sin θ e sin θ e cos θ e 2 1 1 0 3 3

2.2.3. Sequenced Output Finite Control Set MPC (SO-FCS-MPC)

When applied to an IPMSM drive scaled for BEV traction applications, the FCS-MPC showed some difficulties in correctly controlling the e-motor at very low torque (under 10 Nm). In particular, torque ripple tends to exceed the tolerated values by several times. This problem comes from the modulation generated directly by the controller and can only be solved by increasing the sample time of the controller or by changing the initial algorithm. The proposed SO-FCS-MPC solves this problem using a new innovative technique based on calculating a sequence instead of just one value for the control output. This technique and its analysis will be further detailed in future publications and will not be discussed in this paper.

2.2.4. Continuous Control Set Linear MPC (CCS-l-MPC)

This approach simplifies the non-linear dynamics of the IPMSM by linearizing the constraints (Figure 1) and the system model at startup using an arbitrary operating point. Quadratic Programming (QP) is then used to compute the control commands in real time. This linear method reduces the computational complexity and allows for sufficient performance under most operating conditions, especially when the e-motor operates far from its physical limits. However, CCS-l-MPC struggles to capture the full non-linear behavior of the IPMSM drive, especially during transient states. This can lead to suboptimal performance when the operating point deviates from the initial state. Nevertheless, due to its relative simplicity, CCS-l-MPC can remain a viable solution for applications that require a compromise of control performance for low computational burden.

2.2.5. Continuous Control Set Non-Linear MPC (CCS-nl-MPC)

Another possible approach is to use an adaptive control scheme with non-linear constraints (Equation (3)). If the plant is strongly non-linear or its characteristics vary dramatically with time, Linear Time Invariant (LTI) prediction accuracy might degrade significantly, and MPC performance will become unacceptable. Non-linear MPC can address this by adapting the prediction model for changing operating conditions and using the non-linear constraints of the system. As the QP optimization algorithm is not suitable for this kind of problem, this MPC will need a more complex approach, such as the interior point method [19].
Various studies have been successively applied to simple predictive control systems reporting great practical improvements in terms of adaptability and robustness [3]. A non-linear MPC scheme should therefore help us to better cope with more complex non-linear models and constraints, but at the expense of computational cost because it requires updating the model matrices at each time step, which might not be the most appropriate for fast control systems [32].

2.2.6. Continuous Control Set Augmented MPC (CCS-a-MPC)

Another limitation with ordinary state feedback controllers is that they lack integral action. This may lead to stationary control errors. An extra integrator at the controller inputs can be used to eliminate the steady-state error resulting from a load torque disturbance or model inaccuracy. The optimized control trajectory is either the increment in the control signal (discrete-time case) or the derivative of the control signal (continuous-time case) [13,33,34]. As the original plant model is extended with integrators, the controller is augmented with a state that represents the integral of the control error and thus adds integral action. However, the structure of the controller, operating based on this augmented state-space model, is more demanding in terms of memory size and computation time.
The space-state model of the controller can therefore be reformulated with Equation (6), as described in [13]:
x a ( k + 1 ) = A a x a ( k ) + B a Δ u ( k )
y ( k ) = C a x a ( k )
where
Δ x m ( k ) = x m ( k ) x m ( k 1 ) Δ u ( k ) = u ( k ) u ( k 1 ) x a ( k ) = Δ x m ( k ) y ( k ) B a = B m C m B m A a = A m 0 C m A m 1 C a = 0 1

2.2.7. Continuous Control Set Augmented MPC with Extended Kalman Filter (CCS-a-MPC+EKF)

In the case of IPMSM control, an augmented model may not be enough to reduce the impact of e-motor parameter deviation. This work also explores the impact of a parameter estimator for the ψ and R s values of the plant and examines how more accurate values can impact control performances. The chosen estimator is an Extended Kalman Filter (EKF). Even if this estimator is generally used for state estimation, it can still be accurate for IPMSM parameter estimation [28]. The EKF used in our work is mathematically described in [28].

3. Methodology

3.1. Simulation Environment

The comparison study is based on simulations using a Model In the Loop (MIL) environment from Matlab, Simulink™, following the setup described in Figure 2. Reference currents i d * and i q * were integrated in LUTs depending on torque and speed setpoints. A total of 25 setpoints were selected to properly cover the full working range of the IPMSM, further ensuring that the various measurements collected reflect every aspect of the controller’s performance. Each setpoint represents one static simulation and each pair of setpoints represent two dynamic simulations. The speed varied from 500 rpm up to 16,000 rpm, and the torque was in the range of 20 Nm to 310 Nm. Each point was defined such that P m a x was never exceeded. The dynamic scenarios are based on ramp transitions between setpoints. The ramp slope was chosen to reflect a realistic scenario of a user accelerating or braking their vehicle. The e-motor parameters (Table 4) were extracted from a real traction device used in BEVs. The parameters were precalculated using an FEA tool and updated at run-time based on the reconstructed i d and i q currents. L d and L q have different values, given that the e-motor is salient. V d c is a constant set at 705 V.
In this work, Space Vector Pulse Width Modulation (SVPWM) was used for the indirect controller modulation, with two configurations: 20 kHz and 40 kHz. These were used to assess the effect of the switching frequency on the controller performance. As for the switching frequency of direct controllers, it was set to a maximum value of 50 kHz (corresponding to the sample frequency of 100 kHz). In reality, as can be seen in the simulation results, the switching frequency of direct controllers rarely exceeds 20 kHz. The considered architecture of the inverter was a two-level voltage source with ideal switches and 2 μ s Dead Time Insertion (DTI).

3.2. Field-Oriented Control Reference

To assess the performance and quality of the different MPCs more effectively (Table 3), we consider a specific controller as a basic reference. FOC is the most interesting choice for this as it is the state-of-the-art technique used in the automotive industry to drive AC motors [35]. The FOC technique is usually implemented using two proportional integral regulators in a d / q frame, associated with a decoupling technique permitting the independent control of the currents in the d and q axes. It also features a flux weakening strategy for better performance.

3.3. Key Performance Indicator Description

To provide an objective means of comparison and evaluation, various metrics were defined to qualify and quantify the essential aspects of the controllers. These KPIs were normalized (all values between 0 and 1) and grouped in different categories, as reported in Table 5 and discussed in more detail below.
Static KPIs are proposed to address the steady-state performances of the system, focusing primarily on steady-state errors and system response under constant operating conditions. This characterization includes torque error and torque ripple. Dynamic KPIs are used to evaluate the response of the controllers under transient conditions due to sudden torque or speed variations (Table 4, T r q m a x , s l o p e , and S p d m a x , s l o p e ). The corresponding metrics include rise time, overshoot, settling time, and trailing error. In particular, the trailing error is the measured time lag between the reference and the reconstructed electromagnetic torque during a transition. This metric accounts for the responsiveness of the controller against changing operating conditions.
In order to provide a more objective energy analysis, specific power-related KPIs are defined: Total Harmonic Distortion (THD) and inverter losses. Inverter losses are products of the switching losses and conduction losses measured on the two-level inverter. These KPIs are evaluated when the system is in steady state and measured on a fixed number of electric periods. Real-time capability is also a crucial aspect of e-motor control. Estimating absolute performance is not possible due to the level of abstraction and simulation, but relative comparisons of MPC simulation times can be made to assess the differences in execution time. Therefore, a complexity KPI is introduced that represents the relative computation effort of a controller, calculated as a percentage of the complexity of the FOC. Although this KPI is only an approximation of controller performance (in terms of processing time), its full absence would be detrimental to the completeness of the comparison study. As hardware prototyping is very complex and time-consuming, it is impractical to fully implement all seven controllers. Using simulation times instead is a compromise made at the system level to help guide the comparison of controllers at an early stage of the development process. This should, however, ensure the correctness of relative comparisons between controllers. The implementation phase is planned afterwards. It will address one of the considered MPCs to validate the practical control of the IPMSM motor and the corresponding performances and quality of control. Finally, two novel KPIs are defined to derive two global metrics from the set of previous KPIs. The first one, S p m , can be used as a measure of the general robustness of the control system, and the second provides global summary scores S G ( C ) from the set of all previously defined KPIs (excluding complexity).
Parameters and measurement error sensitivity S p m is introduced to characterize the sensitivity of a controller to parameter deviation ( ψ and R s ) and noised current. A strong value reflects a high sensitivity to these potential deviations, which also translates into limited robustness. This KPI can therefore be considered an inverse measure of the robustness. The actual value of S p m is calculated using two configurations, with and without parameter deviations and noised current ( c o n f 1 and c o n f 2 , respectively, in Table 6). Deviations of ± 40 % , ± 5 % , and ± 1 % are considered for R s , ψ , and estimated currents, respectively. S p m is finally computed according to Expression (7) summing the relative error on all KPIs.
S p m = i N K P I K P I c o n   f 1 ( i ) K P I c o n   f 2 ( i ) K P I c o n   f 1 ( i )
A Global Score is defined to provide an overall comprehensive evaluation for each controller. This KPI, labeled S G ( C ) , is defined in Expression (8), where C can be one of the controllers listed in Table 3.
S G ( C ) = i N K P I K P I F O C 20 k H z ( i ) × w i i N K P I K P I C ( i ) × w i
Two implementations of S G ( C ) are actually calculated considering two sets of weights w i from Table 5. In the first case (referred to as standard), coefficients w i are all set to one: each (normalized) KPI has the same influence on the computation of the global score. In the second case (referred to as lossy), KPIs are weighted in a way that emphasizes the cost of THD and inverter losses. In both cases, this translates into a relative cost metric S G ( C ) , for which a high value entails better overall control quality compared to that of the FOC+SVPWM reference (20 kHz).

4. Results and Analysis

4.1. Exhaustive KPI Analysis

4.1.1. Steady-State Conditions

Torque error: Parameters and current deviations ( c o n f 2 , Table 6) are useful for assessing the ability of MPC strategies to track a constant torque reference (i.e., in stationary conditions). Different levels of torque accuracy are reported in Figure 3 for high e-motor speeds (16,000 rpm). The worst results are reported for CCS-l-MPC and Continuous Control Set non-linear MPC (CCS-nl-MPC) (merged with green trace, on the right of Figure 3), which reflects the difficulty for predictive controllers to compensate for internal model discrepancies. Causing such over-torque can provoke uncontrolled behavior and may become dangerous for the customer. At lower speeds, this becomes less of an issue as the controller has more time to overcompensate. The integral action of the augmented model alleviates this concern in the Continuous Control Set augmented MPC (CCS-a-MPC). But as can be seen from the plots, this is not enough to eliminate the steady-state error. The addition of a parameter estimation scheme in the Continuous Control Set augmented MPC with Extended Kalman Filter (CCS-a-MPC+EKF) efficiently addresses the issue and helps reduce the difference, with this controller showing less torque error than the FOC reference. As for direct controllers, the deviation in parameters for FCS-MPC and SO-FCS-MPC (left of Figure 3) does not intensify the deviations from torque reference, leading globally to an acceptable level of steady-state error.
Torque ripple: The electromagnetic torque ripple is mainly dependent on the modulation generating high-frequency harmonics. The ripple effect resulting from inverter switching is smaller at higher switching frequency. Moreover, as the system is controlled in three phases, the resolution of the modulation scheme is also a big player in the ripple effect (impacting the correlation between phases). Therefore, with direct MPCs having an internal clock rate of 100 kHz, the resolution of the modulation scheme is degraded compared to the PWM generator (internal clock at 10 MHz). As can be observed in Figure 3, torque ripple is affected. Direct MPCs show 10 Nm peak-to-peak ripple, against 2 Nm (five times less) for indirect controllers. This difference has a significant impact on control quality, especially on THD as more rippling brings more harmonics and current distortion (inducing more e-motor losses). The problem is amplified at low torque (under 10 Nm), emphasizing the main limitation of direct control methods. As for every indirect MPC, the level of torque ripple is very similar to that of the FOC (Figure 3). As modulation is the main cause of the ripple effect, minimal differences can be observed between controllers employing the same modulation scheme.

4.1.2. Dynamic Response

Rise Time and Settling Time: Figure 4 illustrates the characteristics of a ramp response for direct controllers (left) and indirect controllers including FOC (right), against the torque reference signal. It can be noted that, except for the FOC signal, all traces overlap to a large extent. Differences between MPCs are barely noticeable (note also that CCS-a-MPC is completely hidden behind CCS-a-MPC+EKF in Figure 4). Relative to the FOC, all predictive controllers show a five-fold settling time and rise time reduction, confirming the greater effectiveness of MPCs in transient conditions.
Overshoot: The level of overshoot is determined using a ±20,000 Nm · s 1 torque ramp command, as shown in Figure 4. It is considered independent from previous torque error or ripple effect and measured before system stabilization. Even if all different controllers have relatively low levels of overshoot (all under 1%), indirect controllers perform slightly better than direct MPCs. The best results are reported for the indirect augmented MPC with an overshoot of 0.47% on average. The indirect augmented MPC with EKF observer generates slightly more overshoot (0.86%). This is mostly due to the response time of the Extended Kalman Filter, which relies on state covariance matrix updates to maintain an optimal estimate of the state vector. FOC presents an average overshoot of 1.57% in comparison.
Trailing error: The trailing error provides a broad measure of the ability of a controller to track a dynamic reference without latency. This KPI relates to the visible part of Figure 4 between 0.3 s and 0.315 s. All MPCs outperform the FOC on this KPI, with trailing errors of 30 μ s (indirect MPCs) and 100 μ s (direct MPCs) against 1 ms (FOC). The difference between direct and indirect controllers comes from the use of shorter horizons for direct FCS-MPC and SO-FCS-MPC. Finally, the best results are obtained by CCS-a-MPC+EKF, which greatly benefits from the augmented state and observer features to handle more complex non-linearities.

4.1.3. KPI Losses

To address a relevant measure of the global energy efficiency for the different controllers, the following metrics are considered: THD and inverter Losses. These two KPIs are illustrated in Figure 5 and Figure 6. Each point corresponds to a [Mechanical Speed, Electromechanical Torque] setpoint. To allow the simultaneous representation of speed and torque in the figures, measurement points are “regrouped” by focusing on gradual torque increase, with the corresponding speed reported on the x-axis.
THD: This KPI is defined as the ratio between the Root Mean Square (RMS) of all harmonics of the phase currents of the motor and the RMS of the fundamental frequency. The result is expressed as a percentage and can serve as a measure of the supplementary energy lost in the e-motor due to the distortion of phase currents (e.g., copper losses). The highest levels of THD are reported for direct MPCs. Especially for low torque values between ± 10 Nm (Figure 5b), the FCS-MPC reports up to 228% of THD, where FOC (20 kHz) reaches 67% at most. For the same range, SO-FCS-MPC has three times less distortion than the original FCS-MPC. However, both controllers globally underperform against FOC, even when SVPWM is set at 20 kHz (Figure 5). These results confirm the effect of the modulation strategy on THD and the electromagnetic torque ripple assessed in Section 4.1.1. As for indirect MPCs, THD profiles (not represented in Figure 5 for clarity) overlap with FOC as they use the same modulation scheme. For every indirect controller, increasing the SVPWM switching frequency (from 20 kHz to 40 kHz) decreases the THD.
Inverter losses: This KPI corresponds to the power lost inside the inverter. Looking at Figure 6, a clear difference can be observed between the 20 kHz and 40 kHz configurations (for the sake of clarity, only one indirect MPC is displayed as they all overlap with each other). For all indirect controllers, losses are reduced for the 20 kHz SVPWM because decreasing the switching frequency induces less switching losses. However, the direct counterpart is an increase in THD (Figure 5) along with more computation effort (see Section 4.2.3 for more details).
Since inverter losses are very similar for the two direct MPCs, only SO-FCS-MPC is represented in Figure 6. In the absence of an explicit modulation block, direct MPCs show inverter energy savings of 28% on average compared to FOC. However, some setpoints on Figure 6 (e.g., [3500 rpm, 200 Nm] or [3500 rpm, 300 Nm]) indicate that direct MPCs can be less efficient than FOC (20 kHz). This suggests that optimal solutions were not found for these setpoints, resulting in a suboptimal command being applied to the e-motor. A solution to this problem is to increase the prediction horizon, but at the price of a significant increase in computational complexity. Even when considering this drawback, the average inverter loss reduction still makes FCS-MPC and SO-FCS-MPC relevant solutions for improving the overall efficiency of an IPMSM. However, indirect controllers allow the use of more advanced modulation strategies such as Optimized Pulse Pattern (OPP) [36], and further investigations are in progress to check their effective improvements against standard direct MPC approaches.

4.2. Global Analysis

4.2.1. Quality of Reference Tracking

The quality of each controller is first addressed in terms of reference tracking (in stationary and dynamic conditions) based on Section 4.1.1 and Section 4.1.2. Among the various controllers investigated in Figure 3 and Figure 4, CCS-a-MPC+EKF is leading the way, showing the best overall control quality with limited torque ripple, low steady-state error, and fast dynamic response across varying operating points. This indirect MPC benefits from the augmented state-space model and use of a Kalman Filter for parameter estimation, which improves robustness to inaccuracies and disturbances by 40% compared to CCS-a-MPC without an EKF (Figure 7). Conversely, direct MPCs stand out for their important amount of torque ripple, around three times higher than indirect MPCs (Figure 3). Thus, direct MPC should only be considered for real-life implementation if the ripple effect is reduced to a more acceptable level. Finally, it can be concluded that only CCS-a-MPC+EKF leads to an overall improvement over FOC in terms of reference tracking.

4.2.2. Robustness

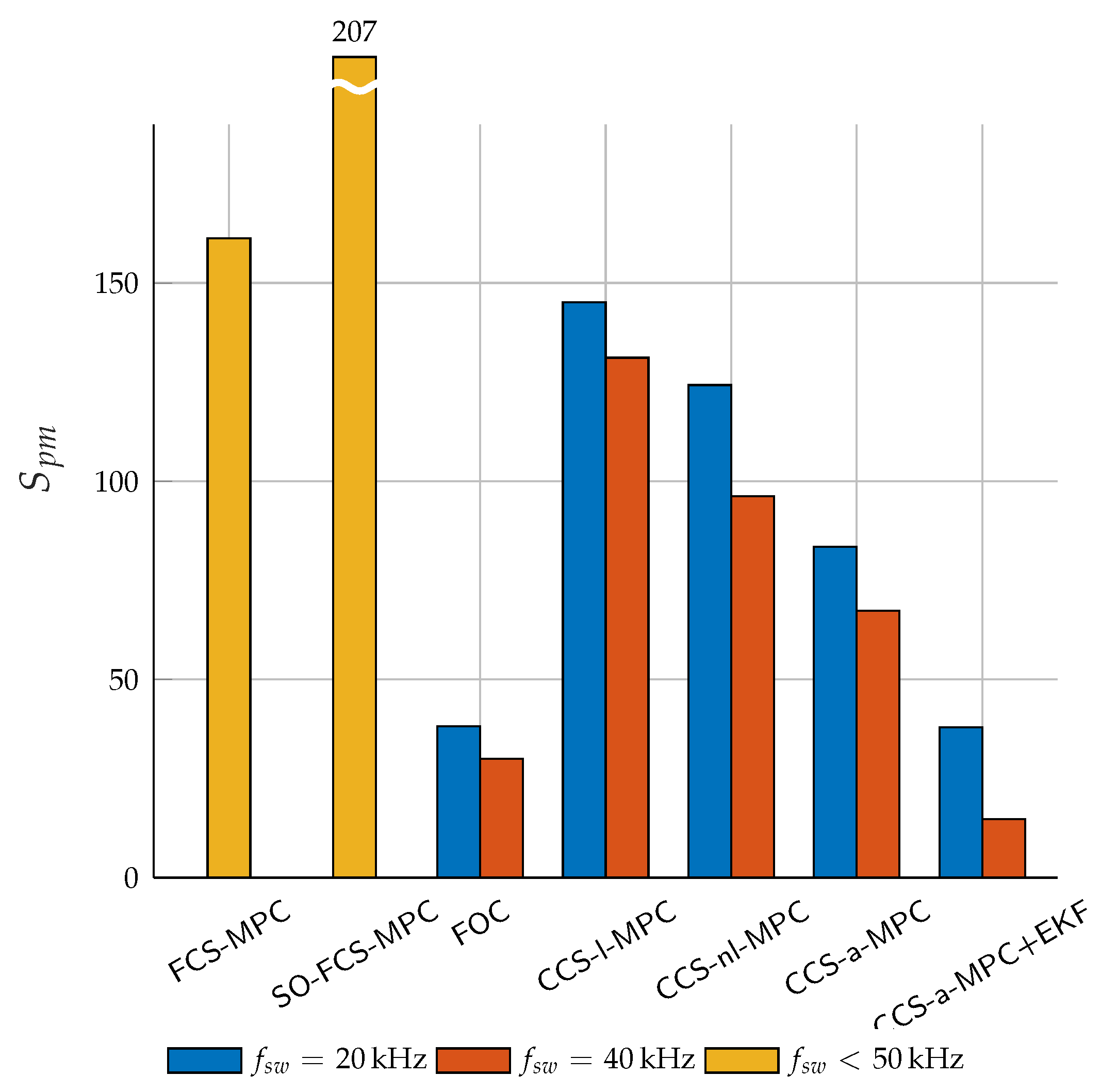
In the following, robustness is assessed based on the global parameters and measurement error sensitivity KPI ( S p m ). As can be observed in Figure 7, the two direct MPCs considered are highly sensitive to parameter deviations for the dynamic performance of the IPMSM. SO-FSC-MPC is actually 1.5 times more sensitive to errors than FCS-MPC. This poor resistance to disturbances highlights the need for a compensation scheme such as for parameter estimation to limit the degradation of control quality. Regarding indirect MPCs, only CCS-a-MPC+EKF is found to be more robust than FOC. This is fairly consistent with theory as FOC is, by construction, less dependent on the stability of e-motor parameters. The results shown in Figure 7 also show the positive outcome from an increased SVPWM frequency (from 20 kHz to 40 kHz), which improves the robustness of all indirect controllers by 30% on average, as there is more room for MPC to adjust the output voltage with more precision.

4.2.3. Complexity

The cost and complexity of MPCs are addressed in the following. Regarding the difficult consideration of practical execution times without the full hardware implementation of all controllers, we instead adopt a comparative estimation approach of Matlab™ simulation times relative to the FOC reference. In Figure 8, the complexity KPI clearly reflects the increased complexity inherent to indirect controllers such as CCS-a-MPC and CCS-a-MPC+EKF, with the additional processing required for real-time parameter estimation and state augmentation. The increase is more flagrant for CCS-a-MPC+EKF, where integral action and Kalman Filtering multiply the execution time by 3.2 compared to FOC. In contrast, FCS-MPC has the lowest complexity among the controllers under test (35% faster than FOC) as it benefits from a simplified control structure and smaller prediction horizon. As for SO-FCS-MPC, complexity is at a level close to that of CCS-a-MPC+EKF. However, this approach, derived from direct MPC, still needs research to address the current level of complexity.
When comparing the 20 kHz and 40 kHz configurations, increasing the switching frequency reduces complexity for most MPCs except CCS-a-MPC+EKF. This is because increasing switching frequencies improves the resolution level for input current and voltage, simplifying the optimization problem. In contrast, CCS-a-MPC+EKF needs more processing power at 40 kHz because Kalman Filtering requires more computations when switching frequency is higher. Future work will explore alternative parameter estimation approaches to address this.
The CCS-nl-MPC (20 kHz) appears to be an outlier in the global comparison results of Figure 8, illustrating a problem inherent to the nature of MPC. Due to the implemented optimization scheme, it is difficult to ensure the strict processing of worst-case execution times (WCETs). Indeed, an interior point method is used to solve the differential equations of Section 2.2.5, which struggles with finding the optimal solution in a reduced number of iterations in practice. This could be addressed by relaxing constraints (using soft instead of hard constraints) or leaving room for suboptimal solutions, but at the cost of degrading the overall control quality.

4.2.4. Global Control Quality Score

For each controller, a Global Score is calculated with respect to Equation (8) and plotted against complexity for standard and lossy weights ( w i ) in Figure 8 and Figure 9, respectively. When considering a balanced contribution of KPIs (i.e., standard  w i ), only augmented models (CCS-a-MPC and CCS-a-MPC+EKF) show interesting results with global scores above a value of 1, reflecting an actual gain compared to FOC (around 60% for CCS-a-MPC+EKF). CCS-a-MPC+EKF outperforms CCS-a-MPC with a 33% better score. For every indirect MPC (except CCS-a-MPC+EKF), moving from a 20 kHz to 40 kHz switching frequency reduces complexity (leaving room for optimization effort) but degrades the global score by 30% on average, mostly due to growing losses (Figure 8). Considering lossy weights (Figure 9), direct MPCs have the best results. Standard FCS-MPC is between 15% and twice better than other controllers, whereas SO-FCS-MPC is 60% to 2.7 times better. This difference confirms that the greatest strength of direct MPCs lies in the minimization of losses, but this is to the detriment of control quality. Thus, direct MPCs are promising candidates when energy efficiency is the primary design requirement. Therefore, CCS-a-MPC+EKF is more recommended for control quality while SO-FCS-MPC may be more relevant for minimizing losses. Both approaches pose great design challenges for real-time implementation, which will be addressed in upcoming work using hardware-accelerated platforms such as the Silicon Mobility ACU.

5. Conclusions

This paper investigated the effectiveness of different MPC strategies for controlling IPMSMs in BEV and PHEV traction applications, especially in comparison with FOC, the current industry benchmark. If the various MPCs considered in this study tend to perform better than FOC notably in terms of dynamic response, it is at the expense of increased control complexity. There are also important variations in the results among the different types of MPC.
At first sight, simulation results point out the efficiency of some advanced indirect approaches (CCS-MPC), especially those implementing integral action (CCS-a-MPC) and state estimation (CCS-a-MPC+EKF), achieving better accuracy and robustness. For indirect models based on linearization (CCS-l-MPC) or adaptive control (CCS-nl-MPC), the observed lack of robustness is not compensated by any other advantage (like low implementation cost), making them unsuitable for BEV traction applications.
On the other hand, when considering global losses, SO-FCS-MPC has the best results. While slightly degrading the THD, SO-FCS-MPC significantly improves inverter losses. Therefore, a legitimate interest still remains by extending direct MPC controllers with a parameter estimator for better quality (e.g., to reduce the level of torque ripple) and increased robustness. This will be further investigated in future work on the basis of the introduced SO-FCS-MPC. The full ACU implementation of SO-FCS-MPC with an estimator and CCS-a-MPC+EKF are therefore planned to verify practical control efficiency and real-time ability. Concerning CCS-a-MPC+EKF, other techniques of parameter estimation will also be explored instead of the Extended Kalman Filter (e.g., neural networks) to improve processing complexity.

Author Contributions

Conceptualization, R.C., S.B. and M.E.-M.; methodology, R.C., S.B. and M.E.-M.; software, R.C.; validation, R.C.; formal analysis, R.C.; investigation, R.C.; resources, K.D.; data curation, R.C.; writing—original draft, R.C. and S.B.; writing—review and editing, M.E.-M. and K.D.; visualization, R.C. and S.B.; supervision, S.B., M.E.-M. and K.D.; project administration, K.D.; funding acquisition, K.D. All authors have read and agreed to the published version of the manuscript.

Funding

Association Nationale de la Recherche et de la Technologie (ANRT).

Data Availability Statement

The data presented in this article are not readily available because they are part of an ongoing study. Requests to access data should be directed to the corresponding author.

Acknowledgments

The authors would like to thank the french ANRT for funding this research collaboration between Silicon Mobility (Intel Corp.) and LEAT (Université Côte d’Azur).

Conflicts of Interest

Authors Romain Cocogne, Mostafa El Mokadem, and Khaled Douzane were employed by the company Silicon Mobility. The remaining authors declare that the research was conducted in the absence of any commercial or financial relationships that could be construed as a potential conflict of interest.

Abbreviations

ACUAdaptive Control Unit
BEVBattery Electric Vehicle
CCS-a-MPCContinuous Control Set augmented MPC
CCS-a-MPC+EKFContinuous Control Set augmented MPC with Extended Kalman Filter
CCS-l-MPCContinuous Control Set linear MPC
CCS-MPCContinuous Control Set MPC
CCS-nl-MPCContinuous Control Set non-linear MPC
DTCDirect Torque Control
DTIDead Time Insertion
EKFExtended Kalman Filter
FCS-MPCFinite Control Set MPC
FEAFinite Element Analysis
FOCField Oriented Control
IPMSMInterior Permanent Magnet Synchronous Motor
KPIKey Performance Indicator
LTILinear Time Invariant
LUTLook Up Table
MHEMoving Horizon Estimation
MILModel In the Loop
MPCModel Predictive Control
PHEVPlug-in Hybrid Electric Vehicle
PIDProportional Integral Derivative
QPQuadratic Programming
RMPCRobust Model Predictive Control
RMSRoot Mean Square
SO-FCS-MPCSequenced Output Finite Control Set MPC
SVPWMSpace Vector Pulse Width Modulation
THDTotal Harmonic Distortion

References

  1. Sarac, V.; Iliev, D. Synchronous Motor of Permanent Magnet compared to Asynchronous Induction Motor. Electroteh. Electron. Autom. (EEA) 2017, 65, 51–58. [Google Scholar]
  2. Bash, M.; Pekarek, S.; Sudhof, S.; Whitmore, J.; Frantzen, M. A Comparison of Permanent Magnet and Wound Rotor Synchronous Machines for Portable Power Generation. In Proceedings of the 2010 Power and Energy Conference at Illinois (PECI), Urbana, IL, USA, 12–13 February 2010. [Google Scholar]
  3. Schwenzer, M.; Bergs, T.; Ay, M.; Abel, D. Review on model predictive control, an engineering perspective. Int. J. Adv. Manuf. Technol. 2021, 117, 1327–1349. [Google Scholar] [CrossRef]
  4. Yusivar, F.; Hidayat, N.; Gunawan, R.; Halim, A. Implementation of Field Oriented Control for Permanent Magnet Synchronous Motor. In Proceedings of the 2014 International Conference on Electrical Engineering and Computer Science (ICEECS), Kuta, Bali, Indonesia, 24–25 November 2014. [Google Scholar]
  5. Naoui, M.; Flah, A.; Hamed, M.B.; Sbita, L. Modeling and simulation of vector control for a Permanent Magnet Synchronous Motor in electric vehicle. In Proceedings of the 2021 4th International Symposium on Advanced Electrical and Communication Technologies (ISAECT), Alkhobar, Saudi Arabia, 6–8 December 2021. [Google Scholar]
  6. Korkmaz, F.; Topaloglu, I.; Çakir, M.; Gürbüz, R. Comparative performance evaluation of FOC and DTC controlled PMSM drives. In Proceedings of the 4th International Conference on Power Engineering, Energy and Electrical Drives, Istanbul, Turkey, 13–17 May 2013. [Google Scholar]
  7. Takahashi, I.; Noguchi, T. A New Quick-Response and High-Efficiency Control Strategy of an Induction Motor. IEEE Trans. Ind. Appl. 1986, IA-22, 820–827. [Google Scholar] [CrossRef]
  8. Casadei, D.; Profumo, F.; Serra, G.; Tani, A. FOC and DTC: Two viable schemes for induction motors torque control. IEEE Trans. Power Electron. 2002, 17, 779–787. [Google Scholar] [CrossRef]
  9. Cintron-Rivera, J.G.; Foster, S.N.; Nino-Baron, C.A.; Strangas, E.G. High Performance Controllers for Interior Permanent Magnet Synchronous Machines Using Look-up Tables and Curve-fitting Methods. In Proceedings of the 2013 International Electric Machines & Drives Conference, Chicago, IL, USA, 12–15 May 2013. [Google Scholar]
  10. Huang, Y.; Wang, H.; He, H.; Khajepour, A.; Ji, J. Model predictive control power management strategies for hybrid electric vehicles: A review. J. Power Sources 2017, 341, 91–106. [Google Scholar]
  11. Dong, H.; Hu, Q.; Li, D.; Li, Z.; Song, Z. Predictive Battery Thermal and Energy Management for Connected and Automated Electric Vehicles. IEEE Trans. Intell. Transp. Syst. 2025, 26, 2144–2156. [Google Scholar] [CrossRef]
  12. Douzane, K.; Vidal-Naquet, F.; Pernet, N.; Straub, C. Components and tooling to reduce complexity and cost in E/E powertrain system design for hybrid electric vehicles. In Proceedings of the 2013 World Electric Vehicle Symposium and Exhibition (EVS27), Barcelona, Spain, 17–20 November 2013. [Google Scholar]
  13. Chai, S.; Wang, L.; Rogers, E. Model predictive control of a permanent magnet synchronous motor with experimental validation. Control. Eng. Pract. 2013, 21, 1584–1593. [Google Scholar] [CrossRef]
  14. Li, Y.; Zhang, P.; Hang, J.; Ding, S.; Liu, L.; Wang, Q. Comparison of dynamic characteristics of field oriented control and model predictive control for permanent magnet synchronous motor. In Proceedings of the 2018 13th IEEE Conference on Industrial Electronics and Applications (ICIEA), Wuhan, China, 31 May–2 June 2018. [Google Scholar]
  15. Li, T.; Sun, X.; Lei, G.; Yang, Z.; Guo, Y.; Zhu, J. Finite-Control-Set Model Predictive Control of Permanent Magnet Synchronous Motor Drive Systems — An Overview. IEEE/CAA J. Autom. Sin. 2022, 9, 2087–2105. [Google Scholar] [CrossRef]
  16. Preindl, M.; Bolognani, S. Comparison of direct and PWM MPC for power electronic and drive systems. In Proceedings of the 2013 Twenty-Eighth Annual IEEE Applied Power Electronics Conference and Exposition (APEC), Long Beach, CA, USA, 17–21 March 2013. [Google Scholar]
  17. Xiao, F.; Chen, Z.; Chen, Y.; Liu, H. A finite control set model predictive direct speed controller for PMSM application with improved parameter robustness. Electr. Power Energy Syst. 2022, 143, 108509. [Google Scholar] [CrossRef]
  18. Mishra, I.; Tripathi, R.N.; Singh, V.K.; Hanamoto, T. Step-by-Step Development and Implementation of FS-MPC for a FPGA-Based PMSM Drive System. Electronics 2021, 10, 395. [Google Scholar] [CrossRef]
  19. Graf, M.; Otava, L.; Buchta, L. Simple Linearization Approach for MPC Design for Small PMSM with Field Weakening Performance. IFAC-PapersOnLine 2015, 48, 159–164. [Google Scholar] [CrossRef]
  20. Zanelli, A.; Kullick, J.; Eldeeb, H.; Frison, G.; Hackl, C.; Diehl, M. Continuous Control Set Nonlinear Model Predictive Control of Reluctance Synchronous Machines. IEEE Trans. Control. Syst. Technol. 2020, 30, 130–141. [Google Scholar]
  21. Wang, Y.J.; Rawlings, J.B. A new robust model predictive control method I: Theory and computation. J. Process Control. 2004, 14, 231–247. [Google Scholar] [CrossRef]
  22. Wang, Y.J.; Rawlings, J.B. A new robust model predictive control method. II: Examples. J. Process Control. 2004, 41, 249–262. [Google Scholar] [CrossRef]
  23. Lopez, B.; Slotine, J.J.; How, J. Dynamic Tube MPC for Nonlinear Systems. In Proceedings of the 2019 American Control Conference (ACC), Philadelphia, PA, USA, 10–12 July 2019. [Google Scholar]
  24. Gesser, R.S.; Lima, D.M.; Normey-Rico, J.E. Robust Model Predictive Control: Implementation Issues with Comparative Analysis. IFAC-PapersOnLine 2018, 51, 478–483. [Google Scholar] [CrossRef]
  25. Zhang, T.; Shi, P.; Li, W.; Yue, X. EKF enhanced MPC for rapid attitude stabilization of space robots with bounded control torque in postcapture. J. Frankl. Inst. 2023, 360, 7105–7127. [Google Scholar] [CrossRef]
  26. Tenny, M.; Rawlings, J. Efficient moving horizon estimation and nonlinear model predictive control. In Proceedings of the 2002 American Control Conference (IEEE Cat. No.CH37301), Anchorage, AK, USA, 8–10 May 2002. [Google Scholar]
  27. Wang, L. Model Predictive Control System Design and Implementation Using MATLAB; Springer: Berlin/Heidelberg, Germany, 2009. [Google Scholar]
  28. Li, X.; Kennel, R. General Formulation of Kalman-Filter-Based Online Parameter Identification Methods for VSI-Fed PMSM. IEEE Trans. Ind. Electron. 2021, 68, 2856–2864. [Google Scholar] [CrossRef]
  29. Zhu, Z.Q.; Liu, K.; Liang, D. Parameter Estimation of Permanent Magnet Synchronous Machines. In Modern Control and Optimization Theory–Based Parameter Estimation Algorithms; John Wiley & Sons, Ltd.: Hoboken, NJ, USA, 2025; Chapter 10; pp. 183–208. [Google Scholar] [CrossRef]
  30. Venkatesan, S.; Kamaraj, P.; Vishnu Priya, M. Speed control of permanent magnet synchronous motor using neural network model predictive control. J. Energy Syst. 2020, 4, 71–87. [Google Scholar] [CrossRef]
  31. Cocogne, R.; Bilavarn, S.; El-Mokadem, M.; Douzane, K. Control Enhancement of Traction Electric Drives Using Neural Network Predictive Controller. In Proceedings of the 2024 International Conference on Control, Automation and Diagnosis (ICCAD), Paris, France, 15–17 May 2024. [Google Scholar]
  32. Fukushimaa, H.; Kimb, T.H.; Sugie, T. Adaptive model predictive control for a class of constrained linear systems based on the comparison model. Automatica 2007, 43, 301–308. [Google Scholar] [CrossRef]
  33. Pilla, P.; Mwasilu, F.; Matee, E. Augmented Finite Control Set MPC Design Technique for Wide Speed Range Control of Permanent Magnet Synchronous Motor Drives. Tanzania 2023, 42, 95–107. [Google Scholar] [CrossRef]
  34. Ruscio, D.D. Model Predictive Control with Integral Action: A simple MPC algorithm. Model. Identif. Control. 2013, 34, 119–129. [Google Scholar] [CrossRef]
  35. Chen, H.; Gong, X.; Hu, Y.F.; Liu, Q.F.; Gao, B.Z.; Guo, H.Y. Automotive Control: The State of the Art and Perspective. Acta Autom. Sin. 2013, 39, 322–346. [Google Scholar] [CrossRef]
  36. Douzane, K.; Rinehart, L.; Keraudren, C.; Rodhain, S.; Tahiri, F. Inverter and Motor Efficiency Increase with FPCU Implementing Optimized Pulse Pattern Methods. In Proceedings of the 34th International Electric Vehicle Symposium and Exhibition (EVS34), Nanjing, China, 25–28 June 2021. [Google Scholar]
Figure 1. Voltage linear (blue) and non-linear (red) constraints.
Figure 1. Voltage linear (blue) and non-linear (red) constraints.
Wevj 16 00592 g001
Figure 2. Model-In-the-Loop configuration. Indirect mode: path (1); direct mode: path (2). i d , q * are the reference currents. ω e and V d c are constant across the whole system (no variation or delay between the plant and the control).
Figure 2. Model-In-the-Loop configuration. Indirect mode: path (1); direct mode: path (2). i d , q * are the reference currents. ω e and V d c are constant across the whole system (no variation or delay between the plant and the control).
Wevj 16 00592 g002
Figure 3. Steady-state comparison at 16,000 rpm, in the presence of parameter variations ( c o n f 2 ). (Right): direct MPCs; (Left): indirect MPCs and FOC.
Figure 3. Steady-state comparison at 16,000 rpm, in the presence of parameter variations ( c o n f 2 ). (Right): direct MPCs; (Left): indirect MPCs and FOC.
Wevj 16 00592 g003
Figure 4. Torque ramp comparison at 500 rpm, in the presence of parameter variations ( c o n f 2 ). (Left): direct MPCs; (Right): indirect MPCs and FOC.
Figure 4. Torque ramp comparison at 500 rpm, in the presence of parameter variations ( c o n f 2 ). (Left): direct MPCs; (Right): indirect MPCs and FOC.
Wevj 16 00592 g004
Figure 5. Total Harmonic Distortion. (a) Torque far from 0 Nm. (b) Torque close to 0 Nm.
Figure 5. Total Harmonic Distortion. (a) Torque far from 0 Nm. (b) Torque close to 0 Nm.
Wevj 16 00592 g005
Figure 6. Inverter losses. All indirect MPCs are not shown to help readability.
Figure 6. Inverter losses. All indirect MPCs are not shown to help readability.
Wevj 16 00592 g006
Figure 7. Parameters and measurement error sensitivity ( S p m ).
Figure 7. Parameters and measurement error sensitivity ( S p m ).
Wevj 16 00592 g007
Figure 8. Global score against complexity with standard  w i .
Figure 8. Global score against complexity with standard  w i .
Wevj 16 00592 g008
Figure 9. Global score against complexity with lossy  w i .
Figure 9. Global score against complexity with lossy  w i .
Wevj 16 00592 g009
Table 1. Nomenclature of e-motor parameters.
Table 1. Nomenclature of e-motor parameters.
NameNomenclatureUnit
D-axis current i d A
Q-axis current i q A
Phase current i s A
D-axis voltage v d V
Q-axis voltage v q V
Electrical speed ω e rad · s 1
Electrical angle θ e rad
Electrical torque T e Nm
Plant Stator resistance R s Ω
Model Stator resistance R ^ s Ω
Plant Permanent magnet flux ψ mWb
Model Permanent magnet flux ψ ^ mWb
D-axis inductance L d μ H
Q-axis inductance L q μ H
Number of pole pairs N p p -
Table 2. Nomenclature of controller parameters.
Table 2. Nomenclature of controller parameters.
NameNomenclatureUnit
Control horizon N c -
Prediction horizon N p -
Control horizon time T c μ s
Prediction horizon time T c μ s
Switching frequency f s w Hz
Reference currents i d * , i q * A
Predicted currents i ^ d , i ^ q A
Predicted voltages v ^ d , v ^ q V
Table 3. List of implemented MPCs with their horizons.
Table 3. List of implemented MPCs with their horizons.
TypeName N c N p T c ( μ s ) T p ( μ s )
DirectFCS-MPC34300
SO-FCS-MPC673040
IndirectCCS-l-MPC1015100150
CCS-nl-MPC1015100150
CCS-a-MPC1015100150
CCS-a-MPC+EKF1015100150
Table 4. Constant e-motor parameters used for simulations.
Table 4. Constant e-motor parameters used for simulations.
NameNomenclatureValue
DC-link voltage V d c 705 V
Number of pole pairs N p p 4
Stator resistance R s 12.19 m Ω
Nominal D-axis inductance L d n o m 140 μ H
Nominal Q-axis inductance L q n o m 472 μ H
Nominal permanent magnet flux ψ n o m 65.7 mWb
Maximum power P m a x 160 kW
Sampling frequency f s 100 kHz
Sampling time T s 10 μ s
Maximum phase voltage υ s m a x 407 V
Maximum phase current i s m a x 720 A
Maximum current slope i s m a x , s l o p e 50,000 A · s 1
Maximum torque slope T r q m a x , s l o p e 20,000 Nm · s 1
Maximum speed slope S s d m a x , s l o p e 100,000 rpm · s 1
Table 5. List of KPIs with different weight configurations used for the Global score in (Equation (8)).
Table 5. List of KPIs with different weight configurations used for the Global score in (Equation (8)).
TypeName w i
NormalLossy
StaticTorque error(Nm)10.1
Torque ripple(Nm)10.1
DynamicRise time(s)10.1
Settling time(s)10.1
Overshoot(%)10.1
Trailing error(s)10.1
LossesTHD(%)110
Inverter losses(W)110
CostComplexity-00
GlobalGlobal score-xx
P&M error sensitivity-xx
Table 6. Parameter deviation and current noise configurations for MIL simulations.
Table 6. Parameter deviation and current noise configurations for MIL simulations.
Name R ^ s ψ ^ i s
c o n   f 1 R s ψ i s , p l a n t
c o n   f 2 R s ± 40 % ψ ± 5 % i s , p l a n t ± 1 %
Disclaimer/Publisher’s Note: The statements, opinions and data contained in all publications are solely those of the individual author(s) and contributor(s) and not of MDPI and/or the editor(s). MDPI and/or the editor(s) disclaim responsibility for any injury to people or property resulting from any ideas, methods, instructions or products referred to in the content.

Share and Cite

MDPI and ACS Style

Cocogne, R.; Bilavarn, S.; El-Mokadem, M.; Douzane, K. Comparison of Advanced Predictive Controllers for IPMSMs in BEV and PHEV Traction Applications. World Electr. Veh. J. 2025, 16, 592. https://doi.org/10.3390/wevj16110592

AMA Style

Cocogne R, Bilavarn S, El-Mokadem M, Douzane K. Comparison of Advanced Predictive Controllers for IPMSMs in BEV and PHEV Traction Applications. World Electric Vehicle Journal. 2025; 16(11):592. https://doi.org/10.3390/wevj16110592

Chicago/Turabian Style

Cocogne, Romain, Sebastien Bilavarn, Mostafa El-Mokadem, and Khaled Douzane. 2025. "Comparison of Advanced Predictive Controllers for IPMSMs in BEV and PHEV Traction Applications" World Electric Vehicle Journal 16, no. 11: 592. https://doi.org/10.3390/wevj16110592

APA Style

Cocogne, R., Bilavarn, S., El-Mokadem, M., & Douzane, K. (2025). Comparison of Advanced Predictive Controllers for IPMSMs in BEV and PHEV Traction Applications. World Electric Vehicle Journal, 16(11), 592. https://doi.org/10.3390/wevj16110592

Article Metrics

Article metric data becomes available approximately 24 hours after publication online.
Back to TopTop