Sign in to use this feature.

Years

Between: -

Subjects

remove_circle_outline
remove_circle_outline
remove_circle_outline
remove_circle_outline
remove_circle_outline
remove_circle_outline
remove_circle_outline
remove_circle_outline
remove_circle_outline

Journals

remove_circle_outline
remove_circle_outline
remove_circle_outline
remove_circle_outline
remove_circle_outline
remove_circle_outline
remove_circle_outline
remove_circle_outline
remove_circle_outline
remove_circle_outline
remove_circle_outline
remove_circle_outline

Article Types

Countries / Regions

remove_circle_outline
remove_circle_outline
remove_circle_outline
remove_circle_outline
remove_circle_outline
remove_circle_outline
remove_circle_outline

Search Results (1,849)

Search Parameters:
Keywords = fatigue simulation

Order results
Result details
Results per page
Select all
Export citation of selected articles as:
17 pages, 3070 KB  
Article
Assessing the Impact of Forests on Wind Flow Dynamics and Wind Turbine Energy Production
by Svetlana Orlova, Nikita Dmitrijevs, Marija Mironova, Edmunds Kamolins and Vitalijs Komasilovs
Wind 2026, 6(1), 10; https://doi.org/10.3390/wind6010010 - 5 Mar 2026
Abstract
Forests play a vital role in influencing wind flow by modifying turbulence intensity and vertical wind shear. Because wind turbines are susceptible to these conditions, accurately characterising wind flow in forested environments is vital to ensuring structural reliability and realistic energy-yield assessments. In [...] Read more.
Forests play a vital role in influencing wind flow by modifying turbulence intensity and vertical wind shear. Because wind turbines are susceptible to these conditions, accurately characterising wind flow in forested environments is vital to ensuring structural reliability and realistic energy-yield assessments. In Latvia, where approximately 51.3% of the territory is covered by forests; the likelihood of wind turbine deployment in such areas is considerable. However, wind behaviour within and above forests is complex and strongly influenced by canopy effects, which in turn affect wake dynamics, structural fatigue, and power production. Advancing research in this field is therefore crucial for improving the accuracy of wind resource assessment and supporting evidence-based engineering solutions that enable the sustainable development of wind energy. Wind conditions were evaluated using NORA3 reanalysis data. Wake effects were simulated with the Jensen wake model to estimate annual energy production (AEP), which then informed levelised cost of energy (LCOE) calculations at various hub heights. The results indicate clear seasonal variability and show that increasing hub height leads to higher AEP and lower LCOE, owing to higher wind speeds and reduced turbulence. For forest heights of 0–25 m, the AEP loss increases from 7.8% (hub height = 199 m) to 22.9% (hub height = 114 m). Higher hub heights are also less sensitive to canopy-induced variability, reducing the impact of forest-related turbulence on energy production. Full article
Show Figures

Figure 1

15 pages, 6687 KB  
Article
Investigation on the Influence of Chemical Compounds in the Failure Mechanism Puncture Zones in Reinforced Rubber
by Vasile Gheorghe, Dan Cristian Cuculea and Eliza Chircan
ChemEngineering 2026, 10(3), 37; https://doi.org/10.3390/chemengineering10030037 - 4 Mar 2026
Abstract
This study investigates the fatigue failure of fiber-reinforced rubber used in automotive shock-absorbing elements subjected to cyclic loads. A quantitative simulation model integrated with material analysis to predict the service life and performance decay of these viscoelastic dampers was introduced. Failure is governed [...] Read more.
This study investigates the fatigue failure of fiber-reinforced rubber used in automotive shock-absorbing elements subjected to cyclic loads. A quantitative simulation model integrated with material analysis to predict the service life and performance decay of these viscoelastic dampers was introduced. Failure is governed by a degradation factor that models accumulating fatigue damage and results in a predictable, cyclic loss of maximum force capacity; specifically, the model accurately predicts a 36.3% reduction in peak force (from 111.44 N to 70.97 N) over the first 10 fatigue cycles. Crucially, the model incorporates the non-linear stiffness behavior caused by a fiber pull-out mechanism, which transitions load resistance from high elastic integrity to lower frictional forces post-critical displacement. These findings establish a direct, quantitative link between microstructural failure (verified via SEM) and observed performance decay, offering key insights for maintenance planning and material selection. Full article
Show Figures

Figure 1

24 pages, 2019 KB  
Article
Evaluating the Influence of Input Features for Data-Based Estimation of Wind Turbine Blade Deflections
by Marcos D. Saavedra, Fernando A. Inthamoussou and Fabricio Garelli
Processes 2026, 14(5), 831; https://doi.org/10.3390/pr14050831 - 4 Mar 2026
Viewed by 38
Abstract
The increasing scale and structural flexibility of modern wind turbine rotors have made real-time monitoring and active control of blade tip deflection a critical requirement for ensuring operational safety, particularly regarding blade-tower clearance. Since direct measurement through physical sensors is often impractical due [...] Read more.
The increasing scale and structural flexibility of modern wind turbine rotors have made real-time monitoring and active control of blade tip deflection a critical requirement for ensuring operational safety, particularly regarding blade-tower clearance. Since direct measurement through physical sensors is often impractical due to high costs, installation difficulties and maintenance challenges, this work proposes a data-based framework for out-of-plane blade tip deflection estimation. The approach introduces a systematic and hierarchical input selection framework that evaluates sensor signal groups, ranging from standard SCADA measurements to configurations including auxiliary nacelle/tower sensors and dedicated blade-root instrumentation. By combining Spearman correlation and spectral coherence, the proposed framework ensures consistent representation of key turbine dynamics across all operating regions. This framework provides a structured trade-off between implementation feasibility and estimation fidelity, enabling tailored solutions for applications such as structural health monitoring and safety-critical active control. Compact Feedforward Neural Network (FNN) and Time-Delay Neural Network (TDNN) architectures, whose hyperparameters are optimized via Bayesian optimization, are employed to achieve high estimation accuracy while preserving computational efficiency. Evaluated through high-fidelity aeroelastic simulations of the NREL 5 MW turbine using the industry-standard FAST (Fatigue, Aerodynamics, Structures, and Turbulence) tool across all operating conditions, the approach achieves R2=0.894 using SCADA-only inputs, R2=0.973 when augmented with nacelle and tower-top sensors and a peak fidelity of R2=0.989 using blade-root bending moment data. These results demonstrate that high-fidelity virtual sensing is attainable without blade instrumentation, providing a viable pathway for real-time tip clearance monitoring and fatigue mitigation. This directly enhances the operational resilience of wind energy systems and their contribution to the stability of renewable-dominated power grids. Full article
Show Figures

Figure 1

17 pages, 15745 KB  
Article
The Influence of Hub Purge Flow Rate on Forced Response in a Low-Pressure Turbine
by Alexander Trafford, Sina Stapelfeldt, Gustavo Lopes and Sergio Lavagnoli
Int. J. Turbomach. Propuls. Power 2026, 11(1), 12; https://doi.org/10.3390/ijtpp11010012 - 2 Mar 2026
Viewed by 72
Abstract
We present the results of a computational investigation into the influence of hub purge flow mass flow rate on the forcing amplitudes generated on a low-pressure turbine (LPT) rotor cascade by the upstream stator vane passing (SVP). Forcing of this kind is a [...] Read more.
We present the results of a computational investigation into the influence of hub purge flow mass flow rate on the forcing amplitudes generated on a low-pressure turbine (LPT) rotor cascade by the upstream stator vane passing (SVP). Forcing of this kind is a major driver of high cycle fatigue (HCF) in turbines; however, the influence of hub purge flow, which is mandatory to seal cavities between stationary and rotating rows in turbines and to protect working components from excessively high temperatures, is minimally understood. This study was carried out via time-accurate unsteady aeroelastic simulations of the SPLEEN turbine cascade and is validated against the extensive database of test results obtained for this geometry at the Von Karman Institute for Fluid Dynamics. The effect of purge mass flow rates of 0.5% and 0.9% of the main passage flow are evaluated through measurement of the blade’s unsteady pressure and modal force at the SVP and compared to the nominal ‘no purge’ case. The introduction of purge flow was shown to reduce the amplitude of the unsteady pressure signal on the blade surface at the hub. However, a change in the phase of the unsteady pressure on certain portions of the blade could still bring about an increase in modal force for certain modes. Full article
Show Figures

Figure 1

17 pages, 2692 KB  
Article
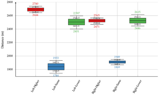
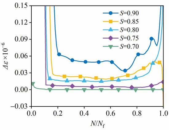
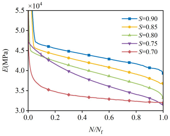
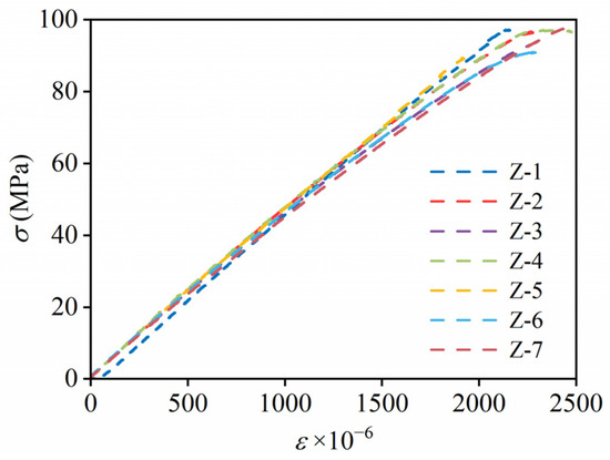
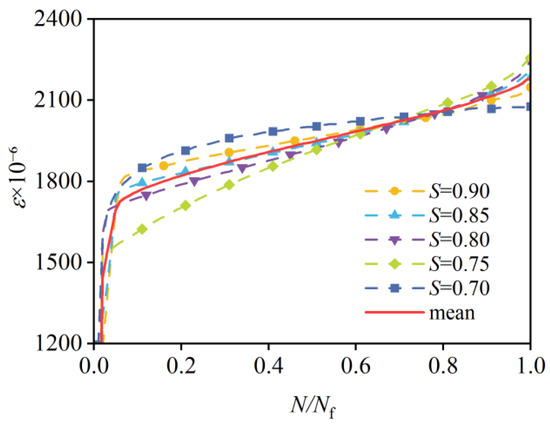
Experimental Investigation of High-Cycle Compressive Fatigue Performance of C80 High-Strength Concrete
by Laiyuan Qin, Jia Fu, Mingyi Zhang, Ruiquan Zhou, Weifeng Tao, Zhiqiang Wan and Pengfei Wang
Materials 2026, 19(5), 958; https://doi.org/10.3390/ma19050958 - 2 Mar 2026
Viewed by 162
Abstract
With the height of wind turbine towers increasing, the high-cycle fatigue performance of high-strength concrete has become important for structural design. This study systematically investigates the fatigue life, strain evolution, and stiffness degradation of C80 concrete under constant-amplitude cyclic compressive loading for a [...] Read more.
With the height of wind turbine towers increasing, the high-cycle fatigue performance of high-strength concrete has become important for structural design. This study systematically investigates the fatigue life, strain evolution, and stiffness degradation of C80 concrete under constant-amplitude cyclic compressive loading for a maximum stress level ranging from 0.70 to 0.90 and a minimum stress level of 0.10. Based on experimental data, S–N curves are obtained, and a prediction model of fatigue life and stiffness degradation is developed. The results reveal that fatigue strain evolves through three stages and that the second stage accounts for more than 90% of the overall fatigue life, exhibiting linear growth over time. The final strain in the second stage is very close to that in static compression tests, indicating the uniqueness of fatigue strain. In addition, the final strain in the second stage provides a better prediction of fatigue life than an S–N curve and facilitates real-time fatigue life prediction. Meanwhile, the stiffness degradation model more accurately simulates the stiffness degradation process of C80 concrete under fatigue load, laying a foundation for further finite element analysis of fatigue. This study addresses the gap in fatigue life prediction and stiffness degradation modeling for C80 concrete under high-cycle fatigue load, providing a valuable reference for designing safe and durable high-strength concrete structures such as wind turbine towers. Full article
(This article belongs to the Section Construction and Building Materials)
Show Figures

Figure 1

29 pages, 8925 KB  
Article
Full-Process Multiphysics Simulation and Experimental Study on the Fatigue Performance Enhancement of Butt-Welded Joints of QSTE700TM Through Ultrasonic Impact Treatment
by Huan Xue, Xiaojian Peng, Yanming Chen, Wenqian Zhang, Saiqing Xu, Kaixian Li and Jianwen Li
Appl. Sci. 2026, 16(5), 2397; https://doi.org/10.3390/app16052397 - 28 Feb 2026
Viewed by 148
Abstract
Ultrasonic Impact Treatment (UIT), a prevalent surface-strengthening technology for welded structures, combines mechanical shock and ultrasonic vibration to induce plastic deformation and beneficial residual compressive stress at weld toes, effectively enhancing welded joint fatigue performance. This study adopts a full-process numerical simulation approach, [...] Read more.
Ultrasonic Impact Treatment (UIT), a prevalent surface-strengthening technology for welded structures, combines mechanical shock and ultrasonic vibration to induce plastic deformation and beneficial residual compressive stress at weld toes, effectively enhancing welded joint fatigue performance. This study adopts a full-process numerical simulation approach, integrating the finite element software ABAQUS and FE-SAFE fatigue-life prediction platform to investigate QSTE700TM high-strength automotive steel butt joints. Considering welding-induced initial residual stress, ABAQUS simulates the welding and subsequent UIT processes; explicit dynamic analysis reveals residual stress evolution, with pre- and post-UIT stress-distribution comparisons. The post-UIT residual stress field is input into a static tensile model to obtain load-stress distributions, which are then imported into FE-SAFE with S-N curves for fatigue-life prediction. Simulation results align well with experimental data: UIT improves the fatigue limit of welded specimens by 31.3% and unwelded ones by 42.9%. Additionally, optical and scanning electron microscopes observe fatigue fracture morphologies to further clarify UIT’s fatigue-enhancement mechanism. Full article
Show Figures

Figure 1

20 pages, 4182 KB  
Article
Experimental Evaluation of Sealing Performance at the First and Second Interfaces of Cement Sheath Under Cyclic Loading
by Qiqi Ying, Lei Wang, Zhenhui Bi, Yintong Guo, Yuxiang Jing and Chuanfu Sun
Processes 2026, 14(5), 805; https://doi.org/10.3390/pr14050805 - 28 Feb 2026
Viewed by 152
Abstract
With the development of unconventional oil and gas resources (such as shale gas and tight oil/gas), the widespread application of multistage fracturing technology has significantly increased the difficulty of wellbore integrity maintaining. The cement sheath serves as the core barrier for preserving wellbore [...] Read more.
With the development of unconventional oil and gas resources (such as shale gas and tight oil/gas), the widespread application of multistage fracturing technology has significantly increased the difficulty of wellbore integrity maintaining. The cement sheath serves as the core barrier for preserving wellbore integrity, particularly at the first interface (cement–casing) and the second interface (cement–formation). The high temperature, high pressure, and cyclic dynamic loading imposed by multistage fracturing represent severe challenges to the integrity of cement sheath. To simulate underground conditions realistically, a high-temperature, complex stress path loading system coupled with real-time gas flow monitoring was developed. Using this system, gas leakage monitoring and displacement-controlled cyclic loading tests were conducted on cement–steel (simulating the first interface) and cement–shale (simulating the second interface) composite specimens. It focused on investigating the effects of different temperatures, cyclic stress levels, and cycle counts on the sealing performance of the cement–steel and cement–shale composites. The findings reveal that elevated temperatures significantly degrade cement properties and accelerate damage accumulation. Cyclic stress levels and cycle counts are core drivers of interface fatigue failure, exhibiting synergistic destructive effects with temperature. The first interface is more prone to seal failure due to material property differences and a relatively high stress level. This research elucidates the cumulative damage mechanism underlying interfacial seal failure. It is of significant engineering implications for enhancing well safety and development efficiency. Full article
(This article belongs to the Special Issue Advanced Research on Marine and Deep Oil & Gas Development)
Show Figures

Figure 1

21 pages, 4097 KB  
Article
Early Detection of Flying Obstacles Using Optical Flow to Assist the Pilot in Avoiding Mid-Air Collisions
by Daniel Vera-Yanez, António Pereira, Nuno Rodrigues, José Pascual Molina, Arturo S. García and Antonio Fernández-Caballero
Appl. Sci. 2026, 16(5), 2388; https://doi.org/10.3390/app16052388 - 28 Feb 2026
Viewed by 84
Abstract
The seemingly endless expanse of the sky might suggest that it could support a large volume of aerial traffic with minimal risk of collisions. However, mid-air collisions do occur and are a significant concern for aviation safety. Pilots are trained in scanning the [...] Read more.
The seemingly endless expanse of the sky might suggest that it could support a large volume of aerial traffic with minimal risk of collisions. However, mid-air collisions do occur and are a significant concern for aviation safety. Pilots are trained in scanning the sky for other aircraft and maneuvering to avoid such accidents, which is known as the basic see-and-avoid principle. While this method has proven effective, it is not infallible because human vision has limitations, and pilot performance can be affected by fatigue or distraction. Despite progress in electronic conspicuity (EC) systems, which effectively increases the visibility of aircraft to other airspace users, their utility as collision avoidance systems remains limited. This is because they are recommended but not mandatory in uncontrolled airspace, where most mid-air accidents occur, so other aircraft may not mount a compatible device or have it inactive. In addition, their use carries some risks, such as causing pilots to over-focus on them. In response to these concerns, this paper presents evidence on the utility of using an optical flow-based obstacle detection system that can complement the pilot and electronic visibility in collision avoidance, but that, unlike pilots, neither gets tired like the pilot does nor depends on whether other aircraft have mounted devices, such as EC devices. The current investigation demonstrates that the proposed optical flow-based obstacle detection system meets or exceeds the critical minimum time required for pilots to detect and react to flying obstacles (12.5 s) using a mid-air collision simulator in various test environments. Full article
Show Figures

Figure 1

11 pages, 5581 KB  
Article
Experimental and Crystal Plasticity Modeling Investigation of Micromechanical Fatigue Behavior of Ti-6Al-4V
by Huanhuan Chen, Wei Li, Zhengming Qian, Dong Mi, Haihui Wu, Yiting Tang, Can Wu, Ziyue Zhang, Tiezheng Tang, Siqi Zhang and Dongfeng Li
Metals 2026, 16(3), 275; https://doi.org/10.3390/met16030275 - 28 Feb 2026
Viewed by 124
Abstract
This study presents a predictive method for the fatigue behavior of Ti-6Al-4V based on a crystal plasticity finite element (CPFE) model. A thermally activated constitutive model is calibrated using experimental cyclic stress–strain data. The calibrated model simulates the macroscopic cyclic response and grain-scale [...] Read more.
This study presents a predictive method for the fatigue behavior of Ti-6Al-4V based on a crystal plasticity finite element (CPFE) model. A thermally activated constitutive model is calibrated using experimental cyclic stress–strain data. The calibrated model simulates the macroscopic cyclic response and grain-scale deformation heterogeneity. By analyzing the simulated micromechanical fields, a scalar fatigue indicator parameter (FIP) is defined based on the accumulated inelastic work. The predictive capability of this FIP is validated against experimental data at multiple stress levels, demonstrating its effectiveness for microstructure-sensitive fatigue assessment. Full article
(This article belongs to the Section Computation and Simulation on Metals)
Show Figures

Figure 1

16 pages, 3799 KB  
Article
Structural Performance with Long-Term Behavior and Environmental Assessment of Cement-Bound Granular Mixtures with Anhydrous Calcium Sulphate: An Experimental and Numerical Investigation
by Andrea Serpi, James Rombi, Gustavo Boada-Parra, Francesca Maltinti and Mauro Coni
Constr. Mater. 2026, 6(2), 17; https://doi.org/10.3390/constrmater6020017 - 28 Feb 2026
Viewed by 103
Abstract
In recent decades, the need to embrace the concepts of the circular economy and ecological transition has become increasingly apparent, especially in the civil engineering sector. This research aims to study a Cement-Bound Granular Material (CBGM) pavement layer using the industrial by-product Anhydrous [...] Read more.
In recent decades, the need to embrace the concepts of the circular economy and ecological transition has become increasingly apparent, especially in the civil engineering sector. This research aims to study a Cement-Bound Granular Material (CBGM) pavement layer using the industrial by-product Anhydrous Calcium Sulphate (ACS) as a partial replacement for Portland Cement (PC) by weight. The dual objective is to reduce environmental impact and ensure long-term high mechanical performance. Mechanical tests conducted at different curing periods (7, 28, 96, and 120 days) showed compressive strength gains of up to 180%. The evolution of the mechanical behavior was correlated with the formation of the gypsum dihydrate and ettringite hydrated phases, found by quantitative XRD analysis, to reinforce the cement matrix. Finite element simulations and fatigue life predictions using Miner’s rule over pavement lifespans of 15, 20, and 30 years indicated an increase in durability by a factor of 4.68 for the ACS-enhanced mixture compared to traditional PC-only formulations. Leaching tests show the material performs within acceptable environmental thresholds, even if its classification and acceptance may differ across regulatory systems, suggesting a solid basis for its application in sustainable practices. Full article
(This article belongs to the Special Issue Innovative Materials and Technologies for Road Pavements)
Show Figures

Figure 1

24 pages, 3042 KB  
Article
LightGBM-CH Prediction Method for Fatigue Life of Elastic Wheel on Soft Ground
by Xin Yuan, Mujia Shi, Dong Wang and Lihang Feng
Appl. Sci. 2026, 16(5), 2329; https://doi.org/10.3390/app16052329 - 27 Feb 2026
Viewed by 125
Abstract
The operational reliability of the elastic wheel, essential for specialized vehicle mobility on complex terrain, is critically constrained by fatigue failure under multi-axis ground loads. While high-fidelity physics-based simulation provides an accurate assessment, its “one-simulation-per-test” paradigm is inefficient for exploring multi-condition, multi-parameter designs. [...] Read more.
The operational reliability of the elastic wheel, essential for specialized vehicle mobility on complex terrain, is critically constrained by fatigue failure under multi-axis ground loads. While high-fidelity physics-based simulation provides an accurate assessment, its “one-simulation-per-test” paradigm is inefficient for exploring multi-condition, multi-parameter designs. Conversely, purely data-driven methods are hindered by the scarcity of high-quality fatigue data. This paper proposes LightGBM-CH, an integrated framework that couples Discrete Element Method–Multi-Body Dynamics (DEM-MBD) simulation with an enhanced LightGBM model to overcome these limitations. The framework first converts high-fidelity simulations into a configurable data generator, producing batches of dynamic load–stress response data. A physics-informed feature engineering scheme then extracts 122 discriminative features characterizing six-dimensional loads, fatigue damage metrics, and load–stress coupling. To address the “small-sample, high-dimensional” challenge, a tailored training strategy incorporating robust scaling, correlation-based feature selection, and stability-constrained hyperparameter optimization is developed. Simulation experiments demonstrate that the LightGBM-CH model achieves a determination coefficient of 0.9251 and a root mean square error of 67.06, significantly outperforming benchmark models in accuracy and generalization. The study validates the framework’s engineering efficacy, identifies key influencing factors such as peak–stress ratio, and provides an intelligent, data-informed pathway for fatigue-resistant elastic wheel design. Full article
(This article belongs to the Section Mechanical Engineering)
Show Figures

Figure 1

26 pages, 6439 KB  
Article
The Durability Assessment Methodology of Power Engineering Equipment Under Thermo-Mechanical Fatigue Using the Example of the HR6W Alloy
by Michał Paduchowicz, Tomasz Dobosz and Artur Górski
Materials 2026, 19(5), 891; https://doi.org/10.3390/ma19050891 - 27 Feb 2026
Viewed by 101
Abstract
This article presents an innovative methodology for assessing the durability of power engineering components under thermo-mechanical fatigue conditions. The approach integrates laboratory low-cycle fatigue tests of alloy specimens at elevated temperatures, measurements of working-medium parameters obtained from operating industrial equipment, and numerical simulations [...] Read more.
This article presents an innovative methodology for assessing the durability of power engineering components under thermo-mechanical fatigue conditions. The approach integrates laboratory low-cycle fatigue tests of alloy specimens at elevated temperatures, measurements of working-medium parameters obtained from operating industrial equipment, and numerical simulations performed using the finite element method. Durability is estimated on the basis of curves describing the relationships between critical parameters such as the Coffin–Manson and Ostergren parameters and the number of cycles to failure. Within the region of the structure identified as the most susceptible to fatigue damage, the orientation of the critical plane is determined with respect to the corresponding criterion functions. This allows the calculated criterion values to be correlated with experimental data, enabling the determination of the incremental durability loss of the component. The proposed methodology is distinguished by its practical applicability and the possibility of incorporating both proprietary fatigue test results and data reported in the literature. Full article
Show Figures

Figure 1

28 pages, 10287 KB  
Article
Dynamic Response and Fatigue Study of BFRP-Reinforced Concrete Slabs Under Random Wave Loading
by Jinlin Huang, Leyuan Jin, Jianwei Zhang, Kelei Cao and Zixu Hu
Materials 2026, 19(5), 880; https://doi.org/10.3390/ma19050880 - 26 Feb 2026
Viewed by 252
Abstract
To investigate the dynamic response patterns of basalt-fiber-reinforced concrete slabs under random wave loads, this study characterized wave characteristics based on the random wave theory. Numerical simulations of wave loads were conducted using the Morrison equation, and an analytical model for basalt-fiber-reinforced concrete [...] Read more.
To investigate the dynamic response patterns of basalt-fiber-reinforced concrete slabs under random wave loads, this study characterized wave characteristics based on the random wave theory. Numerical simulations of wave loads were conducted using the Morrison equation, and an analytical model for basalt-fiber-reinforced concrete slabs was established. The research systematically examined the influence mechanisms of two key factors—effective wave period and incident angle—on the dynamic properties of such components. The results indicate that when the effective wave period increases from 7 s to 11 s, the peak displacement, peak stress, peak strain, and stress in the basalt-fiber reinforcement of the slab decrease by 12.79 mm, 0.93 MPa, 130 με, and 229.25 MPa, respectively. The growth rate of the component’s dynamic response first increases and then decreases as the effective wave period shortens. When the wave incidence angle increased from 18° to 90°, the peak displacement, peak stress, peak strain, and stress in the basalt-fiber reinforcement of the concrete slab increased by 17.87 mm, 1.32 MPa, 155 με, and 297.97 MPa, respectively. The growth rate of the component’s dynamic response exhibited a continuous increase with the increasing wave incidence angle. At an incidence angle of 18°, the values of the aforementioned four indicators were 576%, 213%, 52.5%, and 46% higher than those under the 90° condition, respectively. The findings of this study provide theoretical support and data references for elucidating the dynamic response patterns of basalt-fiber-reinforced concrete-slab structures under varying wave-loading conditions and for conducting fatigue performance research. Full article
Show Figures

Graphical abstract

17 pages, 4563 KB  
Article
Validation of Finite Element-Based Crack-Tip Driving Force Solutions Using Fractal Analysis of Crack-Path Microfeatures
by Mudassar Hussain Hashmi, Seyed Saeid Rahimian Koloor and Mohd Nasir Tamin
Fractal Fract. 2026, 10(3), 146; https://doi.org/10.3390/fractalfract10030146 - 26 Feb 2026
Viewed by 165
Abstract
Accurate quantification of the crack-tip driving force (K) is fundamental to predicting the fatigue life of engineering structures. Analytical formulations of K are rarely available for components with complex geometries. In such cases, finite element (FE) analysis [...] Read more.
Accurate quantification of the crack-tip driving force (K) is fundamental to predicting the fatigue life of engineering structures. Analytical formulations of K are rarely available for components with complex geometries. In such cases, finite element (FE) analysis has become a widely accepted approach for determining K. In this study, an FE-based solution for the crack-tip driving force of a fatigue crack in an asymmetric L-shaped bell crank geometry, a representative complex structure, is established. The structure is fabricated from AISI 410 martensitic stainless steel. The FE-predicted KI for crack growth in the Paris regime has been independently validated using the fractal crack-tip driving force model. Results show that the fatigue crack in the bell crank structure is driven by a combined Mode-I (opening) and Mode-II (shearing) crack-tip loading along a curved crack-path trajectory, as dictated by the asymmetric stress distribution. The fatigue crack edge exhibits fractality with fractal dimensions ranging from 1.00 (Euclidean) to 1.18 along the crack length (aa0) up to 9.947 mm. The FE-calculated crack-tip driving forces of the bell crank structure are comparable with those computed based on the corrected crack edge fractal dimensions, thus validating the FE simulation outcomes. The resulting fatigue crack growth rates, determined from crack-tip driving forces based on validated FE-computed contour integrals, are comparable to those obtained from the ASTM standard tests. Full article
(This article belongs to the Special Issue Fractal Mechanics of Engineering Materials, 2nd Edition)
Show Figures

Figure 1

19 pages, 4938 KB  
Article
Thermo-Mechanical and Fatigue Behavior of 3D-Printed PA12 CF15 for Engineering Application
by Justas Ciganas, Tomas Kalinauskis and Urte Cigane
Polymers 2026, 18(5), 563; https://doi.org/10.3390/polym18050563 - 26 Feb 2026
Viewed by 262
Abstract
This study presents a detailed experimental investigation of the mechanical, fatigue, and dynamic properties of a 3D-printed PA12 CF15 composite at different temperatures. The mechanical properties determined in the temperature range from 23 °C to 120 °C were later implemented in numerical simulations [...] Read more.
This study presents a detailed experimental investigation of the mechanical, fatigue, and dynamic properties of a 3D-printed PA12 CF15 composite at different temperatures. The mechanical properties determined in the temperature range from 23 °C to 120 °C were later implemented in numerical simulations to evaluate the suitability of the material for thermo-mechanical loading conditions. Quasi-static tensile test results revealed a decrease in elastic modulus, yield strength, and ultimate tensile strength with increasing temperature. Fatigue testing demonstrated that increasing load levels lead to reduced durability and a lower maximum number of cycles to failure. Furthermore, elevated testing temperatures caused the composite to exhibit more pronounced plastic behavior, resulting in temperature-dependent fatigue performance. SEM analysis indicated that higher temperatures increase the plasticity of the composite, thereby reducing the reinforcing effect of carbon fibers. The mechanical characteristics obtained experimentally were incorporated into a finite element model, allowing a preliminary assessment of the feasibility of manufacturing an intake manifold from PA12 CF15 using additive manufacturing technology. The results of this study provide valuable data for the design and analysis of dynamically and thermally loaded engineering components produced from PA12 CF15 composites. Full article
(This article belongs to the Special Issue Research Progress on Mechanical Behavior of Polymers, 2nd Edition)
Show Figures

Figure 1

Back to TopTop