The Influence of Hub Purge Flow Rate on Forced Response in a Low-Pressure Turbine †
Abstract
1. Introduction
2. Methodology
2.1. Test Case
2.2. Experimental Set-Up



2.3. Numerical Solver
2.4. Computational Set-Up
2.4.1. Cascade Representation in CFD
2.4.2. Mesh and Solver Settings
2.5. Simulation Procedure
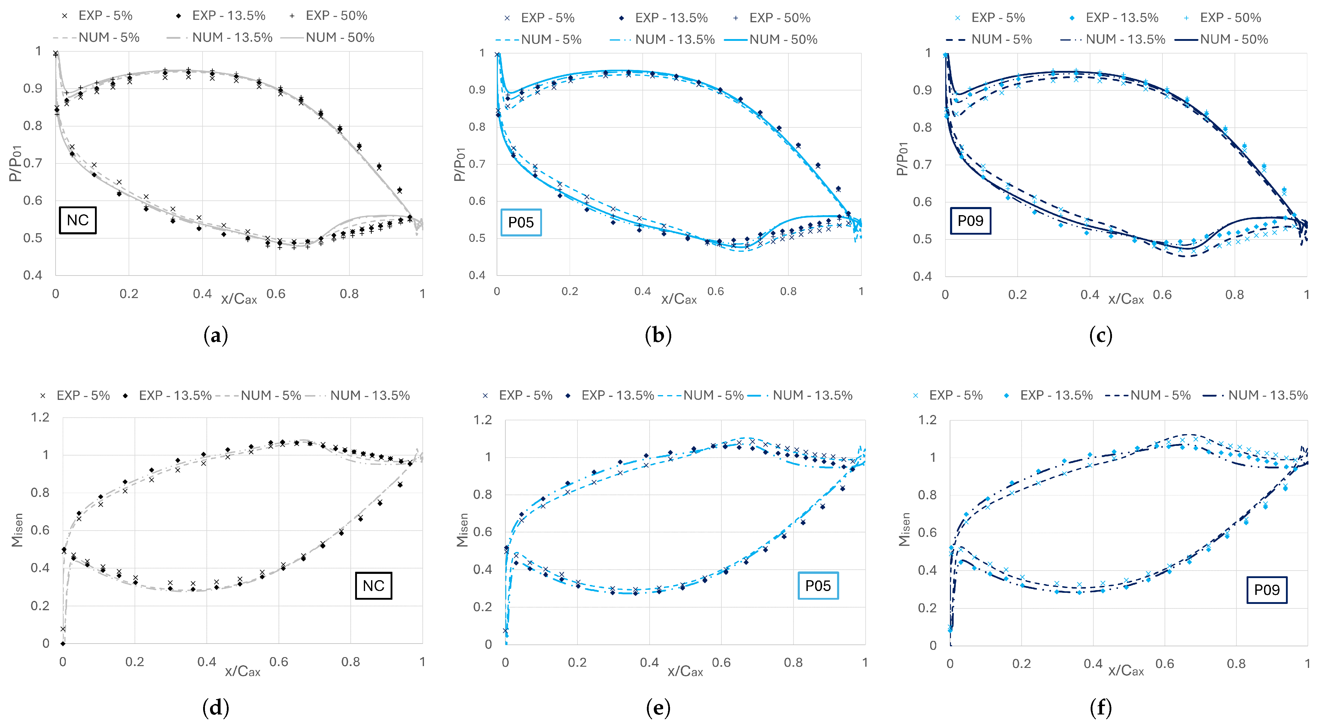
3. Validation
4. Results
4.1. Unsteady Pressure
4.2. Modal Force
5. Discussion
6. Conclusions
Author Contributions
Funding
Data Availability Statement
Acknowledgments
Conflicts of Interest
Abbreviations
| Abbreviations | |
| SVPF | Stator Blade Passing Frequency |
| CFD | Computational Fluid Dynamics |
| FSP | Front Stagnation Point |
| FFT | Fast Fourier Transform |
| LPT | Low-Pressure Turbine |
| HPT | High-Pressure Turbine |
| HCF | High Cycle Fatigue |
| Nomenclature | |
| Term | Description |
| P | Pressure [Pa] |
| T | Temperature [K] |
| c | Velocity [ms−1] |
| Density [kgm−3] | |
| m | Mass [kg] |
| Rotational Speed [rpm] | |
| Flow Coefficient | |
| M | Mach Number |
| Str | Strouhal Number |
| Re | Reynolds Number |
| Total Quantity | |
| Isentropic Quantity | |
| → | Vector Quantity |
| Time-Averaged Quantity | |
| Flow Rate | |
| Unsteady Amplitude | |
| at Midspan | |
| t | Time |
| Z | Radial Height Above Hub |
| y | Circumferential Location |
References
- Regina, K. Experimental investigation of purge flow effects on a high pressure turbine stage. J. Turbomach. 2015, 137, 041006. [Google Scholar] [CrossRef]
- Schrewe, S. Experimental analysis of the interaction between rim seal and main annulus flow in a low pressure two stage axial turbine. J. Turbomach. 2013, 135, 051003. [Google Scholar] [CrossRef]
- Jenny, P. Unsteady rotor hub passage vortex behavior in the presence of purge flow in an axial low pressure turbine. J. Turbomach. 2013, 135, 051022. [Google Scholar] [CrossRef]
- Schuepbach, P. Effects of suction and injection purge-flow on the secondary flow structures of a high-work turbine. J. Turbomach. 2010, 132, 021021. [Google Scholar] [CrossRef]
- Paniagua, G. Effect of the hub endwall cavity flow on the flow-field of a transonic high-pressure turbine. J. Turbomach. 2004, 126, 578–586. [Google Scholar] [CrossRef]
- Schadler, R. Novel high-pressure turbine purge control features for increased stage efficiency. J. Glob. Power Propuls. Soc. 2017, 1, 113–128. [Google Scholar] [CrossRef]
- Zerobin, S. Aerodynamic performance of turbine center frames with purge flows—part i: The influence of turbine purge flow rates. J. Turbomach. 2018, 140, 061009. [Google Scholar] [CrossRef]
- Zerobin, S.; Bauinger, S.; Marn, A.; Peters, A.; Heitmeir, F.; Göttlich, E. The unsteady flow field of a purged high pressure turbine based on mode detection. In Proceedings of the ASME Turbo Expo 2017: Turbomachinery Technical Conference and Exposition, Charlotte, NC, USA, 26–30 June 2017. [Google Scholar]
- Hedge, S.; Kielb, R.; Zori, L.; Campregher, R. Influence of Stator Hub Cavities on the Forced Response Behaviour of an Embedded Compressor Rotor. In Proceedings of the ASME TurboExpo 2021, Online, 7–11 June 2021; p. 58779. [Google Scholar]
- Trafford, A.; Stapelfeldt, S.; Lopes, G.; Lavagnoli, S. Influence of Hub purge flow-rate on forced response in a low pressure turbine. In Proceedings of the 16th European Turbomachinery Conference, Hannover, Germany, 24–28 March 2025; Available online: https://www.euroturbo.eu/29092025/publications/proceedings-papers/etc2025-167/ (accessed on 5 January 2026).
- Simonassi, L.; Lopes, G.; Gendebien, S.; Torre, A.F.M.; Patinios, M.; Lavagnoli, S. An Experimental Test Case for Transonic Low-Pressure Turbines—Part I: Rig Design, Instrumentation and Experimental Methodology. In Proceedings of the ASME TurboExpo 2022, Rotterdam, The Netherlands, 13–17 June 2022. [Google Scholar] [CrossRef]
- Lopes, G. Unsteadiness in the Secondary Flows of a High-Speed Low-Pressure Turbine Cascade with Unsteady Wakes and Purge Flow. J. Turbomach. 2025, 147, 091017. [Google Scholar] [CrossRef]
- Pfeil, H. Investigation of the Laminar-Turbulent Transition of Boundary Layers Disturbed by Wakes. J. Eng. Power 1983, 105, 130–137. [Google Scholar] [CrossRef]
- Lopes, G. Time-Averaged Aerodynamics of a High-Speed Low-Pressure Turbine Cascade With Cavity Purge and Unsteady Wakes. J. Turbomach. 2023, 146, 021008. [Google Scholar] [CrossRef]
- Lopes, G. Aerodynamics of a High-Speed Low-Pressure Turbine Cascade with Unsteady Wakes and Purge Flow. Ph.D. Thesis, Université de Liège, Liège, Belgium, 2024. [Google Scholar] [CrossRef]
- Brouckaert, J.F. Development of Fast Response Aerodynamic Pressure Probes for Time-resolved Measurements in Turbomachines. Ph.D. Thesis, Université Libre de Bruxelles, Brussels, Belgium, 2004. [Google Scholar]
- Hougen, J.O. Dynamics of pneumatic transmission lines. Control Eng. 1963, 10, 114–117. [Google Scholar]
- Bergh, H. Theoretical and Experimental Results for the Dynamic Response of Pressure Measuring Systems; Nationaal Lucht-en Ruimtevaartlaboratorium: Amsterdam, The Netherlands, 1965. [Google Scholar]
- SPLEEN—High Speed Turbine Cascade—Test Case Database. Available online: https://zenodo.org/records/11956004 (accessed on 6 August 2025).
- Lopes, G. Impact of Unsteady Wakes on the Secondary Flows of a High-Speed Low-Pressure Turbine Cascade. Int. J. Turbomach. Propuls. Power 2023, 8, 36. [Google Scholar] [CrossRef]
- Sayma, A.I. An integrated nonlinear approach for turbomachinery forced response prediction. Part I: Formulation. J. Fluids Struct. 2000, 14, 87–101. [Google Scholar] [CrossRef]
- Jorgenson, P. Central difference TVD schemes for time dependent and steady state problems. J. Comput. Phys. 1993, 107, 297–308. [Google Scholar] [CrossRef]
- Lee, K.B. Validation of a numerical model for predicting stalled flows in a low-speed fan—Part I: Modification of Spalart–Allmaras turbulence model. J. Turbomach. 2018, 140, 051008. [Google Scholar] [CrossRef]
- Möller, D. Influence of rotor tip blockage on near stall blade vibrations in an axial compressor rig. J. Turbomach. 2018, 140, 021007. [Google Scholar] [CrossRef]
- Denton, J. Loss Mechanisms in Turbomachines; ASME: New York, NY, USA, 1993. [Google Scholar]
- Trafford, A.; Stapelfeldt, S.; Puente-Rico, R. A computational study of burner failure related low engine order forced response mechanisms in a high pressure turbine. In Proceedings of the 16th International Symposium on Unsteady Aerodynamics, Aeroacoustics and Aeroelastics of Turbomachines, ISUAAAT16, Toledo, Spain, 21 September 2022. [Google Scholar]
- Salvadori, S. Aerothermal study of the unsteady flow field in a transonic gas turbine with inlet temperature distortions. J. Turbomach. 2011, 133, 031030. [Google Scholar] [CrossRef]










| Nom. | Dim. | Units |
|---|---|---|
| Chord, C | 52.280 | mm |
| Axial chord, | 47.614 | mm |
| Pitch, G | 32.950 | mm |
| Cascade span, H | 165.000 | mm |
| Inlet metal angle, | 37.300 | ° |
| Outlet metal angle, | 53.800 | ° |
| Stagger angle, | 24.400 | ° |
| Instrument | Qt. | Unit | ||
|---|---|---|---|---|
| Fixed | K | 0.01 | 0.52 | |
| Pa | 7.01 | 29.82 | ||
| Purge | kg/s | 1.82 × 10−4 | 0.0021 | |
| PMFR | % | 0.0017 | 0.0021 | |
| Blade pneu. | − | 0.001 | 0.005 | |
| Blade FR | − | − | 0.004 | |
| L5HP | - | ° | 0.15 | 0.33 |
| − | 0.002 | 0.010 |
| Parameter | Experiment | Simulation |
|---|---|---|
| Str | ||
| variable | ||
| Pitch Blades (mm) | ||
| Pitch Bars (mm) | ||
| 70,000 | 70,000 |
| Mesh Parameter | Value |
|---|---|
| Points (millions) | |
| Radial layers | 90 |
| Y+ bar | 1 |
| Y+ blade | 1 |
| Y+ endwalls | 10 |
| Max expansion ratio | |
| Max hexahedral skewness |
| Mode | NC-4F Norm | NC Norm | ||||
|---|---|---|---|---|---|---|
| Freq (Hz) | NC | P05 | P09 | NC | P05 | P09 |
| 1T | 0.311 | 0.296 | 0.239 | |||
| 956.6 | ||||||
| 2T | 0.161 | 0.153 | 0.149 | |||
| 3291.7 | ||||||
| 3T | 0.112 | 0.097 | 0.095 | |||
| 6996.8 | ||||||
| 1F | 0.212 | 0.216 | 0.213 | |||
| 590.7 | ||||||
| 3F | 0.020 | 0.039 | 0.041 | |||
| 3785.9 | ||||||
| 4F | 0.030 | 0.044 | 0.046 | |||
| 4959.0 | ||||||
| 5F | 0.024 | 0.040 | 0.042 | |||
| 6298.6 | ||||||
| 1CB | 0.214 | 0.215 | 0.213 | 1.000 | 1.003 | 0.995 |
| 5980.2 | ||||||
| 1.000 | 0.961 | 0.948 | ||||
Disclaimer/Publisher’s Note: The statements, opinions and data contained in all publications are solely those of the individual author(s) and contributor(s) and not of MDPI and/or the editor(s). MDPI and/or the editor(s) disclaim responsibility for any injury to people or property resulting from any ideas, methods, instructions or products referred to in the content. |
© 2026 by the authors. Published by MDPI on behalf of the EUROTURBO. Licensee MDPI, Basel, Switzerland. This article is an open access article distributed under the terms and conditions of the Creative Commons Attribution (CC BY-NC-ND) license.
Share and Cite
Trafford, A.; Stapelfeldt, S.; Lopes, G.; Lavagnoli, S. The Influence of Hub Purge Flow Rate on Forced Response in a Low-Pressure Turbine. Int. J. Turbomach. Propuls. Power 2026, 11, 12. https://doi.org/10.3390/ijtpp11010012
Trafford A, Stapelfeldt S, Lopes G, Lavagnoli S. The Influence of Hub Purge Flow Rate on Forced Response in a Low-Pressure Turbine. International Journal of Turbomachinery, Propulsion and Power. 2026; 11(1):12. https://doi.org/10.3390/ijtpp11010012
Chicago/Turabian StyleTrafford, Alexander, Sina Stapelfeldt, Gustavo Lopes, and Sergio Lavagnoli. 2026. "The Influence of Hub Purge Flow Rate on Forced Response in a Low-Pressure Turbine" International Journal of Turbomachinery, Propulsion and Power 11, no. 1: 12. https://doi.org/10.3390/ijtpp11010012
APA StyleTrafford, A., Stapelfeldt, S., Lopes, G., & Lavagnoli, S. (2026). The Influence of Hub Purge Flow Rate on Forced Response in a Low-Pressure Turbine. International Journal of Turbomachinery, Propulsion and Power, 11(1), 12. https://doi.org/10.3390/ijtpp11010012

