Sign in to use this feature.

Years

Between: -

Subjects

remove_circle_outline
remove_circle_outline
remove_circle_outline
remove_circle_outline
remove_circle_outline
remove_circle_outline
remove_circle_outline
remove_circle_outline
remove_circle_outline

Journals

remove_circle_outline
remove_circle_outline
remove_circle_outline
remove_circle_outline
remove_circle_outline
remove_circle_outline
remove_circle_outline
remove_circle_outline
remove_circle_outline
remove_circle_outline
remove_circle_outline
remove_circle_outline
remove_circle_outline
remove_circle_outline
remove_circle_outline
remove_circle_outline

Article Types

Countries / Regions

remove_circle_outline
remove_circle_outline
remove_circle_outline
remove_circle_outline
remove_circle_outline

Search Results (1,326)

Search Parameters:
Keywords = experimental arm

Order results
Result details
Results per page
Select all
Export citation of selected articles as:
26 pages, 1120 KB  
Article
Mechanical Modeling and Experimental Validation of a Front-Push Orthopedic Brace: Compressive–Shear Force Characterization Under Controlled Misalignment
by Mirko Zisi, Vincenzo Ricci, Alessandro Rocchi and Vincenzo Canali
Bioengineering 2026, 13(5), 491; https://doi.org/10.3390/bioengineering13050491 (registering DOI) - 23 Apr 2026
Abstract
Scoliosis is a three-dimensional spinal deformity that may affect musculoskeletal alignment, respiratory mechanics, and neuromotor control. Rigid thoraco-lumbo-sacral orthoses (TLSOs) remain the primary conservative treatment during skeletal growth. Most brace systems rely on three-point pressure mechanisms that primarily generate lateral compression forces, while [...] Read more.
Scoliosis is a three-dimensional spinal deformity that may affect musculoskeletal alignment, respiratory mechanics, and neuromotor control. Rigid thoraco-lumbo-sacral orthoses (TLSOs) remain the primary conservative treatment during skeletal growth. Most brace systems rely on three-point pressure mechanisms that primarily generate lateral compression forces, while the contribution of shear components to corrective biomechanics has been insufficiently quantified. This study presents the experimental and analytical validation of the Canali Front-Push Orthopedic Brace, a rigid orthotic system designed to generate controlled compressive and shear forces through a frontal thrust mechanism and anterior rib cage engagement. By applying anterior force, the device reduces the frontal-plane lever arm, thereby limiting the mechanical moment that contributes to transverse plane rotation. An instrumented four-segment torso model derived from the internal CAD geometry of the brace was developed to independently measure upper compression, lower compression, and intersegmental shear forces. Controlled misalignment conditions (0 mm, 2 mm, and 4 mm) were introduced to simulate asymmetric engagement of the orthosis. Three load cell configurations (200 N and 500 N capacity) were tested. Mechanical endurance of the rack–latch fastening system was also evaluated. A predictive shear–misalignment relationship was derived and experimentally validated. Peak compressive forces reached approximately 370 N, while shear forces increased from less than 40 N under symmetric alignment (D0) to approximately 170 N under maximal misalignment (D4). Shear activation demonstrated near-linear proportionality to imposed geometric asymmetry (R2 > 0.94). Following cyclic loading, the fastening system stabilized mechanically around 300 N. Measurement repeatability showed a coefficient of variation below 5%. These findings demonstrate that the brace produces predictable and controllable shear activation while maintaining high mechanical repeatability. The results provide a quantitative biomechanical framework for understanding shear-induced corrective mechanics in scoliosis bracing and support future studies integrating computational modeling and clinical validation. The proposed mechanical framework may contribute to the development of next-generation orthotic strategies aimed at controlling spinal rotation through vector modulation rather than purely compressive correction. Full article
(This article belongs to the Section Biomedical Engineering and Biomaterials)
Show Figures

Figure 1

24 pages, 3856 KB  
Article
Human–Robot Interaction: External Force Estimation and Variable Admittance Control Incorporating Passivity
by Jun Wan, Zihao Zhou, Nuo Yun, Kehong Wang and Xiaoyong Zhang
Robotics 2026, 15(5), 84; https://doi.org/10.3390/robotics15050084 - 22 Apr 2026
Abstract
In the context of Industry 5.0, human–robot collaboration increasingly demands intuitive, safe, and sensorless interaction for tasks such as hand-guided teaching and concurrent manipulation. However, conventional admittance control systems are prone to instability due to abrupt changes in human arm stiffness and their [...] Read more.
In the context of Industry 5.0, human–robot collaboration increasingly demands intuitive, safe, and sensorless interaction for tasks such as hand-guided teaching and concurrent manipulation. However, conventional admittance control systems are prone to instability due to abrupt changes in human arm stiffness and their reliance on accurate dynamic models. To address these challenges, this paper proposes a sensorless external force estimation and variable admittance control method that models robot dynamic uncertainties and interaction forces as normally distributed stochastic quantities. An improved particle swarm optimization algorithm is introduced to calibrate the variance parameters, enhancing estimation accuracy and robustness. Furthermore, an energy-based variable admittance control strategy is developed, which preserves system passivity by adaptively adjusting inertia and damping gains based on real-time energy variations. The proposed method was validated on a redundant robot platform. Experimental results show that the external force and torque estimation errors remain below 3 N and 3 N.m, respectively, with lower detection delays and errors than those of a first-order generalized momentum observer in collision detection. Variable admittance experiments demonstrate that the system maintains passivity and stable interaction even under sudden arm stiffness changes. The approach is well-suited for industrial applications requiring safe, sensorless, and compliant human–robot collaboration. Full article
(This article belongs to the Special Issue Human–Robot Collaboration in Industry 5.0)
Show Figures

Figure 1

1 pages, 127 KB  
Correction
Correction: Heo et al. Clinical Validation of an On-Device AI-Driven Real-Time Human Pose Estimation and Exercise Prescription Program; Prospective Single-Arm Quasi-Experimental Study. Healthcare 2026, 14, 482
by Seoyoon Heo, Taeseok Choi and Wansuk Choi
Healthcare 2026, 14(9), 1116; https://doi.org/10.3390/healthcare14091116 - 22 Apr 2026
Abstract
There was an error in the funding statement of the original publication [...] Full article
(This article belongs to the Special Issue Artificial Intelligence and Machine Learning in Rehabilitation)
25 pages, 5544 KB  
Article
Retrofitting a Legacy Industrial Robot Through Monocular Computer Vision-Based Human-Arm Posture Tracking and 3-DoF Robot-Axis Control (A1–A3)
by Paúl A. Chasi-Pesantez, Eduardo J. Astudillo-Flores, Valeria A. Dueñas-López, Jorge O. Ordoñez-Ordoñez, Eldad Holdengreber and Luis Fernando Guerrero-Vásquez
Robotics 2026, 15(4), 82; https://doi.org/10.3390/robotics15040082 - 21 Apr 2026
Abstract
This paper presents a low-cost retrofitting pipeline for a legacy industrial robot that uses a single RGB webcam and monocular 2D keypoint tracking to estimate human-arm posture angles θ(h) and map them to robot-axis joint targets [...] Read more.
This paper presents a low-cost retrofitting pipeline for a legacy industrial robot that uses a single RGB webcam and monocular 2D keypoint tracking to estimate human-arm posture angles θ(h) and map them to robot-axis joint targets qcmd(r) for A1–A3 on a KUKA KR5-2 ARC HW, while keeping the wrist orientation (A4–A6) fixed. Rather than targeting full six-DoF manipulation, the main contribution is an experimental characterization of how far monocular 2D posture-to-axis mapping can be used reliably for coarse placement and safeguarded low-speed demonstrations on a legacy robot platform. Vision-side accuracy was evaluated per axis against goniometer-based reference angles θref(h), showing low errors for A2–A3 within the tested range and larger errors for A1 due to monocular yaw/depth ambiguity and occlusions. The study also analyzes failure modes during simultaneous multi-joint motion, where performance degrades notably, especially for A2 and A3, and reports practical mitigation directions such as improved viewpoints, multi-view/depth sensing, and stricter dropout handling. Runtime behavior is additionally characterized through a loop timing budget, with an end-to-end latency of 185.44 ms and an effective loop frequency of 5.39 Hz, which is consistent with low-speed online operation within the demonstrated scope. The system was implemented in a fenced industrial cell with restricted access and emergency stop; no collaborative operation is claimed. Full article
(This article belongs to the Special Issue Artificial Vision Systems for Robotics)
Show Figures

Figure 1

25 pages, 3774 KB  
Article
Lightweight Vivaldi Antenna for High-Voltage Ultra-Wideband Systems
by John J. Pantoja, Omar A. Nova Manosalva, Hector F. Guarnizo-Mendez and Andrés Polochè Arango
Electronics 2026, 15(8), 1749; https://doi.org/10.3390/electronics15081749 - 21 Apr 2026
Abstract
This article presents the design and characterization process of a lightweight Vivaldi antenna for high-voltage ultra-wideband systems. The proposed antenna consists of two radiating arms with different exponential curves on their inner and outer edges fed with an insulated-coplanar-plates transmission line. Weight reduction [...] Read more.
This article presents the design and characterization process of a lightweight Vivaldi antenna for high-voltage ultra-wideband systems. The proposed antenna consists of two radiating arms with different exponential curves on their inner and outer edges fed with an insulated-coplanar-plates transmission line. Weight reduction is achieved by implementing the antenna with sheets composed of a polyester layer between two aluminum layers, with a polylactic acid insulator inserted between the arms. The reflection coefficient of the implemented antenna demonstrates an impedance bandwidth ranging from 0.61 GHz to 3.44 GHz. High-voltage operation of up to 12.4 kV is also experimentally demonstrated. In addition to satisfying the high-voltage and ultra-wideband operational requirements, the proposed antenna is shown to achieve, among antennas with comparable characteristics, the most effective combination of low minimum operating frequency and low weight. The transfer function between the voltage applied to the antenna, Vs, and the radiated electric field, Er, is measured. Using this transfer function, the radiated electric field is calculated for an input voltage pulse with a rise time of 110 ps to confirm the antenna’s capability of producing radiated pulses with low distortion. The calculated radiated electric field pulse closely matches the results obtained with full-wave simulation. To assess the similarity between the radiated and applied pulses, the pulse width stretch ratio is calculated, yielding a variation of 3.86% for the direction of maximum gain and 9.36% for 30° in the H-plane of the antenna. This feature is desirable for EMC, EMI and sensing applications. The antenna is also characterized in the frequency domain, achieving a maximum gain of 10.09 dBi at 3.63 GHz and a 30° 3 dB beamwidth for ultra-wideband pulses. Full article
(This article belongs to the Section Microwave and Wireless Communications)
Show Figures

Figure 1

35 pages, 8415 KB  
Article
Research on Three-Dimensional Positioning Method for Automatic Strawberry Fruit Picking Based on Vision–IMU Fusion
by Bowen Liu, Chuhan Chen, Junqiu Li, Qinghui Zhang and Yinghao Meng
Agriculture 2026, 16(8), 893; https://doi.org/10.3390/agriculture16080893 - 17 Apr 2026
Viewed by 236
Abstract
Accurate fruit localization and efficient harvesting are key challenges for agricultural robots, especially in dynamic orchard environments, where platform vibration, fruit occlusion, and computational resource limitations of embedded devices significantly impact system performance. To address these issues, this paper proposes a lightweight “fruit [...] Read more.
Accurate fruit localization and efficient harvesting are key challenges for agricultural robots, especially in dynamic orchard environments, where platform vibration, fruit occlusion, and computational resource limitations of embedded devices significantly impact system performance. To address these issues, this paper proposes a lightweight “fruit detection + harvesting” framework. First, by integrating MobileNetV4 and Triplet Attention mechanisms, an improved YOLOv8n network is designed, with the improved YOLOv8n Precision reaching 98.148% and FPS reaching 30 FPS on Jetson Nano, achieving a good balance between detection accuracy and computational efficiency suitable for edge deployment. Second, a strawberry three-dimensional coordinate reconstruction method based on weighted 3D centroid reconstruction is proposed, utilizing depth bias adjustment coefficients to improve spatial accuracy. Third, to address localization errors caused by vibration and platform motion, a dynamic compensation and temporal fusion strategy based on an Inertial Measurement Unit (IMU) is proposed. The rotation matrix estimated from IMU data is first used to correct camera pose variations. Then, an adaptive sliding window is employed to smooth the coordinate sequence. Finally, an Extended Kalman Filter (EKF) is applied to further refine the fused results by incorporating temporal dynamics, ensuring that the reconstructed three-dimensional coordinates in the robotic arm reference frame achieve higher stability and continuity. Experimental results in orchard scenarios show that compared with traditional methods, the system has higher localization accuracy, stronger robustness to dynamic disturbances, and higher harvesting efficiency. This work provides a practical and deployable solution for advancing intelligent fruit-harvesting robots. Full article
(This article belongs to the Section Artificial Intelligence and Digital Agriculture)
Show Figures

Figure 1

42 pages, 2598 KB  
Article
Integrating Adaptive Constraints with an Enhanced Metaheuristic for Zero-Latency Trajectory Planning in Robotic Manufacturing Processes
by Houxue Xia, Zhenyu Sun, Huagang Tong and Liusan Wu
Processes 2026, 14(8), 1282; https://doi.org/10.3390/pr14081282 - 17 Apr 2026
Viewed by 130
Abstract
In flexible manufacturing systems, the composite mobile manipulator (CMM) is subject to nonlinear inertial disturbances arising from the dynamic coupling between the mobile platform and the robotic arm. These disturbances significantly impair positioning precision during grasping tasks. This paper addresses the dynamic decoupling [...] Read more.
In flexible manufacturing systems, the composite mobile manipulator (CMM) is subject to nonlinear inertial disturbances arising from the dynamic coupling between the mobile platform and the robotic arm. These disturbances significantly impair positioning precision during grasping tasks. This paper addresses the dynamic decoupling of multi-body nonlinear inertial disturbances within CMM systems. Departing from the conventional “stop-then-plan” serial execution paradigm, we propose a full-cycle spatiotemporally coupled trajectory optimization method. The operation cycle is bifurcated into two synergistic stages: “dynamic calibration” and “static execution.” The dynamic calibration trajectory is pre-planned and executed synchronously during platform movement to actively compensate for inertial-induced pose deviations. Concurrently, the static execution trajectory is optimized and then triggered immediately upon platform standstill, ensuring a seamless and precise transition to the “Grasping Pose”. It is worth noting that the temporal characteristic central to this framework lies in the concurrent execution of static trajectory optimization and platform transit: by the time the platform reaches its destination, the pre-planned trajectory is already available for immediate triggering, achieving zero task-switching wait time at the planning layer. The term “zero-latency” here does not imply a fixed-cycle real-time response at the control layer, but rather the complete elimination of decision latency afforded by the parallel planning architecture. This framework eliminates computational latency, markedly enhancing operational efficiency. Key innovations include two novel constraints. First, the Adaptive Task-space Bounded Search Constraint (ATBSC) framework restricts optimization to a geometry-inspired search region, thereby enhancing search efficiency and ensuring controllable deviations. Second, the Multi-Rigid-Body Coupling Constraint (MRBCC) system explicitly models inertial transmission across motion phases to suppress pose fluctuations. The proposed framework is developed and validated within an obstacle-free workspace. In simulation-based validation on a UR10 6 degree-of-freedom manipulator model, experimental results indicate that ATBSC increases valid solution density to 84.7% and reduces average deviation by 72.8%. Furthermore, under the tested conditions, MRBCC mitigates end-effector position errors by 79.7–81.0% with a 97.5% constraint satisfaction rate. The improved Cuckoo Search algorithm (ICSA), serving as the solver component of the proposed framework, achieves an 11.9% lower fitness value and a 13.1% faster convergence rate compared to the standard Cuckoo Search algorithm in the tested scenarios, suggesting its effectiveness as a reliable solver for the constrained multi-objective trajectory optimisation problem. Full article
(This article belongs to the Section AI-Enabled Process Engineering)
29 pages, 5817 KB  
Article
Experimental and Finite Element Investigation of Bolted Connections in GFRP Composite Cross-Arms for Energy Distribution Towers
by Burak Talha Kılıç and Eray Baran
Polymers 2026, 18(8), 978; https://doi.org/10.3390/polym18080978 - 17 Apr 2026
Viewed by 252
Abstract
This study investigates bolted connections in open-section glass fiber-reinforced polymer (GFRP) composite cross-arms for 34.5 kV energy distribution towers. Six GFRP angle sections (L50 × 5 to L120 × 12) were tested under tensile loading using a constant edge distance-to-bolt diameter ratio (e/d [...] Read more.
This study investigates bolted connections in open-section glass fiber-reinforced polymer (GFRP) composite cross-arms for 34.5 kV energy distribution towers. Six GFRP angle sections (L50 × 5 to L120 × 12) were tested under tensile loading using a constant edge distance-to-bolt diameter ratio (e/d = 5), and the connection performance was evaluated based on general maximum and deformation-based criteria (4% and 1 mm hole elongation). Connection capacities ranged from 14.65 to 36.68 kN for single-bolt configurations. Results from multi-bolt connections tests indicated strong influence of bolt layout on connection performance. The highest load capacities of 46.45 kN and 45.93 kN were obtained, respectively, with the two-row bolt configuration and staggered configuration. Comparison of the measured load capacities with ASCE/SEI 74-23 predictions revealed significant discrepancies depending on the assumed failure mode of the connection. A simplified finite element model was developed to predict load–displacement response, capturing initial stiffness and overall trends with reasonable agreement, particularly for connections exhibiting similar failure modes. The findings provide a reliable basis for selecting appropriate bolted connection details in open-section GFRP cross-arm systems. Full article
(This article belongs to the Section Polymer Composites and Nanocomposites)
Show Figures

Figure 1

20 pages, 33271 KB  
Article
An Error-Adaptive Competition-Based Inverse Kinematics Approach for Bimanual Trajectory Tracking of Humanoid Upper-Limb Robots
by Jiaxiu Liu, Zijian Wang, Hongfu Tang, Hongzhe Jin and Jie Zhao
Biomimetics 2026, 11(4), 279; https://doi.org/10.3390/biomimetics11040279 - 17 Apr 2026
Viewed by 122
Abstract
Humanoid upper-limb robots are an important direction in biomimetic robotics, and inverse kinematics is a key technique for achieving human-like coordinated operation. However, existing inverse kinematics methods for bimanual trajectory tracking often suffer from high computational complexity and limited synchronization performance. To address [...] Read more.
Humanoid upper-limb robots are an important direction in biomimetic robotics, and inverse kinematics is a key technique for achieving human-like coordinated operation. However, existing inverse kinematics methods for bimanual trajectory tracking often suffer from high computational complexity and limited synchronization performance. To address this, this paper proposes an error-adaptive competition-based inverse kinematics (EAC-IK) approach for bimanual trajectory tracking of humanoid upper-limb robots. First, a unified modeling framework for the absolute tracking errors and synchronization errors of the two arms is established, and the end-effector task constraints are reformulated into a low-dimensional representation, thereby reducing the computational complexity of the original high-dimensional task mapping. Second, to enhance the coordination capability of bimanual operations, an error-adaptive competition mechanism is developed to regulate the weighting coefficients of the two arms online according to their error states. In addition, a virtual second-order command shaper is introduced at the joint level to reconstruct joint trajectories and suppress oscillations induced by input noise and the error-adaptive competition mechanism. Simulation and experimental results on a hyper-redundant humanoid upper-limb robot demonstrate that, compared with the zeroing neural-network-based inverse kinematics method, the proposed method achieves lower tracking and synchronization errors, as well as higher computational efficiency. In the circular trajectory-tracking experiment, the left-arm position and orientation tracking errors decrease from 1.60×103m and 4.72×103rad to 0.70×103m and 0.95×103rad, respectively, while the synchronization error decreases from 1.96×103 to 1.30×103. In addition, the average algorithm runtime decreases from 0.82ms to 0.63ms. Full article
(This article belongs to the Special Issue Bionic Intelligent Robots)
Show Figures

Graphical abstract

29 pages, 2959 KB  
Article
A Diffusion-Augmented GWO-TCN-PSA Method for Real-Time Inverse Kinematics in Robotic Manipulator Applications
by Baiyang Wang, Xiangxiao Zeng, Ming Fang, Fang Li and Hongjun Wang
Electronics 2026, 15(8), 1688; https://doi.org/10.3390/electronics15081688 - 16 Apr 2026
Viewed by 163
Abstract
This paper presents an efficient inverse kinematics (IK) solution for robotic manipulators, addressing the challenges of high computational complexity, low efficiency, and sensitivity to singularities associated with traditional methods. A data augmentation strategy is introduced, utilizing an enhanced Diffusion-TS model to generate diverse [...] Read more.
This paper presents an efficient inverse kinematics (IK) solution for robotic manipulators, addressing the challenges of high computational complexity, low efficiency, and sensitivity to singularities associated with traditional methods. A data augmentation strategy is introduced, utilizing an enhanced Diffusion-TS model to generate diverse joint-angle samples and corresponding end-effector poses through forward kinematics, thereby creating a high-quality dataset. To improve real-time performance, a Temporal Convolutional Network (TCN) model is developed, optimized using the Grey Wolf Optimizer (GWO), and augmented with a probabilistic sparse attention mechanism to effectively capture key pose features. Experimental evaluations on the Jaka MiniCobo robotic arm demonstrate that the proposed method significantly reduces inference time while maintaining high accuracy, making it suitable for real-world applications that demand both speed and precision. Full article
Show Figures

Figure 1

20 pages, 2298 KB  
Article
Effect of 4-Week Consumption of “Navelina” Oranges on Serum Lipid Profile in Patients with MASLD: Evidence from a Randomized Clinical Trial
by Valentina De Nunzio, Giuliano Pinto, Davide Guido, Emanuela Aloisio Caruso, Miriam Cofano, Ilenia Saponara, Matteo Centonze, Maria Grazia Refolo and Maria Notarnicola
Nutrients 2026, 18(8), 1254; https://doi.org/10.3390/nu18081254 - 16 Apr 2026
Viewed by 302
Abstract
Background: Metabolic Dysfunction-Associated Steatotic Liver Disease (MASLD) refers to fatty liver disease associated with metabolic syndrome. MASLD causes alterations in lipid metabolism, which can be regulated with a diet rich in polyphenols. The present study aims to evaluate the effects of daily consumption [...] Read more.
Background: Metabolic Dysfunction-Associated Steatotic Liver Disease (MASLD) refers to fatty liver disease associated with metabolic syndrome. MASLD causes alterations in lipid metabolism, which can be regulated with a diet rich in polyphenols. The present study aims to evaluate the effects of daily consumption of 400 g of “Navelina” oranges for 4 weeks on serum lipid profiles in a group of 60 patients with MASLD, to identify specific lipid species associated with improvements in hepatic steatosis. Methods: Blood samples were collected from all participants, and biochemical measurements and a serum lipidomic profile were performed. Finally, a Spearman correlation analysis was used to assess the relationships between serum lipidomic fatty acids and biochemical lipid markers. Results: In the experimental treatment arm, serum lipidomic analysis showed a slight decrease in Arachidonic acid (AA) and the Arachidonic acid/Eicosapentaenoic acid ratio (AA/EPA ratio) but no significant interaction between time and treatment was detected. In the same group, Oleic acid, MUFAs and the AA/EPA ratio were significantly and negatively correlated with HDL (r = −0.368, p = 0.046), (r = −0.384, p = 0.036), and (r = −0.522, p = 0.003), respectively. Conversely, EPA and n-3 PUFAs were positively and significantly correlated with HDL (r = 0.447, p = 0.013) and (r = 0.403, p = 0.027) respectively. Conclusions: Furthermore, this study represents one of the first clinical trials to shed a light on the potential association of “Navelina” orange polyphenols on serum fatty acid profiles in patients with MASLD, supporting studies on the nutraceutical effect of oranges on lipid metabolism. Full article
Show Figures

Figure 1

28 pages, 3548 KB  
Article
Edge Computing Approach to AI-Based Gesture for Human–Robot Interaction and Control
by Nikola Ivačko, Ivan Ćirić and Miloš Simonović
Computers 2026, 15(4), 241; https://doi.org/10.3390/computers15040241 - 14 Apr 2026
Viewed by 343
Abstract
This paper presents an edge-deployable vision-based framework for human–robot interaction using a xArm collaborative robot and a single RGB camera mounted on the robot wrist, and lightweight AI-based perception modules. The system enables intuitive, contact-free control by combining hand understanding and object detection [...] Read more.
This paper presents an edge-deployable vision-based framework for human–robot interaction using a xArm collaborative robot and a single RGB camera mounted on the robot wrist, and lightweight AI-based perception modules. The system enables intuitive, contact-free control by combining hand understanding and object detection within a unified perception–decision–control pipeline. Hand landmarks are extracted using MediaPipe Hands, from which continuous hand trajectories, static gestures, and dynamic gestures are derived. Task objects are detected using a YOLO-based model, and both hand and object observations are mapped into the robot workspace using ArUco-based planar calibration. To ensure stable robot motion, the hand control signal is smoothed using low-pass and Kalman filtering, while dynamic gestures such as waving are recognized using a lightweight LSTM classifier. The complete pipeline runs locally on edge hardware, specifically NVIDIA Jetson Orin Nano and Raspberry Pi 5 with a Hailo AI accelerator. Experimental evaluation includes trajectory stability, gesture recognition reliability, and runtime performance on both platforms. Results show that filtering significantly reduces hand-tracking jitter, gesture recognition provides stable command states for control, and both edge devices support real-time operation, with Jetson achieving consistently lower runtime than Raspberry Pi. The proposed system demonstrates the feasibility of low-cost edge AI solutions for responsive and practical human–robot interaction in collaborative industrial environments. Full article
(This article belongs to the Special Issue Intelligent Edge: When AI Meets Edge Computing)
Show Figures

Figure 1

18 pages, 313 KB  
Review
Generative Artificial Intelligence Transitions Pharmaceutical Development from Empirical Screening to Predictive Molecular Design and Clinical Trial Optimization
by Ghaith K. Mansour and Hatouf H. Sukkarieh
Pharmaceuticals 2026, 19(4), 614; https://doi.org/10.3390/ph19040614 - 13 Apr 2026
Viewed by 315
Abstract
The traditional paradigm of pharmaceutical research is characterized by substantial inefficiency, requiring extensive timelines and billions of dollars while suffering from high clinical attrition rates. The integration of generative artificial intelligence (AI) is driving a paradigm shift from empirical experimentation toward predictive, data-driven [...] Read more.
The traditional paradigm of pharmaceutical research is characterized by substantial inefficiency, requiring extensive timelines and billions of dollars while suffering from high clinical attrition rates. The integration of generative artificial intelligence (AI) is driving a paradigm shift from empirical experimentation toward predictive, data-driven innovation. This review evaluates state-of-the-art applications of these technologies across the drug discovery and development pipeline. By analyzing multi-omics data streams, AI models can elucidate complex disease mechanisms and identify novel therapeutic targets. Deep generative architectures facilitate the algorithmic creation of novel molecular entities, enabling the design of therapeutics with complex polypharmacological profiles. Furthermore, AI is enhancing the clinical testing phase through large language models (LLMs) that improve patient enrollment and through synthetic control arms (SCAs) that provide computational alternatives to traditional placebo groups. Despite these advances, the scientific community must address inherent algorithmic biases stemming from demographic underrepresentation and mitigate the risks of data hallucinations. Ultimately, realizing the full translational potential of generative AI in precision medicine may require the widespread adoption of explainable AI (XAI) frameworks and rigorous data standards. Full article
(This article belongs to the Section AI in Drug Development)
Show Figures

Graphical abstract

11 pages, 927 KB  
Article
Homeostatic Responses to Subsystolic Arterial Occlusive Pressure in Glabrous and Non-Glabrous Skin Circulation
by Joana Caetano, Pedro de la Villa Polo, José Delgado Alves and Luis Monteiro Rodrigues
Biomedicines 2026, 14(4), 888; https://doi.org/10.3390/biomedicines14040888 - 13 Apr 2026
Viewed by 369
Abstract
Background: Reactive hyperemia (RH) is used to assess microcirculatory function in vivo and has traditionally been interpreted as a local, ischemia-driven vasodilatory response following arterial occlusion. However, perfusion changes consistently observed in contralateral, non-challenged limbs question the exclusively local nature of RH. Objective: [...] Read more.
Background: Reactive hyperemia (RH) is used to assess microcirculatory function in vivo and has traditionally been interpreted as a local, ischemia-driven vasodilatory response following arterial occlusion. However, perfusion changes consistently observed in contralateral, non-challenged limbs question the exclusively local nature of RH. Objective: This study aimed to characterize reactive hyperemic responses elicited by subsystolic cuff pressures, below arterial occlusion pressure (AOP), and to investigate their effects on glabrous and non-glabrous skin microcirculation and on global hemodynamics. Methods: Seven healthy women underwent a standardized protocol consisting of baseline stabilization, a 2 min subsystolic cuff inflation (70–80% of resting AOP) in one arm, and a recovery period. Microvascular perfusion was simultaneously assessed in both hands using laser Doppler flowmetry (LDF) on glabrous skin and polarized light spectroscopy (PSp) on non-glabrous dorsal skin. Hemodynamic indicators were continuously monitored using CNAP (Continuous Non-invasive Arterial Pressure) technology. Ipsilateral and contralateral responses were compared across experimental phases. Results: Subsystolic cuff inflation induced significant perfusion changes not only in the challenged limb but also in the contralateral limb, despite the absence of a complete arterial occlusion. Conclusions: These findings confirm the adaptive nature of RH emphasizing the major role for the sympathetic nervous system in glabrous skin. In glabrous (palmar) skin, a similar perfusion profile is shown in both hands but significant differences could only be found in the ipsilateral hand. In contrast, non-glabrous (dorsal) skin demonstrated region-specific increases in perfusion, again evident in the ipsilateral hand, suggesting venous stasis. No changes in global hemodynamic variables were observed throughout the protocol. Further studies in larger, more diverse populations are needed to confirm these observations and refine the mechanistic understanding of reactive hyperemia. Full article
(This article belongs to the Special Issue Advances in Biomarker Discovery for Cardiovascular Disease)
Show Figures

Figure 1

26 pages, 1395 KB  
Article
A Rigid-Body Pendulum Model for Plyometric Push-Up Biomechanics: Analytical Derivation and Numerical Quantification of Flight Time, Arc Displacement, Maximum Height, and Mechanical Power Output
by Wissem Dhahbi
Bioengineering 2026, 13(4), 445; https://doi.org/10.3390/bioengineering13040445 - 11 Apr 2026
Viewed by 675
Abstract
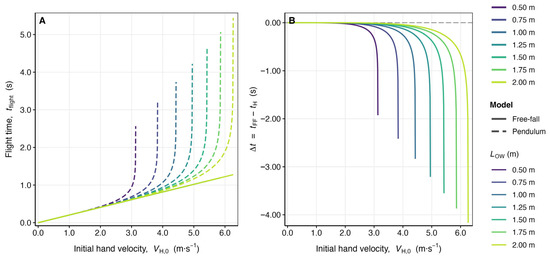
Aim: Conventional free-fall kinematic models applied to plyometric push-up assessment treat the upper body as a vertically translating point mass, ignoring the curvilinear trajectory imposed by the ankle pivot and systematically biasing flight-time and height estimates. Methods: A planar rigid-body pendulum pivoting about [...] Read more.
Aim: Conventional free-fall kinematic models applied to plyometric push-up assessment treat the upper body as a vertically translating point mass, ignoring the curvilinear trajectory imposed by the ankle pivot and systematically biasing flight-time and height estimates. Methods: A planar rigid-body pendulum pivoting about the ankle axis was formulated via two independent derivation pathways (static moment equilibrium and a gravitational-torque coordinate approach), yielding effective pendulum length L = (MW/M) × LOS. Closed-form expressions for flight time, arc displacement, maximum height, and mean mechanical power were derived analytically from energy conservation and compared against free-fall predictions across seven pendulum arm lengths (LOW = 0.50–2.00 m) and 500 initial hand velocities per length, using adaptive Gauss–Kronrod quadrature (relative tolerance 10−10) with ODE cross-validation (maximum discrepancy < 2.5 × 10−7 s). Results: Flight time equivalence (tH = tG) was formally established. The free-fall model overestimated flight time by up to 18.82% (Δt = 0.096 s; LOW = 0.50 m, VH,0 = 2.50 m/s) and maximum height by up to 28.43% (Δh = 0.087 m; LOW = 0.50 m, tflight = 0.50 s), with both errors growing nonlinearly with initial velocity. Overestimation in height was proportionally larger at shorter pendulum arm lengths (18.18% at tflight = 0.30 s for LOW = 0.50 m vs. 10.91% for LOW = 1.00 m). Conclusions: The pendulum model provides a physically consistent, analytically tractable framework for geometry-adjusted upper-body power assessment from four field-obtainable anthropometric inputs. These results reflect computational self-consistency; prospective experimental validation against force-plate kinematics is required before applied deployment. Prospective empirical validation against dual force-plate and motion-capture reference data is required to establish the model’s accuracy boundaries under real push-up kinematics. Full article
(This article belongs to the Special Issue Biomechanics of Physical Exercise)
Show Figures

Figure 1

Back to TopTop