Abstract
Sulfur particle deposition and wellbore blockage significantly hinder the productivity of high-sulfur gas wells, necessitating accurate prediction of the critical gas flow velocity to prevent deposition. This study presents a comprehensive force-based model to determine the critical gas flow velocity in vertical wells, explicitly incorporating adhesion, boundary layer effects, and particle detachment mechanisms. Through detailed analysis, the forces acting on sulfur particles of varying sizes and flow velocities, as well as the key factors influencing the critical gas flow velocity, were examined. The results demonstrated strong agreement with the experimental data, with a mean absolute percentage error of 6%, while revealing significant deviations from the conventional critical gas suspension velocity, validating the model’s enhanced accuracy and its necessity. This study identified adhesive forces as dominant for small particles (<100 µm) at low velocities (≤10 m/s), whereas gravitational and inertial forces prevailed for larger particles. Key parameters such as the particle size, sphericity, Hamaker constant, friction coefficient, and rolling arm length ratio critically influenced the deposition velocity and detachment mechanisms. These findings provide fundamental insights into sulfur deposition dynamics and establish a scientific basis for optimizing wellbore operations to mitigate sulfur accumulation and improve production efficiency in high-sulfur gas wells.
1. Introduction
Sulfur deposition and clogging in the production tubing of vertical wells pose significant challenges to the economical and efficient development of high-sulfur gas reservoirs worldwide [1]. Sulfur deposition within production tubing is strongly influenced by changes in temperature, pressure, and gas flow velocity [2]. As natural gas travels from the bottom of the well to the wellhead, the temperature gradually decreases. This, combined with the decline in reservoir pressure during development, acts to lower sulfur solubility in the gas, leading to a higher concentration of elemental sulfur [3,4]. This change intensifies the frequency of sulfur particle collisions with the tubing walls. A further effect of declining reservoir pressure is the reduction in gas flow velocity within the tubing. When the flow velocity falls below a critical threshold, sulfur particles colliding with the tubing walls are captured and deposited, forming layers on the inner surface. These deposits progressively narrow the flow path, further reducing gas production, accelerating tubing corrosion, and introducing critical risks to operational safety [5,6]. Optimizing gas well production parameters to ensure that the gas flow velocity within the wellbore remains above the critical threshold is an effective strategy for preventing sulfur particle deposition [7]. Thus, accurately determining this critical velocity is of paramount importance.
The critical gas flow velocity for sulfur deposition is typically defined as the critical suspension velocity of sulfur particles—the minimum velocity required for gas flow to suspend and transport these particles. The simplest approach for calculating this velocity is to analyze the force balance on sulfur particles in the tubing—namely, gas drag, buoyancy, and gravity [8,9,10]. In deviated wells, additional factors such as friction between sulfur particles and the tubing wall, as well as the torque generated by their rolling motion along the wall, are incorporated into the critical flow velocity model of sulfur deposition [11,12,13]. While the concept of the critical suspension velocity effectively explains sulfur particle deposition at the wellbore bottom, it does not account for the progressive development of sulfur particle deposition on the inner walls of the tubing, particularly from top to bottom [14,15]. This suggests that adhesive forces must play a role both between the sulfur particles and between the particles and the tubing wall, enabling the particles to adhere firmly to the inner wall and accumulate into increasingly thicker layers, especially in vertical wells [16]. Therefore, the critical velocity should not only suspend sulfur particles but also facilitate their detachment from the tubing wall to effectively prevent deposition.
Although several studies have investigated critical velocities to prevent sulfur particle deposition with adhesive forces, significant knowledge gaps persist with regard to their application in vertical wells. Through experimental investigations of air–water–sulfur particle multiphase flow, ref. [17] examined sulfur transport behavior in gas–liquid systems, establishing a predictive model for critical gas velocity on the basis of particle transport mechanisms. For vertical wellbores, ref. [18,19] developed a critical velocity model incorporating lift and adhesive forces to detach deposited sulfur particles, whereas [20] extended this model to wet sulfur particles by including liquid bridge forces. In contrast, horizontal pipeline research has extensively addressed hydrate deposition, focusing on critical velocity prediction under adhesive forces (e.g., van der Waals, liquid bridge) [21,22,23] and applying numerical simulation methods such as computational fluid dynamics and discrete element methods to study adhesive particles in horizontal [16] and curved pipelines [24,25,26,27]. However, these numerical approaches involve complex operations and substantial computational costs. Critically, deposited particles additionally detach through sliding and rolling mechanisms [16], and boundary layer effects induce near-wall velocity gradients, promoting deposition [22]. While existing works have systematically investigated critical flow velocities for adhesive particles, three fundamental limitations remain unaddressed in vertical systems: (1) simultaneous integration of boundary layer effects with sliding, rolling, and lifting detachment mechanisms; (2) sulfur-specific particle–wall interactions; and (3) multiparameter force analysis sulfur particles of varying sizes under dynamic flow conditions, particularly in vertical wells.
To bridge these research gaps, this paper presents a comprehensive model that (1) analyzes all three detachment mechanisms (lifting, sliding, and rolling) of deposited sulfur particles; (2) determines the critical gas velocity for particle suspensions in vertical wells by integrating adhesive/frictional forces with boundary layer effects; (3) identifies the dominant forces governing sulfur particle motion and deposition across varying flow regimes for different particle sizes; and (4) systematically quantifies the impact of particle characteristics (size, sphericity, friction coefficient, rolling arm ratio, and Hamaker constant) on the critical velocity and detachment mechanism. This approach provides novel, actionable guidelines for defining regimes for sulfur deposition flow prevention, enabling sustainable vertical well production.
2. Critical Gas Flow Velocity Model
2.1. Mechanisms of Sulfur Particle Detachment from the Pipe Wall
In the production process of high-sulfur gas wells, sulfur particles are generated within the pipeline because of a decrease in temperature and pressure. Under the action of natural gas flow, these particles are transported upward in the vertical pipe. When the gas flow velocity is sufficiently high, the particles can be transported to the surface without deposition. However, when the gas flow velocity falls below the critical value, sedimentation or deposition occurs. In vertical wells, settling and deposition represent two fundamentally distinct processes, in contrast to horizontal wells. Settling progresses upward from the bottom of the wellbore, whereas deposition develops downward from the wellhead. Each of these processes is fundamentally governed by the forces acting upon the particles.
As shown in Figure 1, the forces acting on the sulfur particles deposited on the vertical pipe wall include the drag force Fd exerted by the gas on the particle surface due to viscous effects; the lift force Fl generated by the velocity difference across the right and left surfaces of the particle and the vortices formed behind it; the gravity Fg acting on the particle; the buoyancy Fb produced by the gas; and the contact friction Ff due to the relative motion between the particle and the pipe wall. In a vertical well, the deposition of sulfur particles onto the wall is contingent upon the adhesive forces Fa between the sulfur particles and the wall. In the absence of such adhesive interactions, particles incapable of being entrained by the gas will eventually settle at the bottom of the well. Under the combined action of these forces, particles in contact with the pipe wall during transport can detach by sliding, lifting, or rolling, subsequently becoming re-entrained by the gas. For the rolling-detachment model applied in this study, we assumed dry gas conditions with negligible interparticle interactions, as justified by the low sulfur concentration (0.2–0.5 g/m3) in the target gas field. This corresponded to a volume fraction of approximately 10−8–10−7, confirming a dilute particle regime. Notably, the current model focuses on steady-state flow conditions and does not account for transient effects such as flow pulsation or turbulent transition. These limitations are acknowledged as potential factors in real-world scenarios but are beyond the scope of this work. Accordingly, for sulfur particle deposition on vertical well walls, the critical gas velocity was determined by the lowest threshold velocity among these three detachment mechanisms.
Figure 1.
Force diagram of the sulfur particle migration and deposition process.
2.2. Model Derivation
The deposition of sulfur particles primarily occurs near the pipe wall, where the gas flows through the boundary layer due to viscous effects. To determine the gas velocity acting on the surface of the sulfur particles, it is first necessary to determine the boundary layer velocity distribution near the pipe wall.
The boundary layers are defined by the dimensionless height y+, as follows:
where y is the distance in m from the pipe wall; ρf is the gas density in kg/m3; and μ is the dynamic viscosity of the gas in Pa·s. For the sulfur particle deposited on the wall, y = d/2, and d is the sulfur particle diameter in m. Therefore, Equation (1) can be rewritten as:
The friction velocity u* is defined as:
where U is the average gas velocity inside the pipe in m/s. Cf is the Fanning friction factor, which can be calculated as follows:
The Reynolds number is:
where D is the diameter of the pipe in m.
u+ is the dimensionless velocity, defined as follows:
where Up is the gas velocity in m/s at the center of the deposited sulfur particle.
Reichardt’s boundary layer velocity distribution formula provides the relationship between y+ and u+ [28]:
By solving Equations (2)–(7) in conjunction, the gas velocity Up at the centroid of the sulfur particles deposited on the pipe wall can be derived for further computational purposes.
The drag force of the sulfur particle deposited on the pipe wall can be calculated as follows [29]:
where nw is the wall coefficient, which has been precisely determined to be 1.7009 [30]; Ap is the cross-sectional area of the particle in the direction of fluid flow, in m2; and CD is the drag coefficient, which is a function related to the particle Reynolds number Rep () and the sphericity of the particle. Equation (8) can be further simplified into:
In this paper, the universal drag coefficient formula proposed by Hölzer et al. (2008) is adopted [31]. This formula can be used to calculate the drag coefficient for particles of different sphericities, and it is valid for 10−3 < Re < 107. For ideal spherical particles, more refined drag coefficient correlations exist [32].
where ϕ is the sphericity, which is the ratio of the surface area of a standard sphere to the surface area of the particle, ϕ = 1 for regular spherical particles; is the ratio of half the cross-sectional area of a standard sphere equivalent in volume to the particle to the difference between the particle’s surface area and its projected cross-sectional area; and ϕ⊥ is the ratio of the cross-sectional area of a standard sphere equivalent in volume to the particle to the particle’s projected cross-sectional area.
After the friction velocity is calculated, the lift force experienced by the particle can be calculated via the model proposed by Mollinger and Nieuwstadt (1996) [33]:
By replacing the kinematic viscosity v with the dynamic viscosity μ and the particle radius rp with the particle diameter d in the formula, a new lift force calculation formula is obtained as follows:
The gravity and buoyancy acting on the sulfur particles in the gas are as follows:
where ρp is the sulfur particle density, in kg/m3; g is the gravitational acceleration, with a value of 9.81 m/s2;
Owing to the contact between the sulfur particles and the pipe wall, friction is generated between the particles and the wall in the direction opposite to the gas flow.
Due to the solid–solid contact between the particles and the pipe wall, van der Waals forces generate an adhesive interaction between the particles and the wall. The adhesive force Fa is calculated via the van der Waals equation [34]:
where AH is the Hamaker constant, which takes different values for different particles. For sulfur particles, AH = 1.2 × 10−19 J [35]. H is the separation distance between the particles and the wall, relating to the particle radius as H = 8 × 10−5 rp [36].
As shown in Figure 1, when the external forces on the sulfur particles deposited on the wall are greater than the adhesion force, the particles separate from the pipe wall and return to the gas stream via three main processes: sliding, rolling, and lifting [37,38,39].
When the lift force is greater than the adhesive force, the sulfur particle gradually breaks away from the pipe wall in the form of a lift; conversely, it adheres to the wall. On the basis of this criterion (C1), the critical gas velocity Ucl for sulfur particles lifting from the pipe wall can be determined.
If the sum of the drag force and buoyancy is greater than the sum of gravity and friction, the sulfur particle slides when it is removed by the external force on the adhesive surface. On the basis of this criterion (C2), the critical gas velocity Ucs for sulfur particles sliding along the pipe wall can be determined.
When a sulfur particle adheres to the pipe wall due to the deposition of an external force, a contact surface is created with the wall because of its deformable nature. This contact surface exists for a certain length, manifesting itself as Lx in the transverse direction and Ly in the longitudinal direction, giving rise to a moment in the corresponding force and giving the sulfur particle the possibility of rolling. If the moments of the drag, lift, and buoyancy forces are greater than the sum of the gravitational and adhesive forces, then the sulfur particle is removed by the external forces on the surface of the pipe in a rolling state. On the basis of this criterion (C3), the critical gas velocity Ucr for sulfur particles rolling on the pipe wall can be determined.
If none of the three motion conditions are met, the sulfur particles continue to deposit on the pipe walls. Thus, the expression for the critical gas flow velocity to prevent sulfur particle deposition can be obtained as follows:
By solving Equations (1)–(20) simultaneously, the critical gas flow velocity to prevent sulfur particle deposition in vertical wells can be determined.
2.3. Calculation Parameter Settings and Solution Strategy
The above equations were solved numerically via a Python 3.12-based script. The initial gas velocity was used as an input to iteratively solve these equations, which were then evaluated against the deposition criteria for sulfur particles. If none of the criteria are met, the sulfur particles deposit on the pipe wall at the given velocity, necessitating an increase in the flow velocity. The process continues until at least one of the criteria is satisfied, indicating that the sulfur particles will not deposit at this velocity, which is defined as the critical velocity. The flow velocity subsequently decreases until all the criteria are met, defining the exact critical conditions for the onset of deposition. The specific model parameters utilized in the calculations are shown in Table 1.
Table 1.
Calculation parameters for the critical gas flow velocity to prevent sulfur particle deposition.
3. Results and Discussions
3.1. Validation
The model proposed in this study was validated using experimental data reported by Liu (2021) on quartz particles within a 30 mm diameter pipe [40]. The data specifically investigated particle detachment from the pipe wall under gas flow conditions, which is highly relevant for validating the deposition behavior predicted by the proposed model. The results from our model agreed well with Liu’s experimental findings, both in terms of numerical values and the overall trend of data variation (see Figure 2). Quantitatively, the mean absolute error (MAE) between the model and experimental critical velocities was 0.29 m/s, and the mean absolute percentage error (MAPE) was 6%. This consistency indicates that the derived model effectively captures the critical gas flow dynamics necessary for sulfur particle detachment and provides a reliable basis for understanding deposition behavior in vertical wells.
Figure 2.
Comparison of the model in this paper with the experimental results of Liu (2021) [40].
3.2. Forces Acting on Deposited Sulfur Particles
Figure 3 shows the ratio of the external force to the gravitational force of different-sized sulfur particles in vertical wellbores across a range of flow velocities (1 m/s, 5 m/s, 10 m/s, and 100 m/s). The ratio of the external force to the gravitational force is used to describe the relative magnitude of other external forces, as gravity depends on the particle density, diameter, and gravitational acceleration. Owing to the significantly lower density of gas compared with sulfur particles, the buoyancy-to-gravity ratio was only 3.48 × 10−4 and was independent of the particle diameter and flow velocity. The influence of buoyancy on particle motion and deposition is negligible. The ratios of the drag force, lift force, adhesive force, and friction force to gravity all decreased gradually with increasing particle diameter. The ratios of the drag force and lift force to gravity increased with the increasing gas flow velocity, whereas the friction force decreased as the gas flow velocity increased. The adhesive force remains unaffected by changes in the flow velocity.

Figure 3.
Ratio of the external force to the gravitational force of different-sized sulfur particles at various gas flow velocities. (a) U = 1 m/s; (b) U = 5 m/s; (c) U = 10 m/s; (d) U = 100 m/s.
At low flow velocities (≤10 m/s), for sulfur particles with a diameter of d ≤ 70 μm, the adhesive force and friction force were significantly greater than the gravitational force, dominating the motion and deposition of the sulfur particles. For sulfur particles with 70 μm < d ≤ 100 μm, the adhesive force was notably greater than the gravitational force, which also governs the particles’ motion and deposition. For sulfur particles with d > 100 μm, the gravitational force exceeded all external forces, primarily controlling their motion and deposition, with this dominance becoming stronger as the particle size increased. As the gas flow velocity increased from 1 m/s to 100 m/s, the friction force decreased slightly, whereas the drag force and lift force increased significantly. At a flow velocity of 100 m/s, for sulfur particles with d ≤ 70 μm, the adhesive force, friction force, drag force, and lift force were considerably greater than the gravitational force, jointly dominating the motion and deposition of the sulfur particles. For 70 μm < d ≤ 100 μm particles, the adhesive force, drag force, and lift force were significantly greater than the gravitational force, indicating motion and deposition behavior. For sulfur particles with 100 μm < d ≤ 200 μm, the drag force, buoyant force, and gravitational force were comparable and jointly controlled their motion and deposition. For particles with d > 200 μm, the gravitational force was slightly greater than the drag force and buoyant force, collectively governing the particles’ motion and deposition. These results indicate that van der Waals forces have a significant effect on the adhesive deposition of small sulfur particles, an effect that gradually diminishes as the particle size and flow velocity increase.
3.3. Effect of Size and Sphericity of Sulfur Particle
Figure 4 shows the critical gas flow velocity required to prevent the deposition of different sizes of sulfur particles in vertical wells and the free settling velocity of the sulfur particles in the gas. As the sulfur particle size increases from 10 μm to 1000 μm, the critical gas flow velocity first increases and then decreases, reaching a maximum at a particle diameter of 95 μm. For sulfur particles with d ≥ 300 μm, the critical gas flow velocity approaches zero. The free settling velocity of sulfur particles in gas increases with increasing particle size. When d < 300 μm, the critical gas flow velocity exceeds the free settling velocity, whereas for d ≥ 300 μm, the critical gas flow velocity falls below the free settling velocity. These results indicate that owing to the presence of adhesive forces, using the free settling velocity as the critical flow velocity for sulfur particle deposition in vertical wells results in significant errors.
Figure 4.
Critical gas flow velocity to prevent the deposition of different sizes of sulfur particles in vertical wells.
In Figure 4, C1 represents the critical velocity where the lift force exceeds adhesion (Fl ≥ Fa), whereas C3 corresponds to the point where combined forces overcome deposition (Fd + Fb − Fg ≥ (Ly/Lx)·(Fa − Fl)). For sulfur particles with d < 100 μm, the dominance of adhesive forces makes it difficult for the particles to detach from the pipe walls through sliding or lifting, even at high flow velocities, and they can overcome deposition only through rolling. According to Equation (19), when Ly/Lx is small, the equation is governed primarily by the drag force and gravity. As the particle size increases, the gravitational force also increases, requiring a greater drag force and a higher gas flow velocity for particle rolling. For sulfur particles with d ≥ 100 μm, the reduction in adhesive force allows them to detach from the pipe walls through lifting. In this case, as the adhesive force decreases and the lift force increases, larger particles require lower velocities to break free from deposition. For sulfur particles with d ≥ 300 μm, the adhesive force is minimal, making it difficult for these particles to be deposited on the pipe walls; instead, they are more likely to settle at the bottom of the pipe.
Figure 5 shows the impact of sphericity on the critical velocity for sulfur particles of different sizes. As shown in Figure 4, the drag force influences the deposition of the sulfur particles only when d < 100 μm. The magnitude of the drag force is affected by the particles’ sphericity; therefore, this study considered the impact of sphericity on the critical gas flow velocity for sulfur particles with diameters of 1, 10, and 50 μm. The results showed that higher sphericity was correlated with higher critical velocities, a trend particularly notable for larger particles (≥100 μm). Spherical particles (sphericity = 1) were more prone to deposition. This is because as the sphericity increases, the drag coefficient decreases, requiring a higher gas flow velocity for sulfur particles to achieve the same drag force needed for rolling.
Figure 5.
Critical gas flow velocity to prevent the deposition of sulfur particles with different sphericities in vertical wells.
3.4. Effect of Coefficient of Friction and Moment of Sulfur Particle
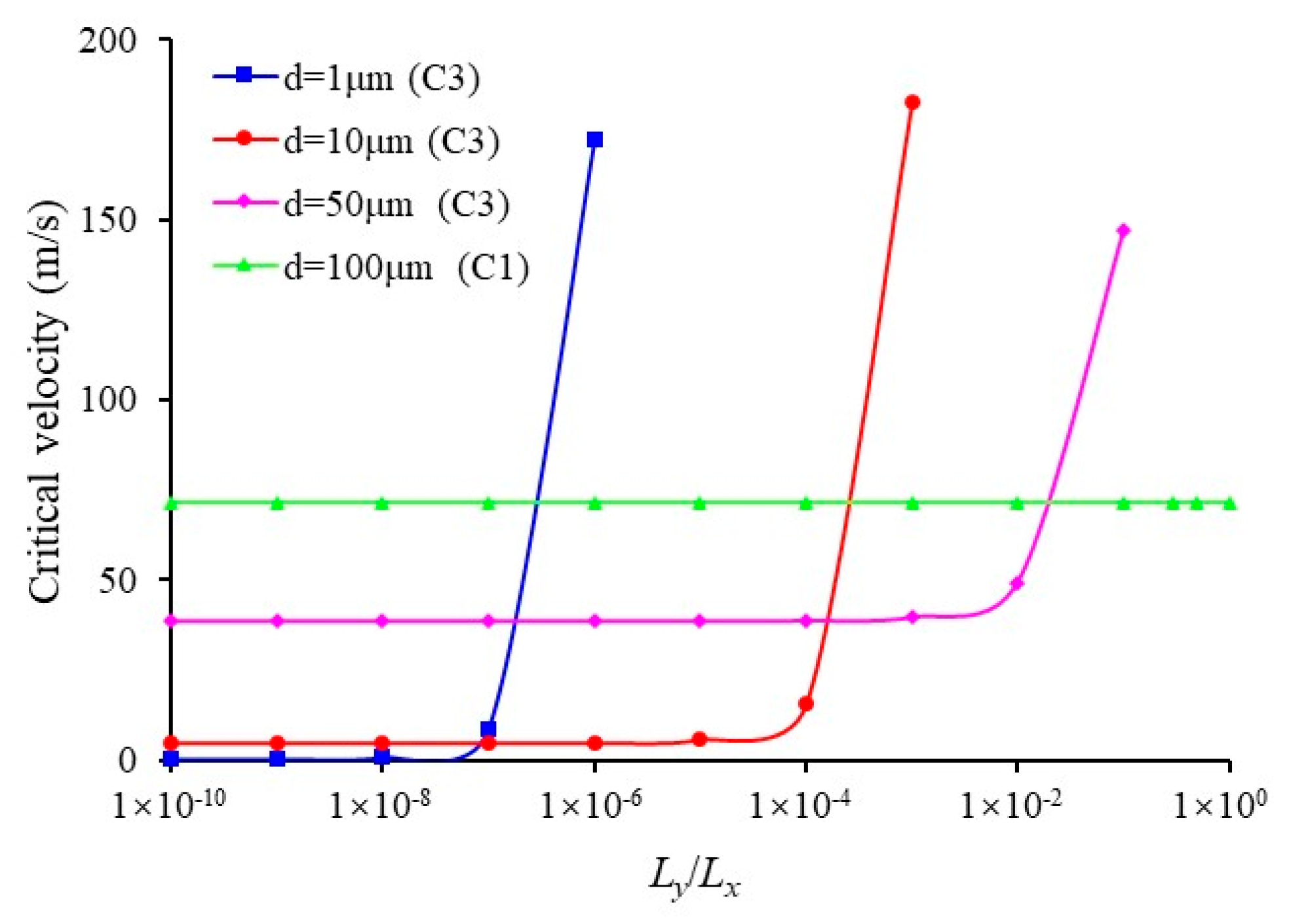
Figure 6 and Figure 7 show the impacts of the moment arm length ratio (defined as Ly/Lx in Equation (19)) and friction coefficient on the critical gas flow velocity needed to prevent the deposition of sulfur particles of different sizes along pipe walls, respectively. The results indicate that both the moment arm length ratio and friction coefficient significantly influence small-sized particles (d ≤ 50 μm). When their values are low, they have minimal impact on the critical gas flow velocity. However, as their values increase beyond a certain threshold, the critical gas flow velocity increases sharply. Additionally, this threshold increases with increasing particle size. For larger particles (100 μm), however, the critical velocity remains nearly constant, suggesting that for these larger particles, the adhesion forces play a smaller role than the lift and drag forces. According to Equations (18) and (19), when f > Ly/Lx, the sulfur particles are more inclined to roll, thereby overcoming the adhesive force and separating from the pipe wall (Figure 6). In contrast, when the friction coefficient is small, the particles tend to slide to dislodge (Figure 7).
Figure 6.
Critical gas flow velocity to prevent sulfur particle deposition under varying moment arm–length ratios for different particle sizes.
Figure 7.
Critical gas flow velocity to prevent sulfur particle deposition under varying friction coefficients for different particle sizes.
These results indicate that for small particles, owing to their strong adhesion and minimal lift force, the sulfur particles detach from deposition through rolling and sliding. In cases with a small moment arm ratio, the rougher the surfaces of the sulfur particles and the pipe walls, the higher will be the friction coefficient and the greater the critical gas flow velocity. For scenarios with a low friction coefficient, the larger the contact area between the particles and the pipe walls and the greater the asperities on the pipe walls, the higher the moment arm ratio and the greater the critical gas flow velocity. For larger particles, owing to the increased lift force and reduced adhesion, the sulfur particles detach by lifting, and the friction coefficient and moment arm ratio no longer have an effect.
3.5. Effect of Hamaker Constant
The Hamaker constant range (1 × 10−21–5 × 10−19 J) was selected on the basis of values reported in Refs. [35,41], with the upper limit representing an extreme case observed in high-adhesion scenarios. Figure 8 shows the influence of the Hamaker constant on the critical gas flow velocity to prevent the deposition of sulfur particles with different Hamaker constants. For smaller particles (1 μm and 10 μm), the critical gas flow velocity is largely unaffected by an increase in the Hamaker constant. This is because the detachment of small particles must satisfy the C3 criterion, which is primarily controlled by the drag force and gravity. Therefore, regardless of the increase in the Hamaker constant, the critical gas flow velocity remains constant. For larger particles (50 μm and 100 μm), an increase in the Hamaker constant leads to a shift in the detachment mechanism—from lift-driven detachment (“C1”) to sliding-driven detachment (“C3”). This is due to the enhanced lift force and reduced adhesive force acting on larger particles, making them easier to lift at lower Hamaker constants. As the Hamaker constant increases, the effectiveness of lift-driven detachment decreases, necessitating higher flow velocities to overcome adhesion through sliding. The Hamaker constant between the sulfur particles and the tubing is influenced by the material properties, surface roughness, surrounding medium, temperature, humidity, and surface chemical characteristics. Changes in these factors can lead to variations in the Hamaker constant, thereby impacting the critical gas flow velocity.
Figure 8.
Critical gas flow velocity to prevent the deposition of sulfur particles with different Hamaker constants.
4. Conclusions
This study investigated the critical gas flow velocity necessary to prevent sulfur particle deposition in vertical wells, focusing on adhesive forces, boundary layer effects, and particle detachment mechanisms. The key findings are as follows.
The proposed model showed acceptable agreement with experimental data for quartz particles in a 30 mm pipeline, effectively capturing both numerical precision and trends. Its notable deviation from the conventional critical gas suspension velocity highlights the importance of incorporating adhesive forces, boundary layer effects, and particle detachment mechanisms into the model.
The adhesive forces between the sulfur particles and the pipe wall were identified as the primary factors influencing the critical gas flow velocity, especially for smaller particles (<100 µm). At lower gas flow velocities (≤10 m/s), these adhesive forces significantly hinder particle detachment.
The critical gas flow velocity is highly sensitive to the particle size, sphericity, friction coefficient, rolling arm–length ratio, and Hamaker constant. Variations in these parameters can lead to significant changes in the critical velocity and particle detachment mechanisms. Accurate characterization of these properties is crucial for determining production rates that effectively prevent sulfur deposition in high-sulfur gas wells.
Practical recommendations include maintained the down-hole gas velocity at ≥1.2× the model-predicted critical velocity (calculated with the local particle-size distribution and tubing diameter) and recalibrating key inputs at each work-over cycle to keep the model accurate and ensure reliable control of sulfur deposition.
Author Contributions
Conceptualization, T.L.; methodology, D.H., M.Z. and W.L.; validation, R.Z. and S.Y.; formal analysis, M.Z.; investigation, D.H.; data curation, W.L.; writing—original draft preparation, D.H.; writing—review and editing, T.L.; supervision, S.Y.; project administration, L.Z.; funding acquisition, L.Z. All authors have read and agreed to the published version of the manuscript.
Funding
This research was funded by the Technology Development Project of PetroChina Southwest Oil & Gasfield Company, grant number JS2023-113.
Data Availability Statement
The original contributions presented in this study are included in this article; further inquiries can be directed to the corresponding author.
Conflicts of Interest
Authors Lianjin Zhang, Dong Hui, Tao Li, Wei Liu, Ruiduo Zhang, Mengfei Zhou and Shan Yuan were employed by the PetroChina Southwest Oil & Gasfield Company. The authors declare that the research was conducted in the absence of any commercial or financial relationships that could be construed as a potential conflict of interest.
References
- Santos, J.P.L.; Lobato, A.L.; Moraes, C.; Santos, L.C.L. Determination of Elemental Sulfur Deposition Rates for Different Natural Gas Compositions. J. Pet. Sci. Eng. 2015, 135, 461–465. [Google Scholar] [CrossRef]
- Fu, D. Dynamic Characteristics and Countermeasures of Sulfur Plugging in Gas Wells of Puguang Gas Field. J. Southwest Pet. Univ. (Sci. Technol. Ed.) 2023, 45, 119–130. [Google Scholar] [CrossRef]
- Tang, Y.; Voelker, J.; Keskin, C.; Xu, Z.; Hu, B.; Jia, C. A Flow Assurance Study on Elemental Sulfur Deposition in Sour Gas Wells. In Proceedings of the SPE Annual Technical Conference and Exhibition, Denver, CO, USA, 30 October–2 November 2011. [Google Scholar] [CrossRef]
- Li, C.J.; Liu, G.; Jia, W.L. Elemental Sulfur Deposition in High Sulfur-Content Natural Gas Transmission Pipelines: A Review. Chin. Sci. Bull. 2018, 63, 816–827. (In Chinese) [Google Scholar] [CrossRef]
- Roberts, B. Flow Impairment by Deposited Sulfur: A Review of 50 Years of Research. J. Nat. Gas Eng. 2017, 2, 84–105. [Google Scholar] [CrossRef]
- Wen, S.; Jia, C.; Li, H.; Zhao, F.; Chen, Y. Development Concept and Management Model of PetroChina’s First International Cooperation Project of Onshore High-Sulfur Gas Field. Nat. Gas Ind. 2021, 41, 58–68. [Google Scholar] [CrossRef]
- Wang, Z.; Wang, Y.; Sun, T.; Li, K.; Zhou, J.; Luo, Y.; Zhu, G. Dynamic Characteristics and Carrying-Law Simulation of Sulfur Droplets in the Wellbore of High-Sulfur Gas Wells. Fault-Block Oil Gas Field 2023, 30, 458–465. [Google Scholar] [CrossRef]
- Gao, Z.; Gu, S.; Zeng, J. Sulfur Deposition Model in the Wellbore of High-Sulfur Gas Wells. Fault-Block Oil Gas Field 2022, 29, 139–144. [Google Scholar] [CrossRef]
- Ding, Y.; Jiang, D.; He, X.; Yue, P.; Feng, J.; He, J. Simulation of Sulfur Deposition in High-Sulfur Gas Well of Feixianguan Formation, Tieshanpo. In Proceedings of the 2024 International Petroleum and Petrochemical Technology Conference, Beijing, China, 25–27 March 2024. [Google Scholar] [CrossRef]
- Xiong, R.; Guo, J.; Kiyingi, W.; Hu, Y.; Qiao, X.; Wang, L.; Tan, B. Numerical Model of Asphaltene Deposition in Vertical Wellbores: Considerations of Particle Shape and Drag Force. Powder Technol. 2024, 448, 120284. [Google Scholar] [CrossRef]
- Guo, X.; Chen, Y.; Shi, J.; Yang, H.; Jia, H. Prediction of Sulfur Deposition in the Wellbore of High-Sulfur Deviated Wells. Pet. Geol. Oilfield Dev. Daqing 2021, 40, 57–64. [Google Scholar] [CrossRef]
- Guo, X.; Wang, P.; Ma, J.; Jia, C. Numerical Simulation of Sulfur Deposition in Wellbore of Sour-Gas Reservoir. Processes 2022, 10, 1743. [Google Scholar] [CrossRef]
- Huang, S.; Liu, J.; Wang, X.; Shi, S. Experimental Study and Modeling of Sulfur Particle Migration in High-Sulfur Gas Wells. Pet. Sci. Technol. 2025, 1–27. [Google Scholar] [CrossRef]
- Liu, W.; Huang, X.; Zhang, L.; He, J.; Cen, X. Analysis of Sulfur Deposition for High-Sulfur Gas Reservoirs. Pet. Sci. Technol. 2022, 40, 1716–1734. [Google Scholar] [CrossRef]
- Li, Q.; Zeng, D.; Li, T.; Zhang, R.; Shi, Z.; You, Y.; Zeng, J. Modeling Multiphase Transport and Sulfur Deposition in Wellbores with Application to Sour Gas Production. SPE J. 2025, in press. [CrossRef]
- Wang, Z.; Li, Z.; Pei, J.; Ma, N.; Zhang, J.; Sun, B. Simulation of Hydrate Particle Aggregation and Deposition in Gas-Dominated Flow. SPE J. 2024, 29, 1492–1509. [Google Scholar] [CrossRef]
- Wang, Z.; Peng, J.; Wang, X.; Liu, Z.; Chen, J.; Shi, H. Experiment on Sulfur-Carrying Particles in Gas–Liquid Two-Phase Flow and Prediction Method of Critical Velocity for Sulfur-Carrying Gas. Oil Drill. Prod. Technol. 2025, 47, 35–43. [Google Scholar] [CrossRef]
- Zeng, S.; Yang, X.; Zhang, Q.; Xu, C.; Liu, J.; Han, Y.; Liang, X.; Yao, G. Investigating on the Prediction Model of Sulfur Deposition in High Sour Gas Wells. Procedia Eng. 2012, 29, 4267–4272. [Google Scholar] [CrossRef]
- Xu, C.; Wang, J.; Zeng, S. Prediction Model of Sulfur Deposition in the High Sulfur Gas Well Bore. In Fuzzy Information and Engineering Volume 2; Cao, B., Li, T., Zhang, C., Eds.; Advances in Intelligent and Soft Computing Volume 62; Springer: Berlin/Heidelberg, Germany, 2009; pp. 439–446. [Google Scholar] [CrossRef]
- Hu, J.; Luo, W.; He, S.; Zhao, J.; Wang, X. Sulfur Glomeration Mechanism and Critical Velocity Calculation in Sour Gas Wellbore. Procedia Environ. Sci. 2011, 11, 1177–1182. [Google Scholar] [CrossRef]
- Li, S.; Yin, F.; Qi, Y.; Su, X.; Gao, Y. Critical Deposition Velocity of Hydrate Particles in Undulating Sections of Gas Pipelines. In Proceedings of the International Conference on Computational & Experimental Engineering and Sciences, Shenzhen, China, 26–29 May 2023. [Google Scholar] [CrossRef]
- Nicholas, J.W.; Dieker, L.E.; Sloan, E.D.; Koh, C.A. Assessing the Feasibility of Hydrate Deposition on Pipeline Walls: Adhesion-Force Measurements of Clathrate Hydrate Particles on Carbon Steel. J. Colloid. Interface Sci. 2009, 331, 322–328. [Google Scholar] [CrossRef]
- Fu, J.; Liu, Y.; Zhao, J.; Song, Y.; Liu, Z. Theoretical Model for Hydrate Removal in Gas-Dominated Pipelines. Energy Procedia 2019, 158, 5349–5354. [Google Scholar] [CrossRef]
- Wang, Z.; Ma, N.; Zhang, J.; Pei, J.; Tong, S.; Sun, B. Numerical Modeling of Hydrate Particle Deposition in Pipes with Diameter Reduction. SPE J. 2023, 28, 522–539. [Google Scholar] [CrossRef]
- Hosseini, S.F.; Mozaffarian, M.; Dabir, B.; van den Akker, H.E. Coupled DEM–CFD Analysis of Asphaltene Particle Agglomeration in Turbulent Pipe Flow. Chem. Eng. J. 2024, 486, 150070. [Google Scholar] [CrossRef]
- Ma, N.; Wang, Z.; Zhang, J.; Liu, P.; Peng, Y. Simulation of Hydrate Migration and Deposition in Pipes with Diameter Reduction and Direction Variation. SPE J. 2024, 29, 3616–3634. [Google Scholar] [CrossRef]
- Zhang, L.; Jin, R.; Wang, J.; Yao, H.; Li, Y.; Yin, F.; Song, Y. Kinetic Properties and Dynamic Distribution of Hydrate Particles in a Water-Dominated System. Energy Fuels 2024, 38, 18457–18468. [Google Scholar] [CrossRef]
- Reichardt, H. Vollständige Darstellung der Turbulenten Geschwindigkeitsverteilung in Glatten Leitungen. Z. Angew. Math. Mech. 1951, 31, 208–219. [Google Scholar] [CrossRef]
- Rabinovich, E.; Kalman, H. Incipient Motion of Individual Particles in Horizontal Particle–Fluid Systems. Part B Theor. Analysis. Powder Technol. 2009, 192, 318–325. [Google Scholar] [CrossRef]
- O’Neill, M.E. A Sphere in Contact with a Plane Wall in a Slow Linear Shear Flow. Chem. Eng. Sci. 1968, 23, 1293–1298. [Google Scholar] [CrossRef]
- Hölzer, A.; Sommerfeld, M. New Simple Correlation Formula for the Drag Coefficient of Non-Spherical Particles. Powder Technol. 2008, 184, 361–365. [Google Scholar] [CrossRef]
- Brazhenko, V.; Mochalin, I. Terminal Velocity and Drag Coefficient of a Smooth Steel Sphere Moving in Water-Filled Vertical and Inclined Glass Pipes (Newton Regime). Powder Technol. 2024, 446, 120120. [Google Scholar] [CrossRef]
- Mollinger, A.M.; Nieuwstadt, F.T.M. Measurement of the Lift Force on a Particle Fixed to the Wall in the Viscous Sublayer of a Fully Developed Turbulent Boundary Layer. J. Fluid Mech. 1996, 316, 285–306. [Google Scholar] [CrossRef]
- Israelachvili, J.N. Intermolecular and Surface Forces, 3rd ed.; Academic Press: Cambridge, MA, USA, 2011. [Google Scholar] [CrossRef]
- Hu, J.; Yang, X.; He, S.; Zhao, J. Distribution of Sulfur Deposition Near a Wellbore in a Sour Gas Reservoir. J. Geophys. Eng. 2013, 10, 015005. [Google Scholar] [CrossRef]
- Aarons, L.; Sundaresan, S. Shear Flow of Assemblies of Cohesive and Non-Cohesive Granular Materials. Powder Technol. 2006, 169, 10–21. [Google Scholar] [CrossRef]
- Burdick, G.M.; Berman, N.S.; Beaudoin, S.P. Hydrodynamic Particle Removal from Surfaces. Thin Solid Film. 2005, 488, 116–123. [Google Scholar] [CrossRef]
- Mortazavi, R. Re-Entrainment of Submicron Solid Particles. Ph.D. Thesis, Virginia Commonwealth University, Richmond, VA, USA, 2005. [Google Scholar] [CrossRef]
- Jassim, E.; Abdi, M.A.; Muzychka, Y. A New Approach to Investigate Hydrate Deposition in Gas-Dominated Flowlines. J. Nat. Gas Sci. Eng. 2010, 2, 163–177. [Google Scholar] [CrossRef]
- Liu, Z.X. Study on Hydrate Blockage Mechanism and Characteristic in Natural Gas Transportation Pipeline. Ph.D. Thesis, Dalian University of Technology, Dalian, China, 2021. [Google Scholar] [CrossRef]
- Wang, L.; Lu, T.; Li, Z.; Guo, X. Microscopic Mechanism and Percolation Model of Dynamic Deposition of Elemental Sulfur Particles in Acidic Gas Reservoirs. ACS Omega 2024, 9, 30159–30168. [Google Scholar] [CrossRef]
Disclaimer/Publisher’s Note: The statements, opinions and data contained in all publications are solely those of the individual author(s) and contributor(s) and not of MDPI and/or the editor(s). MDPI and/or the editor(s) disclaim responsibility for any injury to people or property resulting from any ideas, methods, instructions or products referred to in the content. |
© 2025 by the authors. Licensee MDPI, Basel, Switzerland. This article is an open access article distributed under the terms and conditions of the Creative Commons Attribution (CC BY) license (https://creativecommons.org/licenses/by/4.0/).








