Sign in to use this feature.

Years

Between: -

Subjects

remove_circle_outline
remove_circle_outline
remove_circle_outline
remove_circle_outline
remove_circle_outline
remove_circle_outline
remove_circle_outline
remove_circle_outline
remove_circle_outline

Journals

remove_circle_outline
remove_circle_outline
remove_circle_outline
remove_circle_outline
remove_circle_outline
remove_circle_outline
remove_circle_outline

Article Types

Countries / Regions

remove_circle_outline
remove_circle_outline
remove_circle_outline

Search Results (440)

Search Parameters:
Keywords = event-related brain potential

Order results
Result details
Results per page
Select all
Export citation of selected articles as:
27 pages, 2073 KB  
Article
SparseMambaNet: A Novel Architecture Integrating Bi-Mamba and a Mixture of Experts for Efficient EEG-Based Lie Detection
by Hanbeot Park, Yunjeong Cho and Hunhee Kim
Appl. Sci. 2026, 16(3), 1437; https://doi.org/10.3390/app16031437 - 30 Jan 2026
Abstract
Traditional lie detection technologies, such as the polygraph and event-related potential (ERP)-based approaches, often face limitations in real-world applicability due to their sensitivity to psychological states and the complex, nonlinear nature of electroencephalogram (EEG) signals. In this study, we propose SparseMambaNet, a novel [...] Read more.
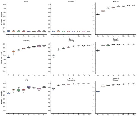
Traditional lie detection technologies, such as the polygraph and event-related potential (ERP)-based approaches, often face limitations in real-world applicability due to their sensitivity to psychological states and the complex, nonlinear nature of electroencephalogram (EEG) signals. In this study, we propose SparseMambaNet, a novel neural architecture that integrates the recently developed Bi-Mamba model with a Sparsely Activated Mixture of Experts (MoE) structure to effectively model the intricate spatio-temporal dynamics of EEG data. By leveraging the near-linear computational complexity of Mamba and the bidirectional contextual modeling of Bi-Mamba, the proposed framework efficiently processes long EEG sequences while maximizing representational power through the selective activation of expert networks tailored to diverse input characteristics. Experiments were conducted with 46 healthy subjects using a simulated criminal scenario based on the Comparison Question Technique (CQT) with monetary incentives to induce realistic psychological tension. We extracted nine statistical and neural complexity features, including Hjorth parameters, Sample Entropy, and Spectral Entropy. The results demonstrated that Sample entropy and Hjorth parameters achieved exceptional classification performance, recording F1 scores of 0.9963 and 0.9935, respectively. Statistical analyses further revealed that the post-response “answer” interval provided significantly higher discriminative power compared to the “question” interval. Furthermore, channel-level analysis identified core neural loci for deception in the frontal and fronto-central regions, specifically at channels E54 and E63. These findings suggest that SparseMambaNet offers a highly efficient and precise solution for EEG-based lie detection, providing a robust foundation for the development of personalized brain–computer interface (BCI) systems in forensic and clinical settings. Full article
(This article belongs to the Special Issue Brain-Computer Interfaces: Development, Applications, and Challenges)
Show Figures

Figure 1

45 pages, 4368 KB  
Review
Interactions Between Nutraceuticals and α-Synuclein Conformational States: Molecular Mechanisms and Neuroprotective Implications in Parkinson’s Disease
by Bruna Amenta, Rosalba Minervini, Maria Laura Matrella and Tiziana Cocco
Int. J. Mol. Sci. 2026, 27(3), 1324; https://doi.org/10.3390/ijms27031324 - 28 Jan 2026
Abstract
Synucleinopathies, including Parkinson’s disease (PD), are neurodegenerative disorders characterized by aberrant aggregation of α-synuclein (α-syn), a presynaptic protein with an intrinsic disorder nature. The transition of soluble monomers into oligomeric and fibrillar species represents a key molecular event driving neuronal dysfunction and neurodegeneration. [...] Read more.
Synucleinopathies, including Parkinson’s disease (PD), are neurodegenerative disorders characterized by aberrant aggregation of α-synuclein (α-syn), a presynaptic protein with an intrinsic disorder nature. The transition of soluble monomers into oligomeric and fibrillar species represents a key molecular event driving neuronal dysfunction and neurodegeneration. Emerging evidence suggests that nutraceuticals, bioactive compounds derived from dietary sources, can modulate α-syn aggregation at multiple conformational stages. Polyphenols, alkaloids, ginsenosides, and food-derived peptides interfere with α-syn structure and assembly, suppressing the formation of toxic oligomer species and promoting the clearance of misfolded assemblies. Despite this potential, clinical translational of nutraceuticals is currently limited by poor systemic bioavailability and restricted central nervous system penetration due to blood–brain barrier constraints, which have largely confined research to preclinical studies. In this context, this review summarizes current knowledge of nutraceutical interventions targeting the conformational landscape of α-syn and highlighting both direct and indirect molecular mechanisms with involved in aggregation-prone species. Furthermore, we critically examine key challenges related to bioavailability and clinical translation, focusing on advanced delivery systems and precision-based approaches to enhance neuroprotective efficacy and support the potential of nutraceuticals as novel or adjunctive therapeutic strategies for PD. Full article
(This article belongs to the Special Issue The Role of Natural Products in Drug Discovery: 2nd Edition)
Show Figures

Figure 1

45 pages, 15467 KB  
Review
A New Era in Computing: A Review of Neuromorphic Computing Chip Architecture and Applications
by Guang Chen, Meng Xu, Yuying Chen, Fuge Yuan, Lanqi Qin and Jian Ren
Chips 2026, 5(1), 3; https://doi.org/10.3390/chips5010003 - 22 Jan 2026
Viewed by 199
Abstract
Neuromorphic computing, an interdisciplinary field combining neuroscience and computer science, aims to create efficient, bio-inspired systems. Different from von Neumann architectures, neuromorphic systems integrate memory and processing units to enable parallel, event-driven computation. By simulating the behavior of biological neurons and networks, these [...] Read more.
Neuromorphic computing, an interdisciplinary field combining neuroscience and computer science, aims to create efficient, bio-inspired systems. Different from von Neumann architectures, neuromorphic systems integrate memory and processing units to enable parallel, event-driven computation. By simulating the behavior of biological neurons and networks, these systems excel in tasks like pattern recognition, perception, and decision-making. Neuromorphic computing chips, which operate similarly to the human brain, offer significant potential for enhancing the performance and energy efficiency of bio-inspired algorithms. This review introduces a novel five-dimensional comparative framework—process technology, scale, power consumption, neuronal models, and architectural features—that systematically categorizes and contrasts neuromorphic implementations beyond existing surveys. We analyze notable neuromorphic chips, such as BrainScaleS, SpiNNaker, TrueNorth, and Loihi, comparing their scale, power consumption, and computational models. The paper also explores the applications of neuromorphic computing chips in artificial intelligence (AI), robotics, neuroscience, and adaptive control systems, while facing challenges related to hardware limitations, algorithms, and system scalability and integration. Full article
Show Figures

Figure 1

13 pages, 697 KB  
Article
The Impact of a Rosemary Containing Drink on Cognition and Mood: The Role of Eye Blink Dynamics
by Leigh Martin Riby, Dimana Kardzhieva, Sam Fenwick, Sophia Fowler and Mark Moss
NeuroSci 2026, 7(1), 15; https://doi.org/10.3390/neurosci7010015 - 17 Jan 2026
Viewed by 252
Abstract
Rosemary (Salvia rosmarinus) has been linked to improvements in psychological wellbeing through cholinergic mechanisms. However, this study investigated whether individual differences in eye blink rate (EBR) and blink variability (EBV), which are proxies of dopaminergic activity and attentional control, influence the [...] Read more.
Rosemary (Salvia rosmarinus) has been linked to improvements in psychological wellbeing through cholinergic mechanisms. However, this study investigated whether individual differences in eye blink rate (EBR) and blink variability (EBV), which are proxies of dopaminergic activity and attentional control, influence the cognitive and mood-enhancing properties of a rosemary-containing drink. Forty-eight healthy adults completed a three-stimulus odd-ball cognitive task under rosemary or control conditions, while vertical electrooculograms were recorded. Event-related brain potentials (ERPs) were also measured using the P3a component at the Cz scalp electrode as an additional index of dopaminergic activity. Subjective mood and arousal (alert, contented, calm) were collected pre- and post-task using Bond–Lader visual analogue scales. Reaction times during the task were modelled with ex-Gaussian parameters (μ, σ, τ). Rosemary ingestion led to increased alertness and contentedness following the task. Cognitive effects were moderated by blink metrics, with significant interactions between rosemary and blink metrics for mean reaction time μ and response variability σ. Rosemary also increased P3a amplitudes, indicative of dopaminergic contribution. The effects of rosemary on cognition and mood were moderated by individual blink profiles, indicating that baseline neurocognitive state plays a role. Although cholinergic accounts are well established, this study highlights the use of proxies of dopamine to investigate broader neurotransmitter involvement in rosemary’s enhancing properties. Full article
Show Figures

Graphical abstract

19 pages, 2708 KB  
Review
A Comprehensive Review of Immunotherapeutic Modalities in Glioblastoma: Mechanisms, Efficacy, and Safety Considerations
by Savi Agarwal, Simon Han, Aadi Lal, Viranshi Vira, Anubhav Chandla, Pasha Mehranpour, Isaac Yang and Madhuri Wadehra
Cancers 2026, 18(2), 212; https://doi.org/10.3390/cancers18020212 - 9 Jan 2026
Viewed by 612
Abstract
Background: Glioblastoma multiforme (GBM), the most aggressive primary brain malignancy in adults, is associated with poor prognosis and recurrence despite standard of care and newer immunotherapies. This warrants exploration of synergistic approaches such as combination immunotherapy for improved tumor control. Methods: We initiated [...] Read more.
Background: Glioblastoma multiforme (GBM), the most aggressive primary brain malignancy in adults, is associated with poor prognosis and recurrence despite standard of care and newer immunotherapies. This warrants exploration of synergistic approaches such as combination immunotherapy for improved tumor control. Methods: We initiated a systematic review of articles from 2015–2025 in PubMed, Embase, Scopus, Cochrane, and Web of Science if they assessed immunotherapy for GBM. Results: We included 49 studies (n = 3002 patients) with no significant demographic differences across publications. Combination immunotherapy regimens demonstrated higher pooled ORRs in limited comparative analyses, though findings were driven by a small number of studies. Single-arm analysis for overall survival (OS), progression-free survival (PFS), treatment-related adverse events (TRAEs), and ORR showed no significant differences among the groups. However, treatment–control arm analysis showed pooled ORs of 9.51 for combination immunotherapies and 0.44 in the control group. Conclusions: Combining immunotherapeutics across mechanisms may potentiate immune response effectiveness against GBM. Full article
(This article belongs to the Section Cancer Therapy)
Show Figures

Figure 1

7 pages, 1400 KB  
Case Report
The Inflammatory Side of Iatrogenic Cerebral Amyloid Angiopathy: Rethinking Therapeutic Opportunities
by Mattia Losa, Andrea Donniaquio, Ilaria Gandoglia, Federico Massa, Fabio Gotta, Luca Sofia, Lorenzo Gualco, Enrico Peira, Andrea Chincarini, Luca Roccatagliata, Fabrizio Piazza, Massimo Del Sette and Matteo Pardini
Brain Sci. 2026, 16(1), 75; https://doi.org/10.3390/brainsci16010075 - 6 Jan 2026
Viewed by 363
Abstract
Background: Iatrogenic cerebral amyloid angiopathy (iCAA) is a rare form of CAA occurring decades after neurosurgical procedures involving cadaveric dural grafts. While typically associated with recurrent lobar intracerebral hemorrhages, recent reports suggest a possible overlap with CAA-related inflammation (CAAri). We report a case [...] Read more.
Background: Iatrogenic cerebral amyloid angiopathy (iCAA) is a rare form of CAA occurring decades after neurosurgical procedures involving cadaveric dural grafts. While typically associated with recurrent lobar intracerebral hemorrhages, recent reports suggest a possible overlap with CAA-related inflammation (CAAri). We report a case of iCAA with features indicative of active neuroinflammation that demonstrated a positive response to immunosuppressive therapy. Methods: Over a 12-year natural history, the patient underwent a comprehensive work-up, including serial clinical assessments, brain MRIs, core CSF biomarker analysis, amyloid PET imaging, and next-generation sequencing panel testing. Results: Previous clinical charts confirmed the use of cadaveric graft (Lyodura) in a neurosurgical intervention thirty years before. During hospitalization for seizures, brain MRI revealed, along with a severe form of CAA, an area of vasogenic edema. Given the suspicion of an active inflammatory process, corticosteroid and subsequent methotrexate maintenance therapy were introduced, leading to clinical and radiological improvement. Over 30 months of follow-up, the patient has remained clinically and radiologically stable, with no new hemorrhagic or inflammatory events. Conclusions: This case highlights the potential interplay between iCAA and neuroinflammation. The absence of new hemorrhages following immunosuppression suggests a possible disease-modifying effect, warranting further investigation into the role of neuroinflammation in iCAA and its therapeutic implications. Full article
(This article belongs to the Special Issue Cerebral Amyloid Angiopathy: Advances in the Field)
Show Figures

Figure 1

24 pages, 1338 KB  
Review
Cognition, Cytokines, Blood–Brain Barrier, and Beyond in COVID-19: A Narrative Review
by Ana Barajas, Gemma Riquelme-Alacid, América Vera-Montecinos and Belén Ramos
Int. J. Mol. Sci. 2026, 27(1), 546; https://doi.org/10.3390/ijms27010546 - 5 Jan 2026
Cited by 2 | Viewed by 638
Abstract
Numerous studies report cognitive impairment in COVID-19 patients from the acute to post-acute phases, linked to blood inflammation affecting blood–brain barrier (BBB) permeability and causing leakage of glial and neuronal proteins. However, a clear classification of these cognitive deficits and molecular blood events [...] Read more.
Numerous studies report cognitive impairment in COVID-19 patients from the acute to post-acute phases, linked to blood inflammation affecting blood–brain barrier (BBB) permeability and causing leakage of glial and neuronal proteins. However, a clear classification of these cognitive deficits and molecular blood events over time is still lacking. This narrative review summarizes the neuropsychological consequences of COVID-19 and evidence of altered cytokines and BBB disruption as potential mediators of cognitive impairment across post-infection phases. Post-COVID-19 cognitive dysfunction appears to follow a temporal course, evolving from acute focal deficits in attention, working memory, and executive function to more persistent multidomain impairments. We reviewed key cytokines released into the blood during COVID-19 infection, including antiviral (IFNγ, CXCL1, CXCL10), inflammatory (IL-1β, IL-2, IL-4, IL-6, IL-7, IL-8, IL-10, GM-CSF, TNFα), and monocyte chemoattractants (MCP1/CCL2, MCP3/CCL7, MIP-1α/CCL3, GM-CSF, G-CSF). This analysis shows that several inflammatory and viral cytokines remain elevated beyond the acute phase and are associated with cognitive deficits, including IL-6, IL-13, IL-8, IL-1β, TNFα, and MCP1 in long-term post-COVID-19 patients. In addition, we examined studies analyzing changes over time in neurovascular unit proteins as biomarkers of BBB disruption, including extracellular matrix proteins (PPIA, MMP-9), astrocytes (S100β, GFAP), and neurons (NFL). These proteins are elevated in acute COVID-19 but generally return to control levels within six months, suggesting BBB restoration. However, in patients followed for over a year, BBB disruption persists only in those with cognitive impairment and is associated with systemic inflammation, with TGFβ as a related biomarker. Although cognitive sequelae can persist for over 12 months after SARS-CoV-2 infection, further studies are needed to investigate long-term neurocognitive outcomes and their link to sustained proinflammatory cytokine elevation and brain impact. Full article
(This article belongs to the Section Molecular Neurobiology)
Show Figures

Figure 1

17 pages, 521 KB  
Article
Periodontal Bacteria and Outcomes Following Aneurysmal Subarachnoid Hemorrhage: A Prospective Observational Analysis
by Lídia Petra Pasitka, Tihamér Molnár, Edit Urbán, Péter Csécsei, Zsolt Hetesi, Jordána Mód and Ágnes Bán
Biomedicines 2026, 14(1), 48; https://doi.org/10.3390/biomedicines14010048 - 25 Dec 2025
Viewed by 362
Abstract
Background: Periodontitis has been associated with systemic diseases such as cerebrovascular events. Emerging research highlights the potential role of the microbiome in intracranial aneurysm formation and rupture. Aims: We aimed to explore the associations among periodontal pathogens and the outcomes in patients with [...] Read more.
Background: Periodontitis has been associated with systemic diseases such as cerebrovascular events. Emerging research highlights the potential role of the microbiome in intracranial aneurysm formation and rupture. Aims: We aimed to explore the associations among periodontal pathogens and the outcomes in patients with aneurysmal subarachnoid hemorrhage (aSAH). Materials and Methods: A total of 43 aSAH patients were enrolled. Clinical probing depth measurement and microbiological culture were performed for all participants. The markers of systemic immune response (IL-6, hsCRP) and brain injury (NSE, S100B) were measured between 24 and 48 h after admission. Development of delayed cerebral ischemia (DCI) as the primary and clinical outcome, based on modified Rankin Scale as secondary endpoints, comprised the chosen metrics. Results: A significant association was observed between patients with periodontal pocket depth PPD ≥ 5 mm (n = 28) and DCI, which developed in 19 patients (p = 0.007). In the subgroup of patients with PPD ≥ 5 mm significant associations were found between certain periodontal pathogens and DCI. Higher hsCRP (p = 0.05), IL-6 (p = 0.037) levels were observed in cases with periodontal pathogens, independent of the depth of the pocket, suggesting systemic inflammation. Conclusions: Elevated hsCRP and IL-6 levels, periodontal pocket depth ≥ 5 mm, and red-complex periodontal pathogens are associated with an increased risk of DCI after aSAH, suggesting a role for periodontal disease–related systemic inflammation in DCI risk stratification. Full article
Show Figures

Figure 1

22 pages, 11862 KB  
Article
Do We View Robots as We Do Ourselves? Examining Robotic Face Processing Using EEG
by Xaviera Pérez-Arenas, Álvaro A. Rivera-Rei, David Huepe and Vicente Soto
Brain Sci. 2026, 16(1), 9; https://doi.org/10.3390/brainsci16010009 - 22 Dec 2025
Viewed by 436
Abstract
Background/Objectives: The ability to perceive and process emotional faces quickly and efficiently is essential for human social interactions. In recent years, humans have started to interact more regularly with robotic faces in the form of virtual or real-world robots. Neurophysiological research regarding how [...] Read more.
Background/Objectives: The ability to perceive and process emotional faces quickly and efficiently is essential for human social interactions. In recent years, humans have started to interact more regularly with robotic faces in the form of virtual or real-world robots. Neurophysiological research regarding how the brain decodes robotic faces relative to human ones is scarce and, as such, warrants further research to explore these mechanisms and their social implications. Methods: This study uses event-related potentials (ERPs) to examine the neural correlates during an emotional face categorization task involving human and robotic stimuli. We examined differences in brain activity elicited by viewing robotic and human faces expressing both happy and neutral emotions. ERP waveforms’ amplitudes for the P100, N170, P300, and P600 components were calculated and compared. Furthermore, mass univariate analysis of ERP waveforms was carried out to explore effects not limited to brain regions previously reported in the literature. Results: Results showed robotic faces evoked increased waveform amplitudes at early components (P100 and N170) as well as at the later P300 component. Further, only mid-latency and late cortical components (P300 and P600) showed amplitude differences resulting from emotional valences, aligning with dual-stage models of face processing. Conclusions: These results advance our understanding of face processing during human–robot interaction and contribute to our understanding of brain mechanisms underlying interactions when viewing social robots, setting new considerations for their use in brain health settings and broader cognitive impact. Full article
(This article belongs to the Section Cognitive, Social and Affective Neuroscience)
Show Figures

Figure 1

33 pages, 3619 KB  
Article
Obesity and Insulin Resistance Alter Neural Processing of Unpleasant, but Not Pleasant, Visual Stimuli in Young Adults
by Brittany A. Larsen, Brandon S. Klinedinst, Tovah Wolf, Kelsey E. McLimans, Qian Wang, Parvin Mohammadiarvejeh, Mohammad Fili, Azizi A. Seixas and Auriel A. Willette
Brain Sci. 2026, 16(1), 3; https://doi.org/10.3390/brainsci16010003 - 19 Dec 2025
Viewed by 838
Abstract
Background/Objectives: Obesity and insulin resistance (IR) increase the risk of mood disorders, which often manifest during young adulthood. However, neuroelectrophysiological investigations of whether adiposity and IR modify electrocortical activity and emotional processing outcomes remain underexplored, particularly in young adults. Therefore, this study [...] Read more.
Background/Objectives: Obesity and insulin resistance (IR) increase the risk of mood disorders, which often manifest during young adulthood. However, neuroelectrophysiological investigations of whether adiposity and IR modify electrocortical activity and emotional processing outcomes remain underexplored, particularly in young adults. Therefore, this study used electroencephalography (EEG) to investigate whether obesity and/or IR moderate the relationships between brain potentials and affective processing in younger adults. Methods: Thirty younger adults completed a passive picture-viewing task utilizing the International Affective Picture System while real-time electroencephalography was simultaneously recorded. Two event-related potentials—early posterior negativity (EPN) and late positive potential (LPP)—were quantified. Affective processing parameters included mean valence ratings and stimulus-to-response-onset reaction times in response to unpleasant, pleasant, and neutral images. Body fat percentage and Homeostatic Model Assessment for Insulin Resistance values were measured. Hierarchical moderated regression analysis was utilized to test the interrelationships between brain potentials, adiposity, IR, and affective processing. Results: In the Negative−Neutral condition, lean and insulin-sensitive participants gave less negative valence ratings to unpleasant versus neutral images when late-window LPP amplitudes were larger, whereas this relationship was reversed in participants with obesity and absent in those with IR. Contrariwise, neither obesity nor IR moderated LPP responses to affective processing parameters in the Positive−Neutral or Negative−Positive valence conditions. Additionally, obesity and IR did not moderate the links between EPN responses and affective processing parameters in any of the valence conditions. Conclusions: Lean, insulin-sensitive young adults showed attenuated affective processing of unpleasant stimuli through stronger neural responses, whereas neural responses to pleasant stimuli did not vary across levels of body fat or IR. These preliminary findings suggest that both obesity and IR increase the vulnerability to mood disorders in young adulthood. Full article
(This article belongs to the Special Issue Advances in Emotion Processing and Cognitive Neuropsychology)
Show Figures

Figure 1

25 pages, 3536 KB  
Review
Advancements and Applications of EEG in Gustatory Perception
by Lingfeng Yang, Chengpeng Zhang, Wei Wu, Jing Xie and Zhaoyang Ding
Brain Sci. 2025, 15(12), 1317; https://doi.org/10.3390/brainsci15121317 - 10 Dec 2025
Viewed by 956
Abstract
Electroencephalography (EEG) is a powerful tool for investigating gustatory perception, offering high temporal resolution and non-invasive brain activity recording. This review highlights the ability of EEG to reveal the complex interactions between sensory input, emotional responses, and cognitive evaluation in the process of [...] Read more.
Electroencephalography (EEG) is a powerful tool for investigating gustatory perception, offering high temporal resolution and non-invasive brain activity recording. This review highlights the ability of EEG to reveal the complex interactions between sensory input, emotional responses, and cognitive evaluation in the process of taste perception. This review examines the physiological basis of taste, focusing on key brain regions and how environmental and psychological factors influence taste perception. It also discusses the methods and applications of EEG technology, including its principles, signal features, and measurement methods. Notably, EEG markers like event-related potentials (ERPs), frequency band power analysis, and brain network connectivity are essential for understanding the neural dynamics of taste processing. This review concludes with potential future research directions, including the integration of EEG with other neuroimaging techniques, cross-cultural studies on gustatory perception, and the use of EEG biomarkers in early neurological disease diagnosis. Full article
(This article belongs to the Section Neurotechnology and Neuroimaging)
Show Figures

Figure 1

24 pages, 8154 KB  
Article
Sex-Specific Electrocortical Interactions in a Color Recognition Task in Men and Women with Opioid Use Disorder
by Jo Ann Petrie, Abhishek Trikha, Hope L. Lundberg, Kyle B. Bills, Preston K. Manwaring, J. Daniel Obray, Daniel N. Adams, Bruce L. Brown, Donovan E. Fleming and Scott C. Steffensen
Biomedicines 2025, 13(12), 3002; https://doi.org/10.3390/biomedicines13123002 - 8 Dec 2025
Viewed by 679
Abstract
Background: Opioid use disorder (OUD) and associated overdose deaths have reached epidemic proportions worldwide over the past two decades, with death rates for men consistently reported at twice the rate for women. We have recently reported sex-specific differences in electrocortical activity in [...] Read more.
Background: Opioid use disorder (OUD) and associated overdose deaths have reached epidemic proportions worldwide over the past two decades, with death rates for men consistently reported at twice the rate for women. We have recently reported sex-specific differences in electrocortical activity in persons with OUD in a visual object recognition task. The mesolimbic dopamine (DA) system is implicated in OUD but also plays a critical role in some disorders of visual attention and a modulatory role in the processing of visual stimuli in the blue cone pathway of the retina. We hypothesized that electrocortical responses to color stimuli would be affected differentially in men and women with OUD. Methods: Using a controlled, cross-sectional, age-matched (18–56 years) design, we evaluated color processing in male and female subjects recruited from a community-based, high-intensity residential substance abuse and detoxification treatment program. We evaluated electroencephalogram (EEG) event-related potentials (ERPs) and reaction time (RT), in male and female participants with OUD (n = 38) vs. sex- and age-matched non-OUD control participants (n = 37) in a simple color recognition Go/No-Go task, as well as perceptual and behavioral responses in physiological and neuropsychological tests. Results: N200, P300, and late potential (LP) Relevant stimulus-induced ERPs were evoked by the task and were well-differentiated from Irrelevant distractor stimuli. P300 amplitudes were significantly greater and N200 and LP latencies were significantly shorter in male vs. female non-OUD controls in this task. There were significant sex differences in N200, P300, and LP amplitudes and latencies between male vs. female non-OUD subjects and OUD differences with blue color as the Relevant stimulus. In the Binocular Rivalry Test, there were shorter dwell times for perceiving a blue stimulus in male OUD subjects and there were significant sex and OUD differences in neuropsychological tests including Finger Tapping, Trails A/B, and Symbol Digit Modalities Test. Conclusions: These findings suggest that there are significant sex-related physiological, perceptual, and cognitive differences in color processing that may result from deficits in DA production in the retina that mirror deficits in mesolimbic DA transmission correlating with OUD, suggesting that blue color processing has the potential to be an effective biomarker for brain DA and for diagnosis and monitoring of treatment efficacy in substance use disorders. Full article
(This article belongs to the Special Issue Molecular Psychiatry and Antipsychotics)
Show Figures

Figure 1

23 pages, 365 KB  
Review
Application of Treatment Response Biomarkers from Major Depression to Perinatal Depression
by Wan Kwok, Melissa Wagner-Schuman, Tory Eisenlohr-Moul and Brandon Hage
J. Pers. Med. 2025, 15(12), 607; https://doi.org/10.3390/jpm15120607 - 6 Dec 2025
Viewed by 807
Abstract
Background/Objectives: Perinatal depression poses significant risks to maternal and fetal health, yet biomarkers for treatment response in the field remain limited. Given the overlap in symptoms with major depressive disorder (MDD) and the comparatively more vast MDD literature, identifying promising MDD biomarkers [...] Read more.
Background/Objectives: Perinatal depression poses significant risks to maternal and fetal health, yet biomarkers for treatment response in the field remain limited. Given the overlap in symptoms with major depressive disorder (MDD) and the comparatively more vast MDD literature, identifying promising MDD biomarkers for treatment response and examining corresponding perinatal depression biomarkers can reveal translational opportunities. Methods: PUBMED searches were conducted for individual biomarkers and MDD and perinatal depression, as well as with treatment response to antidepressant pharmacological treatment and neuromodulation treatments. When available, evidence from meta-analyses and systematic reviews were preferentially summarized. Review: This narrative review presents the current evidence on MDD and perinatal depression treatment response biomarkers, including brain-derived neurotrophic factor (BDNF), S100 calcium-binding protein B (S100B), electroencephalography, event-related potentials, metabolomics, hypothalamic–pituitary–adrenal axis hormones, neuroimaging markers, inflammatory markers, and neuroactive steroids. Conclusions: Biomarker research in MDD yields insights on promising biomarkers for treatment response, including BDNF, S100B, theta band density and cordance, inflammatory markers IL-8, CRP, and TNF- α, and neuroactive steroids. Full article
13 pages, 346 KB  
Review
Therapeutic Potential of Leptin in Neurodegenerative Disease
by Jenni Harvey
Biomedicines 2025, 13(12), 2969; https://doi.org/10.3390/biomedicines13122969 - 3 Dec 2025
Viewed by 874
Abstract
Alzheimer’s disease (AD) is an age-related neurodegenerative disorder, characterised by the build-up of amyloid beta (Aβ) plaques and neurofibrillary tangles comprising hyper-phosphorylated tau. Increasing evidence indicates that in the early stages of AD, elevated levels of oligomeric forms of Aβ and phosphorylated tau [...] Read more.
Alzheimer’s disease (AD) is an age-related neurodegenerative disorder, characterised by the build-up of amyloid beta (Aβ) plaques and neurofibrillary tangles comprising hyper-phosphorylated tau. Increasing evidence indicates that in the early stages of AD, elevated levels of oligomeric forms of Aβ and phosphorylated tau (p-tau) gives rise to impaired synaptic function which ultimately drives AD-associated cognitive abnormalities. Thus, developing drugs that can limit the synaptic impairments that occur early in AD may have therapeutic benefits. Clinical evidence increasingly supports a link between lifestyle choices and AD risk. Indeed, there is an association between the circulating levels of the metabolic hormone leptin, mid-life obesity and disease risk, which has in turn stimulated interest in targeting the leptin system to treat AD. It is well-established that leptin readily accesses the brain, with the hippocampus, a key region that degenerates in AD, identified as a prime target for this hormone. Within the hippocampus, leptin has cognitive enhancing properties as it markedly influences the cellular events underlying hippocampal-dependent learning and memory, with significant impact on synaptic plasticity and trafficking of glutamate receptors at hippocampal excitatory CA1 synapses. Moreover, studies using a range of cell-based systems and animal models of disease indicate not only that leptin has powerful pro-cognitive effects, but also that leptin protects against the unwanted synapto-toxic effects of Aβ and tau, as well as enhancing neuronal cell viability. Moreover, recent studies have demonstrated that smaller leptin-based molecules replicate the full repertoire of protective features of whole leptin. Here we review the evidence that the leptin system is a potential novel avenue for drug discovery in AD. Full article
Show Figures

Figure 1

13 pages, 411 KB  
Review
Complications and Ethical Challenges in Neurosurgery for Psychiatric Disorders
by Cristina V. Torres Díaz, Joaquín Luis Ayerbe Gracia, Mónica Lara Almunia, Gonzalo Olivares Granados, Marta Navas García, Paloma Pulido Rivas, Marta Del Alamo De Pedro, Rafael García De Sola and Álvaro Moleón-Ruiz
Brain Sci. 2025, 15(12), 1303; https://doi.org/10.3390/brainsci15121303 - 2 Dec 2025
Viewed by 1067
Abstract
Functional neurosurgery has emerged as a potential therapeutic option for patients with severe, treatment-resistant psychiatric disorders such as obsessive–compulsive disorder (OCD) and major depressive disorder (MDD). Among the most studied interventions, deep brain stimulation (DBS) has shown promising outcomes in open-label studies, though [...] Read more.
Functional neurosurgery has emerged as a potential therapeutic option for patients with severe, treatment-resistant psychiatric disorders such as obsessive–compulsive disorder (OCD) and major depressive disorder (MDD). Among the most studied interventions, deep brain stimulation (DBS) has shown promising outcomes in open-label studies, though controlled trials have yielded more modest results. This discrepancy, along with concerns about surgical risks, neuropsychiatric side effects, and ethical challenges, has limited the broader implementation of psychiatric neurosurgery. This review explores the clinical complications of DBS—including vascular events, infections, and hardware-related issues—as well as cognitive and behavioral changes such as hypomania, apathy, and impulse control disorders. Ethical concerns are also addressed, including the difficulty of obtaining truly informed consent and the potential impact on personal identity. The article emphasizes the need for multidisciplinary teams, dynamic consent models, standardized protocols, and high-quality clinical trials to ensure safe, ethical, and effective use of neurosurgical interventions in psychiatry. Ultimately, the responsible integration of functional neurosurgery into psychiatric care requires not only technical precision but also ethical rigor and patient-centered collaboration. Full article
(This article belongs to the Section Neurosurgery and Neuroanatomy)
Show Figures

Figure 1

Back to TopTop