Sign in to use this feature.

Years

Between: -

Subjects

remove_circle_outline
remove_circle_outline
remove_circle_outline
remove_circle_outline
remove_circle_outline
remove_circle_outline
remove_circle_outline
remove_circle_outline
remove_circle_outline

Journals

remove_circle_outline
remove_circle_outline
remove_circle_outline
remove_circle_outline
remove_circle_outline
remove_circle_outline
remove_circle_outline

Article Types

Countries / Regions

remove_circle_outline
remove_circle_outline
remove_circle_outline
remove_circle_outline
remove_circle_outline

Search Results (566)

Search Parameters:
Keywords = end mill

Order results
Result details
Results per page
Select all
Export citation of selected articles as:
29 pages, 5754 KB  
Article
Effect of Primary Cutting Edge Geometry on the End Milling of EN AW-7075 Aluminum Alloy
by Łukasz Żyłka, Rafał Flejszar and Luis Norberto López de Lacalle
Appl. Sci. 2025, 15(24), 12962; https://doi.org/10.3390/app152412962 - 9 Dec 2025
Viewed by 58
Abstract
This study investigates vibration signals generated during end milling of thin-walled EN AW-7075 aluminum alloy components using a set of 24 tools with distinct cutting edge microgeometries. Five characteristic parameters describing the dynamic response of the process, including both energy-related and statistical indicators, [...] Read more.
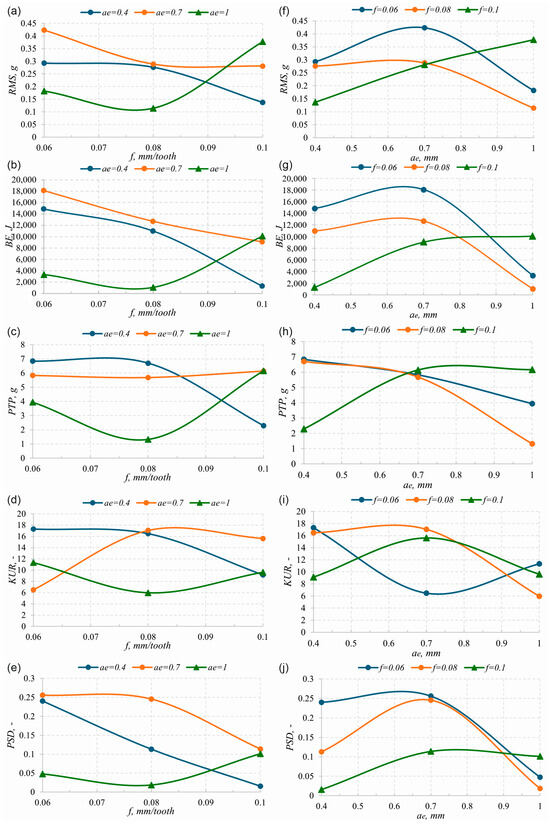
This study investigates vibration signals generated during end milling of thin-walled EN AW-7075 aluminum alloy components using a set of 24 tools with distinct cutting edge microgeometries. Five characteristic parameters describing the dynamic response of the process, including both energy-related and statistical indicators, were extracted and analyzed. The results clearly demonstrate the critical influence of tool microgeometry on process dynamics. In particular, the introduction of an additional zero-clearance flank land at the cutting edge proved decisive in suppressing vibrations. For the most favorable geometries, the root mean square (RMS) value of vibration was reduced by more than 50%, while the spectral power density (PSD) decreased by up to 70–75% compared with the least favorable configurations. Simultaneously, both time- and frequency-domain responses exhibited complex and irregular patterns, highlighting the limitations of intuitive interpretation and the need for multi-parameter evaluation. To enable a synthetic comparison of tools, the Vibration Severity Index (VSI), which integrates RMS and kurtosis into a single composite metric, was introduced. VSI-based ranking allowed the clear identification of the most dynamically stable geometry. For the selected tool, additional analysis was conducted to evaluate the influence of cutting parameters, namely feed per tooth and radial depth of cut. The results showed that the most favorable dynamic behavior was achieved at a feed of 0.08 mm/tooth and a radial depth of cut of 1.0 mm, whereas boundary conditions resulted in higher kurtosis and a more impulsive signal structure. Overall, the findings confirm that properly engineered cutting-edge microgeometry, especially the formation of additional zero-clearance flank land significantly enhances the dynamic of thin-wall milling, demonstrating its potential as an effective strategy for vibration suppression and process optimization in precision machining of lightweight structural materials. Full article
(This article belongs to the Special Issue Advances in Precision Machining Technology)
Show Figures

Figure 1

10 pages, 1799 KB  
Proceeding Paper
Recovery of Indium Tin Oxide Metals from Mobile Phone Screens Using Acidithiobacillus spp. Bacterial Culture
by David Hrečin and Iva Janáková
Eng. Proc. 2025, 116(1), 21; https://doi.org/10.3390/engproc2025116021 - 1 Dec 2025
Viewed by 101
Abstract
This study explores the bioleaching potential of indium from Liquid Crystal Display (LCD) screens originating from end-of-life mobile phones using Acidithiobacillus spp. The LCD panels were mechanically processed, including dismantling, crushing, and milling, and separated into four size fractions: <1 mm, 1–1.5 mm, [...] Read more.
This study explores the bioleaching potential of indium from Liquid Crystal Display (LCD) screens originating from end-of-life mobile phones using Acidithiobacillus spp. The LCD panels were mechanically processed, including dismantling, crushing, and milling, and separated into four size fractions: <1 mm, 1–1.5 mm, 1.5–2 mm and >2 mm. These fractions were leached for a period of four weeks. During the experiment, changes in pH value were monitored, and the concentrations of indium in the solutions were measured by using inductively coupled plasma optical emission spectrometry (ICP-OES). The results showed that the highest indium was detected after 4 weeks of leaching for fraction FG <1 mm (146.47 mg/L). The study confirms that bioleaching is an effective and environmentally friendly method for the recovery of critical raw materials such as indium from electronic waste, offering a promising alternative to conventional chemical and pyrometallurgical techniques. Full article
Show Figures

Figure 1

25 pages, 16305 KB  
Article
Experimental Analysis of the Correlation Between Cutting Parameters and Recurrence Measures During End Mill Flute Grinding
by Krzysztof Kęcik and Marcin Sałata
Materials 2025, 18(23), 5284; https://doi.org/10.3390/ma18235284 - 23 Nov 2025
Viewed by 314
Abstract
This paper presents a comprehensive analysis of the flute grinding process in end cutters, focusing on the influence of machining parameters on recurrence indicators. Recurrence quantification analysis (RQA) was employed to assess the dynamic behavior, regularity, and predictability of the process. Based on [...] Read more.
This paper presents a comprehensive analysis of the flute grinding process in end cutters, focusing on the influence of machining parameters on recurrence indicators. Recurrence quantification analysis (RQA) was employed to assess the dynamic behavior, regularity, and predictability of the process. Based on experimental data, a grinding force model was developed, along with mathematical formulations of the recurrence indicators. Leveraging these models, a novel parameter, the dominant index was proposed to identify which cutting parameters have the greatest impact on the RQA measures. The results reveal that cutting speed exerts a dominant influence on both the grinding force and recurrence metrics. However, for specific indicators, the feed rate emerges as the prevailing factor. The study also demonstrates a strong correlation between cutting parameters and the harmonic content of the grinding force signal. Furthermore, increasing cutting speed was found to generally stabilize the process, whereas variations in feed rate may either enhance or deteriorate machining stability. Full article
Show Figures

Figure 1

19 pages, 4934 KB  
Article
Wall Deformation and Minimum Thickness Analysis in Micro-Milled PMMA Microfluidic Devices: A Comparative Study of Milling Strategies
by Ferah Sucularlı and Ülke Şimşek
Micromachines 2025, 16(12), 1308; https://doi.org/10.3390/mi16121308 - 21 Nov 2025
Viewed by 258
Abstract
Polymethyl methacrylate (PMMA) is widely used in microfluidic device fabrication due to its chemical resistance, low cost, optical transparency, and manufacturing compatibility. However, limited research exists on wall deformations and the minimum achievable wall thickness between machined channels in PMMA via micro-milling. As [...] Read more.
Polymethyl methacrylate (PMMA) is widely used in microfluidic device fabrication due to its chemical resistance, low cost, optical transparency, and manufacturing compatibility. However, limited research exists on wall deformations and the minimum achievable wall thickness between machined channels in PMMA via micro-milling. As microfluidic devices require tightly spaced features, identifying the minimum machinable wall thickness is essential for miniaturization and multifunctional integration, enabling rapid and reproducible biomedical testing. This study presents experimental data and finite element modeling on wall deformation characteristics—wall deviation angle, average wall thickness, and minimum machinable wall thickness—between micro-milled PMMA channels. Micro end-milling was performed with varying feed rates, wall thicknesses (50 μm, 100 μm, 150 μm), and milling strategies (direct, radial, axial depth). ANOVA was used to assess parameter influence, and finite element modeling simulated wall bending under the radial depth strategy. Results show that wall thickness, feed rate, and milling strategy significantly affect wall deviation and thickness. Experimental and simulation data revealed consistent trends: 50 μm walls showed cracking, base fractures, and geometric deviations, while 100 μm and 150 μm walls retained structural integrity. A minimum wall thickness of 150 μm is necessary to ensure reliable sealing in microfluidic devices. Full article
(This article belongs to the Section D:Materials and Processing)
Show Figures

Figure 1

30 pages, 5792 KB  
Article
Comprehensive Chemical Composition Evaluation of Ziziphus jujuba var. spinosa Germplasm Resources and Selection of Elite Cultivars for Seed, Pulp, and Leaf Utilization
by Xiaochen Song, Yongqing Zhang and Longfei Zhang
Molecules 2025, 30(22), 4470; https://doi.org/10.3390/molecules30224470 - 19 Nov 2025
Viewed by 427
Abstract
Background: Ziziphus jujuba Mill. var. spinosa (Bunge) Hu ex H. F. Chow. (ZS) is a valuable plant with diverse economic applications, as all its organs contain bioactive secondary metabolites. The seeds, known as Suanzaoren in traditional Chinese medicine, are utilized as both [...] Read more.
Background: Ziziphus jujuba Mill. var. spinosa (Bunge) Hu ex H. F. Chow. (ZS) is a valuable plant with diverse economic applications, as all its organs contain bioactive secondary metabolites. The seeds, known as Suanzaoren in traditional Chinese medicine, are utilized as both a medicinal and edible resource, while the fruit pulp and leaves serve as significant raw materials in the food industry. Increasing market demand for Suanzaoren has led to expanded cultivation, though current production practices emphasize seed utilization, resulting in the underutilization of pulp and leaf tissues. In agricultural systems, developing elite varieties is an effective strategy for enhancing crop yield and quality. Breeding initiatives should establish specific objectives aligned with particular end uses, such as seed, pulp, or leaf production. Germplasm serves as the foundational material for breeding programs, so its selection must correspond to intended applications. Evaluating existing germplasm resources based on chemical composition profiles will provide a basis for developing improved ZS varieties. Objective: This study aimed to systematically compare the characteristic chemical composition in the seeds, pulp, and leaves of ZS. By quantifying key chemical components—such as flavonoid glycosides and saponins in seeds, organic acids and phenolic compounds in pulp, and flavonol glycosides and phenolic acids in leaves—we evaluated the quality of ZS germplasm resources. The resulting compositional profiles provide a concrete basis for selecting and breeding elite cultivars tailored to specific end uses, including seed, pulp, or leaf production. Methods: Chemical characterization was performed using ultra-high-performance liquid chromatography coupled with hybrid quadrupole-orbitrap mass spectrometry (UPLC-Q-Exactive Orbitrap MS/MS). Quantitative analysis of chemical composition was conducted using high-performance liquid chromatography with evaporative light scattering detection (HPLC-ELSD). Multivariate statistical analyses—including principal component analysis (PCA), orthogonal partial least squares discriminant analysis (OPLS-DA), and entropy-weighted technique for order preference by similarity to an ideal solution (entropy-weighted TOPSIS)(EWT)—were employed for comprehensive data evaluation. Results: A comprehensive phytochemical analysis of Ziziphi spinosae (ZS) was conducted, identifying 144 distinct compounds across the seeds, pulp, and leaves. Of these, 114 were found in the seeds, 84 in the leaves, and 79 in the pulp. The seeds were particularly rich in flavonoid glycosides, such as spinosin and 6‴-feruloylspinosin, as well as saponins like jujuboside A and B. The pulp was dominated by organic acids, including citric acid, and phenolic compounds, while the leaves were abundant in flavonol glycosides, including rutin, and phenolic acids such as isochlorogenic acid B. Based on the chemical composition profiles, the ZS germplasms were evaluated for specific applications. ZS24, ZS22, and ZS3 were identified as the most suitable for seed production, ZS3, ZS6, and ZS9 for pulp utilization, and ZS20, ZS3, and ZS18 for leaf-based applications. With respect to the integrated utilization of multiple plant parts (roots, stems, and leaves), ZS6, ZS3, and ZS24 demonstrated the highest potential. Conclusions: The identification of superior germplasm resources provides strategic direction for the breeding of elite ZS cultivars. These findings will enable the comprehensive utilization of ZS plant resources and support the high-quality development of related industries. Full article
Show Figures

Figure 1

34 pages, 1873 KB  
Review
Artificial Intelligence in Rice Quality and Milling: Technologies, Applications, and Future Prospects
by Benjamin Ilo, Abraham Badjona, Yogang Singh, Alex Shenfield and Hongwei Zhang
Processes 2025, 13(11), 3731; https://doi.org/10.3390/pr13113731 - 19 Nov 2025
Viewed by 904
Abstract
The global demand for high-quality rice necessitates advancements in milling technologies and quality assessment techniques that are rapid, accurate, and scalable. Traditional methods of rice evaluation are time-consuming and subjective, and are increasingly being replaced by artificial intelligence driven solutions that offer non-destructive, [...] Read more.
The global demand for high-quality rice necessitates advancements in milling technologies and quality assessment techniques that are rapid, accurate, and scalable. Traditional methods of rice evaluation are time-consuming and subjective, and are increasingly being replaced by artificial intelligence driven solutions that offer non-destructive, real-time monitoring capabilities. This review presents a comprehensive synthesis of current AI applications including machine vision, deep learning, spectroscopy, thermal imaging, and hyperspectral imaging for the assessment and classification of rice quality across various stages of processing. Major emphasis is put on the recent advances in convolutional neural networks (CNNs), YOLO architectures, and Mask R-CNN models, and their integration into industrial rice milling systems is discussed. Additionally, the review highlights next steps, notably designing lean AI architectures suitable for edge computing, hybrid imaging systems, and the creation of open-access datasets. Across recent rice-focused studies, classification accuracies for grading and varietal identification are typically ≥90% using machine vision and CNNs, while NIR–ANN models for physicochemical properties (e.g., moisture/protein proxies) commonly report strong fits (R20.900.99). End-to-end detectors/segmenters (e.g., YOLO/YO-LACTS) achieve high precision suitable for near real-time inspection. These results indicate that AI-based approaches can substantially outperform conventional evaluation in both accuracy and throughput. Full article
Show Figures

Figure 1

17 pages, 1549 KB  
Article
Genetic Control of Grain Protein and Gluten Content: Winter vs. Spring Wheat
by Antonina A. Kiseleva, Anna V. Fedyaeva, Irina N. Leonova and Elena A. Salina
Int. J. Mol. Sci. 2025, 26(22), 11159; https://doi.org/10.3390/ijms262211159 - 18 Nov 2025
Viewed by 420
Abstract
Common wheat breeding programs prioritize the development of high grain protein content (GPC) varieties, as GPC influences milling efficiency and end-use quality. However, the molecular basis of protein and gluten accumulation in wheat grains remains insufficiently understood, particularly regarding genetic differences between spring [...] Read more.
Common wheat breeding programs prioritize the development of high grain protein content (GPC) varieties, as GPC influences milling efficiency and end-use quality. However, the molecular basis of protein and gluten accumulation in wheat grains remains insufficiently understood, particularly regarding genetic differences between spring and winter types. We analyzed 170 winter wheat varieties from diverse domestic and international breeding programs cultivated in the European part of Russia over two growing seasons. Genome-wide association study identified 26 markers linked to GPC and 23 to gluten content (p < 0.001), with the strongest associations on chromosomes 4A and 2D. Variation in NAM-A1 also significantly affected GPC: varieties with the NAM-A1d allele showed lower protein content than NAM-A1a/c carriers (p < 0.01). We combined associations identified here with our previous GWAS results for GPC in spring wheat and further compared them with 17 additional studies including both spring and winter varieties. This analysis highlighted loci on chromosomes 3DL, 5AL, and 6AS (confirmed in at least two previous studies) for marker-assisted selection to improve grain quality. The distribution of loci showed no clear distinction between spring and winter wheat, suggesting that, despite environmental and developmental differences, the genetic basis of protein accumulation is largely shared. Full article
(This article belongs to the Special Issue Latest Research on Plant Genomics and Genome Editing, 2nd Edition)
Show Figures

Figure 1

14 pages, 1475 KB  
Article
Hydrogen Production Through Anaerobic Co-Digestion of Different Agroindustrial Waste and Food Waste at Mesophilic Conditions
by Angeliki Maragkaki, Napoleon Christoforos Stratigakis, Tahereh Jafarpour Checkab, Lisa De Toni, Ioannis Choinopoulos, Andreas Kaliakatsos, Iosifina Gounaki, Danae Venieri, Thrassyvoulos Manios and Kelly Velonia
Fermentation 2025, 11(11), 644; https://doi.org/10.3390/fermentation11110644 - 14 Nov 2025
Viewed by 685
Abstract
Mesophilic anaerobic co-digestion of eight distinct substrate mixtures of agroindustrial and food wastes was assessed to determine the most efficient waste mixture for maximizing hydrogen production. To evaluate the impact of adding various mixtures on dark fermentation (DF), batch tests were conducted for [...] Read more.
Mesophilic anaerobic co-digestion of eight distinct substrate mixtures of agroindustrial and food wastes was assessed to determine the most efficient waste mixture for maximizing hydrogen production. To evaluate the impact of adding various mixtures on dark fermentation (DF), batch tests were conducted for 250 h at 37 °C and a pH range between 5.0 and 5.9. Ethanol, butyric, propionic, acetic, and isobutyric acids were identified as the principal fermentation end products. The hydrogen production rate reached in a decreasing order from a mixture comprising 55% Olive Mill Wastewater (OMW), 40% Cheese Whey (CW), and 5% Sewage Sludge (SS) or Liquid Pig Manure (LPM) (38 NmL/gVS) to 55% OMW, 40% CW and 5% diluted Food Waste (FWdil) (30 NmL/gVS), 60% CW and 40% Grape Residues (GR) (27 NmL/gVS), 80% CW and 20% LPM (13 NmL/gVS), 60% OMW and 40% FWdil. (10 NmL/gVS), 60% CW and 40% FWdil, (8 NmL/gVS) and 70% OMW and 30% SS (5 NmL/gVS). These results indicated that H2 was generated through mixed fermentation pathways, while the addition of OMW > 55% inhibited microbial activity and reduced hydrogen production. The highest hydrogen yield (38 NmL/gVS), accompanied by 27.6%, Volatile Solids (VS) reduction and the highest Volatile Fatty Acids (VFAs) concentration (6.1 g/L). The same substrate mixture resulted in the highest accumulation of acetic and butyric acid in the acidified effluent, indicating the dominance of hydrogen-producing metabolic routes. The data suggest that co-fermentation of the selected residues not only enhances hydrogen production but also creates more stable operational conditions -including improved pH regulation, increased carbohydrate conversion, and greater VFAs accumulation- making the process more robust and viable for practical application. Full article
(This article belongs to the Special Issue Women’s Special Issue Series: Fermentation)
Show Figures

Figure 1

17 pages, 9527 KB  
Article
Analysis of the Material Removal Process in Precision Milling of AZ91D Magnesium Alloy
by Jarosław Korpysa
Micromachines 2025, 16(11), 1283; https://doi.org/10.3390/mi16111283 - 13 Nov 2025
Viewed by 292
Abstract
The study investigated the material removal process during precision milling of AZ91D magnesium alloy. A high-speed camera enabling high-frequency image recording was used to observe the cutting zone. In effect, it was possible to observe the mechanism of the chip formation process at [...] Read more.
The study investigated the material removal process during precision milling of AZ91D magnesium alloy. A high-speed camera enabling high-frequency image recording was used to observe the cutting zone. In effect, it was possible to observe the mechanism of the chip formation process at different stages of the cutting flutes performance. Experiments were conducted with different feeds per tooth in order to detect the occurrence of ploughing. Results showed that the both cutting flutes of the end mill did not perform in a uniform manner. Material was predominantly removed by first flute, as a result of which chips formed by this flute were much larger than those generated by the other flute. Nevertheless, the shearing process proceeded effectively even at low feed values. Results also showed that large burrs were formed when machining was conducted with low feed per tooth, which confirmed a significant contribution of plastic deformation to burrs formation. An increase in feed per tooth, however, made it possible to minimize the phenomenon of burrs formation. Full article
Show Figures

Figure 1

5851 KB  
Proceeding Paper
Tool Wear Assessment in Composite Helical Milling via Acoustic Emission Monitoring
by Tony Emerson Marim, Catherine Bezerra Markert, Marcio Marques da Silva, Alessandro Roger Rodrigues, Fabio Romano Lofrano Dotto and Pedro de Oliveira Conceição Junior
Eng. Proc. 2025, 118(1), 39; https://doi.org/10.3390/ECSA-12-26547 - 7 Nov 2025
Abstract
This study investigates the machining challenges of fiber-reinforced composite materials (FRCMs), focusing on carbon fiber-reinforced polymer (CFRP) plates, which exhibit high abrasiveness, delamination tendency, and accelerated tool wear. Two solid carbide helical end mills, designed for composite machining, were evaluated through helical interpolation [...] Read more.
This study investigates the machining challenges of fiber-reinforced composite materials (FRCMs), focusing on carbon fiber-reinforced polymer (CFRP) plates, which exhibit high abrasiveness, delamination tendency, and accelerated tool wear. Two solid carbide helical end mills, designed for composite machining, were evaluated through helical interpolation drilling. Acoustic emission signals were continuously acquired via a piezoelectric sensor during standardized cycles, and tool wear was assessed using confocal microscopy and a digital altimeter. Signal processing played a central role, combining energy-based metrics and damage indices to identify the onset of wear and early delamination, enhancing the understanding of tool degradation and improving machining reliability. Full article
Show Figures

Figure 1

16 pages, 4760 KB  
Article
A Rapid Consolidation Route for Recycled NdFeB Powders and the Role of Particle Shape in Grain Growth
by Fabian Burkhardt, Alba Berja, Laura Grau, Matija Kreča, Lindrit Krasniqi, Benjamin Podmiljšak, Kristina Žužek, Carlo Burkhardt, Spomenka Kobe, Adrián Quesada and Tomaž Tomše
Materials 2025, 18(21), 5029; https://doi.org/10.3390/ma18215029 - 4 Nov 2025
Viewed by 565
Abstract
The recycling of NdFeB magnets is essential to reduce reliance on critical rare earth elements and mitigate the environmental burden of virgin magnet production. Hydrogen Processing of Magnetic Scrap (HPMS) offers an efficient method to extract magnet powders from end-of-life (EOL) products, yet [...] Read more.
The recycling of NdFeB magnets is essential to reduce reliance on critical rare earth elements and mitigate the environmental burden of virgin magnet production. Hydrogen Processing of Magnetic Scrap (HPMS) offers an efficient method to extract magnet powders from end-of-life (EOL) products, yet oxidation and microstructural degradation during powder preparation limit the magnetic performance of recycled magnets. In this work, rapid Radiation-Assisted Sintering (RAS) was systematically evaluated for the first time as a consolidation route for HPMS-derived powders. Magnets prepared via RAS exhibited performance comparable to those obtained by conventional sintering. When oxygen uptake during milling was prevented, the addition of 1 wt.% NdH3 to the already oxygen-burdened recycled powder improved the intrinsic coercivity and squareness of the demagnetization curve. The best-performing samples achieved Br = 1.18 T, (BH)max = 263 kJ/m3, and Hci = 742 kA/m at 100 °C, surpassing the properties of the original EOL magnets. Furthermore, the study revealed that, when the HPMS powder fragments preferentially break along grain boundaries, the resulting near-equilibrium powder particles exhibit limited growth, thereby restraining grain coarsening. These findings highlight the strong potential of RAS for more energy-efficient magnet-to-magnet recycling and provide new insight into optimizing HPMS powder processing to achieve enhanced magnetic performance. Full article
(This article belongs to the Special Issue Advances in Magnetic Materials and Applications)
Show Figures

Figure 1

24 pages, 27351 KB  
Article
High-Efficiency Milling of Inconel 718 Superalloy: Effects of Cutting Conditions on Tool Life and Surface Roughness
by Kazumasa Kawasaki
Machines 2025, 13(11), 974; https://doi.org/10.3390/machines13110974 - 22 Oct 2025
Viewed by 625
Abstract
Inconel 718 is a Ni-based superalloy with excellent corrosion resistance, heat resistance, high-temperature strength and high creep resistance. It is also known to be a difficult-to-machine material. Conventional machining methods have not only low machining efficiency, but also high cost and low versatility [...] Read more.
Inconel 718 is a Ni-based superalloy with excellent corrosion resistance, heat resistance, high-temperature strength and high creep resistance. It is also known to be a difficult-to-machine material. Conventional machining methods have not only low machining efficiency, but also high cost and low versatility using CBN and ceramic tools, so cost reduction and highly efficient machining by substituting relatively inexpensive cemented carbide tools are required. Some results on the tool life in milling for intermittent cutting for Inconel 718 superalloy have been reported, and the tool life has been considered a problem. Therefore, there is a need to clarify the basic characteristics of milling, such as tool wear and adhesion conditions, and to identify long tool life and highly efficient cutting conditions in order to achieve highly efficient milling of Inconel 718 superalloy. In this study, the milling of Inconel 718 superalloy was conducted using an end mill with a constant depth of cut, and milling efficiency was defined as the table feed rate of the milling machine in mm/min. The tool wear, welding condition, and surface roughness of the workpiece were evaluated according to the combination of cutting speed and feed rate per edge, with a milling efficiency of 800 mm/min. The experimental results showed that with the combination of a cutting speed of 10.33 m/min and feed rate of 0.4 mm/tooth, and the combination of 20.65 m/min and 0.4 mm/tooth, when there was a lower cutting speed and higher feed rate per edge, less weld detachment occurred, less progression of flank wear, and less chipping occurred, and the tool edge was more stable. It was also confirmed that, by keeping the cutting speed constant and increasing the feed rate per edge, both long tool life and highly efficient milling were possible under the above conditions. Full article
(This article belongs to the Special Issue Recent Advances in Surface Integrity with Machining and Milling)
Show Figures

Figure 1

14 pages, 4515 KB  
Article
Fracture Characteristics of 3D-Printed Polymer Parts: Role of Manufacturing Process
by Mohammad Reza Khosravani, Payam Soltani, Majid R. Ayatollahi and Tamara Reinicke
J. Manuf. Mater. Process. 2025, 9(10), 339; https://doi.org/10.3390/jmmp9100339 - 16 Oct 2025
Viewed by 834
Abstract
Using traditional methods to fabricate geometrically complicated items was challenging, but Additive Manufacturing (AM) has made it possible. Although AM (3D printing) was first developed to produce prototypes, in recent years it has also been utilized for the fabrication of end-use products. As [...] Read more.
Using traditional methods to fabricate geometrically complicated items was challenging, but Additive Manufacturing (AM) has made it possible. Although AM (3D printing) was first developed to produce prototypes, in recent years it has also been utilized for the fabrication of end-use products. As a result, the mechanical strength of AMed parts has gained considerable significance. Three-dimensional printing has proved its capabilities in the fabrication of customizable parts with complex geometries. In the current study, the effects of manufacturing parameters on the mechanical strength and the fracture behavior of 3D-printed components have been investigated. To this aim, we fabricated specimens using Polyethylene Terephthalate Glycol (PETG) and the Fused Deposition Modeling (FDM) process. Particularly, the dumbbell-shaped and Single Edge Notched Bend (SENB) specimens were fabricated and examined to determine their tensile and fracture behaviors. Particularly, the notches in SENB specimens were introduced by two different techniques to investigate the influence of the manufacturing process on the mechanical performance of 3D-printed PETG parts. Moreover, finite element simulations were conducted to investigate the fracture behavior of the parts. The results indicate that the fracture loads of 3D-printed and milled parts are 599.1 N and 417.2 N, respectively. In addition, experiments confirm brittle fracture with no plastic deformation in all specimens with 3D-printed and milled notches. The outcomes of this study can be used for the future designs of FDM 3D-printed parts with a better structural performance. Full article
Show Figures

Figure 1

32 pages, 4717 KB  
Article
Integrating Rooftop Grid-Connected Photovoltaic and Battery Systems to Reduce Environmental Impacts in Agro-Industrial Activities with a Focus on Extra Virgin Olive Oil Production
by Grazia Cinardi, Provvidenza Rita D'Urso and Claudia Arcidiacono
Clean Technol. 2025, 7(4), 91; https://doi.org/10.3390/cleantechnol7040091 - 16 Oct 2025
Viewed by 653
Abstract
Agro-industrial activities require adaptations of technological energy systems to align with the European Sustainable Development Goals, and their highly seasonal and intermittent consumption profiles necessitate precise environmental assessment. This study aims at investigating the photovoltaic (PV) energy in various existing olive mills to [...] Read more.
Agro-industrial activities require adaptations of technological energy systems to align with the European Sustainable Development Goals, and their highly seasonal and intermittent consumption profiles necessitate precise environmental assessment. This study aims at investigating the photovoltaic (PV) energy in various existing olive mills to assess the reduction in olive oil carbon footprint (CF) when it is supplied by either a rooftop PV system or by PV combined with a battery energy storage system (BESS) to promote the self-consumption of the renewable energy produced, compared to the case when electricity is supplied by the national grid (NG). To this end, an algorithm was developed to optimise a decision-making tool for low-carbon energy systems in agro-industrial activities. An economic assessment was performed to complement the decision-making process. The potential energy self-consumed by the mill ranged between 11% and 18.1%. The renewable energy produced covered between 11% and 84.7% of the mill’s energy consumption. CF reduction resulted between 22% and 119%, depending on the system boundaries considered. The proposed methodology allows for replicability to other industrial activities, having different energy consumption profiles, with seasonal and discontinued consumption paths, since it is based on an hourly energy consumption evaluation. Full article
Show Figures

Figure 1

13 pages, 3880 KB  
Article
Investigation of Cutting Forces and Temperature in Face Milling of Wood–Plastic Composite Using Radial Basis Function Neural Network
by Feng Ji and Zhaolong Zhu
Materials 2025, 18(20), 4731; https://doi.org/10.3390/ma18204731 - 15 Oct 2025
Viewed by 448
Abstract
Wood–plastic composite (WPC) is being increasingly adopted in construction and furniture applications due to its durability and recyclability. This study investigates face-milling responses—resultant cutting force and cutting temperature—under systematically varied cutting parameters, and develops a radial basis function neural network for predictive modeling. [...] Read more.
Wood–plastic composite (WPC) is being increasingly adopted in construction and furniture applications due to its durability and recyclability. This study investigates face-milling responses—resultant cutting force and cutting temperature—under systematically varied cutting parameters, and develops a radial basis function neural network for predictive modeling. Experiments were conducted on a computer numerical control machining center using a polycrystalline diamond end-milling cutter for face milling with fixed axial depth of cut. Feed speed, radial depth of cut, and spindle speed were selected as input factors. The results indicate that feed speed and radial depth of cut generally increase all force components, whereas higher spindle speed tends to reduce force magnitudes while elevating temperature. The radial basis function neural network yields acceptable accuracy for resultant cutting force (coefficient of determination R2 ≈ 0.91) and acceptable accuracy for cutting temperature (R2 ≈ 0.81). These findings demonstrate the feasibility of radial basis function neural network based prediction for WPC face milling and provide guidance for parameter selection. Full article
(This article belongs to the Topic Advances in Manufacturing and Mechanics of Materials)
Show Figures

Figure 1

Back to TopTop