Sign in to use this feature.

Years

Between: -

Subjects

remove_circle_outline
remove_circle_outline
remove_circle_outline
remove_circle_outline
remove_circle_outline
remove_circle_outline
remove_circle_outline
remove_circle_outline
remove_circle_outline

Journals

remove_circle_outline
remove_circle_outline
remove_circle_outline
remove_circle_outline
remove_circle_outline
remove_circle_outline
remove_circle_outline
remove_circle_outline
remove_circle_outline
remove_circle_outline

Article Types

Countries / Regions

remove_circle_outline
remove_circle_outline
remove_circle_outline
remove_circle_outline

Search Results (1,661)

Search Parameters:
Keywords = electromechanical systems

Order results
Result details
Results per page
Select all
Export citation of selected articles as:
23 pages, 3169 KB  
Article
Phase-Field Damage Modeling of Electromechanical Fracture in MEMS Piezoelectric Films
by Xuanyi Chen, Yuhan Zhang, Yu Xue, Yangjie Shi and Jiaxing Cheng
Materials 2026, 19(8), 1662; https://doi.org/10.3390/ma19081662 - 21 Apr 2026
Abstract
Piezoelectric thin films have been widely used in micro-electromechanical systems (MEMSs), such as sensors, actuators, and resonant devices. Electromechanically driven fractures can severely degrade device performance and reliability. In this work, a phase-field damage model is developed for MEMS piezoelectric thin films under [...] Read more.
Piezoelectric thin films have been widely used in micro-electromechanical systems (MEMSs), such as sensors, actuators, and resonant devices. Electromechanically driven fractures can severely degrade device performance and reliability. In this work, a phase-field damage model is developed for MEMS piezoelectric thin films under coupled electromechanical loading, incorporating pre-existing defects via an equivalent local fracture toughness. Microcracks and micro-voids arising from manufacturing defects are integrated into the model through an effective local fracture toughness, enabling a unified description of their roles in crack initiation and propagation. The proposed model is implemented in ABAQUS by means of a user-defined element (UEL) subroutine and solved using a staggered scheme. Numerical results show that the level of pre-existing defects, the applied electric potential, and the polarization direction all exert significant effects on fracture behavior. As the defect parameter Dc increases from 0 to 0.10, the reaction force decreases from 87.8 N to 86.3 N, indicating reduced fracture resistance due to manufacturing-induced defects. In addition, the reaction force changes from 90.3 N at −500 V to 86.3 N at +500 V, while it decreases from 102.9 N to 87.1 N as the polarization angle β increases from 0° to 90°. These results demonstrate that pre-existing defects and electromechanical loading jointly govern crack evolution in MEMS piezoelectric thin films. The present study provides a useful numerical tool for fracture analysis, reliability assessment, and structural design of MEMS piezoelectric devices containing manufacturing defects. Full article
(This article belongs to the Section Electronic Materials)
22 pages, 3101 KB  
Article
Model-Free Non-Singular Fast Terminal Sliding Mode Control Based on Agricultural Unmanned Aerial Vehicle Electrical Control System
by Mingyuan Hu, Longhui Qi, Changning Wei, Lei Zhang, Yaqing Gu, Bo Gao, Yang Liu and Dongjun Zhang
Symmetry 2026, 18(4), 678; https://doi.org/10.3390/sym18040678 - 18 Apr 2026
Viewed by 83
Abstract
Permanent magnet synchronous motors (PMSMs) are widely used in agricultural unmanned aerial vehicle (UAV) electromechanical systems for their high efficiency and power density. While sliding mode control (SMC) offers robustness for PMSM drives, conventional designs face challenges like slow convergence, singularity, and chattering. [...] Read more.
Permanent magnet synchronous motors (PMSMs) are widely used in agricultural unmanned aerial vehicle (UAV) electromechanical systems for their high efficiency and power density. While sliding mode control (SMC) offers robustness for PMSM drives, conventional designs face challenges like slow convergence, singularity, and chattering. This paper proposes a model-free improved non-singular fast terminal SMC scheme with an improved adaptive super-twisting algorithm and a disturbance observer (MFINFTSMC-IADSTA-IFTSMO) for agricultural UAV applications. The designed sliding surface ensures fixed-time convergence without singularity, the adaptive reaching law reduces chattering, and the observer enables feedforward compensation of disturbances. Closed-loop stability is proven via Lyapunov theory. DSP-based experiments demonstrate that the proposed method outperforms existing SMC variants in dynamic response, steady-state accuracy, chattering suppression, and disturbance rejection. Specifically, the proposed method achieves a start-up convergence time of only 0.35 s, which is 56.25% shorter than that of the classic SMC-STA method, fully verifying its superior fast convergence performance. Full article
(This article belongs to the Special Issue Symmetry/Asymmetry in Control Theory)
37 pages, 4431 KB  
Review
Surface Acoustic Wave Devices: New Mechanisms, Enabling Techniques, and Application Frontiers
by Hongsheng Xu, Xiangyu Liu, Weihao Ye, Xiangyu Zeng, Akeel Qadir and Jinkai Chen
Micromachines 2026, 17(4), 494; https://doi.org/10.3390/mi17040494 - 17 Apr 2026
Viewed by 126
Abstract
Surface Acoustic Wave (SAW) technology, long central to analog signal processing and RF filtering, is undergoing a major renewal. Driven by advances that decouple SAWs from traditional piezoelectric materials and fixed-function devices, the field is gaining unprecedented control over acoustic, optical, and electronic [...] Read more.
Surface Acoustic Wave (SAW) technology, long central to analog signal processing and RF filtering, is undergoing a major renewal. Driven by advances that decouple SAWs from traditional piezoelectric materials and fixed-function devices, the field is gaining unprecedented control over acoustic, optical, and electronic interactions at the micro and nanoscale. This review synthesizes these developments across four fronts: new physical mechanisms for SAW manipulation, emerging material platforms, ranging from thin films to 2D systems, along with reconfigurable device architectures and circuits, and the expanding landscape of applications they enable. Optical methods are reshaping how SAWs are generated and controlled, bypassing the limits of conventional electromechanical coupling. Coherent optical excitation of high-Q SAW cavities via Brillouin-like optomechanical interactions now grants access to modes in non-piezoelectric substrates such as diamond and silicon, while on-chip SAW excitation in photonic waveguides through backward stimulated Brillouin scattering opens new integrated sensing routes. In parallel, magneto-acoustic experiments have revealed nonreciprocal SAW diffraction from resonant scattering in magnetoelastic gratings. On the device side, ZnO thin-film transistors integrated on LiNbO3 exploit acoustoelectric coupling to realize voltage-tunable phase shifters; UHF Z-shaped delay lines achieve high sensitivity in a compact footprint; and parametric synthesis of wideband, multi-stage lattice filters targets 5G-class performance. Atomistic simulations show that SAW propagation in 2D MXene films can be engineered via surface terminations, while aerosol jet printing and SAW-assisted particle patterning provide agile, cleanroom-light fabrication of microfluidic and magnetic components. These advances enable applications ranging from hybrid quantum systems and quantum links to lab-on-a-chip particle control, SBS-based and UHF sensing, reconfigurable RF front-ends, and soft robotic actuators based on patterned magnetic composites. At the same time, optical techniques offer non-contact probes of dissipation, and MXenes and other emerging materials open new regimes of acoustic control. Conclusively, they are transforming SAW technology into a versatile, programmable platform for mediating complex interactions in next-generation electronic, photonic, and quantum systems. Full article
(This article belongs to the Special Issue Surface and Bulk Acoustic Wave Devices, 2nd Edition)
Show Figures

Graphical abstract

19 pages, 1316 KB  
Article
Dimension-Dependent Vibro-Acoustic Performance of Piezoelectric Speakers: A Finite Element Study
by Nikolaos M. Papadakis and Georgios E. Stavroulakis
Appl. Mech. 2026, 7(2), 36; https://doi.org/10.3390/applmech7020036 - 17 Apr 2026
Viewed by 92
Abstract
The present study investigates the influence of geometric parameters on the vibro-acoustic performance of piezoelectric speakers, with the objective of establishing quantitative design guidelines for resonance tuning and sound pressure level (SPL) enhancement. Understanding the dimension-dependent behavior of such devices is essential for [...] Read more.
The present study investigates the influence of geometric parameters on the vibro-acoustic performance of piezoelectric speakers, with the objective of establishing quantitative design guidelines for resonance tuning and sound pressure level (SPL) enhancement. Understanding the dimension-dependent behavior of such devices is essential for the development of compact and efficient acoustic transducers. To this end, a fully coupled electromechanical–acoustic finite element model is developed in the frequency domain, incorporating linear piezoelectric constitutive relations, structural dynamics, and an external acoustic air domain. The model systematically examines the effects of variations in piezoelectric disc thickness, brass diaphragm thickness, and diaphragm radius. The results demonstrate that increasing the piezoelectric disc thickness leads to a noticeable increase in resonance frequency and a measurable enhancement in SPL due to strengthened electromechanical coupling. In contrast, reducing the brass membrane thickness primarily shifts the resonance frequency to lower values, while producing negligible changes in SPL amplitude. Furthermore, enlarging the diaphragm radius significantly decreases the fundamental resonance frequency, confirming its dominant influence on stiffness-controlled vibration behavior. These findings quantitatively establish the relationship between geometric design parameters and acoustic response, providing a predictive framework for performance optimization. The proposed modeling approach offers an effective and reliable tool for the design and refinement of high-performance piezoelectric speaker systems. Full article
(This article belongs to the Special Issue Cutting-Edge Developments in Computational and Experimental Mechanics)
15 pages, 2500 KB  
Article
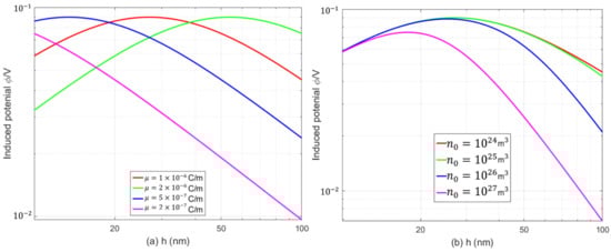
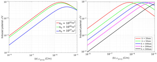
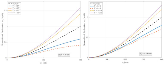
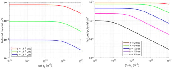
Electromechanical Coupling Analysis of a Piezoelectric–Flexoelectric–Semiconductor Cantilever Beam
by Yaxuan Su, Xuezhi Wu and Zhidong Zhou
Micromachines 2026, 17(4), 490; https://doi.org/10.3390/mi17040490 - 17 Apr 2026
Viewed by 151
Abstract
This paper presents a theoretical study on the electromechanical coupling response of piezoelectric–flexoelectric–semiconductor (PFS) nanocantilevers by adopting flexoelectric elasticity and semiconductor theory. A unified mechanical–electrical model is established to incorporate a strain gradient, the piezoelectric effect, semiconducting characteristics, and flexoelectricity at micro-/nanoscales. Analytical [...] Read more.
This paper presents a theoretical study on the electromechanical coupling response of piezoelectric–flexoelectric–semiconductor (PFS) nanocantilevers by adopting flexoelectric elasticity and semiconductor theory. A unified mechanical–electrical model is established to incorporate a strain gradient, the piezoelectric effect, semiconducting characteristics, and flexoelectricity at micro-/nanoscales. Analytical solutions for deflection, electric potential, and electron concentration are obtained under three types of electrical boundary conditions. Numerical results show that flexoelectricity significantly enhances the effective bending stiffness of the beam under open-circuit conditions with or without surface electrodes, especially in thinner structures. With a fixed external electric potential condition, the applied potential can effectively modulate the deflection by adjusting the polarization field. The induced electric potential, under the open-circuit condition with surface electrodes, exhibits a peak value at a critical thickness and flexoelectric coefficient due to the synergistic effect of the strain gradient and flexoelectricity. The electron screening effect induced by the high doping concentration is found to suppress the induced potential considerably. The present work provides a fundamental understanding of PFS coupling and provides guidance for the design of high-sensitivity micro–nano-electromechanical systems/devices. Full article
Show Figures

Figure 1

28 pages, 5786 KB  
Article
Multi-Wavelet Fusion Transformer with Token-to-Spectrum Traceback for Physically Interpretable Bearing Fault Diagnosis
by Hongzhi Fan, Chao Zhang, Mingyu Sun, Kexi Xu, Wenyang Zhang and Ximing Zhang
Vibration 2026, 9(2), 28; https://doi.org/10.3390/vibration9020028 - 15 Apr 2026
Viewed by 182
Abstract
Rolling bearing fault diagnosis under complex and noisy operating conditions requires not only high diagnostic accuracy but also interpretability that can be quantitatively verified against physically meaningful excitation structures. However, many existing deep learning approaches rely on a single time–frequency (TF) representation and [...] Read more.
Rolling bearing fault diagnosis under complex and noisy operating conditions requires not only high diagnostic accuracy but also interpretability that can be quantitatively verified against physically meaningful excitation structures. However, many existing deep learning approaches rely on a single time–frequency (TF) representation and provide limited, non-verifiable links between model decisions and the original vibration patterns. To address this issue, we propose MBT-XAI, a multi-wavelet TF fusion network with a Token-to-Spectrum Traceback (TST) mechanism for structure-preserving, physics-consistent interpretability. Three complementary wavelets, namely Morlet, Mexican Hat, and Complex Morlet, are used to construct multi-view TF representations, which are encoded into RGB channels and adaptively fused via cross-channel attention within a Transformer backbone. TST maps patch-token attributions back to the TF domain, enabling quantitative evaluation of physics consistency through overlap-based metrics. Experiments on the public CWRU dataset and an industrial IMUST dataset show that MBT-XAI achieves 98.13 ± 0.24% and 96.23 ± 0.31% accuracy at SNR = 0 dB, outperforming the strongest baseline by 2.83% and 2.43%, respectively. Under AWGN contamination, MBT-XAI maintains 95.44 ± 0.38%/93.45 ± 0.47% accuracy on CWRU and 95.80 ± 0.33%/92.91 ± 0.51% accuracy on IMUST at SNR = −2/−4 dB. Under colored-noise contamination, the proposed method also preserves robust performance under pink and brown noise at the same SNR levels. Quantitative interpretability evaluation further indicates high alignment between salient frequency regions and theoretical fault-characteristic bands, with IoU = 80.21 ± 0.86% and Coverage = 91.70 ± 0.63%. In addition, MBT-XAI requires 10.393 M parameters and 10.678 GFLOPs, with an inference latency of 14.7 ms per sample (batch size = 1) on an NVIDIA GeForce RTX 3060 GPU. These results suggest that multi-wavelet TF modeling with attention-based fusion and TF-level traceback provides an accurate, robust, and physics-consistent framework for intelligent bearing fault diagnosis. Full article
Show Figures

Figure 1

17 pages, 2737 KB  
Article
Dynamic Characteristics and Feedforward Control Methods of Magnetic Bearing Flywheels Under Moving Base Conditions
by Yuan Zeng, Peng Xiao and Jingbo Wei
Appl. Sci. 2026, 16(8), 3789; https://doi.org/10.3390/app16083789 - 13 Apr 2026
Viewed by 355
Abstract
Magnetic bearing flywheels, characterized by frictionless operation and long service life, are increasingly recognized as promising actuators for spacecraft attitude control. Understanding their dynamic behavior under moving-base conditions is therefore essential. In this study, the Lagrange method is employed to derive the dynamic [...] Read more.
Magnetic bearing flywheels, characterized by frictionless operation and long service life, are increasingly recognized as promising actuators for spacecraft attitude control. Understanding their dynamic behavior under moving-base conditions is therefore essential. In this study, the Lagrange method is employed to derive the dynamic equations of a magnetic-bearing flywheel subject to base motion. By incorporating the dynamics of electromagnetic bearings, a unified electromechanical-dynamic control model is established. Simulations are conducted to examine the system’s response during rapid maneuvers, with a focus on the effects of base moment of inertia, rotor speed, and maneuver angular rate on flywheel performance. Based on the analysis, a feedforward compensation strategy utilizing the angular acceleration of the moving base is proposed to suppress the influence of base motion. Simulation results validate the effectiveness of the proposed method, offering technical support for the future application of magnetically levitated flywheels in ultra-stable, fast-maneuvering satellites. Full article
(This article belongs to the Special Issue Advanced Design and Control Methods for Magnetic Levitation Systems)
Show Figures

Figure 1

17 pages, 3201 KB  
Article
Underwater Acoustic Target Detection Using a Miniaturized MEMS Hydrophone Array
by Xiao Chen and Ying Zhang
Micromachines 2026, 17(4), 468; https://doi.org/10.3390/mi17040468 - 12 Apr 2026
Viewed by 212
Abstract
Sonar is a fundamental tool for underwater target detection. However, conventional detection systems often suffer from poor sensor consistency and high fabrication costs. More critically, for low-frequency operation, the required array aperture becomes prohibitively large, limiting their deployment on small, mobile underwater platforms. [...] Read more.
Sonar is a fundamental tool for underwater target detection. However, conventional detection systems often suffer from poor sensor consistency and high fabrication costs. More critically, for low-frequency operation, the required array aperture becomes prohibitively large, limiting their deployment on small, mobile underwater platforms. To address the demand for compact, high-performance sensing solutions, this paper presents a miniaturized Micro-electromechanical Systems (MEMS) hydrophone array designed for underwater target detection. The array consists of six elements with a spacing of 0.25 m. Each element is approximately 22 mm in diameter and encapsulated in polyurethane via a casting and curing process. The core sensing element, a MEMS acoustic pressure hydrophone, exhibits a sensitivity of −177.2 ± 1.5 dB (re: 1 V/µPa) across the 20 Hz to 4 kHz frequency range and a noise resolution of approximately 59.5 dB (re: 1 µPa/√Hz) at 1 kHz. A key challenge in array-based detection is the phase mismatch among acquisition channels, which degrades algorithm performance. To mitigate this, we propose a phase self-correction method based on interleaved ADC acquisition control, enabling synchronous multi-channel sampling and effectively eliminating system-level phase errors. Furthermore, to overcome the inherent aperture limitations of conventional beamforming (CBF) applied to a miniaturized array, a differential beamforming (DBF) algorithm is adopted. This approach is less frequency-dependent and can approximate a frequency-invariant beam pattern, making it well-suited for miniaturized arrays. Simulation results confirm the theoretical validity of the DBF algorithm for the proposed MEMS hydrophone array. Sea trial data further demonstrate that this method achieves higher target detection accuracy compared to CBF techniques. Full article
(This article belongs to the Special Issue Acoustic Transducers and Their Applications, 3rd Edition)
22 pages, 18680 KB  
Article
Design Framework for Ground-Vehicle Suspension Actuators Using Digital Twin Technology
by Viktor Skrickij and Paulius Kojis
Machines 2026, 14(4), 423; https://doi.org/10.3390/machines14040423 - 10 Apr 2026
Viewed by 263
Abstract
Ground-vehicle manufacturers and their suppliers must shorten development cycles to remain competitive. This paper presents a novel design framework that accelerates the traditional V-model development lifecycle by enabling digital twins and hardware-in-the-loop testing. As a case study, the design of active suspension actuators [...] Read more.
Ground-vehicle manufacturers and their suppliers must shorten development cycles to remain competitive. This paper presents a novel design framework that accelerates the traditional V-model development lifecycle by enabling digital twins and hardware-in-the-loop testing. As a case study, the design of active suspension actuators to address comfort shortfalls that hinder automated driving has been selected. A hybrid suspension architecture combining a continuously controlled hydraulic damper with an auxiliary electromechanical actuator has been proposed. The hybrid system achieves lower energy consumption than purely electromechanical suspensions while overcoming the bandwidth limitations of conventional hydraulic active suspensions. Control is implemented using the Triple Skyhook algorithm and benchmarked against a baseline strategy. Results demonstrate that the proposed framework accelerates actuator design iteration and that the proposed suspension delivers superior performance with improved efficiency and bandwidth. Full article
22 pages, 4020 KB  
Article
From Failure Analysis to Manufacturing-Informed Reliability: Comparative FMEA of EHB and EMB Brake-by-Wire Systems
by Lucian-Gabriel Petrescu, Maria-Cătălina Petrescu and Cătălin-Daniel Constantinescu
Machines 2026, 14(4), 422; https://doi.org/10.3390/machines14040422 - 10 Apr 2026
Viewed by 345
Abstract
This study presents a comparative Failure Modes and Effects Analysis (FMEA) of electro-hydraulic braking (EHB) and electro-mechanical braking (EMB) systems within brake-by-wire architectures. The analysis integrates both the conventional Risk Priority Number (RPN) approach and the AIAG–VDA Action Priority (AP) methodology, enabling a [...] Read more.
This study presents a comparative Failure Modes and Effects Analysis (FMEA) of electro-hydraulic braking (EHB) and electro-mechanical braking (EMB) systems within brake-by-wire architectures. The analysis integrates both the conventional Risk Priority Number (RPN) approach and the AIAG–VDA Action Priority (AP) methodology, enabling a structured comparison of risk prioritization strategies applied to identical failure modes. A consistent system-level framework is developed to harmonize severity (S), occurrence (O), and detection (D) assessments across both architectures, allowing direct evaluation of methodological differences. The results demonstrate systematic divergences between RPN and AP approaches, particularly in high-severity scenarios, where AP provides more safety-oriented prioritization. The study further identifies key limitations of traditional RPN-based evaluation in safety-critical systems and highlights the advantages of rule-based prioritization frameworks. In addition, corrective measures are proposed and their impact on occurrence and detection ratings is quantified, illustrating practical pathways for risk reduction. Beyond methodological comparison, the work introduces a novel integration of reliability engineering with advanced manufacturing strategies, demonstrating how laser and plasma-based surface engineering can mitigate failure mechanisms by reducing occurrence and improving system robustness. The proposed approach establishes a conceptual and physically grounded bridge between system-level risk assessment and material-level optimization, contributing to the development of more reliable next-generation brake-by-wire systems. Full article
(This article belongs to the Section Machines Testing and Maintenance)
Show Figures

Figure 1

37 pages, 1047 KB  
Article
A New Interval Belief Rule Base Model Based on Hybrid Optimization and Adaptive Reference Intervals for Diesel Engine Health State Assessment
by Hongming Zheng, Bing Xu, Motong Zhao, Hongyao Du and Wei He
Sensors 2026, 26(8), 2342; https://doi.org/10.3390/s26082342 - 10 Apr 2026
Viewed by 202
Abstract
As the core power unit of complex electromechanical systems, accurate health assessment of diesel engines is essential for safe operation. The Interval Belief Rule Base (IBRB) method integrates observed data with expert knowledge to support system assessment. However, engine operating parameters change over [...] Read more.
As the core power unit of complex electromechanical systems, accurate health assessment of diesel engines is essential for safe operation. The Interval Belief Rule Base (IBRB) method integrates observed data with expert knowledge to support system assessment. However, engine operating parameters change over time because of wear and aging. Additionally, traditional optimization methods struggle to balance global search speed with local convergence efficiency. To address these issues, this paper proposes an Interval Belief Rule Base method based on Hybrid Optimization and Adaptive Intervals (IBRB-HOAI). First, an adaptive reference interval is introduced by combining K-means clustering and quantile interval estimation, dynamically generated based on the actual operating state of the engine. The health assessment baseline is optimized. The applicability of the model is enhanced. Second, the global exploration ability of particle swarm optimization is combined with the local refinement ability of the projected covariance matrix adaptation evolution strategy. The model parameters are collaboratively optimized. Finally, experimental verification is conducted on a diesel engine dataset containing 2700 sample points. Compared with the traditional IBRB method, the proposed method achieves a significant reduction in MSE of 97.5%. It outperforms other machine learning methods. The effectiveness of the proposed method is verified. Full article
(This article belongs to the Section Fault Diagnosis & Sensors)
15 pages, 4726 KB  
Article
Multi-Level In Situ Surface Modification of Electrospun Tetragonal BaTiO3 Nanofibers for High-Performance Flexible Piezoelectric Energy Harvesters
by Zijin Meng, Quanyao Zhu, Qingqing Zhang and Huajun Sun
Materials 2026, 19(8), 1515; https://doi.org/10.3390/ma19081515 - 9 Apr 2026
Viewed by 342
Abstract
The practical application of inorganic ferroelectric fillers in flexible piezoelectric composites is critically constrained by low polarization efficiency and severe interfacial incompatibility with polymer matrices. Herein, we report a multi-level in situ surface modification strategy that simultaneously addresses both limitations. High-purity one-dimensional tetragonal [...] Read more.
The practical application of inorganic ferroelectric fillers in flexible piezoelectric composites is critically constrained by low polarization efficiency and severe interfacial incompatibility with polymer matrices. Herein, we report a multi-level in situ surface modification strategy that simultaneously addresses both limitations. High-purity one-dimensional tetragonal barium titanate nanofibers (BTO NFs) are first synthesized via sol–gel electrospinning combined with a two-step gradient annealing process, which precisely controls phase evolution and preserves structural continuity. To overcome the detrimental acid-induced degradation of BTO NFs during functionalization, a polydopamine (PDA) buffer layer is first conformally coated, followed by the liquid-phase deposition of a conductive polypyrrole (PPy) shell, forming a robust core–shell PPy@PBT NFs architecture. Incorporating only 4 wt% of these multifunctional fillers into a poly(vinylidene fluoride) (PVDF) matrix yields a dramatic enhancement in electromechanical performance. The resulting flexible piezoelectric energy harvesters achieve a piezoelectric coefficient (d33) of 28.7 pC/N, an output voltage of 13 V, and an output current of 0.7 μA, representing substantial improvements over unmodified filler systems. This synergistic enhancement originates from the PDA-mediated interfacial stress transfer and the PPy-induced Maxwell–Wagner polarization intensification, establishing a robust and generalizable paradigm for high-performance flexible piezoelectric composites in self-powered wearable electronics. Full article
(This article belongs to the Topic Advanced Composite Materials)
Show Figures

Figure 1

21 pages, 1059 KB  
Article
A System-Level Framework Linking Actuator Control Accuracy to Energy Efficiency and Range Performance in PMSM-Driven Flight Control Systems
by Tieniu Chen, Xiaozhou He, Yunjiang Lou, Houde Liu and Kunfeng Zhang
Electronics 2026, 15(8), 1555; https://doi.org/10.3390/electronics15081555 - 8 Apr 2026
Viewed by 249
Abstract
Permanent magnet synchronous motor (PMSM)-based servo actuators are fundamental to high-performance electromechanical systems. However, in energy-sensitive aerospace applications, the impact of tracking error on system-level efficiency remains insufficiently quantified. This paper establishes an energy-oriented analytical framework linking PMSM tracking accuracy to vehicle-level energy [...] Read more.
Permanent magnet synchronous motor (PMSM)-based servo actuators are fundamental to high-performance electromechanical systems. However, in energy-sensitive aerospace applications, the impact of tracking error on system-level efficiency remains insufficiently quantified. This paper establishes an energy-oriented analytical framework linking PMSM tracking accuracy to vehicle-level energy consumption and flight range. By employing a specific mechanical energy formulation, we demonstrate that tracking deviations modify aerodynamic drag and introduce additional dissipative work. Specifically, the accumulated dissipation is shown to admit a lower bound proportional to the integral of the squared tracking error, from which a range degradation bound is derived. These results reveal that “tracking-error energy” imposes a fundamental limit on achievable flight distance. A Lyapunov-based analysis further proves that minimizing this error energy reduces total aerodynamic dissipation without requiring modifications to propulsion scheduling or guidance laws. Numerical simulations comparing a conventional sliding mode controller with an advanced fuzzy-adaptive nonsingular terminal sliding mode controller confirm that enhanced servo precision directly improves velocity retention and range performance. This framework offers practical insights for designing energy-aware PMSM control strategies in energy-constrained aerospace platforms. Full article
Show Figures

Figure 1

21 pages, 1356 KB  
Review
Biomimetic Strategies in Orthosis Design: A Scoping Review of Biological Abstraction and Functional Translation
by Tim Tchervonenko, Alexander Sauer, Thabata Alcântara Ferreira Ganga, Heike Beismann, Eduardo Keller Rorato, Míriam Raquel Diniz Zanetti and Maria Elizete Kunkel
Biomimetics 2026, 11(4), 241; https://doi.org/10.3390/biomimetics11040241 - 3 Apr 2026
Viewed by 491
Abstract
Orthoses are widely used to support or modulate neuromuscular and skeletal function; however, their clinical effectiveness is often limited by discomfort, poor adaptability, and suboptimal human–device interaction. Biomimetics has emerged as a structured design paradigm capable of enhancing orthotic performance by systematically translating [...] Read more.
Orthoses are widely used to support or modulate neuromuscular and skeletal function; however, their clinical effectiveness is often limited by discomfort, poor adaptability, and suboptimal human–device interaction. Biomimetics has emerged as a structured design paradigm capable of enhancing orthotic performance by systematically translating biological principles into engineering solutions. This scoping review examined biomimetic strategies in the development of orthoses. A structured search was conducted across PubMed, IEEE Xplore, Web of Science, and Scopus (2000–2025). Of 453 identified records, 14 met the inclusion criteria. Biomimetic orthosis research emerged predominantly after 2012, with increased activity after 2021. Human-based biological models, particularly muscle–tendon systems, predominated. Most studies relied on functional abstraction and were implemented using cable-driven or electromechanical actuation. None of the included studies explicitly referenced established biomimetics standards (e.g., ISO 18458), and descriptions of biological analysis, abstraction, and transfer were frequently incomplete. Experimental validation was generally limited to prototype-level testing, small sample sizes, and short-term evaluations, with no longitudinal or multicenter studies identified. These findings reveal a structural imbalance between conceptual biomimetic inspiration and structured methodological implementation. Based on this analysis, a structured biomimetic workflow is proposed to enhance traceability, reporting clarity, and clinical translation in the development of orthosis. Full article
Show Figures

Graphical abstract

20 pages, 4153 KB  
Article
Novel Vibration Diagnosis Technologies for Lubrication Deficiency in Rolling Bearings of Induction Motors
by Len Gelman and Rami Kerrouche
Energies 2026, 19(7), 1741; https://doi.org/10.3390/en19071741 - 2 Apr 2026
Cited by 1 | Viewed by 342
Abstract
Lack of lubrication in rolling-element bearings is a leading root cause of premature failure in induction motors and other electromechanical drives. This study proposes novel vibration-based technologies for diagnosing a lack of lubrication in bearings of induction motors. Two technologies are proposed: the [...] Read more.
Lack of lubrication in rolling-element bearings is a leading root cause of premature failure in induction motors and other electromechanical drives. This study proposes novel vibration-based technologies for diagnosing a lack of lubrication in bearings of induction motors. Two technologies are proposed: the Filter-less spectral kurtosis (FLSK), which quantifies impulsive energy generated by a lack of bearing lubrication, and the fundamental rotational harmonic technology, which captures an increase in the fundamental rotational harmonic magnitude, also induced by a lack of bearing lubrication. Comprehensive experimental trials are performed on a Siemens induction gearmotor, used in airport baggage handling conveyor systems. The experimental results show that both technologies exhibit effective diagnostics. Full article
(This article belongs to the Special Issue Modern Control and Diagnosis for Electrical Machines and Drives)
Show Figures

Figure 1

Back to TopTop