Dynamic Characteristics and Feedforward Control Methods of Magnetic Bearing Flywheels Under Moving Base Conditions
Abstract
1. Introduction
- Contextualized Modeling: Using rapid spacecraft maneuvers as the operational background, the Lagrange method is applied to develop a moving-base dynamic model of a magnetic-bearing flywheel. Electromagnetic bearing forces are incorporated, resulting in a unified electromechanical–dynamic model.
- Control Model and Parameter Analysis: Based on the integrated model, a control framework for the magnetic-bearing flywheel is established. The effects of various moving-base parameters on the performance of the levitation controller are systematically analyzed.
- Novel Vibration Suppression Strategy: A feedforward vibration suppression controller, utilizing moving-base angular deceleration measurements, is proposed. Its effectiveness is verified through simulation studies.
2. Dynamic Model of the Magnetic Bearing Flywheel Considering Moving Base Excitations
- (1)
- Inertial Coordinate System: OXYZ fixed in space.
- (2)
- Moving Base Frame: ; the moving base and stator are treated as rigid bodies M. For convenience of modeling, the center of this rigid body is positioned at the stator center. This frame underwent rotational motion about the X-, Y-, and Z-axes relative to the inertial coordinate system, with coincident origins in the initial state.
- (3)
- Rotor Coordinate System: , fixed to the rotor; rotates with the rotor about its center of mass and aligns with the rotor’s principal axes of inertia. In the initial state, their origins coincide. The transformation from the moving base frame to the rotor frame is illustrated in Figure 2: First, a rotation by angle about the yg axis yields the frame. Next, a rotation by angle about the intermediate axis gives the frame. Finally, a rotation by angle about the axis results in the rotor coordinate system .
2.1. Rotor Angular Velocity
- (1)
- For the moving base frame oxyz, its angular velocity components relative to the inertial coordinate system, projected onto the inertial frame axes, are denoted as , , and .
- (2)
- For the coordinate system, the angular velocity relative to the inertial space, with components projected onto its own axes, is expressed as
- (3)
- For the coordinate system, the components of its angular velocity relative to the inertial space, resolved along its own axes, are expressed as
- (4)
- For the coordinate system, the components of its angular velocity relative to the inertial space, resolved along its own axes, are expressed as
2.2. Equations of Motion for the Magnetic-Bearing Flywheel
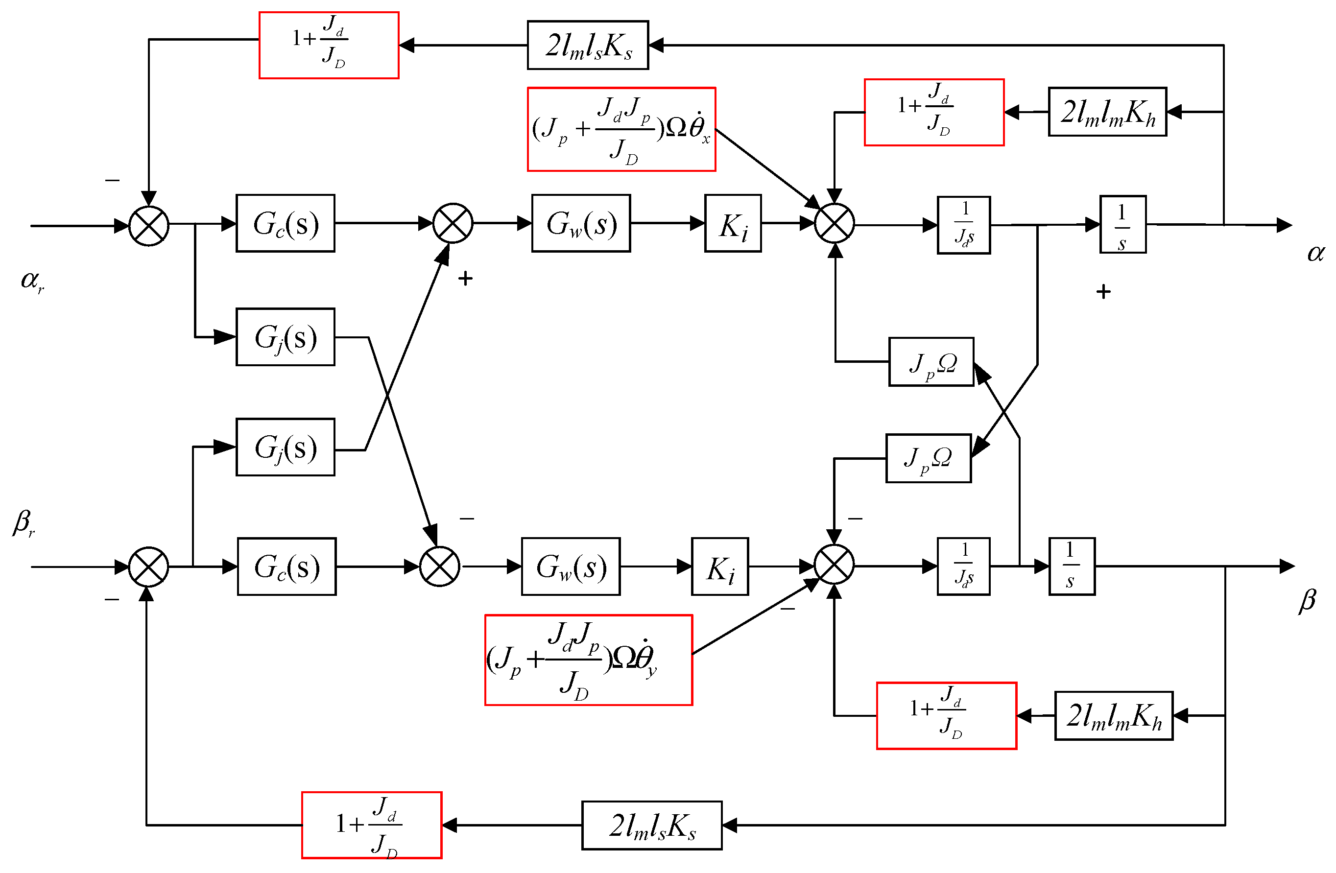
3. Electromechanical-Dynamic Model Under Moving Base Conditions
4. Dynamic Response Simulation Analysis of Magnetic Flywheel
4.1. Simulation Parameter Settings
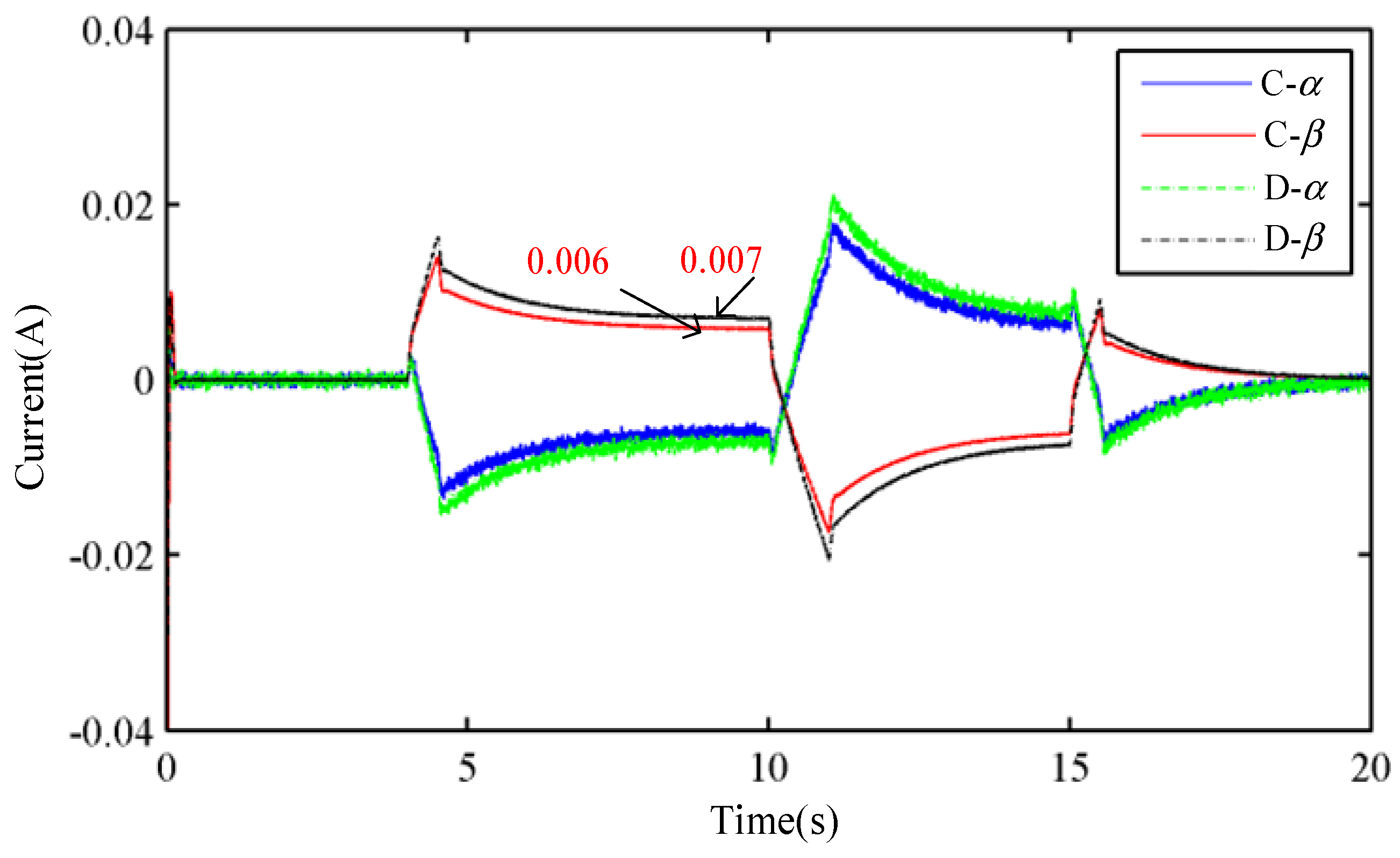
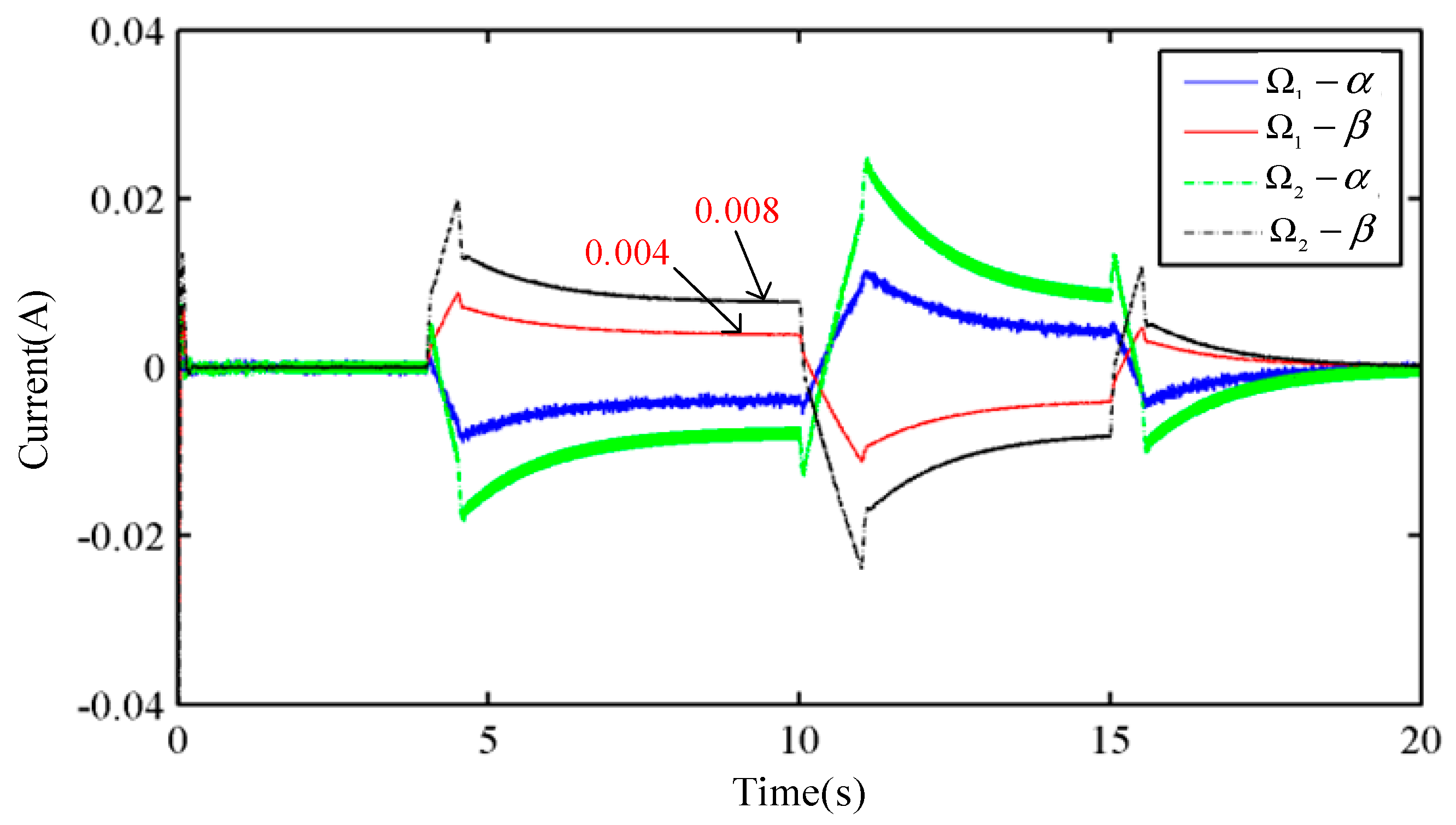
4.2. Coupling Effects Between Maneuver Angular Rates and
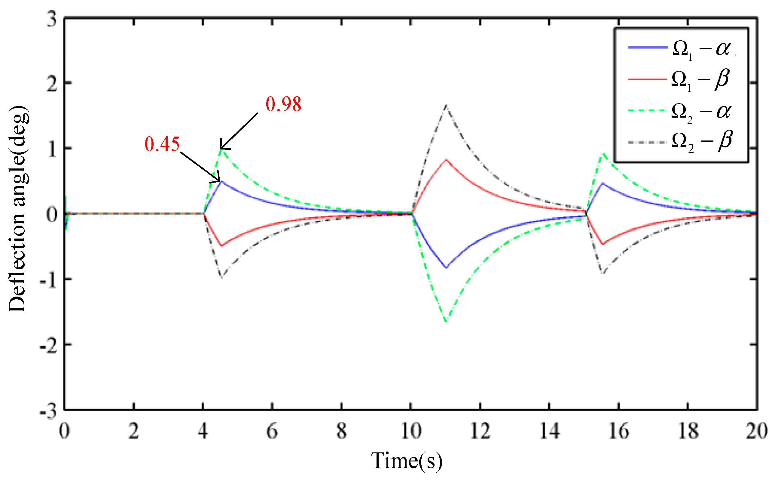
4.3. The Influence of Maneuvering Angular Acceleration
4.4. The Influence of Rotor Speed
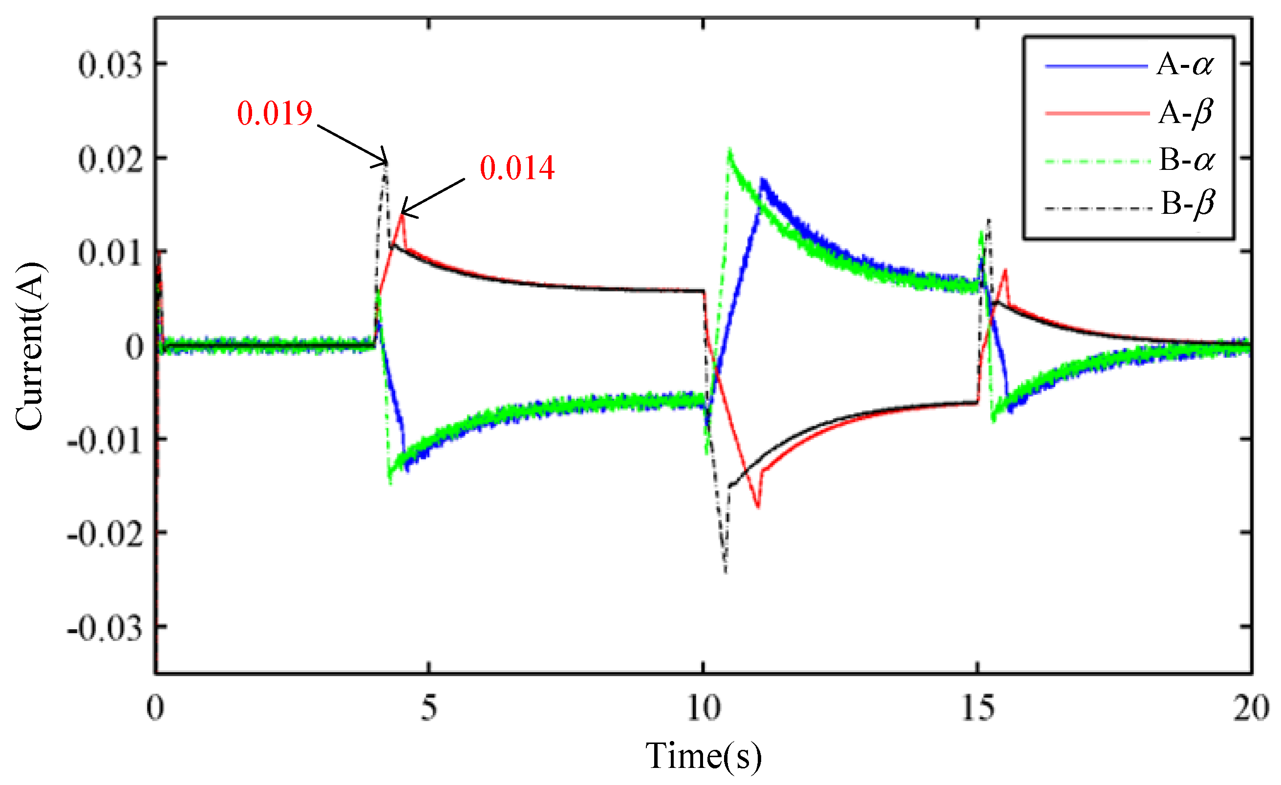
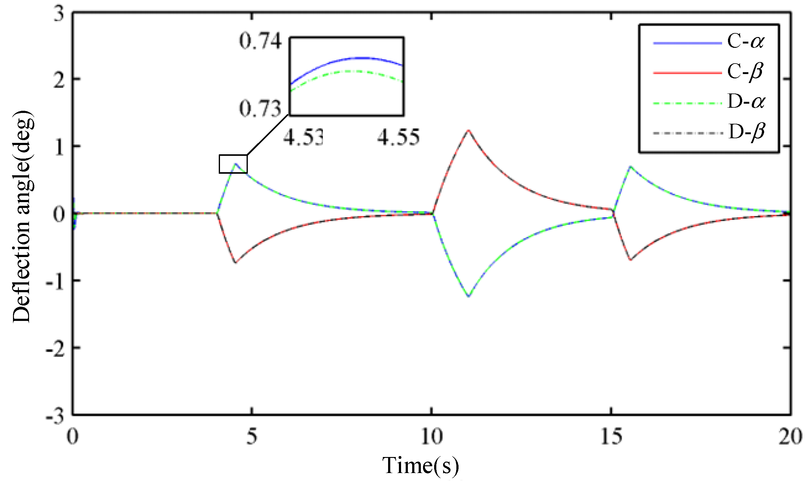
4.5. Influence of Moment of Inertia of Moving Base JD
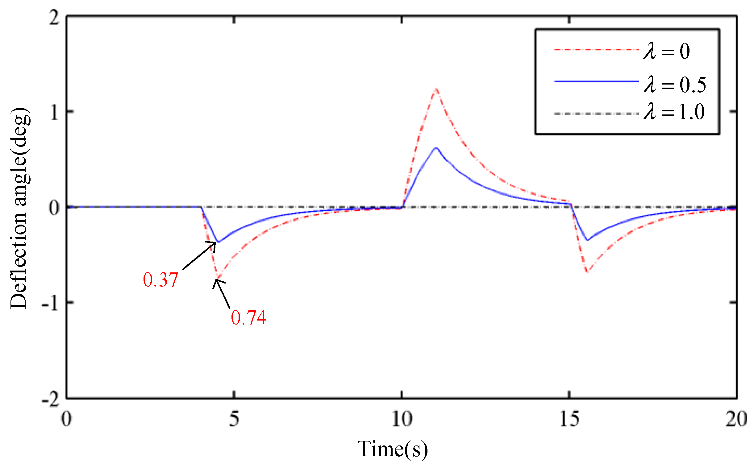
5. Method for Suppressing the Effect of Moving Base
6. Conclusions
Author Contributions
Funding
Institutional Review Board Statement
Informed Consent Statement
Data Availability Statement
Conflicts of Interest
References
- Schweitzer, G.; Maslen, E.H. Magnetic Bearings Theory, Design, and Application to Rotating Machinery; Springer: Berlin/Heidelberg, Germany, 2012. [Google Scholar]
- Xu, X.; Fang, J.; Li, H.; Cui, P. Active suppression of imbalance vibration in the magnetically suspended control moment gyro. J. Vib. Control 2013, 21, 989–1003. [Google Scholar] [CrossRef]
- Xia, C.; Cai, Y.; Ren, Y. Stability analysis for a rotor system in a magnetically suspended control and sensitive gyroscope with the Lorentz force magnetic bearing rotation. Proc. Inst. Mech. Eng. Part I J. Syst. Control Eng. 2018, 233, 548–557. [Google Scholar] [CrossRef]
- Xu, Y.; Zhou, J.; Jin, C.; Guo, Q. Identification of the dynamic parameters of active magnetic bearings based on the transfer matrix model updating method. J. Mech. Sci. Technol. 2016, 30, 2971–2979. [Google Scholar] [CrossRef]
- Hu, H.; Wei, J.; Wang, H.; Xiao, P.; Zeng, Y.; Liu, K. Analysis of the Notch Filter Insertion Position for Natural Frequency Vibration Suppression in a Magnetic Suspended Flywheel Energy Storage System. Actuators 2023, 12, 22. [Google Scholar] [CrossRef]
- Yang, K.; Hu, Y.; Wu, H.; Zhou, J.; Xiao, W.; Wang, N. Harmonic vibration suppression of maglev rotor system under variable rotational speed without speed measurement. Mechatronics 2023, 91, 102956. [Google Scholar] [CrossRef]
- Zhang, H.; Liu, J.; Zhu, R.; Chen, H.; Yuan, H. Nonlinear Adaptive Harmonics Vibration Control for Active Magnetic Bearing System With Rotor Unbalance and Sensor Runout. IEEE Sens. J. 2021, 21, 12245–12254. [Google Scholar] [CrossRef]
- Cui, P.L.; Du, L.; Zhou, X.; Li, J.; Li, Y.; Wu, Y. Harmonic vibration moment suppression using hybrid repetitive control for active magnetic bearing system. J. Vib. Control 2022, 28, 2421–2434. [Google Scholar] [CrossRef]
- Cui, P.L.; He, J.X.; Fang, J.C. Static mass imbalance identification and vibration control for rotor of magnetically suspended control moment gyro with active-passive magnetic bearings. J. Vib. Control 2016, 22, 2313–2324. [Google Scholar] [CrossRef]
- Gao, H.; Long-Xiang, X.U. Real-time vibration compensation for active magnetic bearing systems based on LMS algorithm. J. Vib. Eng. 2009, 22, 583–588. [Google Scholar]
- Park, J.; Palazzolo, A.B. Magnetically Suspended VSCMGs for Simultaneous Attitude Control and Power Transfer IPAC Service. J. Dyn. Syst. Meas. Control.-Trans. Asme 2010, 132, 051001. [Google Scholar] [CrossRef]
- Ren, Y.; Chen, X.; Cai, Y.; Wang, W. Rotation Modes Stability Analysis and Phase Compensation for Magnetically Suspended Flywheel Systems with Cross Feedback Controller and Time Delay. Math. Probl. Eng. 2016, 2016, 3783740. [Google Scholar] [CrossRef]
- Peng, C.; Sun, J.; Miao, C.; Fang, J. A Novel Cross-Feedback Notch Filter for Synchronous Vibration Suppression of an MSFW With Significant Gyroscopic Effects. IEEE Trans. Ind. Electron. 2017, 64, 7181–7190. [Google Scholar] [CrossRef]
- Pu, P.C.; Yu, J.P.; Zhao, L. Analysis of Stiffness and Damping Properties of Active Magnetic Bearing Using Cross Feedback Control. In Proceedings of the 3rd Annual International Conference on Mechanics and Mechanical Engineering (Mme 2016); Springer Nature: Berlin/Heidelberg, Germany, 2017; Volume 105, pp. 327–337. [Google Scholar]
- Peng, C.; Zhu, M.; Ren, X.; Zhen, Z. Synchronous vibration control for a class of cross-coupled antisymmetric MSR systems. IET Electr. Power Appl. 2019, 13, 1071–1078. [Google Scholar] [CrossRef]
- Peng, C.; Zheng, S.; Huang, Z.; Zhou, X. Complete Synchronous Vibration Suppression for a Variable-Speed Magnetically Suspended Flywheel Using Phase Lead Compensation. IEEE Trans. Ind. Electron. 2018, 65, 5837–5846. [Google Scholar] [CrossRef]
- Chen, Q.; Liu, G.; Han, B. Unbalance vibration suppression for AMBs system using adaptive notch filter. Mech. Syst. Signal Process. 2017, 93, 136–150. [Google Scholar] [CrossRef]
- He, J.; Deng, Z.; Peng, C.; Li, K. Reduction of the High-Speed Magnetically Suspended Centrifugal Compressor Harmonic Vibration Using Cascaded Phase-Shifted Notch Filters. IEEE Sens. J. 2021, 21, 1315–1323. [Google Scholar] [CrossRef]
- Xu, X.B.; Fang, J.C.; Liu, G.; Zhang, H.J. Model development and harmonic current reduction in active magnetic bearing systems with rotor imbalance and sensor runout. J. Vib. Control 2015, 21, 2520–2535. [Google Scholar] [CrossRef]
- Borque Gallego, G.; Rossini, L.; Achtnich, T.; Araujo, D.M.; Perriard, Y. Novel Generalized Notch Filter for Harmonic Vibration Suppression in Magnetic Bearing Systems. IEEE Trans. Ind. Appl. 2021, 57, 6977–6987. [Google Scholar] [CrossRef]
- Zheng, S.; Chen, Q.; Ren, H. Active Balancing Control of AMB-Rotor Systems Using a Phase-Shift Notch Filter Connected in Parallel Mode. IEEE Trans. Ind. Electron. 2016, 63, 3777–3785. [Google Scholar] [CrossRef]
- Cui, P.L.; Li, S.; Wang, Q.R.; Gao, Q.; Cui, J.; Zhang, H.J. Harmonic Current Suppression of an AMB Rotor System at Variable Rotation Speed Based on Multiple Phase-Shift Notch Filters. IEEE Trans. Ind. Electron. 2016, 63, 6962–6969. [Google Scholar] [CrossRef]
- Li, J.; Liu, G.; Cui, P.; Zheng, S.; Chen, X. 3/2-Order Dual-Mode Fractional Repetitive Control for Harmonic Vibration Suppression in Magnetically Suspended Rotor. IEEE Sens. J. 2020, 20, 14713–14721. [Google Scholar] [CrossRef]
- Zeng, Y.; Liu, K.; Wei, J.; Zhang, Z. Vibration Force Suppression of Magnetically Suspended Flywheel Based on Compound Repetitive Control. Symmetry 2022, 14, 949. [Google Scholar] [CrossRef]
- Cui, P.L.; Han, D.; Zhang, G.X.; Liu, Z.Y.; Han, B.C. Robust Odd Repetitive Controller for Magnetically Suspended Rotor System. IEEE Trans. Ind. Electron. 2019, 66, 2025–2033. [Google Scholar] [CrossRef]
- Cai, K.; Deng, Z.; Peng, C.; Li, K. Suppression of Harmonic Vibration in Magnetically Suspended Centrifugal Compressor Using Zero-Phase Odd-Harmonic Repetitive Controller. IEEE Trans. Ind. Electron. 2020, 67, 7789–7797. [Google Scholar] [CrossRef]
- Cui, P.L.; Wang, Q.R.; Zhang, G.X.; Gao, Q. Hybrid Fractional Repetitive Control for Magnetically Suspended Rotor Systems. IEEE Trans. Ind. Electron. 2018, 65, 3491–3498. [Google Scholar] [CrossRef]
- Kang, M.S.; Lyou, J.; Lee, J.K. Sliding mode control for an active magnetic bearing system subject to base motion. Mechatronics 2010, 20, 171–178. [Google Scholar] [CrossRef]
- Xu, Y.; Shen, Q.; Zhang, Y.; Zhou, J.; Jin, C. Dynamic Modeling of the Active Magnetic Bearing System Operating in Base Motion Condition. IEEE Access 2020, 8, 166003–166013. [Google Scholar] [CrossRef]
- Zhang, X.; Wu, H.; Wang, W.; Yang, T. Dynamic analysis and vibration control of a rotor-Active magnetic bearings system with base motion. Bearing 2025, 8, 1–6. [Google Scholar]
- Fang, J.C.; Zhang, H.J.; Liu, H. Vibration mechanism analysis and dynamic model development of magnetically suspended rigid rotor system. Control Theory Appl. 2014, 31, 1707–1713. [Google Scholar]
















| Parameter | Symbol | Unit | Value | Parameter | Symbol | Unit | Value |
|---|---|---|---|---|---|---|---|
| Rotor equatorial moment of inertia | Jp | kg·m2 | 0.0458 | Controller parameters | kP | / | 15 |
| Rotor extreme moment of inertia | Jd | kg·m2 | 0.0237 | Controller parameters | kI | / | 0.5 |
| Maximum of inertia of the base | JD | kg·m2 | 125 | Controller parameters | kD | / | 0.02 |
| Current stiffness coefficient | Ki | N·A−1 | 125 | Incomplete differential parameters | N | / | 10,000 |
| Displacement stiffness coefficient | Kh | N·m−1 | 50,000 | Distance of magnetic bearing from centroid | lm | m | 0.020 |
| Amplifier gain | Kw | A·V−1 | 0.000037 | Distance from sensor to centroid | ls | m | 0.024 |
| Amplifier time constant | τw | / | 0.000071 | Unbalanced torque phase | φd | deg | 0 |
| Sensor sensitivity | ks | V·rad−1 | 8000 | Unbalanced torque mass | md | kg | 0.028 |
| Sampling Gain | Kad | V−1 | 3276.8 | Unbalanced torque slewing radius | mr | m | 0.05 |
Disclaimer/Publisher’s Note: The statements, opinions and data contained in all publications are solely those of the individual author(s) and contributor(s) and not of MDPI and/or the editor(s). MDPI and/or the editor(s) disclaim responsibility for any injury to people or property resulting from any ideas, methods, instructions or products referred to in the content. |
© 2026 by the authors. Licensee MDPI, Basel, Switzerland. This article is an open access article distributed under the terms and conditions of the Creative Commons Attribution (CC BY) license.
Share and Cite
Zeng, Y.; Xiao, P.; Wei, J. Dynamic Characteristics and Feedforward Control Methods of Magnetic Bearing Flywheels Under Moving Base Conditions. Appl. Sci. 2026, 16, 3789. https://doi.org/10.3390/app16083789
Zeng Y, Xiao P, Wei J. Dynamic Characteristics and Feedforward Control Methods of Magnetic Bearing Flywheels Under Moving Base Conditions. Applied Sciences. 2026; 16(8):3789. https://doi.org/10.3390/app16083789
Chicago/Turabian StyleZeng, Yuan, Peng Xiao, and Jingbo Wei. 2026. "Dynamic Characteristics and Feedforward Control Methods of Magnetic Bearing Flywheels Under Moving Base Conditions" Applied Sciences 16, no. 8: 3789. https://doi.org/10.3390/app16083789
APA StyleZeng, Y., Xiao, P., & Wei, J. (2026). Dynamic Characteristics and Feedforward Control Methods of Magnetic Bearing Flywheels Under Moving Base Conditions. Applied Sciences, 16(8), 3789. https://doi.org/10.3390/app16083789

