Sign in to use this feature.

Years

Between: -

Subjects

remove_circle_outline
remove_circle_outline
remove_circle_outline
remove_circle_outline
remove_circle_outline
remove_circle_outline
remove_circle_outline
remove_circle_outline
remove_circle_outline

Journals

Article Types

Countries / Regions

Search Results (117)

Search Parameters:
Keywords = electrified process

Order results
Result details
Results per page
Select all
Export citation of selected articles as:
18 pages, 2371 KB  
Article
Development of the Electrical Assistance System for a Modular Attachment Demonstrator Integrated in Lightweight Cycles Used for Urban Parcel Transportation
by Vlad Teodorascu, Nicolae Burnete, Levente Botond Kocsis, Irina Duma, Nicolae Vlad Burnete, Andreia Molea and Ioana Cristina Sechel
Vehicles 2025, 7(4), 164; https://doi.org/10.3390/vehicles7040164 - 17 Dec 2025
Viewed by 254
Abstract
A promising approach to advancing sustainable urban mobility is the increased use of light electric vehicles, such as e-cycles and their cargo-carrying variants: e-cargo cycles. These micromobility vehicles fall between e-cycles and conventional vehicles in terms of transport capacity, range, and cost. A [...] Read more.
A promising approach to advancing sustainable urban mobility is the increased use of light electric vehicles, such as e-cycles and their cargo-carrying variants: e-cargo cycles. These micromobility vehicles fall between e-cycles and conventional vehicles in terms of transport capacity, range, and cost. A key advantage of e-cargo cycles over their non-electrified counterparts is the electric powertrain, which enables them to carry heavier payloads, travel longer distances, and reduce driver fatigue. Since the primary use of e-cargo cycles is urban parchment deliveries, trip efficiency plays a critical role in their effectiveness within urban logistics. This efficiency is influenced by factors such as travel distance, traffic density, and the weight and volume of the delivery payload. While higher delivery capacity generally enhances efficiency, studies have shown that as the drop size increases, the efficiency of e-cargo cycle delivery trips tends to decline. A practical way to address this limitation is the use of cargo attachments, such as trailers. These micromobility solutions are already widely implemented globally and significantly enhance transport capacity. This paper reports the process of designing and testing the control algorithm of an electrical system for an experimental attachment demonstrator that can be used to convert most cycle vehicles into cargo variants. The system integrates two 250 W BLDC hub motors, two 576 Wh lithium-ion batteries, dual load-cell sensing in the coupling element, and an STM32-based controller to provide independent propulsion and synchronization with the leading cycle. The force-based control strategy enables automatic adaptation to varying payloads typically encountered in urban logistics, which is supported by the variable storage volume capable of transporting payloads of up to 200 kg. Full article
Show Figures

Figure 1

8 pages, 425 KB  
Proceeding Paper
Electrified Pressure Swing Distillation: A Systems-Based Sustainability Assessment
by Jonathan Wavomba Mtogo, Gladys Wanyaga Mugo, Emmanuel Karimere Kariuki, Martin Murimi Gichungu and Bevin Nabai Kundu
Eng. Proc. 2025, 117(1), 6; https://doi.org/10.3390/engproc2025117006 - 3 Dec 2025
Viewed by 477
Abstract
The decarbonisation of energy-intensive separation processes is critical for achieving net-zero goals in the chemical industry. While widely used for separating azeotropic mixtures, pressure swing distillation (PSD) remains highly energy-intensive due to significant thermal demands. This work presents a comprehensive systems-based assessment of [...] Read more.
The decarbonisation of energy-intensive separation processes is critical for achieving net-zero goals in the chemical industry. While widely used for separating azeotropic mixtures, pressure swing distillation (PSD) remains highly energy-intensive due to significant thermal demands. This work presents a comprehensive systems-based assessment of electrified distillation designs, with a specific focus on tetrahydrofuran–water separation as a case study. Using Aspen Plus and Aspen Plus Dynamics, key performance indicators, including controllability, thermal and exergy efficiencies, and CO2 emissions reduction potential, are evaluated. The electrified configurations employed heat pumps as substitutes for conventional steam heating. Disturbance rejection was applied to compare the input–output pairings and select pairings with the best controllability and disturbance rejection indices. Results showed that the conventional PSD (CPSD) exhibited higher Morari Resiliency Index (MRI) and acceptable Condition Number (CN) values, indicating better robustness and disturbance rejection than the heat pump-assisted PSD (HPAPSD). Despite this, HPAPSD achieved a 59% reduction in primary energy demand, a 23% increase in exergy efficiency, and an 82% reduction in CO2 emissions. This study demonstrates the potential of electrification to transform PSD systems from rigid, energy-intensive operations into flexible and sustainable processes. The findings support a shift towards integrated, systems-driven design strategies in chemical separation, aligning with broader goals in process electrification, circularity, and net-zero manufacturing. Full article
Show Figures

Figure 1

34 pages, 1247 KB  
Article
Modelling Future Pathways for Industrial Process Heat Decarbonisation in New Zealand: The Role of Green Hydrogen
by Geordie Reid, Le Wen, Basil Sharp, Mingyue Selena Sheng, Lingli Qi, Smrithi Talwar, John Kennedy and Ramesh Chandra Majhi
Sustainability 2025, 17(23), 10812; https://doi.org/10.3390/su172310812 - 2 Dec 2025
Viewed by 464
Abstract
Green hydrogen is a potential enabler of deep decarbonisation for industrial process heat. We assess its role in Aotearoa New Zealand using a bottom-up, least-cost energy-system model based on the integrated MARKAL-EFOM system (TIMES), which includes hydrogen production electrolysis, storage, and delivery of [...] Read more.
Green hydrogen is a potential enabler of deep decarbonisation for industrial process heat. We assess its role in Aotearoa New Zealand using a bottom-up, least-cost energy-system model based on the integrated MARKAL-EFOM system (TIMES), which includes hydrogen production electrolysis, storage, and delivery of end-use technologies for process heat, as well as alternative low-carbon options. Drawing on detailed data on industrial energy use by sector and temperature band, we simulate pathways to 2050 under varying assumptions for electrolyser and fuel prices, technology efficiencies, electricity decarbonisation and carbon prices. In most scenarios, the least-cost pathway involves widespread electrification of low- and medium-temperature heat, with green hydrogen playing a targeted role where high-temperature requirements and process constraints limit direct electrification. Sensitivity analysis reveals that hydrogen uptake increases under higher carbon prices, lower electrolyser capital expenditure, and when grid connection or peak capacity constraints are binding. These results suggest that policy should prioritise rapid industrial electrification while focusing hydrogen support on hard-to-electrify, high-temperature processes, such as primary metals and mineral products, alongside enabling infrastructure and standards for hydrogen production, transport, and storage. Full article
Show Figures

Figure 1

17 pages, 9693 KB  
Article
Sensing and Analyzing Partial Discharge Phenomenology in Electrical Asset Components Supplied by Distorted AC Waveform
by Gian Carlo Montanari, Sukesh Babu Myneni, Zhaowen Chen and Muhammad Shafiq
Sensors 2025, 25(21), 6594; https://doi.org/10.3390/s25216594 - 26 Oct 2025
Viewed by 838
Abstract
Power electronic devices for AC/DC and AC/AC conversion are, nowadays, widely distributed in electrified transportation and industrial applications, which can determine significant deviation in supply voltage waveform from the AC sinusoidal and promote insulation extrinsic aging mechanisms as partial discharges (PDs). PDs are [...] Read more.
Power electronic devices for AC/DC and AC/AC conversion are, nowadays, widely distributed in electrified transportation and industrial applications, which can determine significant deviation in supply voltage waveform from the AC sinusoidal and promote insulation extrinsic aging mechanisms as partial discharges (PDs). PDs are one of the most harmful processes as they are able to cause accelerated extrinsic aging of electrical insulation systems and are the cause of premature failure in electrical asset components. PD phenomenology under pulse width modulated (PWM) voltage waveforms has been dealt with in recent years, also through some IEC/IEEE standards, but less work has been performed on PD harmfulness under AC distorted waveforms containing voltage harmonics and notches. On the other hand, these voltage waveforms can often be present in electrical assets containing conventional loads and power electronics loads/drives, such as for ships or industrial installations. The purpose of this paper is to provide a contribution to this lack of knowledge, focusing on PD sensing and phenomenology. It has been shown that PD patterns can change considerably with respect to those known under sinusoidal AC when harmonic voltages and/or notches are present in the supply waveform. This can impact PD typology identification, which is based on features related to PD pattern-based physics. The adaptation of identification AI algorithms used for AC sinusoidal voltage as well as distorted AC waveforms is discussed in this paper, showing that effective identification of the type of defects generating PD, and thus of their harmfulness, can still be achieved. Full article
(This article belongs to the Section Physical Sensors)
Show Figures

Figure 1

4 pages, 3132 KB  
Abstract
Nondestructive Testing of Joint by Active Infrared Thermography
by Ririka Nishifuru, Ryosuke Koda, Yuki Ogawa, Hiroyuki Akebono, Yukihiro Sugimoto and Atsushi Sugeta
Proceedings 2025, 129(1), 43; https://doi.org/10.3390/proceedings2025129043 - 12 Sep 2025
Viewed by 480
Abstract
As part of recent measures to combat global warming, automobiles are required to be electrified and their weight reduced, leading to the advancement of multi-material structures that include aluminum alloys and aluminum die castings. Conventional fusion welding methods for joining aluminum alloys and [...] Read more.
As part of recent measures to combat global warming, automobiles are required to be electrified and their weight reduced, leading to the advancement of multi-material structures that include aluminum alloys and aluminum die castings. Conventional fusion welding methods for joining aluminum alloys and steel materials have poor joining performance due to differences in thermal conductivity between the materials and the presence of oxide films. Friction stir welding (FSW) has been attracting attention in recent years because it is a solid-phase joining method and can also be used to join dissimilar materials. In this study, FSW overlay joints were fabricated: Aluminum alloy AA6111 was used for the upper plate, AA6061 was used for the lower plate. Non-destructive testing was performed on each joint to instantly inspect and visualize joint defects. In the case of FSW joints, no difference was observed in the heat transfer process when the joints were heated directly, but the location of the hooking could be identified by heating from a distance from the joints. The results of the analysis of the temperature change at the defect location showed a difference in heat propagation. Full article
Show Figures

Figure 1

22 pages, 6742 KB  
Article
Multiscale Evaluation of an Electrically Heated Thermal Battery for High-Temperature Industrial Energy Storage
by Munevver Elif Asar, Daniel McKinley, Bao Truong, Joey Kabel and Daniel Stack
Energies 2025, 18(17), 4461; https://doi.org/10.3390/en18174461 - 22 Aug 2025
Viewed by 1257
Abstract
Industrial processes such as cement, steel, and glass manufacturing rely heavily on fossil fuels for high-temperature heat, presenting a significant challenge for decarbonization. To enable continuous thermal output from intermittent renewable electricity, Electrified Thermal Solutions, Inc. is developing the Joule Hive™ Thermal Battery [...] Read more.
Industrial processes such as cement, steel, and glass manufacturing rely heavily on fossil fuels for high-temperature heat, presenting a significant challenge for decarbonization. To enable continuous thermal output from intermittent renewable electricity, Electrified Thermal Solutions, Inc. is developing the Joule Hive™ Thermal Battery (JHTB), an electrically heated energy storage system capable of delivering process heat up to 1800 °C. The system employs electrically conductive firebricks (E-Bricks) as both heating elements and thermal storage media, arranged with insulating bricks (I-Bricks) to facilitate gas flow and heat exchange. The work combines experimental and numerical studies to evaluate the thermal, electrical, and structural performance of the JHTB. A small-scale charging experiment was conducted on a single E-Brick circuit in a 1500 °C furnace, showing good agreement with coupled thermal-electric finite element models that account for Joule heating, temperature-dependent properties, radiation, and natural convection. Structural modeling assessed stress induced by thermal gradients. In addition, a high-fidelity conjugate heat transfer model of the full JHTB core was developed to assess system-scale discharge performance, solving conservation equations with SST k-ω turbulence and radiation models. Simulations for two air channel geometries demonstrated the battery’s ability to deliver 5 MW of heat for at least five hours with air temperatures higher than 1000 °C, validating its potential for industrial decarbonization. Full article
(This article belongs to the Special Issue Highly Efficient Thermal Energy Storage (TES) Technologies)
Show Figures

Figure 1

26 pages, 4789 KB  
Article
Analytical Modelling of Arc Flash Consequences in High-Power Systems with Energy Storage for Electric Vehicle Charging
by Juan R. Cabello, David Bullejos and Alvaro Rodríguez-Prieto
World Electr. Veh. J. 2025, 16(8), 425; https://doi.org/10.3390/wevj16080425 - 29 Jul 2025
Viewed by 2105
Abstract
The improvement of environmental conditions has become a priority for governments and legislators. New electrified mobility systems are increasingly present in our environment, as they enable the reduction of polluting emissions. Electric vehicles (EVs) are one of the fastest-growing alternatives to date, with [...] Read more.
The improvement of environmental conditions has become a priority for governments and legislators. New electrified mobility systems are increasingly present in our environment, as they enable the reduction of polluting emissions. Electric vehicles (EVs) are one of the fastest-growing alternatives to date, with exponential growth expected over the next few years. In this article, the various charging modes for EVs are explored, and the risks associated with charging technologies are analysed, particularly for charging systems in high-power DC with Lithium battery energy storage, given their long market deployment and characteristic behaviour. In particular, the Arc Flash (AF) risk present in high-power DC chargers will be studied, involving numerous simulations of the charging process. Subsequently, the Incident Energy (IE) analysis is carried out at different specific points of a commercial high-power ‘Mode 4’ charger. For this purpose, different analysis methods of recognised prestige, such as Doan, Paukert, or Stokes and Oppenlander, are applied, using the latest version of the ETAP® simulation tool version 22.5.0. This study focuses on quantifying the potential severity (consequences) of an AF event, assuming its occurrence, rather than performing a probabilistic risk assessment according to standard methodologies. The primary objective of this research is to comprehensively quantify the potential consequences for workers involved in the operation, maintenance, repair, and execution of tasks related to EV charging systems. This analysis makes it possible to provide safe working conditions and to choose the appropriate and necessary personal protective equipment (PPE) for each type of operation. It is essential to develop this novel process to quantify the consequences of AF and to protect the end users of EV charging systems. Full article
(This article belongs to the Special Issue Fast-Charging Station for Electric Vehicles: Challenges and Issues)
Show Figures

Figure 1

34 pages, 2504 KB  
Review
Review of Challenges in Heat Exchanger Network Development for Electrified Industrial Energy Systems
by Stanislav Boldyryev, Oleksandr S. Ivashchuk, Goran Krajačić and Volodymyr M. Atamanyuk
Energies 2025, 18(14), 3685; https://doi.org/10.3390/en18143685 - 12 Jul 2025
Viewed by 3166
Abstract
Shifting towards electrified industrial energy systems is pivotal for meeting global decarbonization objectives, especially since process heat is a significant contributor to greenhouse gas emissions in the industrial sector. This review examines the changing role of heat exchanger networks (HENs) within electrified process [...] Read more.
Shifting towards electrified industrial energy systems is pivotal for meeting global decarbonization objectives, especially since process heat is a significant contributor to greenhouse gas emissions in the industrial sector. This review examines the changing role of heat exchanger networks (HENs) within electrified process industries, where electricity-driven technologies, including electric heaters, steam boilers, heat pumps, mechanical vapour recompression, and organic Rankine cycles, are increasingly supplanting traditional fossil-fuel-based utilities. The analysis identifies key challenges associated with multi-utility integration, multi-pinch configurations, and low-grade heat utilisation that influence HEN design, retrofitting, and optimisation efforts. A comparative evaluation of various methodological frameworks, including mathematical programming, insights-based methods, and hybrid approaches, is presented, highlighting their relevance to the specific constraints and opportunities of electrified systems. Case studies from the chemicals, food processing, and cement sectors demonstrate the practicality and advantages of employing electrified heat exchanger networks (HENs), particularly in terms of energy efficiency, emissions reduction, and enhanced operational flexibility. The review concludes that effective strategies for the design of HENs are crucial in industrial electrification, facilitating increases in efficiency, reductions in emissions, and improvements in economic feasibility, especially when they are integrated with renewable energy sources and advanced control systems. Future initiatives must focus on harmonising technical advances with system-level resilience and economic sustainability considerations. Full article
Show Figures

Figure 1

18 pages, 5139 KB  
Article
Exploring the Failures of Deep Groove Ball Bearings Under Alternating Electric Current in the Presence of Commercial Lithium Grease
by Shubrajit Bhaumik, Mohamed Yunus, Sarveshpranav Jothikumar, Gurram Hareesh, Viorel Paleu, Ashok Kumar Sharma and Shail Mavani
Technologies 2025, 13(7), 275; https://doi.org/10.3390/technologies13070275 - 1 Jul 2025
Cited by 2 | Viewed by 1329
Abstract
Deep groove ball bearings are important mechanical elements in the automotive and process industries, particularly in electric motors. One of the primary reasons for their failure is lubricant degradation due to stray shaft current. Thus, the present work exhibited the failure of bearings [...] Read more.
Deep groove ball bearings are important mechanical elements in the automotive and process industries, particularly in electric motors. One of the primary reasons for their failure is lubricant degradation due to stray shaft current. Thus, the present work exhibited the failure of bearings under simulated lubricated conditions similar to those of real time bearings failing in presence of stray electric current. The test was conducted using a full bearing test rig with an applied radial load, 496 N, an alternating current, 10 A, and a rotation of 2000 rpm for 24 h. The bearings (6206 series) were greased using two commercially available ester-polyalphaolefin oil-based greases with viscosity 46–54 cSt (Grease 1) and 32–35 cSt (Grease 2, also contained aromatic oil). The optical microscopic images of the bearing raceways after the tribo test indicated the superior performance of Grease 1 compared to Grease 2, with lesser formation of white etching areas, micro-pitting, spot welds, and fluting on the surfaces of the bearings. Additionally, 80% less vibrations were recorded during the test with Grease 1, indicating a stable lubricating film of Grease 1 during the test as compared to Grease 2. Furthermore, a higher extent of Grease 2 degradation during the tribo test was also confirmed using Fourier transform infrared spectroscopy. Statistical analysis (t-test) indicated the significant variation of the vibrations produced during the test with electrified conditions. The present work indicated that the composition of the greases plays a significant role in controlling the bearing failures. Full article
Show Figures

Figure 1

26 pages, 4070 KB  
Review
Transitioning Ammonia Production: Green Hydrogen-Based Haber–Bosch and Emerging Nitrogen Reduction Technologies
by Cátia Ribeiro and Diogo M. F. Santos
Clean Technol. 2025, 7(2), 49; https://doi.org/10.3390/cleantechnol7020049 - 16 Jun 2025
Cited by 7 | Viewed by 14651
Abstract
Ammonia production is a cornerstone of the modern chemical industry, essential for fertilizer manufacturing and increasingly relevant in the energy sector. However, the conventional Haber–Bosch (HB) process is highly energy- and carbon-intensive, contributing significantly to global greenhouse gas emissions, releasing approximately 1.6 tonnes [...] Read more.
Ammonia production is a cornerstone of the modern chemical industry, essential for fertilizer manufacturing and increasingly relevant in the energy sector. However, the conventional Haber–Bosch (HB) process is highly energy- and carbon-intensive, contributing significantly to global greenhouse gas emissions, releasing approximately 1.6 tonnes of carbon dioxide for every tonne of ammonia produced. In the context of the ongoing climate crisis, exploring sustainable alternatives that can reduce or even eradicate these emissions is imperative. This review examines the potential of ammonia as a future energy carrier and evaluates the transition to green hydrogen-based HB production. Key technologies for green hydrogen generation are reviewed in conjunction with environmental, energy, and economic considerations. The transition to a green hydrogen-based HB process has been demonstrated to offer significant environmental advantages, potentially reducing carbon emissions by up to eight times compared to the conventional method. Furthermore, the economic viability of this process is particularly pronounced under conditions of low-cost renewable electricity, whether utilizing solid oxide electrolysis cells or proton-exchange membrane electrolyzers. Additionally, two emerging zero-emission, electrochemical routes for ammonia synthesis are analyzed in terms of their methodologies, efficiencies, and economic viability. Promising progress has been made in both direct and indirect nitrogen reduction approaches to ammonia. The indirect lithium-mediated pathway demonstrates the greatest potential, significantly reducing ammonia production costs. Despite existing challenges, particularly related to efficiency, these emerging technologies offer decentralized, electrified pathways for sustainable ammonia production in the future. This study highlights the near-term feasibility of decarbonizing ammonia production through green hydrogen in the HB process, while outlining the long-term potential of electrochemical nitrogen reduction as a sustainable alternative once the technology matures. Full article
(This article belongs to the Topic Green and Sustainable Chemical Processes)
Show Figures

Graphical abstract

20 pages, 1922 KB  
Article
Electrification of Compressor in Steam Cracker Plant: A Path to Reduced Emissions and Optimized Energy Integration
by Joana Cordeiro Torcato, Rodrigo Silva and Mário Eusébio
ChemEngineering 2025, 9(3), 55; https://doi.org/10.3390/chemengineering9030055 - 27 May 2025
Cited by 1 | Viewed by 3463
Abstract
Electrification is a highly effective decarbonization and environmental incentive strategy for the chemical industry. Nevertheless, it may lead to downstream challenges in the process. This study analyzes the consequences of electrifying compressors within the steam cracker (SC) condensate system, focusing on the reduction [...] Read more.
Electrification is a highly effective decarbonization and environmental incentive strategy for the chemical industry. Nevertheless, it may lead to downstream challenges in the process. This study analyzes the consequences of electrifying compressors within the steam cracker (SC) condensate system, focusing on the reduction in greenhouse gas (GHG) emissions and energy consumption without compromising the process’s energy efficiency. The aim is to study the impact that the reduction in steam expanded by turbines has on boiler feedwater (BFW) temperature and, subsequently, the behavior it triggers in fuel gas (FG) consumption and carbon dioxide (CO2) emissions in furnaces. It was concluded that condensate imports from the Energies and Utilities Plant (E&U) would increase by a factor of four, with approximately 60% of the imported condensate being cold condensate. The study revealed a mitigation of CO2 emissions, resulting in a 1.3% reduction and a reduction in FG consumption of 1.8% preventing an increase in site energy consumption by 795.4 kW in furnaces. Condenser optimization reduces CO2 emissions by 60%. Energy integration with quench water resulted in heat saving of 1824 kW in hot utility consumption and generating annual savings of EUR 2.3 M. The global carbon dioxide balance can achieve up to a 25% reduction. Full article
Show Figures

Figure 1

21 pages, 450 KB  
Article
Regional Impacts of Public Transport Development in the Agglomeration of Budapest in Hungary
by Szilvia Erdei-Gally, Tomasz Witko and Attila Erdei
Geographies 2025, 5(2), 22; https://doi.org/10.3390/geographies5020022 - 19 May 2025
Viewed by 3433
Abstract
Budapest and its metropolitan area serve as a key railway hub both within Hungary and across Europe, intersected by multiple European rail corridors and characterized by substantial suburban traffic driven by daily commuters from surrounding areas. The Budapest agglomeration is served by 11 [...] Read more.
Budapest and its metropolitan area serve as a key railway hub both within Hungary and across Europe, intersected by multiple European rail corridors and characterized by substantial suburban traffic driven by daily commuters from surrounding areas. The Budapest agglomeration is served by 11 rail lines to Budapest managed by the MÁV Group Company (MÁV: Magyar Államvasutak Co., Budapest, Hungary) is a railway company owned by the Hungarian state). The majority of these are high-capacity, mostly double-track electrified main lines, which play a major role in long-distance and international transport. The main goal of the MÁV Group Company is the continuous development of the quality of passenger transport in Hungary and Europe, quality improvement in passenger comfort, sales, and passenger information systems, and the introduction of up-to-date, environmentally friendly means and solutions. Infrastructure plays a decisive role in the development and transformation of the country and its regions, municipalities, and settlement systems. The development of transport infrastructure not only dynamically transforms and shapes spatial structures but also initiates processes of internal differentiation. In our study, statistical analysis of municipalities and rail-based public transport confirmed a positive correlation between the modernization of transport infrastructure and selected demographic indicators. Full article
Show Figures

Figure 1

27 pages, 2530 KB  
Review
Recent Advances in Electrified Methane Pyrolysis Technologies for Turquoise Hydrogen Production
by Hossein Rohani, Galina Sudiiarova, Stephen Matthew Lyth and Arash Badakhsh
Energies 2025, 18(9), 2393; https://doi.org/10.3390/en18092393 - 7 May 2025
Cited by 3 | Viewed by 7754
Abstract
The global campaign to reach net zero will necessitate the use of hydrogen as an efficient way to store renewable electricity at large scale. Methane pyrolysis is rapidly gaining traction as an enabling technology to produce low-cost hydrogen without directly emitting carbon dioxide. [...] Read more.
The global campaign to reach net zero will necessitate the use of hydrogen as an efficient way to store renewable electricity at large scale. Methane pyrolysis is rapidly gaining traction as an enabling technology to produce low-cost hydrogen without directly emitting carbon dioxide. It offers a scalable and sustainable alternative to steam reforming whilst being compatible with existing infrastructure. The process most commonly uses thermal energy to decompose methane (CH4) into hydrogen gas (H2) and solid carbon (C). The electrification of this reaction is of great significance, allowing it to be driven by excess renewable electricity rather than fossil fuels, and eliminating indirect emissions. This review discusses the most recent technological advances in electrified methane pyrolysis and the relative merits of the mainstream reactor technologies in this space (plasma, microwave, fluidised bed, and direct resistive heating). This study also examines the economic viability of the process, considering energy costs, and the market potential of both turquoise hydrogen and solid carbon products. Whilst these technologies offer emission-free hydrogen production, challenges such as carbon deposition, reactor stability, and high energy consumption must be addressed for large-scale adoption. Future research should focus on process optimisation, advanced reactor designs, and policy frameworks to support commercialisation. With continued technological innovation and sufficient investment, electrified methane pyrolysis has the potential to become the primary route for sustainable production of hydrogen at industrial scale. Full article
(This article belongs to the Section A5: Hydrogen Energy)
Show Figures

Figure 1

23 pages, 12333 KB  
Article
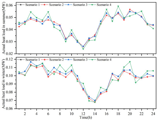
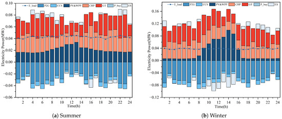
Data-Driven Optimal Dispatch of Integrated Energy in Zero-Carbon Building System Considering Occupant Comfort and Uncertainty
by Kui Hua, Qingshan Xu, Shujuan Li and Lele Fang
Appl. Sci. 2025, 15(8), 4408; https://doi.org/10.3390/app15084408 - 16 Apr 2025
Cited by 1 | Viewed by 798
Abstract
Zero-carbon emissions in building systems play a critical role in promoting energy transition and mitigating climate change, while optimal energy dispatch in highly electrified building systems is essential to achieve this goal. To address this issue, we develop an integrated energy system model [...] Read more.
Zero-carbon emissions in building systems play a critical role in promoting energy transition and mitigating climate change, while optimal energy dispatch in highly electrified building systems is essential to achieve this goal. To address this issue, we develop an integrated energy system model for zero-carbon buildings. The carbon capture and carbon processing devices are incorporated in the system, while the uncertainty of renewable energy sources is handled by a robust optimization approach. Occupant comfort is also expressed using chance constraints to minimize energy costs. Furthermore, we propose a data-driven approach to solve the optimization problem, where uncertain parameters are clustered into subsets to construct uncertainty sets. Numerical results demonstrate that the total energy cost can be reduced by 18.87% in summer and 27.22% in winter when relaxing the occupant comfort constraints, and comparative analysis shows that the proposed approach can achieve a balance between conservativeness and computational complexity. Full article
(This article belongs to the Section Electrical, Electronics and Communications Engineering)
Show Figures

Figure 1

17 pages, 4003 KB  
Article
Multi-Objective Optimization of Speed Profile for Railway Catenary Maintenance Vehicle Operations Based on Improved Non-Dominated Sorting Genetic Algorithm III
by Bingli Zhang, Gan Shen, Yixin Wang, Yangyang Zhang, Chengbiao Zhang, Xinyu Wang, Zhongzheng Liu and Xiang Luo
Appl. Sci. 2025, 15(8), 4361; https://doi.org/10.3390/app15084361 - 15 Apr 2025
Viewed by 1098
Abstract
Railway catenary maintenance vehicles are essential for ensuring the safety and efficiency of electrified railway systems. The implementation of pre-optimized speed profiles significantly reduces the energy consumption while improving key operational performance metrics, such as ride comfort, punctuality, and safety. This study introduces [...] Read more.
Railway catenary maintenance vehicles are essential for ensuring the safety and efficiency of electrified railway systems. The implementation of pre-optimized speed profiles significantly reduces the energy consumption while improving key operational performance metrics, such as ride comfort, punctuality, and safety. This study introduces a novel multi-objective optimization method that optimizes the speed profile in scenarios in which railway catenary maintenance vehicles are performing operations on line sections. Initially, a multi-objective optimization model is developed based on a four-stage operational strategy. Subsequently, the enhanced selection strategy of the Non-Dominated Sorting Genetic Algorithm III (ESS-NSGA-III) algorithm is proposed to refine the mating and environmental selection processes. Finally, the effectiveness of the proposed method is validated using the Huoqiu-Caomiao section of the Fuyang-Lu’an Railway in China. A comparative analysis demonstrates that the ESS-NSGA-III algorithm outperforms NSGA-III and NSGA-II in terms of the diversity and convergence of the solution set. Specifically, the Hypervolume (HV) index improves by 0.77% and 4.12% compared to NSGA-III and NSGA-II, respectively. Moreover, the results highlight the advantages of the proposed method based on a comparison of three alternative operational strategies. Compared to the minimum running time strategy, the punctual and delayed strategies achieve energy consumption reductions of 29.51% and 52.86%, respectively. These results validate the algorithm’s capability to provide valuable insights for practical applications. Full article
(This article belongs to the Section Mechanical Engineering)
Show Figures

Figure 1

Back to TopTop