Next Article in Journal
Contribution of Atmospheric Fallout to the Soil–Root–Leaf Transfer of PAHs in Higher Plants
Previous Article in Journal
Numerical Study of the Mechanical Properties and Failure Mechanisms of Shale Under Different Loading Conditions
 
 
Font Type:
Arial Georgia Verdana
Font Size:
Aa Aa Aa
Line Spacing:
Column Width:
Background:
Article

Data-Driven Optimal Dispatch of Integrated Energy in Zero-Carbon Building System Considering Occupant Comfort and Uncertainty

School of Electrical Engineering, Southeast University, Nanjing 210096, China
*
Author to whom correspondence should be addressed.
Appl. Sci. 2025, 15(8), 4408; https://doi.org/10.3390/app15084408
Submission received: 12 March 2025 / Revised: 12 April 2025 / Accepted: 15 April 2025 / Published: 16 April 2025
(This article belongs to the Section Electrical, Electronics and Communications Engineering)

Abstract

Zero-carbon emissions in building systems play a critical role in promoting energy transition and mitigating climate change, while optimal energy dispatch in highly electrified building systems is essential to achieve this goal. To address this issue, we develop an integrated energy system model for zero-carbon buildings. The carbon capture and carbon processing devices are incorporated in the system, while the uncertainty of renewable energy sources is handled by a robust optimization approach. Occupant comfort is also expressed using chance constraints to minimize energy costs. Furthermore, we propose a data-driven approach to solve the optimization problem, where uncertain parameters are clustered into subsets to construct uncertainty sets. Numerical results demonstrate that the total energy cost can be reduced by 18.87% in summer and 27.22% in winter when relaxing the occupant comfort constraints, and comparative analysis shows that the proposed approach can achieve a balance between conservativeness and computational complexity.

1. Introduction

In current society, climate change is a core issue of concern for humanity, while reducing energy consumption and promoting the low-carbon transition of energy are key aspects of this challenge [1,2]. Energy consumption in buildings accounts for 40% of the global total, and carbon emissions reach 37% of the total carbon emissions across all industries [3]. Therefore, exploring zero-carbon emissions in buildings is of great significance for reducing dependence on traditional energy sources and mitigating carbon emissions.
Building electrification is considered an effective measure to reduce carbon emissions in buildings [4,5]. Compared to traditional fuel-based building systems, the introduction of low-carbon intensity integrated energy systems can suppress carbon emissions from multiple aspects. On the one hand, clean energy sources such as wind and solar power are prioritized within the building system to meet electricity consumption, thereby reducing carbon generation at the source of power [6]. On the other hand, carbon capture and utilization devices can be organically integrated with the energy system, creating a carbon cycle within the building, further reducing carbon emissions to the external atmosphere [7,8]. However, the output of renewable energy is volatile, and how to properly handle the uncertainty is a key aspect of ensuring the stable energy supply for the building system.
Furthermore, the building system contains multiple types of energy, such as electricity, gas, and heat, which are interconnected and influence each other. Energy optimization dispatch needs to minimize power costs when ensuring the supply of different types of energy, while also balancing occupant comfort and economic considerations. In recent years, the rise of carbon markets has provided new pathways for the circulation of carbon flows and has opened up new revenue channels for zero-carbon and low-carbon units [9,10]. Therefore, considering the interaction between zero-carbon building systems and the external carbon market is also a promising direction for research.

1.1. Related Works

To achieve the goal of zero carbon in building systems, each step of the carbon trail needs to be addressed, including carbon capture, utilization, and emissions. In integrated energy systems that include Combined Heat and Power (CHP), Carbon Capture and Storage (CCS) is commonly used as an important device, which can capture the CO2 generated by CHP for storage or transportation. Ref. [11] integrates Power to Gas (P2G) and CCS with CHP in the integrated energy system, avoiding the costs of transportation and storage through the direct utilization of carbon while also improving the consumption of renewable energy. Ref. [12] utilizes post-combustion methods with monoethanolamine to capture CO2 in a hybrid wind–solar system. In daily energy scheduling, carbon emission constraints are considered to derive the optimal strategy. CCS is also used as a carbon capture device in virtual power plant networks with electric vehicles. Through deep learning methods, it simultaneously leverages the flexibility of electric vehicles while achieving emission reduction targets [13]. In building energy systems, CCS is also used, as in [14], where it is employed to establish a low-carbon model to reduce carbon emissions to the atmosphere. Through non-cooperative game theory, the overall optimal solution for the common interests of multiple building systems is achieved. However, it is important to note that the efficiency of carbon capture by CCS and carbon utilization by P2G cannot reach 100%, so some CO2 will inevitably be emitted into the atmosphere. If energy-consuming units participate in the carbon market, excessive carbon emissions compared to the given carbon quota will increase the energy costs, whereas a lower level of emissions may present potential benefits. This aspect has been less discussed in the aforementioned studies.
Compared to traditional building systems, the introduction of zero-carbon technology will make it more complex due to the integration of various subsystems, with the most critical aspect being the existence of multiple types of uncertainty. From an energy perspective, the sources of uncertainty include both the energy supply side and the energy demand side. This has been studied by several scholars. Ref. [15] studied zero-carbon buildings powered by renewable energy and energy storage systems, analyzing the seasonal variation characteristics and uncertainties of energy supply. Solar and hydro energy are modeled using a Gaussian distribution, and the system stability is guaranteed through hydrogen storage and fuel cells. Similar research is also conducted in [16], where the uncertainties of photovoltaics and electric vehicles are analyzed and modeled to adjust the scale of battery storage in smart homes, achieving the optimal storage capacity to reduce costs. The changes in energy demand within the building system directly affect energy costs. Meanwhile, for consumers, variations in energy costs influence energy consumption habits, thereby altering the energy demand. These two factors are interrelated over time. If optimization can be combined with building occupants’ energy consumption habits and comfort zones, it is bound to yield results that are closer to real-world scenarios, which is relatively studied in existing research.
Traditional optimization approaches for addressing uncertainty include stochastic optimization (SO) [17], scenario reduction (SG) [18], chance-constrained (CC) optimization [19], robust optimization (RO) [20], and distributed robust optimization (DRO) [21]. However, these approaches either require detailed distribution information about uncertain parameters or result in optimization outcomes with noticeable conservatism. In contrast, data-driven approaches [22] are entirely based on the samples of uncertain parameters that can be collected. Through specific data analysis techniques, parameter information can be effectively extracted. Combining this process with above traditional approaches may help mitigate their shortcomings, achieving a balance between optimization performance and computational difficulty.
Motivated by the above discussion, we propose an optimal energy dispatch solution for zero-carbon buildings with integrated energy systems. Specifically, we consider the flows of electricity, heat, gas, and carbon, as well as their interactions with corresponding markets. The occupants’ heat demand is modeled as a chance constraint with a confidence level to maximize the profits from utilizing the comfort zone. Furthermore, a data-driven clustering-based approach called Mean Robust Optimization (MRO) is proposed, through which we preprocess the dataset of uncertain parameters and construct the modified uncertainty set to improve traditional RO and DRO approaches. Specifically, a comparison between our approach and existing studies is shown in Table 1.

1.2. Our Contributions

The contributions of this paper are as follows:
  • We have established a zero-carbon building model with an integrated energy system, providing the trails of electricity, gas, heat, and carbon flows based on the analysis of the characteristics of main devices. Additionally, we emphasize the role of carbon market transactions, which can introduce a new source of revenue through low-carbon emissions.
  • The impact of the comfort zone on energy dispatch and energy costs is considered, and a chance-constrained heat balance equation is established. A data-driven clustering approach is used to preprocess the dataset of samples, forming the basis of the optimization model.
  • We propose a data-driven MRO approach to solve the optimization problem, which reduces the conservativeness and computational burden of the problem by reconstructing the constraint functions and uncertainty sets after clustering. Numerical studies are conducted using two typical days in summer and winter, and the results demonstrate the advantages of the proposed approach.
Section 2 introduces the structure of the zero-carbon building with an integrated energy system and models its main devices. Section 3 analyzes the optimization objectives and constraints corresponding to different energy flows, and the uncertainty in the system is handled at the same time. Section 4 presents the proposed MRO approach for solving the optimization problem and provides a detailed computational workflow. Section 5 conducts numerical studies, where typical day result analysis and comparative studies validate the effectiveness of the method. Finally, the conclusions are presented in Section 6.

2. System Description

This section first presents the structure of the proposed zero-carbon building system, as shown in Figure 1, followed by the modeling of the main equipment within the building.

2.1. System Structure

On the left side of Figure 1, the energy supply within the building is depicted, with different-colored blocks representing electricity, carbon, and gas from top to bottom. The electrical block includes equipment such as CHP, gas turbine (GT), photovoltaic power generation and wind power plant (PV&WPP), and energy storage (ES), while the carbon and gas blocks include CCS and the P2G device, respectively. The load side is shown on the right side, including electricity and heat loads, as well as the participation in the carbon market determined based on carbon emissions.
In the proposed zero-carbon building system, there are four types of energy flows, including electricity flow, carbon flow, gas flow, and heat flow, which are represented by arrows of four different colors in Figure 1. Electricity is primarily supplied by PV&WPP, with additional contributions from CHP, GT, and ES. However, considering the uncertainty in the output of PV&WPP, the building is connected to the external electricity market to ensure a reliable power supply in the case of insufficient renewable energy generation. Except for a small portion used by P2G and the charge process of ES, the remaining electricity is supplied to the electrical load. The flow of carbon is closely related to CCS, which captures the CO2 generated by CHP and GT and transfers a portion of the CO2 to P2G as a raw material. Due to the efficiency limitations of CCS and P2G, some carbon is not successfully captured or utilized and is released into the atmosphere. By comparing the actual carbon emissions with the carbon quotas, it is possible to decide whether to purchase or sell carbon quotas on the carbon market, generating costs or revenue. Gas within the building is generated by P2G and supplied to CHP and GT for consumption. Similarly, for supply reliability, the building is connected to the external gas market. Finally, the flow of heat within the building is relatively simple, with heat generated by CHP and P2G to meet the heat load.

2.2. Models of Main Devices

This subsection provides a functional description and mathematical modeling of the main devices in the aforementioned building system. In the following discussion, the symbol P E represents electricity, P H represents heat, and C and G represent carbon and gas, respectively. The subscripts C H P , G T , C C S , P 2 G and E S refer to the corresponding device, and the subscript t denotes the time step by default. The definition fo parameters and variables can be found in Appendix A.

2.2.1. CHP

CHP receives gas as input and converts it into electricity and heat output, generating CO2 emissions in the process. The output of heat is its primary function, and it follows the principle of ’setting power with heat’ [23]. The constraints of CHP are as follows:
P C H P , t E P C H P , m a x E α C H P 1 P C H P , t H
P C H P , t E P C H P , m i n E α C H P 2 P C H P , t H
P C H P , t E α C H P 3 P C H P , t H
G C H P , t = β C H P P C H P , t H
C C H P , t = γ C O 2 G C H P , t = γ C O 2 β C H P P C H P , t H
where P C H P , m a x E and P C H P , m i n E refer to the maximum and minimum of electricity generated by CHP, while the coefficients α C H P 1 , α C H P 2 and α C H P 3 denote the electrical and heat conversion efficiency. In addition, β C H P represents the gas consumption efficiency of CHP, while γ C O 2 is used to denote the efficiency of CO2 generation from the combustion of C H 4 . Equations (1)–(3) describe the constraints on the relationship between electrical and heat power in CHP. Equation (4) and Equation (5) represent the constraints for the gas consumption and carbon emissions of CHP, respectively.

2.2.2. GT

The purpose of GT is to absorb the excess natural gas in the building system and generate electricity. Since its operation still involves the combustion of C H 4 , the CO2 emission efficiency in the process is the same as that in the CHP system, so we have:
P G T , t E = χ G T G G T , t
C G T , t = γ C O 2 G G T , t
P G T , m i n E P G T , t E P G T , m a x E
where χ G T denotes the efficiency of electricity generated from gas, and P G T , m i n E and P G T , m a x E represent the minimum and maximum electricity output of GT. Equations (6) and (7) describe the relationship between electricity generation and carbon emissions with natural gas consumption in the GT system. Equation (8) is the capacity constraint of GT.

2.2.3. CCS

CCS captures carbon within the building system using a post-combustion centralized capture method. The variable electricity consumed during its operation is positively correlated with the amount of carbon captured. The carbon originates from CHP and GT, and most of the captured carbon is sent to P2G for further processing [24,25]. Uncaptured carbon is emitted, contributing to the carbon emissions indicator. The constraints of CCS are detailed as follows:
P C C S , t E = P C C S , f i x E + ω C C S C c a p , t
C c a p , t = η C C S C C H P , t + C G T , t
C e m i , t = 1 η C C S C C H P , t + C G T , t
where P C C S , f i x E denotes the fixed electricity cost of CCS, which is a constant and can be ignored for the sake of simplicity. ω C C S represents the variable electricity consumed per unit of CO2 captured. C c a p , t and C e m i , t represent the CO2 captured and emitted by CCS, respectively, and η C C S is used to denote the carbon capture efficiency. Equation (9) represents the total electricity consumption of CCS, which is composed of a fixed electricity consumption and a variable electricity consumption that changes with the amount of carbon captured.

2.2.4. P2G

The core of P2G is to convert CO2 into gas using electricity, specifically involving two processes: water electrolysis to produce hydrogen and the Sabatier reaction. In the latter process, some heat can also be generated. Taking the carbon transferred to P2G as the independent variable, it can be obtained that:
P P 2 G , t E = ϕ P 2 G C c a p , t = ϕ P 2 G η C C S C C H P , t + C G T , t
P P 2 G , t H = ψ P 2 G C c a p , t = ψ P 2 G η C C S C C H P , t + C G T , t
G P 2 G , t = ζ P 2 G C c a p , t = ζ P 2 G η C C S C C H P , t + C G T , t
where ϕ P 2 G , ψ P 2 G , and ζ P 2 G are used to denote the efficiency of electricity consumption, heat generation, and gas production related to carbon captured by CCS. The above three constraints show the relationships between different energy flows in the P2G system.

2.2.5. ES

ES, as a flexible resource in the system, charges to store electricity when there is an electricity power surplus and discharges to balance consumption during electricity power shortages. The constraints that need to be satisfied are as follows:
0 S o C t = S o C t 1 + Δ t η E S P c h s , t E P d i s , t E η E S S o C ¯ , t 1
S o C t = S o C ¯ 2 , t = 0
0 P d i s , t E P d i s , t E ¯ u d i s , t
0 P c h s , t E P c h s , t E ¯ u c h s , t
u d i s , t + u c h s , t = 1
u d i s , t , u c h s , t { 0 , 1 }
where S o C refers to the capacity of ES, of which S o C ¯ is the maximum value. η E S denotes the charging and discharging efficiency of ES. P c h s , t E and P d i s , t E represent the charging and discharging power, while u c h s , t and u d i s , t are the corresponding state indicators, respectively.

3. Mathematical Model

Based on the above introduction to the zero-carbon building system and its main devices, this section establishes the corresponding mathematical model and addresses the uncertainties involved.

3.1. Objective Function

Our objective is to minimize the total cost while meeting various load demands in the zero-carbon building system. Specifically, the total cost comprises five components: electricity cost, gas cost, carbon cost, penalties for curtailed wind and solar energy, and cost of ES when charging and discharging.
min E = E E + E G + E C + E W + E E S
The operation and maintenance costs of facilities within the building are negligible, so the electricity and gas costs only account for the portions purchased from external markets.
E E = t λ t E P b u y , t E
E G = t λ t G G b u y , t
Here, λ t E and λ t G represent the prices of electricity and gas, while P b u y , t and G b u y , t denote the purchased quantities in the corresponding markets at time t.
Carbon costs can be divided into two components: the first corresponds to the variable costs associated with the carbon processing procedure, while the second reflects the expenditure in the carbon market to purchase carbon quota shortfalls. When actual carbon emissions exceed the carbon quota, this cost is positive; otherwise, it is negative.
E C = t μ C C c a p , t + C e m i , t + λ t C C e m i , t C q u o t a , t
C q u o t a , t = σ P b u y , t E + P W , t E + P C H P , t E + P G T , t E
where μ C is used to denote the operation cost, which is related to the total amount of carbon. λ t C represents the price in the carbon market. C q u o t a , t refers to the carbon quota of the building, and σ is the average marginal emission factor.
To enhance the utilization of renewable energy, it is necessary to address potential curtailment of wind and photovoltaic power. μ p e n is introduced as a penalty factor, leading to the following formula:
E W = t μ p e n P c u r , t E
where P c u r , t E denotes the curtailment of renewable energy in PV&WPP.
Finally, the operation cost of ES is closely related to p c h s , t and p d i s , t :
E E S = t μ E S p c h s , t + p d i s , t
where μ E S represents the variable cost parameter of ES.

3.2. Operational Constraints

The introduction of constraints ensures the balance between energy supply and consumption in the zero-carbon building system.
(1)
Electricity balance: the system requires that electricity must remain balanced at all times.
P b u y , t E + P W , t E P c u r , t E + P C H P , t E + P G T , t E + P d i s , t E = P l o a d , t E + P C C S , t E + P P 2 G , t E + P c h s , t E
where P W , t E is the electricity output of PV&WPP, and P l o a d , t E is the total demand of electricity in the building system.
(2)
Gas balance: gas is supplied by the external gas market and P2G, and it is consumed by CHP and GT.
G b u y , t + G P 2 G , t = G C H P , t + G G T , t
(3)
Carbon balance: CCS is a key device in the carbon cycle, and the total carbon input and output of CCS must remain consistent.
C C H P , t + C G T , t = C c a p + C e m i
(4)
Heat balance: considering the heat usage habits of building occupants, the heat supplied by the system should remain within a comfortable range.
P l o a d , t H Δ P H P C H P , t H + P P 2 G , t H P l o a d , t H + Δ P H
Here, Δ P H is a constant referring to the comfortable range of occupants.

3.3. Model of Uncertainty

In the aforementioned optimization model, the output data of PV&WPP are based on their forecasted values. However, in practice, it is challenging to obtain accurate forecast values, as prediction errors are inevitable. We can determine that:
P W , t E ˜ = P W , t E + ξ t
where P W , t E ˜ and P W , t E denote the practical and predicted output of PV&WPP, respectively. ξ t represents the prediction error at time t, and it is the main source of uncertainty in the zero-carbon building system.
On the other hand, building occupants are sometimes willing to sacrifice comfort in exchange for lower energy costs in practice, especially during periods of high energy prices. To fully utilize occupants’ tolerance toward comfort indicators, the constraint in Equation (31) can be relaxed using a constraint violation probability denoted as ρ , transforming it into a chance-constrained form.
P P C H P , t H + P P 2 G , t H P l o a d , t H Δ P H 1 ρ
P P C H P , t H + P P 2 G , t H P l o a d , t H + Δ P H 1 ρ
In summary, the mathematical model of the proposed problem can be formulated as follows:
Objective function: Equation (21) Constraints: Equations (1)–(20), Equations (22)–(34)
Based on the characteristic of each device in the system and the form of the objective function and the constraints, we can identify the independent decision variables in the model and denote their set as follows: X :
X = [ P C H P , t H , P C H P , t E , G G T , t , P b u y , t E , G b u y , t , P c u r , t E , P c h s , t E , P d i s , t E ]

4. Solution Methodology

In this section, we will transform the mathematical model established above and present an appropriate solution approach.
The output of renewable energy in the system is predicted based on historical data. Accordingly, we can collect historical data samples from typical days similar to the day to be optimized, obtaining a dataset of the output prediction errors, denoted as D ξ with sample size N. Based on the linear relationship of Equations (12), (13), (28), and (32), we can transform Equations (33) and (34) into the following form:
P D ξ h ξ , x ( t ) P l o a d , t H Δ P H 0 1 ρ
P D ξ h ξ , x ( t ) P l o a d , t H + Δ P H 0 1 ρ
where the function h ( ξ t , x ( t ) ) = P C H P , t H + P P 2 G , t H is used to represent the relationship between decision variable x X and uncertainty parameter ξ .
Therefore, we can obtain the standard mathematical model named primary model (PO):
( PO )   Objective function: Equation (21) Constraints: Equations (1)–(20), Equations (22)–(32), Equations (36) and (37)
According to the principles of RO, it is required to ensure that the constraints are satisfied for any ξ t D ξ . It can be seen that a large sample size of D ξ will lead to computational burdens, while a small sample size will highlight the conservativeness of RO itself. To effectively reduce the dimensionality of D ξ , we draw on the clustering concept from machine learning to preprocess the data in D ξ and construct the uncertainty set U .
Assuming that the dataset D ξ is divided into K disjoint subsets C k , where the centroid of kth subset is denoted as d k ¯ , that is:
U ( K , ϵ ) = ξ | k ω k ξ k d k ¯ ϵ
where ω k = C k N denotes cluster weight, and ϵ refers to the radius of uncertainty set.
According to Theorem 3.4 in [26], constraints in the form of Equations (33) and (34) can yield the minimum radius that satisfies the probability guarantee, denoted as ϵ ( ρ ) :
P D ξ k ω k ξ k d k ¯ ϵ ( ρ ) 1 2 K e 2 N ϵ ( ρ ) / K
Substituting 1 ρ into the right side of the above inequality, we can derive the following:
ϵ ( ρ ) = K 2 N l n 2 K ρ
Due to the clustering operation, ϵ ( ρ ) may no longer satisfy the requirements for each subset. An intuitive approach is to introduce a clustering-related parameter to enlarge the radius of the uncertainty set, which is denoted as ϵ ( k ) [27].
ϵ ( k ) = 1 N k i C k ξ k d k ¯
To match the uncertainty set after clustering, the functions in Equations (36) and (37) also need to be transformed. For simplicity, the average value of each C k can be taken, which gives the following result:
k ω k h ξ k , x ( t ) P l o a d , t H Δ P H 0
k ω k h ξ k , x ( t ) P l o a d , t H + Δ P H 0
Based on the above analysis, we have transformed the PO problem into a mean robust optimization (MRO) problem as follows:
( MRO )   Objective function: Equation (21) Constraints: Equations (1)–(20), Equations (22)–(32) Equation (42),   ξ k U K , ϵ ( ρ ) + ϵ ( k ) Equation (43),   ξ k U K , ϵ ( ρ ) + ϵ ( k )
RO is a commonly used approach for handling optimization problems with uncertain parameters. It ensures constraint satisfaction under the worst-case scenario within the uncertainty set, making conservativeness an inherent characteristic. DRO incorporates possible data distributions within an ambiguity set and measures the divergence between each distribution and the empirical distribution. Although DRO reduces the conservativeness of RO, it inevitably increases the computational burden. In the above exploration, we have reduced the data dimensionality through clustering and constructed an uncertainty set for each cluster, trying to achieve a balance between conservatism and computational difficulty. The details are illustrated in Figure 2.
The last two constraints in the MRO need further processing in order to make the problem easier to solve. Taking Equation (42) as an example, the treatment for Equation (43) is similar.
Equation (42) must always be satisfied under the given uncertainty set U . Based on the characteristics of RO, the worst-case scenario among all possible options is considered, and it can be obtained that:
maximize ξ k k ω k h ξ k , x ( t ) P l o a d , t H Δ P H
subject to k ω k ξ k d k ¯ ϵ ( ρ ) + ϵ ( k )
By dualizing the above optimization and using Slater’s condition [28,29], it can be transformed into:
k ω k h ξ k , x ( t ) P l o a d , t H Δ P H + λ 1 ϵ ( ρ ) + ϵ ( k ) + ψ P 2 G ϕ P 2 G k ω k d k ¯ 0
λ 1 0
where λ 1 denotes the Lagrangian parameter in the dualizing process. By replacing the uncertainty constraints with the processed constraints, MRO can be solved using a commercial solver Gurobi in Python.
Reviewing the process of solving the above optimization problem, it is presented in the form of a flowchart, as shown in Figure 3.

5. Numerical Studies

In this section, we validate the proposed model based on numerical case studies.

5.1. System Data

The case study is based on a residential building in a community located in Northwest China, from which the output of PV&WPP is chosen [30]. The values of the main parameters involved in the tested building system are listed in Table 2. The maximum capacity of ES is set to be 2 MWh. Additionally, we assume that the market prices for electricity and gas remain constant at 600 CNY/MWh and 2.5 CNY/m3, respectively, with the marginal cost of renewable energy being zero, and the curtailment of wind and solar power will be penalized based on the electricity price. To reflect the energy dispatch results under different load requirements, we select two typical days from summer and winter for study. At the beginning, we set ρ = 0.05 , and the price of the carbon market is 90 CNY/t. We cluster the dataset including 1094 prediction error samples obtained from historical forecast data into 10 subsets. The electricity and heat loads for the two typical days are shown in Figure 4. It is worth noting that the heat load in summer mainly comes from domestic hot water, while in winter, it also includes the indoor heating load.

5.2. Comparative Analysis of Different Uncertainty Settings

In the above model, the sources of uncertainty considered include two aspects: the uncertainty of PV&WPP output on the energy supply side and the uncertainty on the user side represented by the comfort range. In order to verify the effectiveness of the proposed approach, four scenarios are selected for comparative studies in this subsection. The details are as follows.
(1)
Scenario 1: No prediction error in the output of PV&WPP, and the occupants’ comfort range Δ P H / P l o a d H is set to be 0.
(2)
Scenario 2: No prediction error in the output of PV&WPP, and the occupants’ comfort range Δ P H / P l o a d H is set to be 0.1.
(3)
Scenario 3: Considering prediction errors in the output of PV&WPP, and the occupants’ comfort range Δ P H / P l o a d H is set to be 0.
(4)
Scenario 4: Considering prediction errors in the output of PV&WPP, and the occupants’ comfort range Δ P H / P l o a d H is set to be 0.1.
First of all, in order to demonstrate the performance of the proposed model without uncertainty, it is assumed that the PV&WPP output forecast error and occupants’ comfort range are both 0 in scenario 1; that is, the optimal dispatch of multiple energy scenarios is performed under deterministic conditions. The outputs of PV&WPP in summer and winter are plotted in Figure 5. Taking heat load for example, the dispatch results in summer and winter are shown in Figure 6. It can be seen that since the occupant comfort zone Δ P H is eliminated, the heat balance function (31) becomes a rigid constraint, and the heat output of CHP and P2G can just meet the heat load requirements. However, since the constraint relaxation is not performed, the feasible domain of the decision variables is reduced, and the optimal energy cost cannot be obtained. In addition, ignoring the fluctuations in renewable energy output may reduce the system’s robustness in the face of worst-case scenarios.
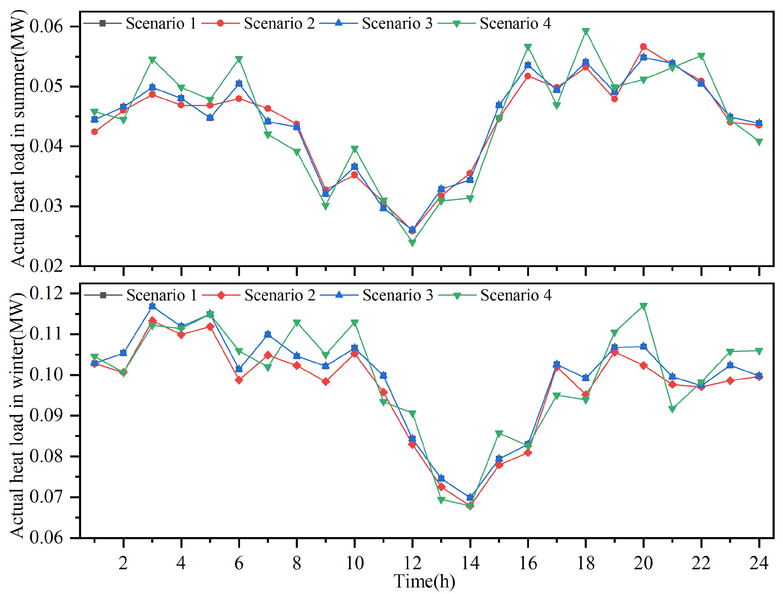
Figure 7 shows the actual heat load under different scenarios in summer and winter. In scenarios 1 and 3, since Δ P H / P l o a d H is set to 0, the heat load is consistent with the preset value in Figure 4. Scenarios 2 and 4 relax the heat balance constraint, so the actual heat load deviates from the preset value. The cumulative deviation of heat load t Δ t Δ P H for these two scenarios is calculated, respectively. The values for scenarios 2 and 4 are 0.028 MWh and 0.063 MWh in summer and 0.058 MWh and 0.113 MWh in winter. It can be concluded that the deviation in scenario 2 is smaller than that in scenario 4 in both summer and winter. This is because scenario 4 needs to consider the uncertainty of PV&WPP output, and a larger interval is required to meet the constraints in the worst case.
Table 3 summarizes the total cost values under different uncertainty setting scenarios. It can be seen that, whether in summer or winter, the total cost of scenario 2 is the smallest, while the value of scenario 3 is the largest. Compared with scenario 2, scenario 1 does not consider the occupant comfort zone and reduces the feasible domain of optimization problem. Scenario 3 also needs to deal with the worst scenario caused by PV&WPP output fluctuations. Therefore, both the two scenarios increase the total cost. Scenario 4 corresponds to the scenario studied in this paper. It takes into account the uncertainty on both the energy supply and demand sides, and it fully utilizes the occupants’ consumption habits to reduce the total cost while ensuring robustness of the model.

5.3. Analysis of Results in Scenario 4

Furthermore, the numerical studies with uncertainty in scenario 4 are conducted, and the dispatch result of heat power is shown in Figure 8. It can be observed that the heat load in summer is significantly lower than that in winter, and the lower level in the former occurs between 11:00 and 14:00, while the lower level in the latter occurs between 13:00 and 16:00. Regardless of the time period, CHP bears most of the heat load, and the rest is supplemented by P2G. It is worth noting that, due to the consideration of occupant heat comfort zones, the heat generated by CHP and P2G does not exactly match the heat load curve. A reasonable assumption is that when the heat load exceeds the heat supply, it corresponds to occupants reducing their heat consumption in order to reduce energy costs. On the other hand, when the heat load is less than the heat supply, the aim is to meet the energy balance requirements of the system.
The dispatch results for electricity on the two typical days are shown in Figure 9. Unlike the heat load, the electricity load remains relatively stable in both summer and winter. In addition to meeting the occupants’ demand, part of the electricity is consumed by P2G and CCS. The electricity supply is mainly met by the power generation of PV&WPP, CHP, and GT, and ES performs a small amount of charging and discharging to achieve electricity balance. Between 11:00 and 14:00 in summer, the heat load is reduced, resulting in a decrease in CHP power generation, and the resulting electricity gap is supplemented by the discharge of ES. Between 10:00 and 15:00 in winter, the output of PV&WPP increases significantly, resulting in a surplus of electricity, which is mainly used to charge ES to consume. In the entire electricity dispatch process, there was no wind or photovoltaic power curtailment, which ensures the full utilization of renewable energy. At the same time, the use of ES reduces the purchase of electricity from external power grids, thereby effectively reducing energy costs.
We have also provided a detailed description of the carbon flow within the system, as shown in Table 4 and Figure 10. It can be observed from Table 4 that both the CO2 production and emissions are higher in winter compared to summer. In detail, winter carbon emissions are approximately 1.85 times those in summer, and CO2 produced by GT is about 90% of the total amount. In Figure 10, from top to bottom, the CO2 generated by CHP and GT, as well as the CO2 emitted from the system into the atmosphere, are depicted. We can observe that carbon flow changes more frequently in winter and is generally at a lower level between 10:00 and 15:00 during the day, which happens to be the period when the heat load is lower in winter. Additionally, the carbon emission trail closely follows the pattern of CO2 production from GT; the reason is that GT is the primary source of CO2 in both summer and winter.
In the model construction process, the occupants’ tolerance for heat is represented by a comfort zone, which effectively relaxes the constraint on the heat balance equation. To investigate the specific impact of this relaxation on total energy costs, we describe how the costs change with variations in Δ P H / P l o a d H across different seasons. The graphical representation is shown in Figure 11.
We can observe that the total cost decreases as Δ P H / P l o a d H increases both in summer and winter. When Δ P H / P l o a d H increases from 0 to 50%, the total cost is reduced by 18.82% in summer and 27.22% in winter. The reason is that the relaxation of the heat balance constraint (31) caused by the enlargement of the occupants’ comfort zone, which results in a larger feasible region for the optimization problem, will lead to better outcomes. Additionally, the total cost changes more smoothly in summer than in winter, as the former has lower heat consumption, and the impact of relaxing the heat balance constraint is less significant.
To assess the impact of carbon price on total cost, we have also plotted the relationship between total cost and carbon price under different seasons, as shown in Figure 12.
It can be obtained from Figure 12 that, with changes in carbon price, the total cost exhibits opposite trends in summer and winter. In summer, the carbon emissions are lower than the carbon quota, so an increase in carbon price allows for greater revenue from participating in the carbon market, thereby reducing total cost. In contrast, the situation is reversed in winter. When carbon emissions are high, there is a need to purchase quotas from the carbon market, which increases the total cost. When the energy demand of the occupants is fixed, the total cost shows an approximately linear relationship with the carbon price.

5.4. Comparative Analysis of Approaches

To illustrate the advantages of the proposed approach, several traditional methods are selected for comparative analysis. The cases are set as follows:
(1)
Case 1: Assume that the output of PV&WPP has no prediction error, thereby transforming the problem into deterministic optimization. The results of Case 1 can be used as the benchmark for the uncertain optimization.
(2)
Case 2: The problem is formulated in the traditional RO form, using an ellipsoidal shape to define the uncertainty set. The case is equivalent to having a single cluster.
(3)
Case 3: Using the DRO approach to model the problem, where the ambiguity set is constructed based on the Wasserstein distance. The case is equivalent to the formulation where the number of clusters equals the number of uncertain parameter samples.
(4)
Case 4: This is the proposed approach, and the dataset of uncertain parameters is clustered into K subsets.
Firstly, the optimization results are compared across the aforementioned cases, where the result of Case 4 varies with the number of clusters. Figure 13 shows the total cost values for K= 0∼120. The dashed lines of different colors in the figure represent the objective function values of Case 2, Case 3 and Case 1 from top to bottom. They are independent of the number of clusters and are therefore a straight line. From Figure 13, it can be observed that Case 1, which represents deterministic optimization, yields the lowest total cost and serves as the benchmark for other cases. Case 2 results in the highest total cost, indicating that the outcome of RO is the most conservative. Additionally, the result of Case 2 is identical to that of Case 4 when K = 0. The optimization result of Case 4 fluctuates between those of Case 2 and Case 3. On the one hand, it shows that the choice of K significantly influences the optimization performance of Case 4. On the other hand, it also demonstrates that Case 4 can reduce the conservativeness of RO and result in better outcomes.
Secondly, we also compared the computation times under the different cases, and the results are presented in Figure 14. The dashed lines corresponding to the bars of Case 4 represent the upper and lower bounds of the computation time for different values of K, denoted by t.max and t.min, respectively. From Figure 14, it is evident that the computation time for Case 1 is much smaller than that of the other cases, while Case 3 has the largest computation time, which is attributed to its complexity of methodology. The computation time for Case 2 is the same as the minimum computation time for Case 4, but the maximum computation time for Case 4 is still smaller than that of Case 3. This indicates that the clustering process effectively reduces the computation burden of DRO, thereby decreasing the computation time.
In summary, compared to the benchmark represented by Case 1, Case 2 yields the most conservative optimization results. Case 3 brings the longest computation time, which represents DRO. The metrics for Case 4 fall between those of Case 2 and Case 3, which means that the proposed MRO approach can achieve a balance between conservativeness and computation time based on the choice of the clustering number K.

6. Conclusions

In this paper, we establish a zero-carbon building system with integrated energy, and the main devices based on the analysis of electricity, heat, gas, and carbon flows are modeled. To achieve optimal energy dispatch in a zero-carbon building under uncertainty, the heat balance is described using chance constraints based on the occupants’ comfort zone. Then, we employ a data-driven approach by clustering the prediction errors of PV&WPP outputs to construct uncertainty sets. Furthermore, the MRO approach is proposed for solving the optimization problem. We conduct numerical studies using a typical day chosen from summer and winter. Comparative analysis under different uncertainty settings shows that the proposed model can reduce energy costs while ensuring robustness. Additionally, the results show that carbon emissions in winter are approximately 1.85 times higher than those in summer, with CO2 produced by GT accounting for about 90% of the total. Relaxing the occupant comfort constraints leads to a reduction in energy costs, with a maximum decrease of 18.82% in summer and 27.22% in winter, respectively. Additionally, comparative analysis indicates that the proposed method can balance conservativeness and computational efficiency through the selection of the number of clusters.
There are many types of uncertainties in building systems, including renewable energy output, market prices, and user demand. How to design zero-carbon building systems and dispatch energy under multiple uncertain parameters and even coupled uncertainties is the direction of our future research.

Author Contributions

Conceptualization, K.H. and Q.X.; methodology, K.H. and Q.X.; software, K.H. and S.L.; validation, L.F.; formal analysis, K.H.; investigation, S.L.; resources, L.F.; data curation, L.F.; writing—original draft preparation, K.H.; writing—review and editing, Q.X. and S.L.; visualization, K.H.; supervision, L.F.; project administration, Q.X. All authors have read and agreed to the published version of the manuscript.

Funding

This research received no external funding.

Institutional Review Board Statement

Not applicable.

Informed Consent Statement

Not applicable.

Data Availability Statement

The original contributions presented in this study are included in the article. Further inquiries can be directed to the corresponding author.

Conflicts of Interest

All authors of this manuscript declare that this research was conducted in the absence of any commercial or financial relationships that could be construed as potential conflicts of interest.

Abbreviations

The following abbreviations are used in this manuscript:
CHPCombined heat and power
GTGas turbine
CCSCarbon Capture and Storage
P2GPower to gas
PV&WPPPhotovoltaic power generation and wind power plant
ESEnergy storage
SOStochastic optimization
SGScenario reduction
RORobust optimization
DRODistributed robust optimization
MROMean robust optimization

Appendix A. Nomenclature

(1)
Indices and Sets:
t,TIndex and set of time periods
Δ t Time interval
D ξ Sample set
KNumber of subsets
C k The kth disjoint subset
(2)
Parameters:
P C H P , m i n ( m a x ) E Minimum (maximum) of electricity generated by CHP (WM)
α C H P Electrical and heat conversion efficiency
β C H P Gas consumption efficiency of CHP (m3/MWh)
γ C O 2 Efficiency of CO2 generation from the combustion of CH4 (t/m3)
P G T , m i n ( m a x ) E Minimum (maximum) electricity output of GT (WM)
χ G T Efficiency of electricity generated from gas (MWh/m3)
ω C C S Variable electricity consumed per unit of CO2 captured (MW)
η C C S Carbon capture efficiency
ϕ P 2 G Efficiency of electricity related to carbon captured by CCS (MWh/t)
ψ P 2 G Efficiency of heat related to carbon captured by CCS (MWh/t)
ζ P 2 G Efficiency of gas related to carbon captured by CCS (m3/t)
η E S Charging and discharging efficiency of ES
λ t E Price of electricity market (CNY)
λ t G Price of gas market (CNY)
μ C Operation cost related to the total amount of carbon (CNY/t)
λ t C Price of carbon market (CNY)
σ Average marginal emission factor (t/MWh)
μ p e n Penalty factor to curtailment of wind and photovoltaic power (CNY)
μ E S Variable cost parameter of ES (CNY/MWh)
Δ P H Constant referring to the comfortable range of occupants (MW)
ρ Constraint violation probability
ω k Cluster weight
ϵ Radius of uncertainty set
(3)
Variables:
P C H P , t E Electricity generated by CHP at time t (MW)
P C H P , t H Heat generated by CHP at time t (MW)
G C H P , t Gas consumed by CHP at time t (m3)
C C H P , t Carbon generated by CHP at time t (t)
P G T , t E Electricity generated by GT at time t (MW)
G G T , t Gas consumed by GT at time t (m3)
C G T , t Carbon generated by GT at time t (t)
P C C S , t E Electricity consumed by CCS at time t (MW)
C c a p , t CO2 captured by CCS at time t (t)
C e m i , t CO2 emitted by CCS at time t (t)
P P 2 G , t E Electricity consumed by P2G at time t (MW)
P P 2 G , t H Heat generated by P2G at time t (MW)
G P 2 G , t Gas consumed by P2G at time t (MW)
S o C t State of charge of energy storage at time t (MWh)
P c h s , t E , P d i s , t E Charging and discharging power of ES at time t (MW)
u c h s , t , u d i s , t Charging and discharging state indicators of ES at time t
P l o a d , t E Electricity load at time t (MW)
P l o a d , t H Heat load at time t (MW)
P b u y , t E Purchased electricity in the corresponding market at time t (MW)
G b u y , t Purchased gas in the corresponding market at time t (MW)
C q u o t a , t Carbon quota of the building at time t (t)
P c u r , t E Curtailment of renewable energy in PV&WPP at time t (MW)
P W , t E ˜ , P W , t E Practical and predicted output of PV&WPP at time t (MW)
ξ t Prediction error of PV&WPP at time t (MW)

References

  1. Lu, M.; Sun, Y.; Kokogiannakis, G.; Ma, Z. Design of flexible energy systems for nearly/net zero energy buildings under uncertainty characteristics: A review. Renew. Sustain. Energy Rev. 2024, 205, 114828. [Google Scholar] [CrossRef]
  2. Mittelviefhaus, M.; Georges, G.; Boulouchos, K. Electrification of multi-energy hubs under limited electricity supply: De-/centralized investment and operation for cost-effective greenhouse gas mitigation. Adv. Appl. Energy 2022, 5, 100083. [Google Scholar] [CrossRef]
  3. Yu, X.; Shi, J.; Wan, K.; Chang, T. Carbon trading market policies and corporate environmental performance in China. J. Clean. Prod. 2022, 371, 133683. [Google Scholar] [CrossRef]
  4. Wang, J.; El Kontar, R.; Jin, X.; King, J. Electrifying high-efficiency future communities: Impact on energy, emissions, and grid. Adv. Appl. Energy 2022, 6, 100095. [Google Scholar] [CrossRef]
  5. Li, T.; Shapiro, M.A.; Heidarinejad, M.; Stephens, B. Ten questions concerning building electrification. Build. Environ. 2024, 261, 111653. [Google Scholar] [CrossRef]
  6. Yan, R.; Xiang, X.; Cai, W.; Ma, M. Decarbonizing residential buildings in the developing world: Historical cases from China. Sci. Total Environ. 2022, 847, 157679. [Google Scholar] [CrossRef]
  7. Li, J.; Ai, Q.; Yin, S. Coordinated bidding and trading strategy for wind power and thermostatic load in a novel market framework. IET Renew. Power Gener. 2022, 16, 1027–1045. [Google Scholar] [CrossRef]
  8. Shen, H.; Zhang, H.; Xu, Y.; Chen, H.; Zhu, Y.; Zhang, Z.; Li, W. Multi-objective capacity configuration optimization of an integrated energy system considering economy and environment with harvest heat. Energy Convers. Manag. 2022, 269, 116116. [Google Scholar] [CrossRef]
  9. Zhang, C.; Lin, B. Impact of introducing Chinese certified emission reduction scheme to the carbon market: Promoting renewable energy. Renew. Energy 2024, 222, 119887. [Google Scholar] [CrossRef]
  10. Lau, C.K.; Soliman, A.M.; Albasu, J.; Gozgor, G. Dependence structures among geopolitical risks, energy prices, and carbon emissions prices. Resour. Policy 2023, 83, 103603. [Google Scholar] [CrossRef]
  11. Ma, Y.; Wang, H.; Hong, F.; Yang, J.; Chen, Z.; Cui, H.; Feng, J. Modeling and optimization of combined heat and power with power-to-gas and carbon capture system in integrated energy system. Energy 2021, 236, 121392. [Google Scholar] [CrossRef]
  12. Li, X.; Li, T.; Liu, L.; Wang, Z.; Li, X.; Huang, J.; Huang, J.; Guo, P.; Xiong, W. Operation optimization for integrated energy system based on hybrid CSP-CHP considering power-to-gas technology and carbon capture system. J. Clean. Prod. 2023, 391, 136119. [Google Scholar] [CrossRef]
  13. Alabi, T.M.; Lu, L.; Yang, Z. Data-driven optimal scheduling of multi-energy system virtual power plant (MEVPP) incorporating carbon capture system (CCS), electric vehicle flexibility, and clean energy marketer (CEM) strategy. Appl. Energy 2022, 314, 118997. [Google Scholar] [CrossRef]
  14. Duan, P.; Zhao, B.; Zhang, X.; Fen, M. A day-ahead optimal operation strategy for integrated energy systems in multi-public buildings based on cooperative game. Energy 2023, 275, 127395. [Google Scholar] [CrossRef]
  15. Mehrjerdi, H.; Iqbal, A.; Rakhshani, E.; Torres, J.R. Daily-seasonal operation in net-zero energy building powered by hybrid renewable energies and hydrogen storage systems. Energy Convers. Manag. 2019, 201, 112156. [Google Scholar] [CrossRef]
  16. Mohammadi, F.; Faghihi, F.; Kazemi, A.; Salemi, A.H. The effect of multi-uncertainties on battery energy storage system sizing in smart homes. J. Energy Storage 2022, 52, 104765. [Google Scholar] [CrossRef]
  17. Baghaee, H.R.; Mirsalim, M.; Gharehpetian, G.B.; Talebi, H.A. Fuzzy unscented transform for uncertainty quantification of correlated wind/PV microgrids: Possibilistic–probabilistic power flow based on RBFNNs. IET Renew. Power Gener. 2017, 11, 867–877. [Google Scholar] [CrossRef]
  18. Yan, R.; Lu, Z.; Wang, J.; Chen, H.; Wang, J.; Yang, Y.; Huang, D. Stochastic multi-scenario optimization for a hybrid combined cooling, heating and power system considering multi-criteria. Energy Convers. Manag. 2021, 233, 113911. [Google Scholar] [CrossRef]
  19. Zhao, X.; Chen, Y.; Liu, K.; Xu, G.; Chen, H.; Liu, W. Design and operation of park-level integrated energy systems in various climate zones in China. Sustain. Cities Soc. 2023, 96, 104705. [Google Scholar] [CrossRef]
  20. Wu, Q.; Li, C. Economy-environment-energy benefit analysis for green hydrogen based integrated energy system operation under carbon trading with a robust optimization model. J. Energy Storage 2022, 55, 105560. [Google Scholar] [CrossRef]
  21. Wang, Y.; Song, M.; Jia, M.; Li, B.; Fei, H.; Zhang, Y.; Wang, X. Multi-objective distributionally robust optimization for hydrogen-involved total renewable energy CCHP planning under source-load uncertainties. Appl. Energy 2023, 342, 121212. [Google Scholar] [CrossRef]
  22. Mohseni, S.; Pishvaee, M.S.; Dashti, R. Privacy-preserving energy trading management in networked microgrids via data-driven robust optimization assisted by machine learning. Sustain. Energy Grids Netw. 2023, 34, 101011. [Google Scholar] [CrossRef]
  23. Yang, D.; Tang, Q.; Zhou, B.; Bu, S.; Cao, J. District energy system modeling and optimal operation considering CHP units dynamic response to wind power ramp events. Sustain. Cities Soc. 2020, 63, 102449. [Google Scholar] [CrossRef]
  24. Rodriguez, R.; Osma, G.; Bouquain, D.; Ordoñez, G.; Paire, D.; Solano, J.; Roche, R.; Hissel, D. Electrical resilience assessment of a building operating at low voltage. Energy Build. 2024, 313, 114217. [Google Scholar] [CrossRef]
  25. Zhang, G.; Wang, W.; Chen, Z.; Li, R.; Niu, Y. Modeling and optimal dispatch of a carbon-cycle integrated energy system for low-carbon and economic operation. Energy 2022, 240, 122795. [Google Scholar] [CrossRef]
  26. Mohajerin Esfahani, P.; Kuhn, D. Data-driven distributionally robust optimization using the Wasserstein metric: Performance guarantees and tractable reformulations. Math. Program. 2018, 171, 115–166. [Google Scholar] [CrossRef]
  27. Wang, I.; Becker, C.; Van Parys, B.; Stellato, B. Mean robust optimization. Math. Program. 2024, 1–43. [Google Scholar] [CrossRef]
  28. Boyd, S. Convex Optimization; Cambridge University Press: Cambridge, UK, 2004. [Google Scholar]
  29. Arroyo, J.M. Bilevel programming applied to power system vulnerability analysis under multiple contingencies. IET Gener. Transm. Distrib. 2010, 4, 178–190. [Google Scholar] [CrossRef]
  30. Fang, W.; Yang, C.; Liu, D.; Huang, Q.; Ming, B.; Cheng, L.; Wang, L.; Feng, G.; Shang, J. Assessment of Wind and Solar Power Potential and Their Temporal Complementarity in China’s Northwestern Provinces: Insights from ERA5 Reanalysis. Energies 2023, 16, 7109. [Google Scholar] [CrossRef]
  31. Saboori, H.; Hemmati, R. Considering Carbon Capture and Storage in Electricity Generation Expansion Planning. IEEE Trans. Sustain. Energy 2016, 7, 1371–1378. [Google Scholar] [CrossRef]
  32. Chen, Z.; Zhang, Y.; Ji, T.; Cai, Z.; Li, L.; Xu, Z. Coordinated optimal dispatch and market equilibrium of integrated electric power and natural gas networks with P2G embedded. J. Mod. Power Syst. Clean Energy 2018, 6, 495–508. [Google Scholar] [CrossRef]
  33. Li, Y.; Sun, Y.; Liu, J.; Liu, C.; Zhang, F. A data driven robust optimization model for scheduling near-zero carbon emission power plant considering the wind power output uncertainties and electricity-carbon market. Energy 2023, 279, 128053. [Google Scholar] [CrossRef]
  34. Cheng, Y.; Zhang, N.; Wang, Y.; Yang, J.; Kang, C.; Xia, Q. Modeling carbon emission flow in multiple energy systems. IEEE Trans. Smart Grid 2018, 10, 3562–3574. [Google Scholar] [CrossRef]
Figure 1. System structure.
Figure 1. System structure.
Applsci 15 04408 g001
Figure 2. Explanation of optimization approaches.
Figure 2. Explanation of optimization approaches.
Applsci 15 04408 g002
Figure 3. Process of solving the problem.
Figure 3. Process of solving the problem.
Applsci 15 04408 g003
Figure 4. Electricity and heat load on a typical day in summer and winter.
Figure 4. Electricity and heat load on a typical day in summer and winter.
Applsci 15 04408 g004
Figure 5. Output of PV&WPP in Scenario 1 for summer and winter.
Figure 5. Output of PV&WPP in Scenario 1 for summer and winter.
Applsci 15 04408 g005
Figure 6. Dispatch of heat power in Scenario 1 for summer and winter.
Figure 6. Dispatch of heat power in Scenario 1 for summer and winter.
Applsci 15 04408 g006
Figure 7. Comparison of actual heat load with different scenarios.
Figure 7. Comparison of actual heat load with different scenarios.
Applsci 15 04408 g007
Figure 8. Dispatch of heat power in summer and winter.
Figure 8. Dispatch of heat power in summer and winter.
Applsci 15 04408 g008
Figure 9. Dispatch of electricity power in summer and winter.
Figure 9. Dispatch of electricity power in summer and winter.
Applsci 15 04408 g009
Figure 10. Carbon flow in summer and winter.
Figure 10. Carbon flow in summer and winter.
Applsci 15 04408 g010
Figure 11. Total costs under different Δ P H / P l o a d H .
Figure 11. Total costs under different Δ P H / P l o a d H .
Applsci 15 04408 g011
Figure 12. Total costs under different carbon prices.
Figure 12. Total costs under different carbon prices.
Applsci 15 04408 g012
Figure 13. Operation results under different cases.
Figure 13. Operation results under different cases.
Applsci 15 04408 g013
Figure 14. Computation times under different cases.
Figure 14. Computation times under different cases.
Applsci 15 04408 g014
Table 1. Literature review.
Table 1. Literature review.
Ref No.ApproachUncertainty SourceCarbon MarketOccupant ComfortData-Driven
[11,12,15]SOdemand, supply×××
[14]SGsupply××
[19]CCdemand×××
[20]ROdemand××
[21]DROdemand, supply×××
Our modelMROdemand, supply
Table 2. Values of parameters in test system.
Table 2. Values of parameters in test system.
ParameterValueParameterValue
α C H P 1 0.15 P G T , m a x E 2 MWh
α C H P 2 0.2 ω C C S [31]0.5 MWh/t
α C H P 3 0.8 η C C S 0.9
β C H P 18.18 m3/MWh ϕ P 2 G [32]0.98 MWh/t
γ C O 2 0.002 t/m3 ψ P 2 G 0.539 MWh/t
P C H P , m i n E 0.01 MWh ζ P 2 G 274.4 m3/t
P C H P , m a x E 2 MWh μ C 260 CNY/t
χ G T [33]0.0044 MWh/m3 μ E S 83 CNY/MWh
P G T , m i n E 0.01 MWh σ [34]0.8 t/MWh
Table 3. Objective values for different scenarios in summer and winter (CNY).
Table 3. Objective values for different scenarios in summer and winter (CNY).
Typical DayScenario 1Scenario 2Scenario 3Scenario 4
Summer2383.732362.642498.702422.55
Winter4497.364462.204559.324538.46
Table 4. Total carbon on a typical day in summer and winter.
Table 4. Total carbon on a typical day in summer and winter.
Carbon.CHP (t)Carbon.GT (t)Carbon.Emission (t)
Summer0.02610.2980.0324
Winter0.06130.5380.060
Disclaimer/Publisher’s Note: The statements, opinions and data contained in all publications are solely those of the individual author(s) and contributor(s) and not of MDPI and/or the editor(s). MDPI and/or the editor(s) disclaim responsibility for any injury to people or property resulting from any ideas, methods, instructions or products referred to in the content.

Share and Cite

MDPI and ACS Style

Hua, K.; Xu, Q.; Li, S.; Fang, L. Data-Driven Optimal Dispatch of Integrated Energy in Zero-Carbon Building System Considering Occupant Comfort and Uncertainty. Appl. Sci. 2025, 15, 4408. https://doi.org/10.3390/app15084408

AMA Style

Hua K, Xu Q, Li S, Fang L. Data-Driven Optimal Dispatch of Integrated Energy in Zero-Carbon Building System Considering Occupant Comfort and Uncertainty. Applied Sciences. 2025; 15(8):4408. https://doi.org/10.3390/app15084408

Chicago/Turabian Style

Hua, Kui, Qingshan Xu, Shujuan Li, and Lele Fang. 2025. "Data-Driven Optimal Dispatch of Integrated Energy in Zero-Carbon Building System Considering Occupant Comfort and Uncertainty" Applied Sciences 15, no. 8: 4408. https://doi.org/10.3390/app15084408

APA Style

Hua, K., Xu, Q., Li, S., & Fang, L. (2025). Data-Driven Optimal Dispatch of Integrated Energy in Zero-Carbon Building System Considering Occupant Comfort and Uncertainty. Applied Sciences, 15(8), 4408. https://doi.org/10.3390/app15084408

Note that from the first issue of 2016, this journal uses article numbers instead of page numbers. See further details here.

Article Metrics

Back to TopTop