Sign in to use this feature.

Years

Between: -

Subjects

remove_circle_outline
remove_circle_outline
remove_circle_outline
remove_circle_outline
remove_circle_outline
remove_circle_outline
remove_circle_outline
remove_circle_outline
remove_circle_outline

Journals

remove_circle_outline
remove_circle_outline
remove_circle_outline
remove_circle_outline
remove_circle_outline
remove_circle_outline
remove_circle_outline
remove_circle_outline
remove_circle_outline
remove_circle_outline
remove_circle_outline
remove_circle_outline
remove_circle_outline
remove_circle_outline
remove_circle_outline
remove_circle_outline
remove_circle_outline
remove_circle_outline
remove_circle_outline
remove_circle_outline

Article Types

Countries / Regions

remove_circle_outline
remove_circle_outline
remove_circle_outline
remove_circle_outline

Search Results (3,311)

Search Parameters:
Keywords = electrical sensing

Order results
Result details
Results per page
Select all
Export citation of selected articles as:
18 pages, 2661 KB  
Article
Impedance Sensor Based on ZnO/Graphite Composite with 3D-Printed Housing for Ionized Ammonia Detection in Continuous Water Flow
by Jorge A. Uc-Martín and Roberto G. Ramírez-Chavarría
Chemosensors 2026, 14(3), 64; https://doi.org/10.3390/chemosensors14030064 - 6 Mar 2026
Abstract
High concentrations of ionized ammonia (NH4+) have been increasingly reported in municipal drinking water systems, posing a severe public health risk as excessive ingestion can lead to life-threatening conditions. Despite its importance, there is a significant lack of sensing [...] Read more.
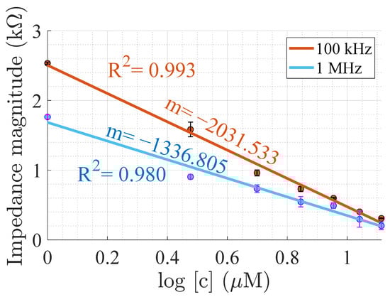
High concentrations of ionized ammonia (NH4+) have been increasingly reported in municipal drinking water systems, posing a severe public health risk as excessive ingestion can lead to life-threatening conditions. Despite its importance, there is a significant lack of sensing technologies designed for continuous-flow monitoring outside laboratory settings, particularly those providing a robust, low-cost methodology suitable for resource-limited environments. To address these challenges, in this work, we report the development of an impedance sensor featuring a 3D-printed housing (3D-IS) for monitoring aqueous ionized ammonia (NH4+). The sensing electrodes, composed of zinc oxide and graphite, allow for the detection of concentrations 10 times lower and 60 times higher than current environmental limits. Its innovative, optimized design, analogous to that of industrial pressure gauges, highlights its potential for use in continuous water flow conditions outside the laboratory, such as water treatment plants. The level of NH4+ in water is monitored by changes in impedance magnitude, with optimal performance observed at a frequency of 100 kHz. At this frequency, the impedance magnitude decreased by nearly two orders of magnitude as the NH4+ concentration increased from 0 to 1 μM. Under these optimized conditions, the sensor exhibited a sensitivity of 2 kΩ/log(μM) and a linearity exceeding 90%. Furthermore, we propose an equivalent circuit model that accurately describes the experimental data, explaining the transduction process. We also describe, from an electrical perspective, the phenomenon of adsorption on the sensor’s transducer surface, thereby ensuring the device’s selectivity. The sensor was evaluated using dilutions of a standard ammonium solution for IC in distilled water, as well as with real groundwater samples, obtaining ∼99.7% of correlation with ion chromatography and a limit of detection of 2 μM. Finally, our device can provide information relatively quickly, with the added advantage of stable response under continuous-flow and real conditions, making it an attractive option for integration into a field sensor node. Full article
Show Figures

Graphical abstract

15 pages, 1816 KB  
Article
Photonic Crystal Fiber–Based Surface Plasmon Resonance Sensor for Precise Biochemical Refractive Index Sensing
by Lalit Garia, Rajeev Kumar, Chang-Won Yoon and Mangal Sain
Photonics 2026, 13(3), 259; https://doi.org/10.3390/photonics13030259 - 6 Mar 2026
Abstract
In this work, a D-shaped Photonic Crystal Fiber (PCF) sensor with a detection range of 1.30–1.35 is proposed, including Gold (Au), Titanium Dioxide (TiO2), graphene, and a functionalized sensing region. Instead of filling or coating inside the PCF’s air holes, the [...] Read more.
In this work, a D-shaped Photonic Crystal Fiber (PCF) sensor with a detection range of 1.30–1.35 is proposed, including Gold (Au), Titanium Dioxide (TiO2), graphene, and a functionalized sensing region. Instead of filling or coating inside the PCF’s air holes, the Gold (Au) layer is applied to the polished surface. The effects of the larger air holes’ diameter and the thickness of the Au layer are examined. To achieve effective RI sensing, the proposed design leverages the strong coupling between the core mode and the Surface Plasmon (SP) excitation mode. Modal dispersion, confinement loss, and electric field distributions are analyzed for analyte RI values ranging from 1.30 to 1.35 using the Finite Element Method (FEM). The sensor demonstrates improved plasmonic excitation with a maximum Wavelength Sensitivity (WS) of 3000 nm/RIU (Au = 45 nm), strong confinement loss of more than 788.39 dB/cm (at Au = 40 nm), and a highest Figure of Merit (FoM) of 62.5/RIU (at Au = 40 nm with RI = 1.32). The TiO2 layer enhances mode coupling and resonance sharpness, while the optimized Au thickness boosts sensitivity and spectral resolution. Additionally, the blood components reach the WS of 5000 nm/RIU for plasma and 3000 nm/RIU for Krypton. Because of its high tunability and repeatable performance, the PCF–SPR biosensor is a promising choice for precise biochemical and biomedical sensing applications. Full article
(This article belongs to the Special Issue Plasmonic Sensors: Advances and Applications)
Show Figures

Figure 1

22 pages, 3617 KB  
Article
Batteryless IoT Sensing Using Thermoelectric Energy Harvesting from Industrial Motor Waste Heat
by Kamil Bancik, Jaromir Konecny, Martin Stankus, Radim Hercik, Jiri Koziorek, Vytautas Markevičius, Darius Andriukaitis and Michal Prauzek
Sensors 2026, 26(5), 1644; https://doi.org/10.3390/s26051644 - 5 Mar 2026
Abstract
This study presents the design, implementation, and validation of a thermoelectric energy harvesting system that exploits waste heat from an industrial electric motor to power an autonomous wireless sensor device. The proposed prototype integrates a single thermoelectric generator directly onto the motor housing [...] Read more.
This study presents the design, implementation, and validation of a thermoelectric energy harvesting system that exploits waste heat from an industrial electric motor to power an autonomous wireless sensor device. The proposed prototype integrates a single thermoelectric generator directly onto the motor housing and leverages the built-in cooling fan to maintain a stable thermal gradient of approximately 4–5 °C. Under real factory conditions, the system harvested 6.17 J of energy over 9612 s, sustaining continuous operation and 41 successful Long Range (LoRa) data transmissions with a positive energy balance. Compared with related works, the prototype achieved competitive or superior performance while operating at a lower motor rating of 0.25 kW, highlighting its efficiency relative to system scale. Key innovations include a hybrid DC/DC conversion chain bridging ultra-low input voltages to modern microcontrollers, and an adaptive transmission strategy that ensures predictable energy management and reliable wireless communication. These results demonstrate the feasibility of battery-free sensing in industrial environments and underline the potential of thermoelectric harvesting as a cost-effective, maintenance-free, and environmentally responsible solution for predictive maintenance and Industry 4.0 applications. Full article
(This article belongs to the Special Issue Applications of Sensors Based on Embedded Systems)
Show Figures

Figure 1

11 pages, 1517 KB  
Article
High-Stable Electric Field Integrated Optical Sensor Based on Reduced Lithium Niobate
by Aleksei Sosunov, Artem Shipitsin, Mikhail Zhitkov, Anton Kuznetsov, Andrey Kosberg, Anton Zhuravlev, Andrey Lutsenko, Victor Krishtop and Anatoliy Mololkin
Sensors 2026, 26(5), 1619; https://doi.org/10.3390/s26051619 - 4 Mar 2026
Abstract
Integrated optical devices based on lithium niobate (LN) are pivotal in modern navigation systems, telecommunications, and sensing technologies. However, their practical implementation is critically limited by temperature-dependent and long-term operational instability, primarily attributed to the pyroelectric effect inherent in LN. This study addresses [...] Read more.
Integrated optical devices based on lithium niobate (LN) are pivotal in modern navigation systems, telecommunications, and sensing technologies. However, their practical implementation is critically limited by temperature-dependent and long-term operational instability, primarily attributed to the pyroelectric effect inherent in LN. This study addresses this challenge by investigating thermally reduced lithium niobate as a material platform to enhance the stability of integrated optical circuits, with a focus on integrated optical electric field sensors (IOES). We present the fabrication and comprehensive characterization of an IOES based on a Michelson interferometer design. Key performance metrics including optical loss, free spectral range, electro-optical sensitivity, and optical path difference were systematically evaluated. Notably, under normal climatic conditions, the optical path difference of the IOES demonstrated exceptional stability when subjected to an applied voltage ranging from 0 to 5 V, with no observable drift over time. Calibration of the IOES revealed a predominantly linear response, although a third-degree polynomial model provided a more precise fit to the experimental data. The minimum relative error achieved during calibration was 0.47%, underscoring the high accuracy of the device. Our results establish thermally reduced LN as a promising material platform for next-generation integrated optical devices. By mitigating the pyroelectric effect, this approach enables significant improvements in the long-term stability of IOES and other LN-based photonic components. These findings open avenues for the reliable deployment of integrated optical systems in demanding applications where environmental stability is paramount. Full article
Show Figures

Figure 1

14 pages, 2763 KB  
Article
A Novel Two-Dimensional Hydrophone Based on Fiber Bragg Gratings
by I-Nan Chang, Wei-Chen Li, Chang-Chun Kuo and Wen-Fung Liu
Sensors 2026, 26(5), 1605; https://doi.org/10.3390/s26051605 - 4 Mar 2026
Viewed by 28
Abstract
This paper presents a high-sensitivity two-dimensional fiber-optic hydrophone designed for the detection and localization of underwater acoustic sources. The device comprises two sensing heads, each incorporating a fiber Bragg grating (FBG) embedded within a customized 3D-printed encapsulation. To enhance acoustic sensitivity, the design [...] Read more.
This paper presents a high-sensitivity two-dimensional fiber-optic hydrophone designed for the detection and localization of underwater acoustic sources. The device comprises two sensing heads, each incorporating a fiber Bragg grating (FBG) embedded within a customized 3D-printed encapsulation. To enhance acoustic sensitivity, the design utilizes a silicone thin-film coupled with a pyramidal channel that spatially concentrates acoustic energy from the base to the apex, where the FBG is positioned. Incident acoustic pressure induces vibrations in the film, which are amplified by the channel structure, imparting strain on the FBG and resulting in a shift in the Bragg wavelength. The acoustic frequency response is demodulated by converting the overlapping optical power between the sensing and reference gratings into an electrical signal via a photodetector. By arranging the two sensing heads orthogonally, the system effectively determines the direction and angle of the acoustic source. Experimental results show a peak sensitivity of −210.59 dB re 1 V/μPa, with a FWHM of 57.92–66.27 Hz and a figure of merit (FOM) up to 3.64 dB/Hz. In addition, the acoustic-field SNR is approximately 26 dB in the dominant band, and the LOD is 64.19 dB re 1 μPa (10–400 Hz). Experimental validation confirms the hydrophone’s high sensitivity and localization accuracy, demonstrating its significant potential for underwater acoustic sensing applications. Full article
(This article belongs to the Special Issue Fiber Optic Sensing and Applications)
Show Figures

Figure 1

13 pages, 4511 KB  
Article
Detection of Low Humidity Using Three-Dimensional DMC Network Structure
by Lu Yang, Xiaomin Chen, Haotian Fan, Huadan Zheng, Jianhui Yu, Wenguo Zhu, Yongchun Zhong and Zhe Chen
Sensors 2026, 26(5), 1596; https://doi.org/10.3390/s26051596 - 4 Mar 2026
Viewed by 148
Abstract
The detection of low humidity levels remains a great challenge in relative humidity (RH) sensing technologies. In this work, methacryloxyethyl trimethyl ammonium chloride (DMC) was coated around SiO2 microspheres to form DMC/SiO2 composite microspheres, which were self-assembled into a three-dimensional (3D) [...] Read more.
The detection of low humidity levels remains a great challenge in relative humidity (RH) sensing technologies. In this work, methacryloxyethyl trimethyl ammonium chloride (DMC) was coated around SiO2 microspheres to form DMC/SiO2 composite microspheres, which were self-assembled into a three-dimensional (3D) network structure for low humidity detection. The hydrophilic nature of the DMC component enhances the adsorption capacity for water molecules even at ultra-low humidity levels (1–18.6% RH), while the 3D network structure provides abundant channels for fast water molecule transport, facilitating rapid response and recovery processes. The optimized sensor shows high response (13.544%) in 1–18.6% RH, with short response/recovery time (6 s/10 s) and a small humidity hysteresis (1.4% RH). Such high performance shows that this type of sensor has great potential for application in widespread fields, such as electricity, semiconductor manufacturing, pure gas supply, aerospace, and pharmaceutical formulations. Full article
Show Figures

Figure 1

24 pages, 10579 KB  
Article
Agrogeophysical Approach to Estimate Soil A Horizon Thickness in a Long-Term Dryland Cropping Experiment in South America
by Julián Ramos, Nestor Bonomo, Claudio García and Andrés Quincke
Soil Syst. 2026, 10(3), 36; https://doi.org/10.3390/soilsystems10030036 - 3 Mar 2026
Viewed by 150
Abstract
Agricultural systems are under growing pressure, as soil degradation threatens food security and sustainable land use. Early detection through soil monitoring and precision agriculture is vital to prevent irreversible damage and enable timely conservation. This study evaluates a combined procedure based on electrical [...] Read more.
Agricultural systems are under growing pressure, as soil degradation threatens food security and sustainable land use. Early detection through soil monitoring and precision agriculture is vital to prevent irreversible damage and enable timely conservation. This study evaluates a combined procedure based on electrical resistivity tomography and frequency-domain electromagnetic induction measurements, together with discrete soil sampling, to electrically characterize the soil, identify layers, and map the A horizon depth in a non-disturbing way. This work includes the design and implementation of a mounting electrode system, which reduces the installation time of electrical resistivity tomography surveys by 60% while maintaining data quality. The data were acquired in the oldest long-term agronomic experiment in South America, comprising seven rotation systems with three replicates each, totaling 21 rainfed plots, and representing contrasting management scenarios. Soil A horizon thickness maps of the entire experiment were obtained through two procedures. A comparison between mapping inputs, including all plots and only bare-soil plots, revealed minimal differences in unvegetated areas but notable discrepancies under plant cover, where vegetation increased fluctuations and noise. The present study provides a methodology for accurately assessing the spatial variability of the A horizon thickness by means of proximal sensing techniques. This contributes to the challenge of gathering fundamental soil information in a fast and cost-effective manner, critical for precision agricultura. Full article
Show Figures

Figure 1

15 pages, 3960 KB  
Communication
Hydrogen Sulfide Sensing Properties of CuXS-In Heterojunctions
by Nesrine Hafiene, Rayhane Zribi, Claudia Espro, Carlos Vázquez-Vázquez, Noureddine Bouguila and Giovanni Neri
Chemosensors 2026, 14(3), 60; https://doi.org/10.3390/chemosensors14030060 - 3 Mar 2026
Viewed by 110
Abstract
In this paper, a study on the development of indium-doped CuxS heterojunction-based conductometry sensors is presented. To fabricate the sensors, thick films of In-CuxS heterojunctions were sprayed directly on the alumina sensing platform provided with interdigitated Pt electrodes. The [...] Read more.
In this paper, a study on the development of indium-doped CuxS heterojunction-based conductometry sensors is presented. To fabricate the sensors, thick films of In-CuxS heterojunctions were sprayed directly on the alumina sensing platform provided with interdigitated Pt electrodes. The effect of the doping level with different nominal amounts of InCl3 additive (0%, 3%, and 5%) on the structural, morphological and optical properties of CuxS films was first studied by XRD, AFM, UV-Vis and Raman spectroscopy. Moreover, the electrical and sensing characteristics towards low concentrations of hydrogen sulfide (H2S) in air were investigated. The tests carried out clearly demonstrated the positive effect of In doping on the H2S sensing performance of CuxS. The 5%-doped CuxS sensor showed the highest sensitivity to the target gas compared to the other sensor, as well as good stability and selectivity properties. Full article
Show Figures

Figure 1

26 pages, 9493 KB  
Article
Developing a Cross-Platform Transferable Spectral Index for Soda Saline–Alkali Soils: A Case Study in the Songnen Plain, Northeast China
by He Gu, Kun Shang, Weichao Sun, Chenchao Xiao and Yisong Xie
Remote Sens. 2026, 18(5), 758; https://doi.org/10.3390/rs18050758 - 2 Mar 2026
Viewed by 115
Abstract
Soil salinization is a widespread form of land degradation that severely constrains agricultural productivity and ecosystem stability. Efficient and transferable monitoring methods are therefore essential for large-scale salinization assessment. Remote sensing provides timely and synoptic observations, while the integration of multi-source datasets offers [...] Read more.
Soil salinization is a widespread form of land degradation that severely constrains agricultural productivity and ecosystem stability. Efficient and transferable monitoring methods are therefore essential for large-scale salinization assessment. Remote sensing provides timely and synoptic observations, while the integration of multi-source datasets offers complementary spectral and spatial information. In this study, we developed a cross-platform spectral index specifically for soda saline–alkali (carbonate/bicarbonate-dominated) soils by integrating laboratory spectra and hyperspectral satellite observations through a collaborative, cross-dataset spectral feature selection framework. Dual-band spectral indices were constructed from transformed reflectance spectra, and a stepwise coupled correlation analysis was applied to identify representative candidates that consistently exhibited strong associations with log-transformed soil electrical conductivity (logEC) across datasets. An optimal central-wavelength analysis was then performed to determine a stable and transferable band pair. The study was conducted in the Songnen Plain of Northeast China using laboratory-measured soil spectra and Ziyuan-1 02D Advanced Hyperspectral Imager data, and the proposed index was further validated using Landsat-8 and Sentinel-2 Multispectral data. Results show that the proposed Difference Index based on Square Root Reflectance at 520 nm and 900 nm (DISRR520900) exhibited consistent relationships with logEC (R = 0.60 for hyperspectral satellite data and R = 0.82 for laboratory spectral data), outperforming commonly used salinity indices in terms of cross-sensor stability. The spatial distribution of soil salinization derived from DISRR520900 is highly consistent with true-color imagery, and multi-source data fusion further improves mapping continuity and spatial coverage. It should be noted that the proposed index is primarily applicable to bare or sparsely vegetated soil surfaces in soda saline–alkali regions. Under dense vegetation cover, substantial crop residue, or wet surface conditions, additional masking or correction may be required. These results demonstrate that DISRR520900 provides a stable cross-sensor solution for large-scale soil salinization mapping within comparable soil chemical contexts. Full article
(This article belongs to the Special Issue Hyperspectral Data Analysis of Vegetation and Soil Monitoring)
Show Figures

Figure 1

16 pages, 10712 KB  
Article
A Stretchable Electronic Tattoo for Self-Powered Human–Machine Interfaces and Therapeutic Applications
by Rumeng Shao, Yixuan Zhang, Ya Chang, Chuanbo Li and Yang Wang
Micromachines 2026, 17(3), 312; https://doi.org/10.3390/mi17030312 - 28 Feb 2026
Viewed by 176
Abstract
Flexible skin electronics are increasingly sought after for their potential in sensing and drug delivery within wearable human–machine interfaces. However, developing multifunctional applications that maintain biocompatibility and stable electrical performance under various mechanical deformations remains a challenge. Here, we introduce tattoo paper-based graphene–gold [...] Read more.
Flexible skin electronics are increasingly sought after for their potential in sensing and drug delivery within wearable human–machine interfaces. However, developing multifunctional applications that maintain biocompatibility and stable electrical performance under various mechanical deformations remains a challenge. Here, we introduce tattoo paper-based graphene–gold conductors that are approximately 0.04 mm thick and feature a dual conductive pathway within the graphene–gold film. By integrating a folding structure with this dual conductive pathway, we can mitigate the strain effects on the electrical resistance of film-based conductors, resulting in wider areas of stable resistance. In addition, we have designed film conductors with a kirigami structure, which achieves a high initial conductivity of 1.5 × 103 S cm−1 and exhibits negligible resistance changes across a broad strain range of 0 to 130%. We utilize these conductors to develop waterproof on-skin patches that incorporate electrically and optically active heaters for body heating and drug delivery. Furthermore, we have created an on-skin dialing interface using these conductors, which enables users to make telephone calls based on triboelectric nanogenerators. Full article
Show Figures

Figure 1

25 pages, 6498 KB  
Review
Recent Advances in Metal Phthalocyanine for Sensing Applications
by Hao Wu, Qifubo Geng, Xunjun He, Mingze Zhang and Sergey Maksimenko
Nanomaterials 2026, 16(5), 312; https://doi.org/10.3390/nano16050312 - 28 Feb 2026
Viewed by 132
Abstract
In recent years, metal phthalocyanine (MPc)-based sensors have garnered significant interest for applications in environmental monitoring, biomedical diagnostics, and industrial process control, owing to their efficient and cost-effective sensing capabilities. In contrast to conventional inorganic materials, MPcs are a class of small-molecule materials [...] Read more.
In recent years, metal phthalocyanine (MPc)-based sensors have garnered significant interest for applications in environmental monitoring, biomedical diagnostics, and industrial process control, owing to their efficient and cost-effective sensing capabilities. In contrast to conventional inorganic materials, MPcs are a class of small-molecule materials characterized by a stable, π-conjugated macrocyclic framework with a tunable central metal ion. This structural architecture imparts unique physicochemical properties, including high chemical stability, excellent redox activity, structural versatility, considerable dielectric constant and electrical conductivity, along with pronounced optical absorption and excellent environmental stability. By incorporating different metal ions into the macrocyclic core, their functional characteristics can be precisely modulated to achieve high sensitivity and selectivity toward various gas, ion, or biomolecule targets. Leveraging these advantages, MPcs have been extensively utilized in diverse sensing platforms, such as photoelectric, gas, and biosensors. This review outlines recent advances in MPc-based sensor research and provides perspectives on their future development trends. Full article
(This article belongs to the Section Nanoelectronics, Nanosensors and Devices)
Show Figures

Figure 1

25 pages, 6381 KB  
Article
A Study on the Continuous and Discrete Wavelet Transform-Based Lithium-Ion Battery Fire Prediction Sensor Technology
by Wen-Cheng Jin, Chang-Won Kang, Soon-Hyung Lee and Yong-Sung Choi
Sensors 2026, 26(5), 1507; https://doi.org/10.3390/s26051507 - 27 Feb 2026
Viewed by 141
Abstract
Early detection of fire-related risks in lithium-ion batteries (LIBs) remains a critical challenge, as conventional protection mechanisms typically activate only after irreversible degradation or macroscopic failure occurs. In this study, an innovative sensor-based diagnostic framework is proposed for proactive fire prediction in LIBs [...] Read more.
Early detection of fire-related risks in lithium-ion batteries (LIBs) remains a critical challenge, as conventional protection mechanisms typically activate only after irreversible degradation or macroscopic failure occurs. In this study, an innovative sensor-based diagnostic framework is proposed for proactive fire prediction in LIBs by simultaneously monitoring low-frequency and high-frequency electrical signatures generated during battery charge–discharge processes. An electromagnetic (EM) antenna sensor and a high-frequency current transformer (HFCT) sensor were employed to capture complementary voltage- and current-based transient signals associated with internal degradation phenomena. Cell-level experiments were conducted under various C-rates and temperature conditions, including high-stress environments, while module-level validation was performed on a 4-series, 1-parallel (4S1P) configuration at a 2C-rate under ambient temperature. Time–frequency characteristics of the measured signals were systematically evaluated using MATLAB-based continuous wavelet transform (CWT) and discrete wavelet transform (DWT) techniques. The results reveal that degradation-induced transient events exhibit non-stationary, impulsive voltage and current signatures with distinct frequency-band localization, which intensify with increasing C-rate, elevated temperature, and aging progression. At the module level, although signal amplitudes were partially attenuated due to current redistribution, characteristic wavelet energy patterns and time–frequency concentrations remained clearly distinguishable, demonstrating the scalability of the proposed approach. The combined EM antenna–HFCT sensing strategy, together with multi-resolution wavelet analysis, enables effective phenomenological differentiation between normal operational noise and incipient internal fault signatures well before conventional thermal or capacity-based indicators become evident. These findings demonstrate feasibility of the proposed method for early-stage fault diagnosis and highlight its potential applicability to advanced battery management systems for proactive fire prevention in large-scale energy storage and electric vehicle applications. Unlike conventional voltage-, temperature-, or gas-based diagnostics, the proposed approach enables the detection of incipient degradation phenomena at the microsecond scale by exploiting complementary low- and high-frequency electrical signatures. This study provides experimental evidence that wavelet-based EM and HFCT sensing can identify MISC-related precursors significantly earlier than conventional battery management indicators. Full article
(This article belongs to the Section Electronic Sensors)
Show Figures

Figure 1

12 pages, 745 KB  
Proceeding Paper
AI-Enabled Predictive Maintenance of Medical Equipment for Energy and Waste Reduction
by Yuan Zhi Leong and Wai Yie Leong
Eng. Proc. 2026, 129(1), 10; https://doi.org/10.3390/engproc2026129010 - 26 Feb 2026
Viewed by 129
Abstract
Hospitals are energy- and waste-intensive systems. Inpatient buildings dominate the sector’s electricity and gas consumption, and healthcare waste streams—especially device-associated disposables—increase environmental burdens. AI-enabled predictive maintenance (PdM) offers a dual lever: (1) reducing energy use by keeping assets operating at efficient points, and [...] Read more.
Hospitals are energy- and waste-intensive systems. Inpatient buildings dominate the sector’s electricity and gas consumption, and healthcare waste streams—especially device-associated disposables—increase environmental burdens. AI-enabled predictive maintenance (PdM) offers a dual lever: (1) reducing energy use by keeping assets operating at efficient points, and (2) preventing avoidable waste by extending component life, reducing emergency spares, and avoiding device-induced clinical workflow disruptions. In this study, an end-to-end architecture is developed by integrating multi-modal sensing (electrical, thermal, acoustic, vibration), computerized maintenance management systems (CMMS), risk-based maintenance under International Electrotechnical Commission (IEC)/International Organization for Standardization standards (ISO 60601, 62353/62304, 81001-5-1), and learning pipelines (self-supervised anomaly detection, remaining useful life estimators, and carbon-aware work order scheduling). Using representative hospital archetypes and equipment classes (imaging, patient monitoring, laboratory analyzers, sterilizers, and pumps), energy, downtime, and waste avoidance are simulated under baseline preventive maintenance (PM) versus PdM with alternate equipment management. Results showed that 10–22% site electricity reduction was achieved, attributable to equipment efficiency and optimized duty-cycling, 18–35% fewer unplanned failures, and a 12–28% reduction in associated consumable waste and emergency part scrappage across scenarios, while maintaining compliance with Joint Commission/Centers for Medicare & Medicaid Services and IEC safety testing intervals. We discuss cybersecurity (IEC 81001-5-1) and the trustworthiness of AI, present a governance model linking CMMS events to carbon telemetry, and provide an implementation roadmap. Full article
Show Figures

Figure 1

18 pages, 2641 KB  
Article
A Small-Sample Fault Diagnosis Method for High-Voltage Circuit Breaker Spring Mechanisms Based on Multi-Source Feature Fusion and Stacking Ensemble Learning
by Xining Li, Hanyan Xiao, Ke Zhao, Lei Sun, Tianxin Zhuang, Haoyan Zhang and Hongwei Mei
Sensors 2026, 26(5), 1485; https://doi.org/10.3390/s26051485 - 26 Feb 2026
Viewed by 199
Abstract
To address the practical engineering challenges of limited fault samples for high-voltage circuit breaker spring operating mechanisms and the inability of single features to fully reflect equipment status, this paper proposes a small-sample fault diagnosis method based on multi-source feature fusion and Stacking [...] Read more.
To address the practical engineering challenges of limited fault samples for high-voltage circuit breaker spring operating mechanisms and the inability of single features to fully reflect equipment status, this paper proposes a small-sample fault diagnosis method based on multi-source feature fusion and Stacking ensemble learning. First, a multi-source sensing system containing MEMS (Micro-Electro-Mechanical System) pressure and travel, coil, and motor current was constructed to achieve comprehensive monitoring of the mechanical and electrical states of a 220 kV circuit breaker; in particular, the introduction of non-invasive MEMS sensors effectively solves the difficulty of capturing static spring fatigue characteristics inherent in traditional methods. Second, a high-dimensional feature space was constructed using Savitzky–Golay filtering and physical feature extraction techniques. To address the characteristics of small-sample data distribution, a two-layer Stacking ensemble learning model based on 5-fold cross-validation was designed. This model utilizes the SVM (Support Vector Machine), RF (Random Forest), and KNN (K-Nearest Neighbors) as base classifiers and Logistic Regression as the meta-learner, achieving an adaptive fusion of the advantages of heterogeneous algorithms. True-type experimental results show that the average diagnostic accuracy of this method under normal conditions and four typical fault conditions reaches 96.1%, which is superior to single base models (the RF was 94.2%). Feature importance analysis further confirms that closing and opening pressures are the most critical features for distinguishing mechanical faults. This study provides effective theoretical basis and technical support for condition-based maintenance of high-voltage circuit breakers under small-sample conditions. Full article
(This article belongs to the Special Issue Advanced Sensor Technologies for Corrosion Monitoring)
Show Figures

Figure 1

32 pages, 8251 KB  
Article
Tracking Quarter-Century Spatio-Temporal Soil Salinization Dynamics in Semi-Arid Landscapes Using Earth Observation and Machine Learning
by Aiman Achemrk, Jamal-Eddine Ouzemou, Ahmed Laamrani, Ali El Battay, Soufiane Hajaj, Sabir Oussaoui and Abdelghani Chehbouni
Remote Sens. 2026, 18(5), 687; https://doi.org/10.3390/rs18050687 - 26 Feb 2026
Viewed by 251
Abstract
Soil salinization represents a critical constraint to sustainable agriculture in arid and semi-arid regions, where salinity threatens soil productivity, water quality, and ecosystem resilience. Soil salinity pattern prediction is complicated by tightly coupled landscape hydro-climatic processes, wherein the central Sabkha acts as a [...] Read more.
Soil salinization represents a critical constraint to sustainable agriculture in arid and semi-arid regions, where salinity threatens soil productivity, water quality, and ecosystem resilience. Soil salinity pattern prediction is complicated by tightly coupled landscape hydro-climatic processes, wherein the central Sabkha acts as a persistent salt sink, episodic inundation and intense evaporation concentrate dissolved salts, and a shallow saline groundwater table interacts with the semi-arid climate to drive surface salinization. Conventional mapping is laborious and lacks the precision needed to capture the spatio-temporal dynamics of soil salinity across landscapes. This study developed an integrated framework uniting multi-temporal Landsat imagery (2000–2025), hypsometric data, climatic indicators, and in situ soil electrical conductivity (ECe) measurements to model soil salinity dynamics using machine learning (ML), over the Sehb El Masjoune (SEM) semi-arid region, Morocco. A total of 233 soil samples were collected in the investigated area in 2022, 2023, 2024, and 2025 to assess the spatial variability to calibrate and validate modeling findings. To this end, three predictive algorithms, i.e., Gradient-Boosted Trees (GBT), Support Vector Regression (SVR), and Random Forest (RF) were assessed. Our findings showed that SVR achieved the highest predictive capability (R2 = 0.76; RMSE = 32.91 dS/m), whereas SVR-based salinity maps revealed a distinct spatial organization of salinization processes, characterized by extremely saline soils (≥64 dS/m) concentrated in the central study area (i.e., SEM center) and a progressive decline toward adjacent agricultural lands (0–8 dS/m). Our results demonstrated that from 2000 to 2025, moderately to highly saline areas (≥16 dS/m) expanded by nearly 10%, driven by recurrent droughts and inefficient drainage. Hydroclimatic analysis confirmed that dry years (SPI: Standardized Precipitation Index ≤ −0.5) promoted net salinity build-up through the expansion and persistence of moderate-to-high salinity classes (≥16 dS/m), whereas wet years (SPI ≥ +0.5) favored temporary leaching and partial recovery, mainly within the low-to-moderate range. This integrative remote sensing–ML approach provides a robust and scalable framework for operational soil salinity monitoring, offering valuable insights for sustainable land-use planning in similar Sabkha’s data-scarce agroecosystems. Full article
Show Figures

Figure 1

Back to TopTop