Modeling and Validation of Electrostatic Sensing for UAV Targets in High-Dynamic Encounter Scenarios
Abstract
1. Introduction
2. Modeling of Electrostatic Sensing in Dynamic Encounter Scenarios
2.1. Principle of the Flying-Net Interception Device Based on Electrostatic Sensor
2.2. Dynamic Encounter Model of Electrostatic Sensor
2.2.1. Mathematical Model
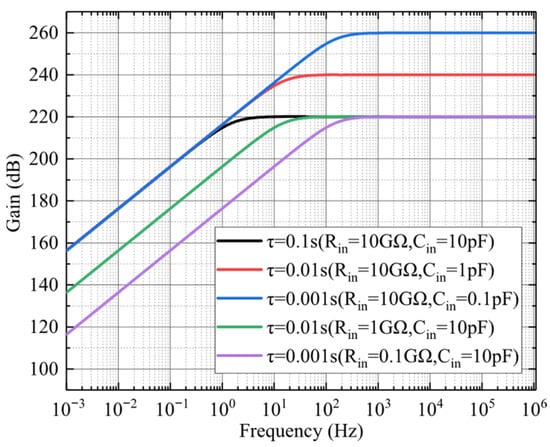
2.2.2. Model Calibration Based on Actual Boundary Conditions
3. Results and Discussion
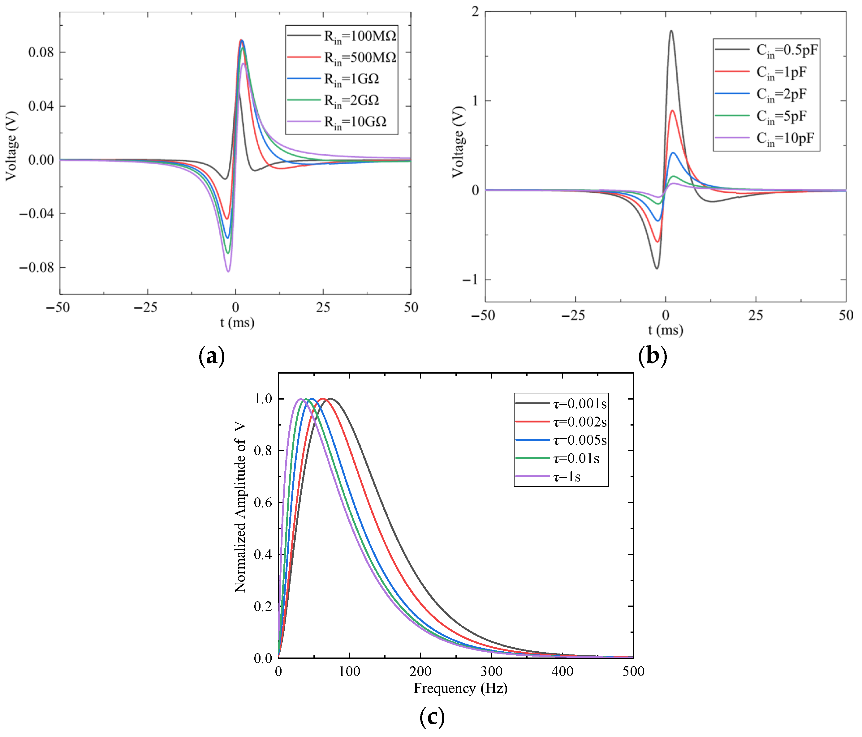
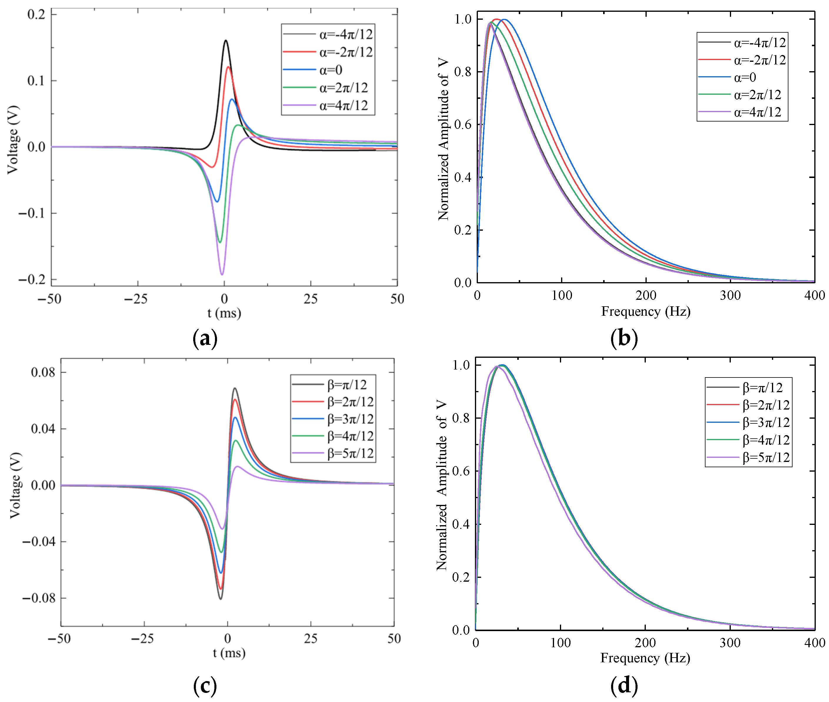
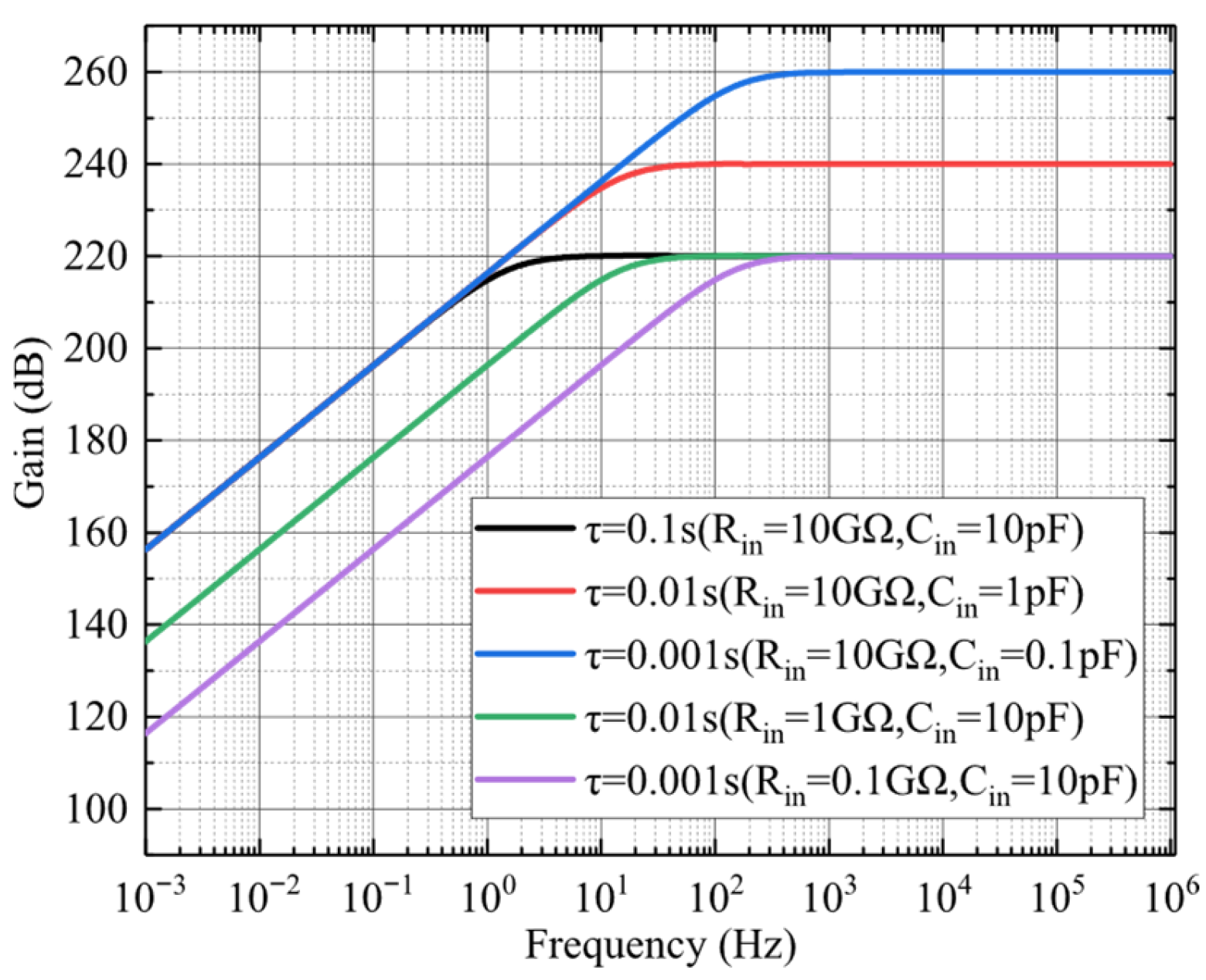
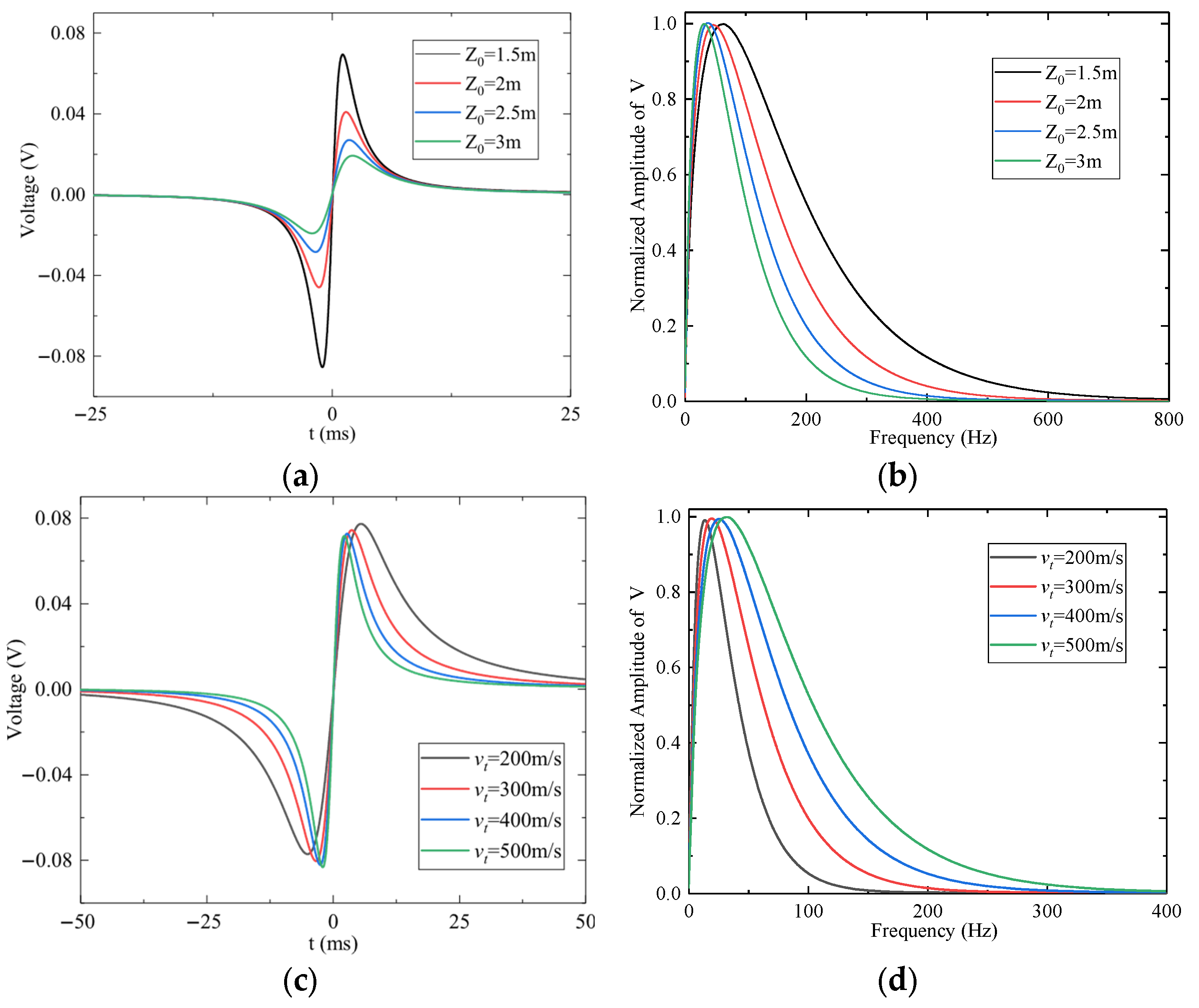
3.1. Output Signal Analysis of the Electrostatic Sensor
3.2. In-Flight Measurement Experiment of the Electrostatic Sensor
4. Conclusions
- The electrically floating electrostatic sensor with a flat-plate induction electrode exhibits both forward and backward spatial sensitivity. In the far-field region, its spatial sensitivity is symmetric with respect to the zero spatial sensitivity plane.
- The simulated signal features show good agreement with experimental measurements, with correlation coefficients exceeding 0.9. This validates the accuracy of the proposed model and the effectiveness of the modeling methodology.
- Experimental results demonstrate that the electrostatic sensor exhibits strong resistance to ground and sea clutter and can effectively detect low-altitude electrostatic targets during dynamic encounters. However, performance may be limited during powered phases due to electrostatic charging and discharging effects from rocket motor combustion and exhaust.
Author Contributions
Funding
Institutional Review Board Statement
Informed Consent Statement
Data Availability Statement
Conflicts of Interest
Appendix A
Appendix A.1. Mutual Capacitance Model of a Floating Electrostatic Sensor

Appendix A.2. Finite Element Calculation of Induced Charge
| Qs | Qm | Relative Permittivity of Air | Relative Permittivity of Epoxy Resin | |
|---|---|---|---|---|
| 1 C | 0 C | 0 C | 1 | 4.5 |


| Coordinate of Charged Object | Vs (V) | Vm (V) | Csm (pF) | q1sm (C) | Sf |
|---|---|---|---|---|---|
| (0, 1, −1) | 5.77092 × 109 | 5.80299 × 109 | 16.58532 | −5.31815 × 10−4 | 5.31815 × 10−4 |
| (0, 1, −0.8) | 6.40789 × 109 | 6.43997 × 109 | 16.58349 | −5.32037 × 10−4 | 5.32037 × 10−4 |
| (0, 1, −0.6) | 6.93841 × 109 | 6.96638 × 109 | 16.5841 | −4.63807 × 10−4 | 4.63807 × 10−4 |
| (0, 1, −0.4) | 7.25821 × 109 | 7.27655 × 109 | 16.58082 | −3.03972 × 10−4 | 3.03972 × 10−4 |
| (0, 1, −0.2) | 7.29716 × 109 | 7.30117 × 109 | 16.58233 | −6.64799 × 10−4 | 6.64799 × 10−4 |
| (0, 1, 0) | 7.04328 × 109 | 7.03163 × 109 | 16.57827 | 1.93117 × 10−4 | 1.93117 × 10−4 |
| (0, 1, 0.2) | 6.55901 × 109 | 6.53481 × 109 | 16.58197 | 4.01259 × 10−4 | 4.01259 × 10−4 |
| (0, 1, 0.4) | 5.94301 × 109 | 5.91191 × 109 | 16.58249 | 5.15732 × 10−4 | 5.15732 × 10−4 |
| (0, 1, 0.6) | 5.28939 × 109 | 5.25652 × 109 | 16.584 | 5.45085 × 10−4 | 5.45085 × 10−4 |
| (0, 1, 0.8) | 4.66207 × 109 | 4.63079 × 109 | 16.58452 | 5.18783 × 10−4 | 5.18783 × 10−4 |
| (0, 1, 1) | 4.09228 × 109 | 4.0641 × 109 | 16.58538 | 4.6736 × 10−4 | 4.6736 × 10−4 |
References
- Lee, Z.W.; Chin, W.H.; Ho, H.W. Air-to-air micro air vehicle interceptor with an embedded mechanism and deep learning. Aerosp. Sci. Technol. 2023, 135, 108192. [Google Scholar] [CrossRef]
- Pliska, M.; Vrba, M.; Báča, T.; Saska, M. Towards safe mid-air drone interception: Strategies for tracking & capture. IEEE Robot. Autom. Lett. 2024, 9, 8810–8817. [Google Scholar] [CrossRef]
- Bertocco, M.; Brighente, A.; Ciattaglia, G.; Gambi, E.; Peruzzi, G.; Pozzebon, A.; Spinsante, S. Malicious Drone Identification by Vibration Signature Measurement: A Radar-Based Approach. IEEE Trans. Instrum. Meas. 2025, 74, 8004415. [Google Scholar] [CrossRef]
- Rudinskii, A. Correlation and Spectral Analysis of Combustion Products Electrophysical Characteristics of Rocket Engines. J. Propuls. Power 2022, 38, 1009–1016. [Google Scholar] [CrossRef]
- Zhu, L.; Liu, S.-H.; Zheng, H.-Z.; Wei, M.; Hu, X.-F.; Sorokin, A. Modeling and experimental study of the mechanism of electrification from aero-engine jet. Acta Phys. Sin. 2013, 62, 225201. [Google Scholar] [CrossRef]
- Fedorov, V.A. Electrification of a rocket during its launch and motion in the atmosphere along active part of the trajectory. Cosm. Res. 2011, 49, 374–381. [Google Scholar] [CrossRef]
- He, Z.; Qin, S.; Wu, H.; Wang, B.; Gong, Y.; Chen, X. A noncontact method for UAV electrostatic charge measurement incorporating the influence of parasitic capacitance. Measurement 2025, 264, 117979. [Google Scholar] [CrossRef]
- Ter Haseborg, J.; Trinks, H. Electric Charging and Discharging Processes of Moving Projectiles. IEEE Trans. Aerosp. Electron. Syst. 1980, AES-16, 227–232. [Google Scholar] [CrossRef]
- Breton, D.J.; Lamie, N.J.; Asenath-Smith, E. Triboelectric charge variability in firearm particulates and projectiles. J. Electrost. 2017, 89, 13–19. [Google Scholar] [CrossRef]
- Yan, Y.; Hu, Y.; Wang, L.; Qian, X.; Zhang, W.; Reda, K.; Wu, J.; Zheng, G. Electrostatic sensors—Their principles and applications. Measurement 2021, 169, 108506. [Google Scholar] [CrossRef]
- Qian, X.; Zhao, J.; Huang, X. Investigations into the blockage of pulverized fuel pipes on coal-fired boilers using an electrostatic sensor system. Powder Technol. 2020, 370, 278–287. [Google Scholar] [CrossRef]
- Chen, J.; Li, D.; Wang, K.; Wang, J.; Liu, G.; Wu, F.; Wu, L.; Hui, L. Development of electrostatic induction coal dust concentration sensor based on plate-ring detection electrode. Meas. Sci. Technol. 2022, 33, 045109. [Google Scholar] [CrossRef]
- Qi, B.; Yan, Y.; Zhang, W.; Li, X. Experimental Investigations Into Bubble Characteristics in a Fluidized Bed Through Electrostatic Imaging. IEEE Trans. Instrum. Meas. 2021, 70, 9503813. [Google Scholar] [CrossRef]
- Guo, J.; Zuo, H.; Zhong, Z.; Jiang, H. Foreign object monitoring method in aero-engines based on electrostatic sensor. Aerosp. Sci. Technol. 2022, 123, 107489. [Google Scholar] [CrossRef]
- Addabbo, T.; Fort, A.; Mugnaini, M.; Panzardi, E.; Vignoli, V. Measurement System Based on Electrostatic Sensors to Detect Moving Charged Debris With Planar-Isotropic Accuracy. IEEE Trans. Instrum. Meas. 2019, 68, 837–844. [Google Scholar] [CrossRef]
- Zhang, L.; Chen, X.; Li, P.; Wang, C.; Li, M. A Method for Measuring the Height of Hand Movements Based on a Planar Array of Electrostatic Induction Electrodes. Sensors 2020, 20, 2943. [Google Scholar] [CrossRef]
- Qin, S.; Yan, J.; Chen, X.; Li, W.; Li, P.; Liu, Z. Assessing the Stability of Human Gait Based on a Human Electrostatic Field Detection System. IEEE Sens. J. 2024, 24, 11036–11047. [Google Scholar] [CrossRef]
- Hu, Y.; Yan, Y. A Wearable Electrostatic Sensor for Human Activity Monitoring. IEEE Trans. Instrum. Meas. 2022, 71, 4009410. [Google Scholar] [CrossRef]
- Man, M.; Chen, Y.; Cai, N.; Ma, G.; Wei, M. Bio-Inspired Electrostatic Detection Method for Threat Perception in Autonomous Platforms. IEEE Robot. Autom. Lett. 2025, 10, 3692–3699. [Google Scholar] [CrossRef]
- Krabicka, J.; Yan, Y. Finite-element modeling of electrostatic sensors for the flow measurement of particles in pneumatic pipelines. IEEE Trans. Instrum. Meas. 2009, 58, 2730–2736. [Google Scholar] [CrossRef]
- Xu, C.; Wang, S.; Yan, Y. Spatial Selectivity of Linear Electrostatic Sensor Arrays for Particle Velocity Measurement. IEEE Trans. Instrum. Meas. 2013, 62, 167–176. [Google Scholar] [CrossRef]
- Tajdari, T.; Rahmat, M.F.; Wahab, N.A. New technique to measure particle size using electrostatic sensor. J. Electrost. 2014, 72, 120–128. [Google Scholar] [CrossRef]
- Murnane, S.N.; Barnes, R.N.; Woodhead, S.R.; Amadi-Echendu, J.E. Electrostatic modelling and measurement of airborne particle concentration. IEEE Trans. Instrum. Meas. 1996, 45, 488–492. [Google Scholar] [CrossRef]
- Zhang, S.; Yan, Y.; Qian, X.; Hu, Y. Mathematical Modelling and Experimental Evaluation of Electrostatic Sensor Arrays for the Flow Measurement of Fine Particles in a Square-shaped Pipe. IEEE Sens. J. 2016, 16, 8531–8541. [Google Scholar] [CrossRef]
- Tang, X.; Chen, Z.; Li, Y.; Hu, Z.; Yang, Y. Theoretical analysis and finite element method simulations on dynamic sensitivity of hemisphere-shaped electrostatic sensors. Adv. Mech. Eng. 2016, 8, 1–16. [Google Scholar] [CrossRef]
- Xu, C.; Li, J.; Gao, H.; Wang, S. Investigations into sensing characteristics of electrostatic sensor arrays through computational modelling and practical experimentation. J. Electrost. 2012, 70, 60–71. [Google Scholar] [CrossRef]
- Hu, Y.; Yan, Y.; Yang, Y. A comparative study of the preamplifiers in electrostatic sensors through analytical modeling and experimental evaluation. IEEE Trans. Instrum. Meas. 2022, 71, 1–10. [Google Scholar] [CrossRef]
- He, Z.; Qin, S.; Wu, J.; Qiao, Y.; Li, P.; Chen, X. A Non-contact Method for Measuring the Charge of a Moving Object Based on Mutual Capacitance Matrix. IEEE Sens. J. 2025, 25, 6940–6951. [Google Scholar] [CrossRef]
- Spinelli, E.; Haberman, M. Insulating electrodes: A review on biopotential front ends for dielectric skin–electrode interfaces. Physiol. Meas. 2010, 31, S183. [Google Scholar] [CrossRef]
- Sun, Y.; Yu, X.B. Capacitive biopotential measurement for electrophysiological signal acquisition: A review. IEEE Sens. J. 2016, 16, 2832–2853. [Google Scholar] [CrossRef]
- Lekner, J. Capacitance coefficients of two spheres. J. Electrost. 2011, 69, 11–14. [Google Scholar] [CrossRef]




















| Diameter of Electrode | Diameter of the Model | Height of the Model |
|---|---|---|
| 60 mm | 100 mm | 355 mm |
Disclaimer/Publisher’s Note: The statements, opinions and data contained in all publications are solely those of the individual author(s) and contributor(s) and not of MDPI and/or the editor(s). MDPI and/or the editor(s) disclaim responsibility for any injury to people or property resulting from any ideas, methods, instructions or products referred to in the content. |
© 2025 by the authors. Licensee MDPI, Basel, Switzerland. This article is an open access article distributed under the terms and conditions of the Creative Commons Attribution (CC BY) license (https://creativecommons.org/licenses/by/4.0/).
Share and Cite
Xia, R.; Shi, H.; Ma, S.; Li, F.; Yang, Y.; Zhang, H. Modeling and Validation of Electrostatic Sensing for UAV Targets in High-Dynamic Encounter Scenarios. Sensors 2025, 25, 5107. https://doi.org/10.3390/s25165107
Xia R, Shi H, Ma S, Li F, Yang Y, Zhang H. Modeling and Validation of Electrostatic Sensing for UAV Targets in High-Dynamic Encounter Scenarios. Sensors. 2025; 25(16):5107. https://doi.org/10.3390/s25165107
Chicago/Turabian StyleXia, Rongxiang, Huifa Shi, Shaojie Ma, Feiyin Li, Yuxin Yang, and He Zhang. 2025. "Modeling and Validation of Electrostatic Sensing for UAV Targets in High-Dynamic Encounter Scenarios" Sensors 25, no. 16: 5107. https://doi.org/10.3390/s25165107
APA StyleXia, R., Shi, H., Ma, S., Li, F., Yang, Y., & Zhang, H. (2025). Modeling and Validation of Electrostatic Sensing for UAV Targets in High-Dynamic Encounter Scenarios. Sensors, 25(16), 5107. https://doi.org/10.3390/s25165107

