The Application of a Simple Synthesis Process to Obtain Trirutile-Type Cobalt Antimonate Powders and the Study of Their Electrical Properties in Propane Atmospheres for Use in Gas Sensors
Abstract
1. Introduction
2. Materials and Methods
2.1. Synthesis of CoSb2O6 Powders
2.2. Microstructural Characterization
2.3. Optical Characterization
2.4. Fabrication of the CoSb2O6 Sensor
3. Results
3.1. XRD Analysis
3.2. SEM Analysis
3.3. TEM Analysis
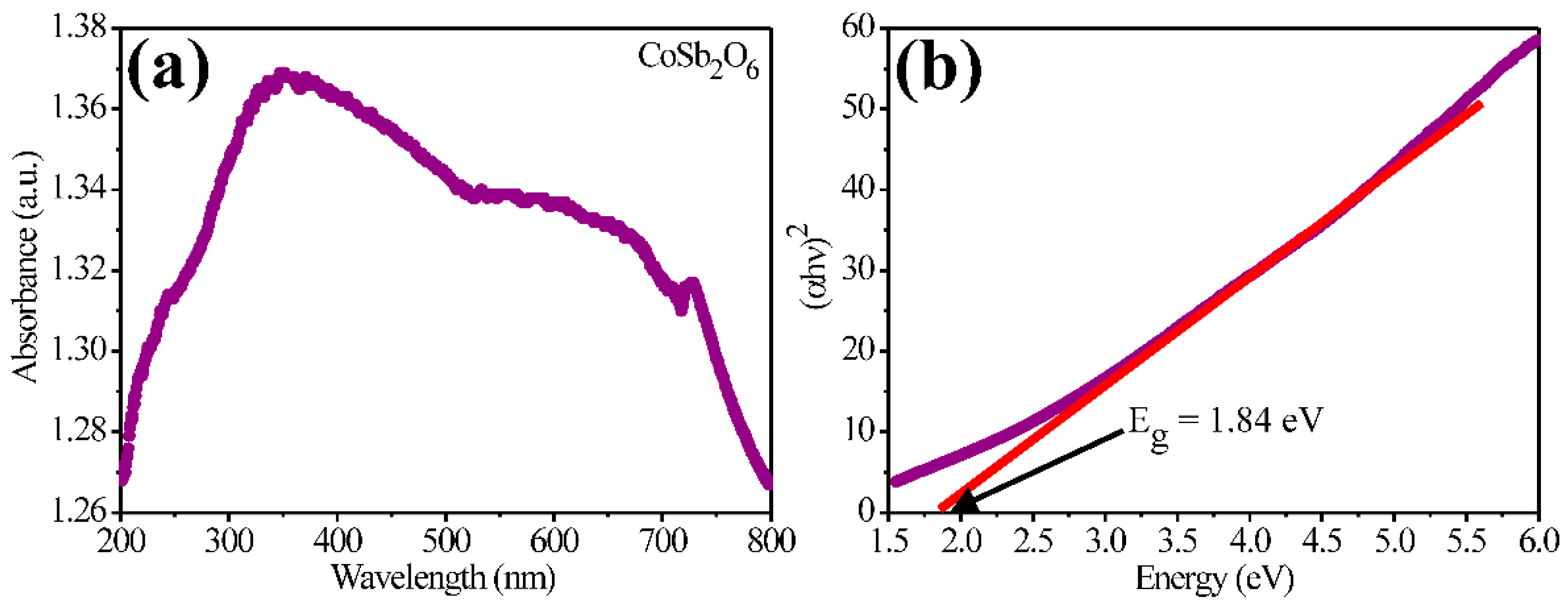
3.4. UV-Vis Analysis
3.5. Raman Analysis
3.6. Gas Sensing Properties in Propane
3.7. Detection Mechanism
4. Discussion
5. Conclusions
Author Contributions
Funding
Institutional Review Board Statement
Informed Consent Statement
Data Availability Statement
Acknowledgments
Conflicts of Interest
References
- Jana, R.; Hajra, S.; Rajaitha, P.M.; Mistewicz, K.; Kim, H.J. Recent advances in multifunctional materials for gas sensing applications. J. Environ. Chem. Eng. 2022, 10, 108543. [Google Scholar] [CrossRef]
- Tladi, B.C.; Kroon, R.E.; Swart, H.C.; Motaung, D.E. A holistic review on the recent trends, advances, and challenges for high-precision room temperature liquefied petroleum gas sensors. Anal. Chim. Acta 2023, 1253, 341033. [Google Scholar] [CrossRef]
- Kowsuki, K.; Navamathavan, R. Facile synthesis and characterizations of Mn-doped nickel cobalt oxide nanoparticles with improved electrochemical performance for energy storage applications. Surf. Interfaces 2025, 56, 105641. [Google Scholar] [CrossRef]
- Fu, Y.; Nie, Y.; Zhao, Y.; Wang, P.; Xing, L.; Zhang, Y.; Xue, X. Detecting Liquefied Petroleum Gas (LPG) at Room Temperature Using ZnSnO3/ZnO Nanowire Piezo-Nanogenerator as Self-Powered Gas Sensor. ACS Appl. Mater. Interfaces 2015, 7, 10482–10490. [Google Scholar] [CrossRef] [PubMed]
- Ramírez-Ortega, J.A.; Guillén-Bonilla, H.; Guillén-Bonilla, A.; Rodríguez-Betancourt, V.M.; Sánchez-Martínez, A.; Guillén-Bonilla, J.-T.; Gildo-Ortiz, L.; Huízar-Padilla, E.; Reyes-Gómez, J. Synthesis of the oxide NiSb2O6 and its electrical characterization in toxic atmospheres for its application as a gas sensor. J. Mater. Sci. Mater. Electron. 2022, 33, 18268–18283. [Google Scholar] [CrossRef]
- Terna, A.D.; Elemike, E.E.; Mbonu, J.I.; Osafile, O.E.; Ezeani, R.O. The future of semiconductor nanoparticles: Synthesis, properties, and applications. Mater. Sci. Engl. B 2021, 272, 115363. [Google Scholar] [CrossRef]
- Huston, M.; DeBella, M.; DiBella, M.; Gupta, A. Green Synthesis of Nanomaterials. Nanomaterials 2021, 11, 2130. [Google Scholar] [CrossRef] [PubMed]
- Lite, M.C.; Constantinescu, R.; Tănăsescu, E.C.; Kuncser, A.; Romanițan, C.; Mihaiescu, D.E.; Lacatusu, I.; Badea, N. Phytochemical Synthesis of Silver Nanoparticles and Their Antimicrobial Investigation on Cotton and Wool Textiles. Materials 2023, 16, 3924. [Google Scholar] [CrossRef]
- Butt, M.A. Loop-Terminated Mach–Zehnder Interferometer Integrated with Functional Polymer for CO2 Gas Sensing. Appl. Sci. 2024, 14, 4714. [Google Scholar] [CrossRef]
- Michel, C.R.; López-Contreras, N.L.; López-Alvarez, M.A.; Martínez-Preciado, A.H. Gas selectivity of nanostructured ZnSb2O6 synthesized by a colloidal method. Sens. Actuators B Chem. 2012, 171–172, 686–690. [Google Scholar] [CrossRef]
- Singh, S.; Singh, A.; Sing, A.; Rathore, S.; Yadav, B.C.; Tandon, P. Nanostructured cobalt antimonate: A fast responsive and highly stable sensing material for liquefied petroleum gas detection at room temperature. RSC Adv. 2020, 10, 33770–33781. [Google Scholar] [CrossRef]
- Guillén-Bonilla, H.; Gildo-Ortiz, L.; Olvera-Amador, M.L.; Santoyo-Salazar, J.; Rodríguez-Betancourtt, V.M.; Guillen-Bonilla, A.; Reyes-Gómez, J. Response of Mesoporous CoSb2O6 Nanoparticles to Gaseous CO and C3H8 at Low Temperatures. J. Nanomater. 2015, 2015, 308465. [Google Scholar] [CrossRef]
- More, M.A.; More, S.A.; Femi, M.D.; Jain, G.H.; Shinde, S.D.; Patil, Y.D.; Kajale, D.D.; Patil, G.E. Hydrothermally synthesized nanostructured NiTiO3 thick films for H2S and room temperature CO2 gas sensing. J. Mater. Sci. Mater. Electron. 2024, 35, 1706. [Google Scholar] [CrossRef]
- Morán-Lázaro, J.P.; Courel-Piedrahita, M.; Guillén-Bonilla, A.; López-Urías, F.; Guillén-Bonilla, H.; Soto-García, V.M.; Palafox-Corona, A.; Hernández-Poot, D.A. A Novel Sensor for the Detection of n-Butanol Based on CoMn2O4 Nanoparticles. Electron. Mater. Lett. 2024, 20, 610–620. [Google Scholar] [CrossRef]
- Michel, C.R.; Guillén-Bonilla, H.; Martínez-Preciado, A.H.; Morán-Lázaro, J.P. Synthesis and gas sensing properties of nanostructured CoSb2O6 microspheres. Sens. Actuators B Chem. 2009, 143, 278–285. [Google Scholar] [CrossRef]
- Guillén-Bonilla, H.; Guillén-Bonilla, J.T.; Rodríguez-Betancourtt, V.-M.; Ramírez-Ortega, J.A.; Morán Lázaro, J.P.; Guillén-Bonilla, A. Synthesis and Sensing Response of Magnesium Antimoniate Oxide (MgSb2O6) in the Presence of Propane Atmospheres at Different Operating Voltages. Sensors 2024, 24, 2147. [Google Scholar] [CrossRef]
- Jamal, A.; Rahman, M.M.; Khan, S.B.; Faisal, M.; Akhtar, K.; Rub, M.A.; Asiri, A.M.; Al-Youbi, A.O. Cobalt doped antimony oxide nano-particles based chemical sensor and photo-catalyst for environmental pollutants. Appl. Surf. Sci. 2012, 261, 52–58. [Google Scholar] [CrossRef]
- Arunkumar, N.; Naraginti, S. Facile synthesis of nanostructured trirutile antimonates M(II)Sb2O6 (M = Co, Cu, Ni, Fe) and its visible photocatalytic studies. Inorg. Nano-Met. Chem. 2022, 52, 151–160. [Google Scholar] [CrossRef]
- Haeuseler, H. Infrared and Raman spectra and normal coordinate calculations on trirutile-type compounds. Spectrochim. Acta Part A Mol. Spectrosc. 1981, 37, 487–495. [Google Scholar] [CrossRef]
- Larcher, D.; Prakash, A.S.; Laffont, L.; Womes, M.; Jumas, J.C.; Olivier-Fourcade, J.; Hedge, M.S.; Tarascon, J.M. Reactivity of antimony oxides and MSb2O6 M = (Cu, Ni, Co), trirutile-type phases with metallic lithium. J. Electrochem. Soc. 2006, 153, A1778–A1787. [Google Scholar] [CrossRef]
- Ham, K.; Hong, S.; Kang, S.; Cho, K.; Lee, J. Extensive Active-Site Formation in Trirutile CoSb2O6 by Oxygen Vacancy for Oxygen Evolution Reaction in Anion Exchange Membrane Water Splitting. ACS Energy Lett. 2021, 6, 364–370. [Google Scholar] [CrossRef]
- Singh, S.; Singh, A.; Singh, A.; Tandon, P. A stable and highly sensitive room-temperature liquefied petroleum gas sensor based on nanocubes/cuboids of zinc antimonate. RSC Adv. 2020, 10, 20349–20357. [Google Scholar] [CrossRef] [PubMed]
- Sunku, M.; Gundeboina, R.; Shilpa-Chakra, C.H.; Kaniki-Reddy, V.; Vithal, M. Preparation, characterization and photocatalytic activity studies of C- and N- doped CoSb2O6. Inorg. Chem. Commun. 2021, 134, 109064. [Google Scholar] [CrossRef]
- Vanzetti, F.; Guzmán, H.; Hernández, S. Solid-State Reaction Synthesis of CoSb2O6-Based Electrodes Towards Oxygen Evolution Reaction in Acidic Electrolytes: Effects of Calcination Time and Temperature. Catalysts 2025, 15, 68. [Google Scholar] [CrossRef]
- Nikulin, A.Y.; Zvereva, E.A.; Nalbandyan, V.B.; Shukaev, I.L.; Kurbakov, A.I.; Kuchugura, M.D.; Raganyan, G.V.; Popov, Y.V.; Ivanchenko, V.D.; Vasiliev, A.N. Preparation and characterization of metastable trigonal layered MSb2O6 phases (M = Co, Ni, Cu, Zn, and Mg) and considerations on FeSb2O6. Dalton Trans. 2017, 46, 6059–6068. [Google Scholar] [CrossRef]
- Michel, C.R.; Martínez-Preciado, A.H.; Morán-Lázaro, J.P. Effect of the frequency on the gas sensing response of CoSb2O6 prepared by a colloidal method. Sens. Actuators B Chem. 2009, 140, 149–154. [Google Scholar] [CrossRef]
- Chen, J.; Tang, M.; Wang, G.; Liu, L.; Hu, X.; Liao, H.; Hu, X. Facile preparation of CoSb2O6/rGO composite as the anode material of lithium-ion batteries, Materials Letters. Mater. Lett. 2024, 354, 135346. [Google Scholar] [CrossRef]
- Wang, C.; Yin, L.; Zhang, L.; Xiang, D.; Gao, R. Metal oxides gas sensors: Sensitivity and influencing factors. Sensors 2010, 10, 2088–2106. [Google Scholar] [CrossRef]
- Yang, S.; Lei, G.; Xu, H.; Lan, Z.; Wang, Z.; Gu, H. Metal Oxide Based Heterojunctions for Gas Sensors: A Review. Nanomaterials 2021, 11, 1026. [Google Scholar] [CrossRef]
- Mizoguchi, H.; Woodward, P.M. Electronic structure studies of main group oxides possessing edge-sharing octahedra: Implications for the design of transparent conducting oxides. Chem. Mat. 2004, 16, 5233–5248. [Google Scholar] [CrossRef]
- Michel, C.R.; Martínez, A.H.; Jiménez, S. Gas sensing response of nanostructured trirutile-type CoSb2O6 synthesized by solution-polymerization method. Sens. Actuators B Chem. 2008, 132, 45–51. [Google Scholar] [CrossRef]
- Jocić, M.; Dašić, M.; Holl, K.; Ilić, D.; Mentus, S. Gel-combustion synthesis of CoSb2O6 and its reduction to powdery Sb2Co alloy. J. Serb. Chem. Soc. 2009, 74, 53–60. [Google Scholar] [CrossRef]
- Wang, X.; Li, Y. Solution-based synthetic strategies for 1-D. nanostructures. Inorg. Chem. 2006, 45, 7522–7534. [Google Scholar] [CrossRef]
- Gorbunov, V.V.; Shidlovskii, A.A.; Shmagin, L.F. Combustion of transition-metal ethylenediamine nitrates. Combust. Explos. Shock. Waves 1983, 19, 172–173. [Google Scholar] [CrossRef]
- Makuła, P.; Pacia, M.; Macyk, W. How To Correctly Determine the Band Gap Energy of Modified Semiconductor Photocatalysts Based on UV-Vis Spectra. J. Phys. Chem. Lett. 2018, 9, 6814–6817. [Google Scholar] [CrossRef] [PubMed]
- Balamurugan, C.; Maheswari, A.R.; Lee, D.W. Structural, optical, and selective ethanol sensing properties of p-type semiconducting CoNb2O6 nanopowder. Sens. Actuators B Chem. 2014, 205, 289–297. [Google Scholar] [CrossRef]
- Shur, M. Wide band gap semiconductor technology: State-of-the-art. Solid-State Electron. 2019, 155, 65–75. [Google Scholar] [CrossRef]
- Atri, S.; Uma, S.; Nagarajan, R. Magnetic and photocatalytic properties of nano-sized sulfur-doped trirutile oxide, CuSb2O6. Mater. Sci. Semicond. Process. 2020, 119, 105226. [Google Scholar] [CrossRef]
- NOAA’s Office of Response and Restoration. CAMEO Chemicals. Available online: https://cameochemicals.noaa.gov/search/simple (accessed on 2 March 2025).
- Gardner, D.E.; Bishop, E.C.; Chi-Chen, L.; Dixit, R.; Gabrielson, K.L.; Johason, G.; Kelly, D.P.; Macys, D.A.; Morandi, M.T.; Oesch, F.; et al. Acute Exposure Guideline Levels for Selected Airborne Chemicals; National Academy of Sciences: Washington, DC, USA, 2012; Volume 12, pp. 1–100. [Google Scholar]
- Arshak, K.; Moore, E.; Lyons, G.M.; Harris, J.; Clifford, S. A review of gas sensors employed in electronic nose applications. Sens. Rev. 2004, 24, 181–198. [Google Scholar] [CrossRef]
- Cavallari, M.R.; Pastrana, L.M.; Sosa, C.D.F.; Marquina, A.M.R.; Izquierdo, J.E.E.; Fonseca, F.J.; Amorim, C.A.d.; Paterno, L.G.; Kymissis, I. Organic Thin-Film Transistors as Gas Sensors: A Review. Materials 2021, 14, 3. [Google Scholar] [CrossRef]
- Kim, H.J.; Lee, J.H. Highly sensitive and selective gas sensors using p-type oxide semiconductors: Overview. Sens. Actuators B Chem. 2014, 192, 607–627. [Google Scholar] [CrossRef]
- Wetchakun, K.; Samerjai, T.; Tamaekong, N.; Liewhiran, C.; Siriwong, C.; Kruefu, V.; Wisitsoraat, A.; Tuantranont, A.; Phanichphant, S. Semiconducting metal oxides as sensors for environmentally hazardous gases. Sens. Actuators B Chem. 2011, 160, 580–591. [Google Scholar] [CrossRef]
- Guillén-Bonilla, A.; Guillén-Bonilla, J.T.; Guillén-Bonilla, H.; Huízar-Padilla, E.; Casillas-Zamora, A.; Olvera-Amador, M.L.; Rodríguez-Betancourtt, V.M. A theoretical and experimental study on the dynamic response in propane atmospheres of sensors made from trirutile magnesium antimonate powders. J. Mater. Sci. Mater. Electron. 2024, 35, 1849. [Google Scholar] [CrossRef]
- Juárez-Amador, L.I.; Guillén-Bonilla, H.; Guillén-Bonilla, A.; Guillén-Bonilla, J.T.; Morales-Bautista, J.; Casillas-Zamora, A.; Rodríguez-Betancourtt, V.M.; Olvera-Amador, M.L. Photocatalytic and sensing properties in propane atmospheres of MgSb2O6 nanoparticles synthesized by a chemical method. J. Mater. Sci. Mater. Electron. 2024, 35, 1857. [Google Scholar] [CrossRef]
- Panneer-Selvam, G.K.; Olvera Amador, M.L.; Maldonado-Álvarez, A. Gas sensing capabilities of sol-gel dip-coated pure SnO2 thin films for CO and C3H8 detection. J. Mater. Sci. Mater. Electron. 2024, 35, 1621. [Google Scholar] [CrossRef]
- Rydosz, A.; Szkudlarek, A. Gas-Sensing Performance of M-Doped CuO-Based Thin Films Working at Different Temperatures upon Exposure to Propane. Sensors 2015, 15, 20069–20085. [Google Scholar] [CrossRef]
- Gao, X.; Chen, Y.; Xu, P.; Zheng, D.; Li, X. γ-Fe2O3-Based MEMS Gas Sensor for Propane Detection. Electronics 2025, 14, 1050. [Google Scholar] [CrossRef]
- Shooshtari, M.; Vollebregt, S.; Vaseghi, Y.; Rajati, M.; Pahlavan, S. The sensitivity enhancement of TiO2-based VCOs Sensor decorated by gold at room temperature. Nanotecchnology 2023, 34, 255501. [Google Scholar] [CrossRef]
- Shooshtari, M. Gold-decorated vertically aligned carbon nanofibers for high-performance room-temperature ethanol sensing. Microchim. Acta 2025, 192, 517. [Google Scholar] [CrossRef]
- Yin, Y.; Shen, Y.; Zhou, P.; Lu, R.; Li, A.; Zhao, S.; Liu, W.; Wei, D.; Wei, K. Fabrication, characterization and n-propanol sensing properties of perovskite-type ZnSnO3 nanospheres based gas sensor. Appl. Surf. Sci. 2020, 509, 146335. [Google Scholar] [CrossRef]
- Almaev, A.V.; Kopyev, V.V.; Novikov, V.A.; Chikiryaka, A.V.; Yakovlev, N.N.; Usseinov, A.B.; Karipbayev, Z.T.; Akilbekov, A.T.; Koishybayeva, Z.K.; Popov, A.I. ITO Thin Films for Low-Resistance Gas Sensors. Materials 2023, 16, 342. [Google Scholar] [CrossRef]
- Meena, D.; Jain, M.; Bhatnagar, M.C. Resistive gas sensors based on nanostructured ternary metal oxide: A review. J. Mater. Sci. 2024, 59, 12177–12218. [Google Scholar] [CrossRef]
- Ananya, D. Semiconductor metal oxide gas sensors: A review. Mater. Sci. Engl. B 2018, 229, 206–217. [Google Scholar] [CrossRef]
- Regmi, G.; Rohini, M.; Reyes-Figueroa, P.; Maldonado, A.; Olvera, M.L.; Velumani, S. Deposition and characterization of ultrathin intrinsic oxide (i-ZnO) films by radio frequency (RF) sputtering for propane gas sensing application. J. Mater. Sci: Mater. Electron. 2018, 29, 15682–15692. [Google Scholar] [CrossRef]
- Bharati, K.; Tiwari, P.R.; Singh, R.P.; Singh, A.; Yadav, B.C.; Singh, M.P.; Kumar, S. Synthesis of bismuth-doped praseodymium ortho ferrite nanomaterials for LPG sensing. Appl. Nanosci. 2024, 14, 277–289. [Google Scholar] [CrossRef]
- Aishwarya, K.; Nirmala, R.; Navamathavan, R. Recent advancements in liquefied petroleum gas sensors: A topical review. Sens. Int. 2021, 2, 100091. [Google Scholar] [CrossRef]
- Mostafa, S.; Alireza, S. An electronic nose based on carbon nanotube -titanium dioxide hybrid nanostructures for detection and discrimination of volatile organic compounds. Sens. Actuators B Chem. 2022, 357, 131418. [Google Scholar] [CrossRef]
- Karthik, T.V.K.; Olvera-Amador, M.L.; Maldonado, A.; Hernandez, A.G.; Gómes-Pozos, H. Propane gas-sensing properties of pure and Pd-doped tin oxide nanostructures. J. Mater. Sci. Mater. Electron. 2023, 34, 228. [Google Scholar] [CrossRef]
- Norizan, M.N.; Abdullah, N.; Halim, N.A.; Demon, S.Z.N.; Mohamad, I.S. Heterojunctions of rGO/Metal Oxide Nanocomposites as Promising Gas-Sensing Materials—A Review. Nanomater 2022, 12, 2278. [Google Scholar] [CrossRef] [PubMed]
- Nadargi, D.Y.; Umar, A.; Nadargi, J.D.; Lokare, S.A.; Mulla, I.S.; Suryavanshi, S.S.; Chaskar, M.G. Gas sensors and factors influencing sensing mechanism with a special focus on MOS sensors. J. Mater. Sci. 2023, 58, 559. [Google Scholar] [CrossRef]
- Pasupuleti, K.S.; Chougule, S.S.; Vidyasagar, D.; Bak, N.; Jung, N.; Kim, Y.H.; Lee, J.H.; Kim, S.G.; Kim, M.D. UV light driven high-performance room temperature surface acoustic wave NH3 gas sensor using sulfur-doped g-C3N4 quantum dots. Nano Res. 2023, 16, 7682–7695. [Google Scholar] [CrossRef]
- Senanayak, S.P.; Dey, K.; Shivanna, R.; Li, W.; Ghosh, D.; Zhang, Y.; Roose, B.; Zelewski, S.J.; Andaji-Garmaroudi, Z.; Wood, W.; et al. Charge transport in mixed metal halide perovskite semiconductors. Nat. Mater. 2023, 22, 216–224. [Google Scholar] [CrossRef]
- Bruevich, V.; Patel, Y.; Singer, J.P.; Podzorov, V. Significant Joule self-heating pervasive in the emergent thin-film transistor studies. J. Mater. Chem. C 2024, 12, 17802. [Google Scholar] [CrossRef]
- Liu, Y.; Ma, Y.; Yu, Z.; Lou, S.; Qu, Y.; Chang, Y. An Investigation into the Comprehensive Impact of Self-Heating and Hot Carrier Injection. Electronics 2022, 11, 2753. [Google Scholar] [CrossRef]
- Chakraborty, S.; Amir, W.; Shin, J.-W.; Shin, K.-Y.; Cho, C.-Y.; Kim, J.-M.; Hoshi, T.; Tsutsumi, T.; Sugiyama, H. Explicit Thermal Resistance Model of Self-Heating Effects of AlGaN/GaN HEMTs with Linear and Non-Linear Thermal Conductivity. Materials 2022, 15, 8415. [Google Scholar] [CrossRef] [PubMed]
- Pop, E. Energy dissipation and transport in nanoscale devices. Nano Res. 2010, 3, 147–169. [Google Scholar] [CrossRef]












| Vibrational Mode | Experimental Frequency (cm−1) | Theoretical Frequency (cm−1) | Assignation | References |
|---|---|---|---|---|
| B2g | 194 | 197–200 | M2+–O vibration | [19] |
| Eg | 478 | 474 | Symmetric O–Sb–O bending | [38] |
| B1g | 521 | 510–521 | Flexion asimétrica Sb-O | [18,21] |
| A1g | 617 | 643–644 | Asymmetric Sb2–O10 bending | [18,38] |
| Alg | 681 | 657 | Symmetric stretching of SbO6 | [19,21] |
| A1g | 727 | 711–730 | Sb–Ob–Sb | [18,19,21,38] |
| Temperature (°C) | Voltage (V) | ΔR (MΩ) | Response Time (s) | Recovery Time (s) | Response (%) |
|---|---|---|---|---|---|
| 300 | 1 | 11.0 | 196.5 | 304.1 | 17.3 |
| 3 | 9.9 | 201.1 | 336.2 | 16.5 | |
| 6 | 7.9 | 213.4 | 316.8 | 14.9 | |
| 9 | 6.1 | 200.8 | 383.1 | 14.0 | |
| 12 | 5.2 | 206.5 | 318.4 | 13.4 |
| Oxide Metal | Nanomorphology | Gas | Concentration (ppm) | Temperature (°C) | Gas Response | References |
|---|---|---|---|---|---|---|
| NiSb2O6 | Microrods | CO2 | 13,500 | 360 | 2.97% | [5] |
| C3H8 | 500 | 360 | 6.69% | [5] | ||
| ZnSb2O6 | Nano-cubes | CO2 | 5000 | 27 | 1.46% | [22] |
| Cuboids | ||||||
| MgSb2O6 | Nanoparticles | C3H8 | 560 | 400 | 13.3% | [45] |
| SnO2 | Thin film | C3H8 | 500 | 300 | 7.97 | [47] |
| Au:CuO | Thin film | C3H8 | 100 (RH:50%) | 250 | 2.5 | [48] |
| Cr:CuO | Thin film | C3H8 | 100 (RH:50%) | 250 | 4.25 | [48] |
| γ-Fe2O3 | Nanoparticles | C3H8 | 100 | 300 | 13.74 | [49] |
| Au/TiO2 | Nanoparticles | Acetone | 50 | RT | 1.13 | [50] |
| Au/CNF | Nanofibers | Ethanol | 1 | RT | 2% | [51] |
| ZnSnO3 | Nanospheres | n-Propanol | 10 | 200 | 10.3 | [52] |
| CoSb2O6 | Nanostructures | C3H8 | 3582 | 300 | 17.3% | This work |
| 3701 | 300 | 16.5% | This work |
Disclaimer/Publisher’s Note: The statements, opinions and data contained in all publications are solely those of the individual author(s) and contributor(s) and not of MDPI and/or the editor(s). MDPI and/or the editor(s) disclaim responsibility for any injury to people or property resulting from any ideas, methods, instructions or products referred to in the content. |
© 2025 by the authors. Licensee MDPI, Basel, Switzerland. This article is an open access article distributed under the terms and conditions of the Creative Commons Attribution (CC BY) license (https://creativecommons.org/licenses/by/4.0/).
Share and Cite
Juárez Amador, L.I.; Guillén Bonilla, H.; Guillén Bonilla, A.; Guillén Bonilla, J.T.; Rodríguez Betancourtt, V.M.; Ramírez Ortega, J.A.; Zamora, A.C.; Huizar Padilla, E. The Application of a Simple Synthesis Process to Obtain Trirutile-Type Cobalt Antimonate Powders and the Study of Their Electrical Properties in Propane Atmospheres for Use in Gas Sensors. Coatings 2025, 15, 952. https://doi.org/10.3390/coatings15080952
Juárez Amador LI, Guillén Bonilla H, Guillén Bonilla A, Guillén Bonilla JT, Rodríguez Betancourtt VM, Ramírez Ortega JA, Zamora AC, Huizar Padilla E. The Application of a Simple Synthesis Process to Obtain Trirutile-Type Cobalt Antimonate Powders and the Study of Their Electrical Properties in Propane Atmospheres for Use in Gas Sensors. Coatings. 2025; 15(8):952. https://doi.org/10.3390/coatings15080952
Chicago/Turabian StyleJuárez Amador, Lucía Ivonne, Héctor Guillén Bonilla, Alex Guillén Bonilla, José Trinidad Guillén Bonilla, Verónica María Rodríguez Betancourtt, Jorge Alberto Ramírez Ortega, Antonio Casillas Zamora, and Emilio Huizar Padilla. 2025. "The Application of a Simple Synthesis Process to Obtain Trirutile-Type Cobalt Antimonate Powders and the Study of Their Electrical Properties in Propane Atmospheres for Use in Gas Sensors" Coatings 15, no. 8: 952. https://doi.org/10.3390/coatings15080952
APA StyleJuárez Amador, L. I., Guillén Bonilla, H., Guillén Bonilla, A., Guillén Bonilla, J. T., Rodríguez Betancourtt, V. M., Ramírez Ortega, J. A., Zamora, A. C., & Huizar Padilla, E. (2025). The Application of a Simple Synthesis Process to Obtain Trirutile-Type Cobalt Antimonate Powders and the Study of Their Electrical Properties in Propane Atmospheres for Use in Gas Sensors. Coatings, 15(8), 952. https://doi.org/10.3390/coatings15080952

