Sign in to use this feature.

Years

Between: -

Subjects

remove_circle_outline
remove_circle_outline
remove_circle_outline
remove_circle_outline
remove_circle_outline
remove_circle_outline
remove_circle_outline
remove_circle_outline
remove_circle_outline

Journals

remove_circle_outline
remove_circle_outline
remove_circle_outline
remove_circle_outline
remove_circle_outline
remove_circle_outline
remove_circle_outline
remove_circle_outline
remove_circle_outline
remove_circle_outline
remove_circle_outline
remove_circle_outline

Article Types

Countries / Regions

remove_circle_outline
remove_circle_outline
remove_circle_outline
remove_circle_outline
remove_circle_outline
remove_circle_outline

Search Results (574)

Search Parameters:
Keywords = ecological behaviours

Order results
Result details
Results per page
Select all
Export citation of selected articles as:
18 pages, 1616 KB  
Article
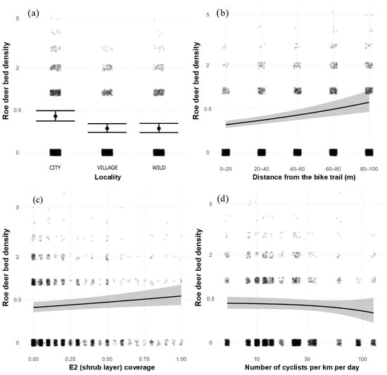
Effects of Bike Trails on Roe Deer and Wild Boar Habitat Use in Forested Landscapes
by Ondřej Mikulka, Petr Pyszko, Jiří Kamler, Jakub Drimaj, Radim Plhal and Miloslav Homolka
Sustainability 2026, 18(2), 1030; https://doi.org/10.3390/su18021030 - 19 Jan 2026
Abstract
Outdoor recreational activities, particularly cycling and mountain biking, are rapidly expanding in forested landscapes, raising concerns about their effects on wildlife. Although bike trails are increasingly common, their ecological impacts on large mammals remain insufficiently studied. We investigated how bike trail use influences [...] Read more.
Outdoor recreational activities, particularly cycling and mountain biking, are rapidly expanding in forested landscapes, raising concerns about their effects on wildlife. Although bike trails are increasingly common, their ecological impacts on large mammals remain insufficiently studied. We investigated how bike trail use influences the abundance and spatial behaviour of roe deer (Capreolus capreolus) and wild boar (Sus scrofa) in three contrasting forest environments in the Czech Republic. We surveyed roe deer raking and bedding sites and wild boar rooting along 734 transects positioned perpendicular to bike trails, monitored cyclist activity using automated counters, and recorded habitat characteristics. Generalized linear mixed models were used to evaluate the effects of trail proximity, cycling intensity, and vegetation structure. Cycling intensity did not influence overall species abundance; however, roe deer consistently avoided resting close to trails, leading to a measurable loss of potential resting habitat. Roe deer raking decreased with higher cycling intensity at the most remote site, while wild boar rooting was driven primarily by vegetation structure. These findings demonstrate that even low-intensity recreation can alter wildlife behaviour. We recommend maintaining unmanaged buffer zones along trails to provide refuge and reduce disturbance. Our results offer guidance for sustainable trail planning in forest ecosystems. Our conclusions are based on sign surveys collected during one growing season and quantify spatial responses up to 100 m from trails; diel activity, detectability, and seasonal variation were not directly assessed. Full article
Show Figures

Figure 1

30 pages, 751 KB  
Hypothesis
Bonded Green Exercise: A One Health Framework for Shared Nature-Based Physical Activity in the Human–Dog Dyad
by Krista B. Halling, Mark Bowden, Jules Pretty and Jennifer Ogeer
Animals 2026, 16(2), 291; https://doi.org/10.3390/ani16020291 - 16 Jan 2026
Viewed by 155
Abstract
Modern lifestyles are increasingly plagued by physical inactivity, social disconnection, digital addiction, and excessive time indoors—factors that negatively impact the health and well-being of both humans and their companion dogs (Canis familiaris). Evidence shows that nature exposure, physical activity, and human–animal [...] Read more.
Modern lifestyles are increasingly plagued by physical inactivity, social disconnection, digital addiction, and excessive time indoors—factors that negatively impact the health and well-being of both humans and their companion dogs (Canis familiaris). Evidence shows that nature exposure, physical activity, and human–animal bond (HAB) each enhance physical, mental, and social well-being, yet these domains have rarely been examined together as an integrated therapeutic triad. We introduce a new conceptual framework of bonded green exercise, defined as shared physical activity between a bonded human and dog in natural environments. Synthesizing existing evidence across human and canine sciences into a testable conceptual integration, we posit that bonded green exercise may plausibly activate evolutionarily conserved, synergistic mechanisms of physiological, behavioural, and affective co-regulation. Four testable hypotheses are proposed: (H1) triadic synergy: combined domains produce greater benefits than additive effects; (H2) heterospecific benefit: parallel health gains occur in both species; (H3) behavioural amplification: dogs acts as catalysts to drive human participation in nature-based activity; and (H4) scalable health promotion: bonded green exercise represents a low-cost, accessible, One Health approach with population-level potential. This framework highlights how intentional, shared physical activity in nature may potentially offer a novel low-cost and accessible model for enhancing health, lifespan, welfare, and ecological stewardship across species. Full article
(This article belongs to the Special Issue Second Edition: Research on the Human–Companion Animal Relationship)
15 pages, 1941 KB  
Article
Perch Height as a Driver of Foraging Behaviour and Hunting Success in Kingfisher Communities of Tropical Indian Wetlands
by C. T. Shifa, Jenny A. Angarita-Báez, K. A. Rubeena, Thayyullathil Jobiraj, Punathil Thejass, Sabir Bin Muzaffar, Mudasir Nayeem Mir, T. R. Athira and K. M. Aarif
Birds 2026, 7(1), 5; https://doi.org/10.3390/birds7010005 - 14 Jan 2026
Viewed by 263
Abstract
Sympatric species are closely related taxa that coexist within the same habitat through niche partitioning, and kingfishers serve as an ideal group for studying such ecological mechanisms. The present study examined the perch height in relation to foraging behaviour and hunting success of [...] Read more.
Sympatric species are closely related taxa that coexist within the same habitat through niche partitioning, and kingfishers serve as an ideal group for studying such ecological mechanisms. The present study examined the perch height in relation to foraging behaviour and hunting success of five kingfisher species: Common Kingfisher (Alcedo atthis), White-throated Kingfisher (Halcyon smyrnensis), Pied Kingfisher (Ceryle rudis), Stork-billed Kingfisher (Pelargopsis capensis), and Black-capped Kingfisher (Halcyon pileata). The study was conducted between 2021 and 2023, across seven habitat types in Kerala, India (Kadalundi–Vallikkunnu Community Reserve (KVCR) mangroves, Kallampara mangroves, Vadakkumpad mangroves, Vazhakkad agroecosystem, Mavoor wetland, Sanketham wetland, and Elathur beach). A generalized linear mixed model (GLMM) with a binomial distribution and logit link function was used to analyze hunting success across species. The model indicated that the effect of perch height on hunting success varied among species, though neither perch height nor species identity alone had a significant effect. Most species favored mid-height perches (2–5 m) for foraging, with the Common Kingfisher exhibiting moderate success across all heights and habitats. The Pied Kingfisher showed significantly reduced success at higher perches, while the Stork-billed Kingfisher achieved the highest success at mid-heights (2–5 m). The White-throated Kingfisher showed a non-significant negative association with capture success, whereas the Black-capped Kingfisher exhibited a neutral to positive relationship across perch heights. Among all variables tested, prey availability emerged as the sole significant predictor of hunting success, indicating that prey abundance is the principal determinant of foraging efficiency in tropical wetlands, rather than environmental conditions. Our findings confirm a pattern of vertical stratification in resource partitioning among sympatric kingfisher species and underscore the importance of conserving habitats that retain natural perch sites of varying heights. Full article
Show Figures

Figure 1

28 pages, 3259 KB  
Article
Leveraging Marketing Analytics to Promote Sustainable Destinations: A Study Across Multiple Continents
by Dimitrios P. Reklitis, Nikolaos T. Giannakopoulos, Marina C. Terzi, Damianos P. Sakas, Maria Salamoura and Christina Konstantinidou Konstantopoulou
World 2026, 7(1), 9; https://doi.org/10.3390/world7010009 - 13 Jan 2026
Viewed by 115
Abstract
In an era where environmental consciousness increasingly shapes consumer behaviour, the tourism industry faces the dual challenge of promoting destinations while ensuring ecological sustainability. This study explores how web analytics and big data can be leveraged to enhance the visibility and attractiveness of [...] Read more.
In an era where environmental consciousness increasingly shapes consumer behaviour, the tourism industry faces the dual challenge of promoting destinations while ensuring ecological sustainability. This study explores how web analytics and big data can be leveraged to enhance the visibility and attractiveness of eco-friendly destinations. Building upon digital marketing and sustainability frameworks, the authors develop a data-driven methodology that integrates website performance metrics, search behaviour patterns, and social media engagement indicators. After data collection, statistical and content analyses were implemented, followed by a Fuzzy Cognitive Map (FCM) to visualise the interrelationships between online user behaviour, environmental awareness, and destination appeal. Full article
Show Figures

Figure 1

22 pages, 430 KB  
Systematic Review
Cluttering in Children and Adolescents: Speech Motor Development, Neurocognitive Mechanisms, and Allied Health Implications
by Weifeng Han, Lin Zhou, Juan Lu and Shane Pill
Children 2026, 13(1), 97; https://doi.org/10.3390/children13010097 - 9 Jan 2026
Viewed by 214
Abstract
Background/Objectives: Cluttering in childhood and adolescence is characterised by unstable speech timing, excessive coarticulation, irregular rate and reduced intelligibility, yet the developmental mechanisms underpinning these behaviours remain partially understood. This review synthesises empirical and conceptual evidence to examine cluttering through the lenses of [...] Read more.
Background/Objectives: Cluttering in childhood and adolescence is characterised by unstable speech timing, excessive coarticulation, irregular rate and reduced intelligibility, yet the developmental mechanisms underpinning these behaviours remain partially understood. This review synthesises empirical and conceptual evidence to examine cluttering through the lenses of speech motor development, neurocognitive mechanisms, task demands and allied-health practice. Four research questions guided the review, focusing on motor characteristics, developmental and neurocognitive mechanisms, task dependence and clinical implications. Methods: Following the PRISMA guidelines, a comprehensive search across seven databases identified studies examining cluttering in children and adolescents. Screening and full-text review were conducted in Covidence by two reviewers, with disagreements resolved by the first author. Twelve studies met the inclusion criteria. Data were extracted into a structured evidence table, and findings were synthesised. Results: Across studies, cluttering emerged as a developmental motor–cognitive integration disorder. Speech motor systems, linguistic formulation and executive control showed difficulty aligning under real-world communicative demands, leading to timing instability, articulatory blurring and reduced intelligibility. Symptoms were strongly influenced by task complexity, with spontaneous and extended discourse eliciting the most pronounced breakdowns. Conclusions: Cluttering reflects a developmental vulnerability in coordinating speech motor, linguistic and executive processes. Understanding cluttering in this way challenges narrow rate-based definitions and supports more nuanced approaches to assessment and intervention. Significant evidence gaps remain, particularly in longitudinal, mechanistic, multilingual and ecologically valid research. This developmental motor–cognitive framework strengthens the conceptual foundations of cluttering and clarifies its relevance to children’s motor development. Full article
Show Figures

Graphical abstract

8 pages, 186 KB  
Perspective
Behavioural Diversity: Conditional Movement Tactics in the Ruff (Calidris pugnax)
by Michel Baguette
Diversity 2026, 18(1), 32; https://doi.org/10.3390/d18010032 - 8 Jan 2026
Viewed by 136
Abstract
Understanding the movement behaviour of male ruffs (Calidris pugnax) during the breeding season requires integrating recent telemetry data with long-standing theory on conditional reproductive strategies, lek dynamics, and behavioural polymorphism. A large-scale tracking study revealed extensive within-season movements among many males, [...] Read more.
Understanding the movement behaviour of male ruffs (Calidris pugnax) during the breeding season requires integrating recent telemetry data with long-standing theory on conditional reproductive strategies, lek dynamics, and behavioural polymorphism. A large-scale tracking study revealed extensive within-season movements among many males, with individuals visiting 1 to 23 sites, but also documented prolonged residency, with site tenures exceeding 40 days. Such variation is not contradictory but expected in a species whose reproductive system combines genetically fixed alternative strategies, governed by a supergene, with flexible conditional tactics expressed in response to ecological and social cues. Here, I synthesize movement ecology, state-dependent decision models, lekking theory, and previous empirical work to show that spatial behaviour in ruffs reflects a continuum of tactics rather than a homogeneous nomadic mode. Telemetry data thereby enrich our understanding of how individuals navigate fluctuating environments, competitive pressures, and mating opportunities. Embracing behavioural heterogeneity is essential for interpreting movement patterns and for understanding how reproductive diversity evolves and is maintained in lekking systems. Full article
(This article belongs to the Special Issue 2026 Feature Papers by Diversity's Editorial Board Members)
19 pages, 996 KB  
Article
Re-Thinking Nature-Connection: Practitioners’ Worldviews as Multi-Paradigmatic Entanglements
by Damien Hackney and Debby R. E. Cotton
Sustainability 2026, 18(2), 614; https://doi.org/10.3390/su18020614 - 7 Jan 2026
Viewed by 253
Abstract
Nature-connection is increasingly promoted as a way of prompting care and concern for nature and encouraging pro-environmental behaviours. Yet its conceptual foundations remain unclear and contested, with researchers defining the construct in divergent ways. In this study, a situational analysis of interviews with [...] Read more.
Nature-connection is increasingly promoted as a way of prompting care and concern for nature and encouraging pro-environmental behaviours. Yet its conceptual foundations remain unclear and contested, with researchers defining the construct in divergent ways. In this study, a situational analysis of interviews with nature-connection practitioners is used to provide empirical evidence demonstrating entwined and contradictory discourses at work in their talk about nature-connection theory and practice. The analysis illustrates the ways in which Cartesian dualism and relational ontologies occupy the same discursive space. The data are used to discuss possible routes toward a more coherent premise for an environmental ethic than the ubiquitous biophilia hypothesis, introducing panpsychism as a promising rationale for the moral consideration of nonhumans and the fostering of cultural intuitions of animacy in relationship to urban environments and human-made artefacts. Conservationists and educators are encouraged to explore panpsychism for its potential to provide an ethical framework for promoting a greater sense of ecological responsibility. Full article
(This article belongs to the Section Sustainable Education and Approaches)
Show Figures

Figure 1

34 pages, 1111 KB  
Systematic Review
A Systematic Review of Ecological Momentary Assessment Procedures of Self-Harm (With and Without Suicidal Intent) Studies in Adolescents and Young Adults
by Bethany Martin, Susan Rasmussen, Kirsten Russell, Megan Crawford, Spence Whittaker, Scott Thomson and Abbie Greenwood
Int. J. Environ. Res. Public Health 2026, 23(1), 84; https://doi.org/10.3390/ijerph23010084 - 7 Jan 2026
Viewed by 451
Abstract
Ecological momentary assessment (EMA) captures real-time data on thoughts, emotions, and behaviours within individuals’ natural environments. Although EMA has been increasingly used to examine self-harm, existing reviews have not focused specifically on adolescents. This systematic review examines EMA research on adolescent self-harm, focusing [...] Read more.
Ecological momentary assessment (EMA) captures real-time data on thoughts, emotions, and behaviours within individuals’ natural environments. Although EMA has been increasingly used to examine self-harm, existing reviews have not focused specifically on adolescents. This systematic review examines EMA research on adolescent self-harm, focusing on methodological considerations and key risk and protective factors for self-harm. Five databases, plus pre-print, unpublished and grey literature sources, were searched up to 30 January 2024. Studies were included if published in English, used EMA methodology, included adolescents aged 10–24 years and measured suicidal ideation, suicidal behaviours, or self-harm. The review included 79 studies, published from 2009 to the present. Self-harm was associated with numerous risk factors, including negative affect, stress, interpersonal influences and sleep. EMA was generally well-accepted by adolescent participants, with high compliance rates. The findings highlight the value of EMA in capturing real-time fluctuations in self-harm and associated risk factors among adolescents. EMA demonstrates strong potential for improving understanding and prediction of self-harm; yet challenges remain, including variability in study designs and a lack of clear reporting of the methodologies. Future research should focus on standardising methodologies, increasing participant diversity, and exploring the clinical utility of EMA in early intervention and prevention strategies. Full article
(This article belongs to the Special Issue Understanding Self-Harm Among Young People)
Show Figures

Figure 1

3 pages, 144 KB  
Proceeding Paper
Labour Dynamics in East Crete: Structural Characteristics and the Adoption of Sustainable Agricultural Practices
by Penelope Gouta, Vasilia Konstantidelli and Irene Tzouramani
Proceedings 2026, 134(1), 18; https://doi.org/10.3390/proceedings2026134018 - 31 Dec 2025
Viewed by 177
Abstract
This study examines agricultural labour dynamics and sustainability practices in East Crete, assessing how labour structure, education, and input intensity shape ecological outcomes. Using data from 108 farms in Heraklion and Lassithi, we constructed composite indicators, such as Labour Intensity, Sustainability Engagement, and [...] Read more.
This study examines agricultural labour dynamics and sustainability practices in East Crete, assessing how labour structure, education, and input intensity shape ecological outcomes. Using data from 108 farms in Heraklion and Lassithi, we constructed composite indicators, such as Labour Intensity, Sustainability Engagement, and Training-Adjusted Labour indices. Analysis of 37 farms with data revealed a heterogeneous landscape. Traditional family-based systems persist alongside uneven shifts toward agroecological practices. The Training-Adjusted Labour Index correlated with reduced pesticide use, while subsidy participation alone was not a reliable predictor of sustainable behaviour. Findings highlight limits of compliance-based incentives and the importance of knowledge-driven transitions. This study advocates typology-informed policies and longitudinal research for future policy design. Full article
9 pages, 1170 KB  
Article
Foraging Patterns of Two Sympatric Wasp Species: The Worldwide Invasive Polistes dominula and the Native Hypodynerus labiatus
by Sabrina Moreyra and Mariana Lozada
Insects 2026, 17(1), 38; https://doi.org/10.3390/insects17010038 - 27 Dec 2025
Viewed by 473
Abstract
Invasive insects pose significant ecological challenges due to their interactions with other species, which can have a considerable impact on pre-existent ecosystems. In the present study, we analysed the foraging behaviour of the invasive Polistes dominula, which was first detected in NW [...] Read more.
Invasive insects pose significant ecological challenges due to their interactions with other species, which can have a considerable impact on pre-existent ecosystems. In the present study, we analysed the foraging behaviour of the invasive Polistes dominula, which was first detected in NW Patagonia in 2003, and the native wasp Hypodynerus labiatus. We evaluated their foraging behaviour in two types of environments: closed habitats with dense vegetation and open habitats without surrounding bushes and trees. Additionally, we recorded the wasps’ feeding choices at three different heights within each context. Our results showed that these sympatric wasps prefer to forage in different environments and in distinct microsite strata within each environment. Polistes dominula collected food from the ground level in both open and closed habitats, while H. labiatus was more frequently observed in closed areas, gathering resources from higher strata. The observed differences suggest that the collecting sites showed minimal overlap, which may facilitate their coexistence. These findings shed new light on the behavioural processes and interspecific interactions between a highly invasive wasp and a poorly studied native species that inhabit urban and semi urban environments in Patagonia. Full article
(This article belongs to the Special Issue Systematic and Biological Studies on Hymenoptera: Vespidae)
Show Figures

Graphical abstract

20 pages, 823 KB  
Article
From Technological Flexibility to Sustainable Products: The Mediating Role of Environmental Scanning and Circular Economy Principles
by Jowita Krystyna Trzcielińska and Stefan Trzcieliński
Sustainability 2026, 18(1), 183; https://doi.org/10.3390/su18010183 - 24 Dec 2025
Viewed by 293
Abstract
Technological flexibility is widely recognised as a driver of product innovation, yet its role in enabling the transition toward sustainable products remains insufficiently understood. This study addresses this gap by examining how technological flexibility shapes product–market strategies through two pathways: (1) technological flexibility—environmental [...] Read more.
Technological flexibility is widely recognised as a driver of product innovation, yet its role in enabling the transition toward sustainable products remains insufficiently understood. This study addresses this gap by examining how technological flexibility shapes product–market strategies through two pathways: (1) technological flexibility—environmental scanning—product-market strategies (T–E–S) and (2) technological flexibility—environmental scanning—circular economy principles—product-market strategies (T–E–C–S). Using an abductive design and a survey of 300 medium and large manufacturing firms in Poland, we analyse eight dimensions of environmental scanning, seven circular-design principles, and four Ansoff-based strategic orientations. Non-parametric correlation tests and Kruskal–Wallis analyses, and post hoc tests show that technological flexibility significantly increases environmental scanning intensity. Yet only five macro-environmental segments trigger circular-design behaviour, and only two principles—repairability and waste minimisation translate into sustainable product strategies. Results reveal two competing logics: a commercial logic focused on market opportunities and an ecological logic centred on sustainable design. Their integration occurs only under high technological flexibility and scanning engagement. The study contributes new empirical evidence on mechanisms linking flexibility, scanning, circularity, and sustainability-oriented product innovation. Full article
Show Figures

Figure 1

21 pages, 1073 KB  
Article
Keeping Cats Safe at Home (KCSAH): Lessons Learned from a Human Behaviour Change Campaign to Reduce the Impacts of Free-Roaming Domestic Cats
by Gemma C. Ma, M. Carolyn Gates, Katherine E. Littlewood, Sarah Zito and Brooke P. A. Kennedy
Animals 2025, 15(24), 3554; https://doi.org/10.3390/ani15243554 - 10 Dec 2025
Viewed by 704
Abstract
Domestic cats are valued companions for many people, but when they free-roam, they can pose risks to biodiversity, communities, and their own welfare. Increasing cat containment has become a priority in Australia, yet shifting owner practices requires overcoming behavioural and structural barriers. The [...] Read more.
Domestic cats are valued companions for many people, but when they free-roam, they can pose risks to biodiversity, communities, and their own welfare. Increasing cat containment has become a priority in Australia, yet shifting owner practices requires overcoming behavioural and structural barriers. The Keeping Cats Safe at Home (KCSAH) project was a four-year, AUD 2.5 million initiative delivered by the Royal Society for the Prevention of Cruelty to Animals New South Wales (RSPCA NSW) from 2021 to 2024, trialling human behaviour change strategies to reduce the impacts of roaming cats in 11 NSW local government areas. Grounded in social science research, the project combined social marketing campaigns, educational resources, school programmes, and community events with subsidised desexing. The project achieved substantial reach, engaging more than 3.5 million people via social media, 42,000 through blogs, 87,000 via the website, and 36,000 through community events. Over 2700 cats were desexed and 1700 microchipped. Ecological monitoring showed reductions in free-roaming cat densities in three council areas, with many also recording declines in nuisance complaints and impoundments. Caregivers exposed to campaign messaging reported greater capability, opportunity, and motivation to contain cats; however, methodological constraints limited the ability to assess actual behaviour change. KCSAH demonstrates the opportunities and challenges of large-scale cat management, highlighting the importance of tailored interventions, veterinary desexing capacity, and nationally consistent monitoring frameworks. Full article
(This article belongs to the Section Human-Animal Interactions, Animal Behaviour and Emotion)
Show Figures

Figure 1

14 pages, 1938 KB  
Article
Pretreatment with Silver Thiosulfate Increases the Auxin-Inductive Effect for Rooting Mature Chestnut Shoots
by Ricardo Castro-Camba, Conchi Sánchez, Saleta Rico, Nieves Vidal, Anxela Aldrey, María José Cernadas, Purificación Covelo and Jesús M. Vielba
Plants 2025, 14(24), 3756; https://doi.org/10.3390/plants14243756 - 10 Dec 2025
Viewed by 444
Abstract
Chestnut is a highly valuable species at both the ecological and economic levels, but vegetative propagation protocols have not been optimized for mature material due to its recalcitrant behaviour, thus limiting potential biotechnological applications. In this study, we focused on the formation of [...] Read more.
Chestnut is a highly valuable species at both the ecological and economic levels, but vegetative propagation protocols have not been optimized for mature material due to its recalcitrant behaviour, thus limiting potential biotechnological applications. In this study, we focused on the formation of adventitious roots in mature chestnut microshoots, which show low rooting responses. Silver thiosulfate, an ethylene-signalling inhibitor, was applied as a pretreatment before auxin induction to study the role of ethylene in this developmental process. Rooting rate was significantly improved in response to the pretreatment, suggesting that ethylene negatively influences the induction of adventitious roots in mature shoots. Transcriptomics and real-time PCR analyses suggest that the improvement in the rooting response was mainly due to the activity of different auxin transport genes, whose expression seems to be repressed by ethylene. However, other hormones might also be negatively influencing rooting in mature shoots, although their specific role remains to be characterized. Full article
(This article belongs to the Special Issue Advances in Adventitious Root Formation of In Vitro Cultures)
Show Figures

Figure 1

30 pages, 1289 KB  
Article
AI-Enabled Microlearning and Case Study Atomisation: ICT Pathways for Inclusive and Sustainable Higher Education
by Hassiba Fadli
Sustainability 2025, 17(24), 11012; https://doi.org/10.3390/su172411012 - 9 Dec 2025
Viewed by 808
Abstract
The integration of Artificial Intelligence (AI) into higher education offers new opportunities for inclusive and sustainable learning. This study investigates the impact of an AI-enabled microlearning cycle—comprising short instructional videos, formative quizzes, and structured discussions—on student engagement, inclusivity, and academic performance in postgraduate [...] Read more.
The integration of Artificial Intelligence (AI) into higher education offers new opportunities for inclusive and sustainable learning. This study investigates the impact of an AI-enabled microlearning cycle—comprising short instructional videos, formative quizzes, and structured discussions—on student engagement, inclusivity, and academic performance in postgraduate management education. A mixed-methods design was applied across two cohorts (2023, n = 138; 2024, n = 140). Data included: (1) survey responses on engagement, accessibility, and confidence (5-point Likert scale); (2) learning analytics (video views, quiz completion, forum activity); (3) academic results; and (4) qualitative feedback from open-ended questions. Quantitative analyses used Wilcoxon signed-rank tests, regressions, and subgroup comparisons; qualitative data underwent thematic analysis. Findings revealed significant improvements across all dimensions (p < 0.001), with large effect sizes (r = 0.35–0.48). Engagement, accessibility, and confidence increased most, supported by behavioural data showing higher video viewing (+19%), quiz completion (+21%), and forum participation (+65%). Regression analysis indicated that forum contributions (β = 0.39) and video engagement (β = 0.31) were the strongest predictors of grades. Subgroup analysis confirmed equitable outcomes, with non-native English speakers reporting slightly higher accessibility gains. Qualitative themes highlighted interactivity, real-world application, and inclusivity, but also noted quiz-related anxiety and a need for industry tools. The AI-enabled microlearning model enhanced engagement, equity, and academic success, aligning with SDG 4 (Quality Education) and SDG 10 (Reduced Inequalities). By combining Cognitive Load Theory, Kolb’s experiential learning, and Universal Design for Learning, it offers a scalable, pedagogically sustainable framework. Future research should explore emotional impacts, AI co-teaching models, and cross-disciplinary applications. By integrating Kolb’s experiential learning, Universal Design for Learning, and Cognitive Load Theory, this model advances both pedagogical and ecological sustainability. Full article
Show Figures

Figure 1

29 pages, 1987 KB  
Article
Nudging Eco-Tourism Behaviour Through Tourist Experience Satisfaction: Examining the Mediating and Moderating Mechanisms of Destination Bonds and Ecocentrism
by Bright Boadu, Xinying Jiang and Agyemang Kwasi Sampene
Tour. Hosp. 2025, 6(5), 275; https://doi.org/10.3390/tourhosp6050275 - 9 Dec 2025
Viewed by 528
Abstract
The rapid expansion of the tourism sector has raised concerns about how to provide satisfaction to visitors while preserving the environment, especially at tourism destinations that are trying to be sustainable. This study, based on Value-Belief-Norm (VBN) and Place attachment theory, investigates how [...] Read more.
The rapid expansion of the tourism sector has raised concerns about how to provide satisfaction to visitors while preserving the environment, especially at tourism destinations that are trying to be sustainable. This study, based on Value-Belief-Norm (VBN) and Place attachment theory, investigates how tourism experience satisfaction predicts eco-tourism behaviour through destination bond while moderating the relationship between tourism experience satisfaction and eco-tourism behaviour via ecocentrism. A stratified random sampling technique was employed to capture a diverse representation of tourists visiting eco-heritage destinations. A total of 420 valid responses were retained after thorough screening for completeness and reliability. The final dataset was analyzed using Partial Least Squares Structural Equation Modelling (PLS-SEM) to evaluate both the measurement and structural relationships in the proposed model. The findings indicate that tourism experience satisfaction creates significant destination bonds, which lead to eco-tourism behaviour. Both destination attachment and dependence contribute significantly to eco-tourism behaviour, indicating they both play a mediation role. Furthermore, ecocentrism positively moderates the relationship between satisfaction and eco-behaviour, demonstrating that tourists with stronger ecological value orientations are more likely to translate satisfaction into responsible environmental action. Theoretically, the study contributes to the VBN and place attachment theory by acknowledging the role of attachment and dependence as important belief processes enabling the interacting of experiential fulfilment to moral engagement, and by finding ecocentrism to be a dynamic moderator. To the policy makers, destination managers and community stakeholders, the findings provide a behavioural model of enabling the process of stewardship using experiential design based on values and participative-based conservation initiatives. Full article
(This article belongs to the Special Issue Customer Behavior in Tourism and Hospitality)
Show Figures

Figure 1

Back to TopTop