Next Article in Journal
Geospatial Assessment of Agricultural Sustainability Using Multi-Criteria Analysis: A Case Study of the Grocka Municipality, Serbia
Previous Article in Journal
Thermal Stress, Energy Anxiety, and Vulnerable Households in a Just Transition Region: Evidence from Western Macedonia, Greece
 
 
Due to scheduled maintenance work on our servers, there may be short service disruptions on this website between 11:00 and 12:00 CEST on March 28th.
Font Type:
Arial Georgia Verdana
Font Size:
Aa Aa Aa
Line Spacing:
Column Width:
Background:
Article

Leveraging Marketing Analytics to Promote Sustainable Destinations: A Study Across Multiple Continents

by
Dimitrios P. Reklitis
1,2,*,
Nikolaos T. Giannakopoulos
1,
Marina C. Terzi
1,
Damianos P. Sakas
1,
Maria Salamoura
3 and
Christina Konstantinidou Konstantopoulou
2
1
BICTEVAC Laboratory—Business Information and Communication Technologies in Value Chains, Department of Agribusiness and Supply Chain Management, School of Applied Economics and Social Sciences, Agricultural University of Athens, 11855 Athens, Greece
2
Hospitality and Tourism Management Department, BCA College, 205 Alexandra’s Avenue, 11523 Athens, Greece
3
Department of Business Administration, University of the Aegean, 82132 Chios, Greece
*
Author to whom correspondence should be addressed.
Submission received: 9 November 2025 / Revised: 22 December 2025 / Accepted: 8 January 2026 / Published: 13 January 2026

Abstract

In an era where environmental consciousness increasingly shapes consumer behaviour, the tourism industry faces the dual challenge of promoting destinations while ensuring ecological sustainability. This study explores how web analytics and big data can be leveraged to enhance the visibility and attractiveness of eco-friendly destinations. Building upon digital marketing and sustainability frameworks, the authors develop a data-driven methodology that integrates website performance metrics, search behaviour patterns, and social media engagement indicators. After data collection, statistical and content analyses were implemented, followed by a Fuzzy Cognitive Map (FCM) to visualise the interrelationships between online user behaviour, environmental awareness, and destination appeal.

1. Introduction

Tourism has undergone a profound digital transformation over the last decade. Travellers increasingly depend on search engines and interactive digital platforms to discover, compare and evaluate destinations, while social media and user-generated content (UGC) now play a decisive role in shaping perceptions, attitudes and behavioural intentions [1,2]. In parallel, sustainability has become a strategic imperative for tourism policy and practice: destinations are now expected to minimise environmental footprints, safeguard cultural heritage and foster social equity [3]. As the United Nations World Tourism Organization [4] highlights, sustainability has evolved from a peripheral concern into a structural principle guiding the sector’s alignment with the Sustainable Development Goals (SDGs).
These twin forces, digitalisation and sustainability, represent both a strategic opportunity and a systemic challenge for destination marketers. Digital tools enhance visibility, engagement and data-driven decision-making, while sustainability demands transparent governance and inclusive development [5]. Yet, recent systematic reviews suggest that existing frameworks and empirical studies remain limited in explaining, in an integrated and computationally explicit way, how digital marketing capabilities and analytics jointly relate to sustainability-oriented destination competitiveness [3].
To clarify the analytical scope adopted in this study, it is necessary to distinguish between sustainability impacts and sustainability-oriented digital performance. In this paper, environmental and social sustainability outcomes refer to real-world impacts, such as emissions, resource use, labour conditions and community welfare, which are not directly measured here. The empirical indicators examined capture sustainability-oriented digital competitiveness, defined as the online visibility, engagement and advocacy associated with sustainability positioning in certified properties. Accordingly, the study examines how sustainability positioning is communicated, received and amplified within digital marketing systems.
Although digital technologies can encourage environmentally responsible behaviour and facilitate stakeholder communication, few studies empirically explain how digital marketing analytics operationally enhance sustainable destination competitiveness beyond predominantly messaging- or perception-focused approaches. Within digital marketing research, multiple strands converge but remain largely disjointed. Studies on web analytics show that behavioural indicators, such as session duration, bounce rate and conversion paths, offer real-time insight into user engagement [6]. Parallel work on search engine optimisation (SEO) demonstrates how indexed content, domain authority and backlink profiles influence organic visibility and competitiveness, particularly for smaller or rural destinations [7,8]. Research on social media marketing further reveals that content quality, interactivity and influencer collaboration significantly shape trust, destination image and visit intention [9,10,11]. Despite an expanding body of work on smart tourism and destination marketing, empirical evidence remains fragmented. Few studies systematically link web analytics and digital marketing capabilities with measurable digital outcomes associated with sustainability positioning in tourism [7,12,13]. As a result, destination managers lack diagnostic tools for translating digital signals into sustainability-oriented strategic insights. This conceptual fragmentation constitutes a critical methodological gap between digital analytics and strategic sustainability management in tourism.
Emerging scholarship on Sustainable Digital Marketing (SDM) seeks to address this gap by integrating environmental and social dimensions into digital strategies through “digital greenovation,” balancing profitability with ecological and social responsibility [14]. However, SDM remains theoretically nascent and empirically under-validated. To strengthen its foundations, this study integrates dynamic capabilities theory [15,16,17] and systems thinking [18] to conceptualise digital marketing analytics as adaptive resources that enable destinations to sense market opportunities, integrate sustainability values and reconfigure digital assets for long-term competitiveness. From this perspective, web analytics are understood not as static performance indicators but as manifestations of a destination’s dynamic learning capability, enabling it to monitor, anticipate and adapt to evolving stakeholder expectations. Consequently, a systems-based approach is useful for representing how digital interactions and sustainability-positioned digital performance signals may co-evolve in complex, non-linear environments [19].
Empirically, this paper applies Fuzzy Cognitive Mapping (FCM) to represent the interdependencies among key digital marketing analytics variables observed on eco-certified hotel websites. FCM complements regression analysis by making directional relationships and feedback mechanisms explicit and enabling scenario-based simulations. The simulations are used to identify high-sensitivity variables that can inform digital strategy for sustainability-positioned offerings.
In this study, sustainability is operationalised as sustainability-oriented digital competitiveness, captured through digital signals observed on eco-certified hotel websites (traffic, engagement and advocacy metrics). These indicators reflect online visibility and stakeholder resonance with sustainability positioning rather than environmental or social impact. Instead, they capture the extent to which sustainability-positioned destinations achieve online visibility and stakeholder engagement consistent with their sustainability claims. Prior research shows that online popularity and digitalisation of services are strong predictors of tourism destination competitiveness [20,21]. At the hotel level, competitiveness remains an under-investigated field but is increasingly recognised as critical for destination performance [22]. The authors therefore interpret these indicators as proxies of sustainability-oriented digital competitiveness, reflecting how effectively destinations communicate and mobilise sustainability values in digital environments.
Although the discussion is framed at the destination-marketing level, the empirical analysis uses eco-certified hotel websites as observable, standardised digital units reflecting sustainability positioning in practice. Guided by this conceptual foundation, the study addresses four overarching research questions:
RQ1: 
How are digital engagement, visibility and paid promotion associated with the web-traffic performance of eco-certified hotel websites?
RQ2: 
In what ways do visitor-behaviour metrics, such as session duration, pages per visit, bounce rate and organic-traffic share, relate to user engagement depth and post-visit advocacy (e.g., online reviews)?
RQ3: 
To what extent do SEO indicators, indexed content volume, backlink authority and related metrics, shape the organic visibility and traffic structure of eco-certified hotel websites?
RQ4: 
How do these interrelated web-analytics variables operate as a dynamic system and which digital-marketing configurations yield the most favourable digital visibility and engagement outcomes for sustainability-positioned offers?
By addressing these questions, this paper provides an exploratory computational modelling of the interdependencies among web-analytics indicators used to assess the digital performance of sustainability-positioned destinations. It makes three interrelated contributions. First, it develops an integrative SDMC framework, grounded in dynamic capabilities and sustainable digital marketing research, to connect digital analytics with sustainability-oriented destination competitiveness [14,15,16,17]. Second, it operationalises this framework using FCM-based modeling, illustrating how a systems-oriented method can be applied to tourism digital-analytics data. Third, it offers actionable insights for destination managers by identifying digital variables with the strongest systemic leverage. Overall, this research provides a computational illustration of how digital engagement, visibility, advocacy and promotion metrics may interact systemically in shaping sustainability-oriented digital competitiveness.
The remainder of this paper is structured as follows. Section 2 synthesises the literature on digital transformation, sustainable destination marketing and web analytics. Section 3 details the data collection and modelling design. Section 4 presents the empirical findings, while Section 5 discusses the outcomes of the present study. Finally, Section 6 outlines theoretical and practical implications, limitations and future research directions.

2. Literature Review

2.1. Digital Transformation and Sustainability in Tourism

The digital transformation has become a defining paradigm for contemporary tourism, reshaping how destinations are produced, promoted and experienced. Bibliometric reviews reveal an exponential growth of studies on smart tourism, big data, artificial intelligence and platform-based business models, typically celebrating efficiency gains, personalisation and new modes of value co-creation [2,23]. Yet this expanding literature has been criticised for its techno-optimistic bias and its limited engagement with issues of power, governance and long-term sustainability [19]. The prevailing assumption that technological innovation automatically enhances destination performance neglects structural asymmetries, that is to say who owns and controls data, who benefits from algorithmic visibility and how digital infrastructures reinforce existing hierarchies [24].
Parallel to this technological shift, sustainability has evolved from a peripheral ideal to a central strategic orientation in tourism policy. The United Nations World Tourism Organization [UNWTO, 2023] positions sustainability as an integrated framework balancing economic resilience, environmental stewardship and social inclusion. Academic analyses similarly highlight that genuine sustainability requires systemic transformation in governance and behaviour rather than incremental “green” marketing [25]. However, much of this discourse remains normative, relying on aspirational rhetoric that often masks structural contradictions such as overtourism, carbon intensity and precarious labour conditions. Digital communication channels may further amplify these contradictions by promoting performative sustainability narratives that prioritise promotional appeal over substantive transformation [26]. At the same time, recent work demonstrates that data-driven systems can be intentionally designed to nudge travellers toward more sustainable choices, for example, through awareness-based recommendation algorithms in sustainable tourism [27].
A growing body of critical scholarship therefore argues that digital transformation must be reconceptualised as a socio-technical system rather than a purely technological process [24,26]. From this perspective, digital infrastructures, organisational capabilities, human values co-evolve and sustainability emerges from the alignment of these interdependent dimensions. This systemic interpretation moves the debate beyond techno-optimism toward an examination of how digitalisation reconfigures power relations, knowledge flows and environmental accountability. It foregrounds the dual possibility that digital transformation can simultaneously enable and constrain sustainable-oriented digital outcomes, depending on institutional capacity and governance design. This motivates the present study’s focus on digital traces as observable signals of how sustainability positioning is communicated, received and amplified online.
Empirical reviews confirm that digitalisation advances sustainable management and participation only where coherent policy and transparent data ecosystems exist [28]. Alhaddar and Kummitha [3] reveal that research still privileges perceptual measures of “green” branding over verifiable sustainability performance. Likewise, González et al. [29] note that methodological approaches remain largely descriptive, favouring best-practice narratives over analytical modelling of directional interdependencies. These tendencies have constrained the explanatory potential of tourism scholarship, leaving underexplored how digital traces (e.g., engagement metrics, search visibility or user advocacy) signal deeper adaptive dynamics within destinations.
This study builds on the socio-technical and systemic perspectives by treating destinations as adaptive systems in which digital engagement, visibility and behavioural feedback loops interact dynamically to shape sustainable competitiveness. Recognising digitalisation and sustainability as mutually constitutive processes provides the conceptual foundation for analysing their interdependencies through computational modelling. In doing so, this study responds to calls for methodological pluralism in tourism research by introducing a systems-based approach that captures the complex, non-linear pathways linking digital performance to sustainability-positioned digital outcomes. Understanding this intersection requires analysing how destinations employ digital tools as mechanisms for learning and adaptive governance rather than merely promotional instruments. Building on this systemic interpretation, the next section examines how digital analytics (web, search and social metrics) operate as measurable levers of these adaptive processes, forming the empirical base of the SDMC framework. This motivates the present study’s focus on digital traces as observable signals of how sustainability positioning is communicated, received and amplified online.

2.2. Digital Marketing Analytics as Drivers of Destination Competitiveness

The rapid expansion of digital marketing analytics has redefined how destinations assess visibility, engagement and competitiveness. This section reviews web analytics, SEO and social media analytics separately and then explains why their interdependencies require an integrative capability lens. Metrics derived from web traffic (web analytics), search-engine optimisation (SEO) and social media interactions provide continuous, fine-grained insight into visitor behaviour, enabling evidence-based management and adaptive marketing strategies [30]. For destination managers, these data streams offer the promise of greater efficiency and accountability, potentially linking marketing performance to sustainability-relevant management objectives (dispersion, seasonality, stakeholder participation), although these are often not directly operationalised in digital-analytics studies. While web analytics and SEO indicators are widely used to measure performance, few studies explore how these metrics translate into sustainability-oriented competitiveness [31].

2.2.1. Web Analytics and Visitor Behaviour

Web analytics platforms (e.g., Google Analytics, SimilarWeb) record granular traces of visitor interactions, including session duration, pages per visit, bounce rate and traffic sources. These metrics are widely used across industries to support marketing and content optimisation decisions [32]. Within tourism, they are increasingly interpreted as proxies for user interest, website relevance and navigational quality and are incorporated into destination website evaluations [33].
At the same time, critical work on analytics warns that behavioural indicators can be misleading when treated uncritically. Jansen [32], for example, show substantial discrepancies in bounce rate and average session duration between two “industry standard” tools, highlighting how measurement methods can shape apparent performance. This underscores that metrics such as session duration or bounce rate indicate patterns of interaction, not intentions or values. For destinations that aim to communicate sustainability, there is a risk of over-interpreting numerical traces as evidence of meaningful engagement with sustainability content. Engagement metrics should be interpreted as behavioural signals of sustainability communication effectiveness rather than direct proxies of environmental performance. These indicators are best interpreted as dynamic feedback signals, sensitive to design, content structure and user pathways, rather than as direct measures of environmental or social engagement.

2.2.2. Search Engine Optimisation (SEO) and Digital Visibility

Search engine optimisation (SEO) has become a critical determinant of destination visibility. Empirical studies of rural tourism websites in Portugal demonstrate that on-page optimisation, keyword ranking, backlink quality and technical performance strongly influence discoverability and competitiveness [7]. Poor loading speed, weak meta-descriptions and thin content significantly reduce online recognisability, undermining competitiveness even where the underlying tourism offer is distinctive and potentially sustainable.
From a sustainability perspective, SEO is not neutral: it influences which destinations and which narratives become visible. As Aman and Papp-Váry [33] note, SEO is still predominantly treated as a technical optimisation task, with limited attention to its social or environmental implications. Empirical research on sustainable destination branding recognises that SEO can communicate transparency and authenticity, yet rarely operationalises SEO indicators as part of sustainability performance measurement [3]. Viewing SEO through this communicative lens helps explain how algorithmic visibility shapes and is shaped by other dimensions of destination identity and online performance.

2.2.3. Social Media Analytics, Influencer Dynamics and Destination Image

Social media platforms have become pivotal arenas in which destination images are negotiated. A recent comprehensive review combining bibliometrics and systematic analysis identifies social media influencers as key actors shaping travel attitudes, visit intentions and destination choice in tourism and hospitality [10]. Engagement metrics (likes, shares, comments, sentiment) are widely used to assess the effectiveness of such campaigns and to track the spread of destination narratives across networks.
At the same time, evidence synthetised by Aman and Papp-Váry [33] and by Alhaddar and Kummitha [3] suggests that social media strategies often prioritise reach and aesthetic appeal over ethical or sustainability considerations. Influencer collaborations may promote destinations and experiences that are neither environmentally responsible nor socially inclusive. Consequently, social media analytics frequently operate as “attention metrics,” with limited reflection on the sustainability implications of the narratives they propagate. Increasingly, they are viewed not merely as marketing indicators but as expressions of representational power, shaping which destinations and which sustainability messages gain prominence online.
Collectively, these studies show that while digital tools provide granular data, their sustainable potential depends on cross-channel coherence and the interpretive capability of destination managers.

2.2.4. Integrative Insights

Across these domains, recent syntheses converge on two key points. First, digital marketing tools (web analytics, SEO, social media) are now widely recognised as drivers of destination promotion and support sustainable tourism development when strategically aligned [1,33]. Second, the existing empirical literature is predominantly descriptive and tool-specific, rarely modelling how indicators from different digital channels interact over time [3,10]. Web metrics, SEO scores and social engagement are typically analysed separately, which obscures the feedback loops and trade-offs that destination managers face when allocating digital budgets.
Accordingly, recent scholarship increasingly calls for integrative frameworks that link behavioural, algorithmic and social metrics within a single analytical system. Such approaches enable a more holistic understanding of how digital engagement, visibility and perception interact and co-evolve to shape the strategic positioning and sustainability performance of destinations in data-driven environments. Despite these advances, most existing studies remain descriptive and fragmented, seldom examining how engagement, visibility and advocacy jointly operate as adaptive capabilities within sustainable destination management. Building on this gap, the present study articulates an integrative SDMC framework that connects analytics-based indicators with adaptive management and sustainability-oriented digital competitiveness.

2.3. Sustainable Digital Marketing Capability (SDMC)

Recent work on digital transformation and sustainability emphasises that competitiveness now depends not simply on adopting technologies, but on the capability to integrate, interpret and reconfigure digital resources in line with long-term value creation [34,35]. In tourism, such capabilities manifest through the coordinated management of engagement data, search visibility and stakeholder communication [12]. Within the SDMC construct, these adaptive mechanisms are measurable through digital engagement (web analytics), visibility (SEO indicators), advocacy (social metrics) and strategic promotion (advertising intensity). Extending the dynamic-capability view, this study defines SDMC as a destination’s ability to sense, seize and reconfigure digital opportunities to support sustainability-oriented digital competitiveness (coherent positioning, visibility, engagement and advocacy) in tourism contexts [15,16]. In this paper, SDMC is treated as an integrative capability lens, grounded in established streams of research on dynamic capabilities, digital marketing capability and sustainable tourism marketing. It is presented as a synthesis intended to make the interdependencies among sustainability-positioned digital practices analytically explicit.
Within this framework, sensing refers to detecting market and stakeholder signals through analytics, such as traffic patterns, search trends or social sentiment. Seizing involves transforming these insights into adaptive actions, for example, redesigning content or campaigns to promote low-impact travel or cultural inclusion. Reconfiguring entails continuously restructuring digital infrastructures, skills and partnerships to sustain competitiveness under evolving sustainability expectations [36,37]. Collectively, these mechanisms generate a feedback system through which destinations learn, innovate and align digital performance with sustainability-positioned digital outcomes.
A systems-thinking perspective complements this capability logic by viewing SDMC as dynamic and reciprocal rather than linear. Engagement, visibility and advocacy interact as mutually shaping forces within the destination’s digital ecosystem [19]. Changes in search visibility can alter audience composition, which in turn reshapes social-media discourse and web-engagement behaviour. Destinations demonstrating strong SDMC actively sense such interdependencies and recalibrate digital actions to maintain equilibrium between competitiveness and responsibility [34,35].
Crucially, SDMC emphasises a move from metric-driven optimisation toward value-consistent adaptation in sustainability-positioned digital contexts. Traditional analytics privilege volume-based indicators (impressions, reach or click-through rates) while neglecting the ethical, cultural and ecological implications of digital visibility [36]. A sustainable capability lens recognises that data are not neutral but performative: they shape narratives of authenticity, inclusion and accountability. Destinations that use analytics as learning mechanisms, rather than dashboards of success, embed sustainability within digital governance and foster trust across stakeholder networks [37,38].
Applying SDMC to destination marketing provides a conceptual bridge between digitalisation and sustainability by explaining how analytics-informed optimisation and communication can support credible sustainability positioning and stakeholder resonance in digital environments. In the empirical model, SDMC is operationalised through measurable constructs representing engagement (web analytics), visibility (SEO), advocacy (social-media interaction) and strategic promotion (paid campaigns), which inform the hypotheses in Section 3.3 and the directional influence structure represented in the FCM. The ensuing FCM analysis examines how these interdependent dimensions combine to shape sustainability-oriented digital competitiveness.
This integrative framework positions SDMC as the study’s capability-based lens: it synthesises fragmented digital-marketing research into a systems-oriented capability model and provides a foundation for analysing how tourism actors convert digital intelligence into sustainability-oriented digital competitiveness. SDMC is therefore not presented as a new technology or ecosystem model. It specifies the managerial orchestration required to align cross-channel digital signals with credible sustainability positioning.
Unlike generic digital capability formulations, which typically emphasise digital resources, skills or platform adoption, SDMC focuses on the coordinated sensing, seizing and reconfiguring of digital actions in service of sustainability positioning (credibility, coherence and stakeholder resonance). Unlike smart tourism ecosystem models, which primarily conceptualise destination-level infrastructures and actor networks [39], SDMC specifies a micro-level capability mechanism: how cross-channel analytics inform adaptive digital decisions over time. Finally, while socio-technical perspectives emphasise the co-evolution of technology and social practices, SDMC operationalises this co-evolution through measurable constructs (engagement, visibility, advocacy and promotion) and treats their interdependencies as a feedback-driven capability system.

2.4. Conceptual Framework

Building on SDMC, this section formalises the conceptual logic linking digital marketing analytics to sustainability-oriented digital competitiveness (Figure 1). The proposed framework integrates dynamic capabilities theory and systems thinking, conceptualising destinations as adaptive socio-technical systems in which digital engagement, visibility, advocacy and strategic promotion interact through feedback loops to shape sustainability-oriented digital competitiveness. Empirically, these constructs are examined through digital signals observed on eco-certified hotel websites as standardised units of sustainability-positioned tourism marketing.
The SDMC framework comprises four constructs: Digital Visibility (SEO-based discoverability), Digital Engagement (on-site behavioural interaction), Digital Advocacy (social/UGC-based amplification and trust signals), and Strategic Digital Promotion (paid amplification). The core theoretical claim is that sustainability-oriented digital competitiveness is not driven by any single construct, but by their reinforcing and constraining interdependencies. Higher visibility increases the likelihood of qualified visits, which in turn conditions the depth of user engagement. Deeper engagement raises the probability of advocacy and repeats attention through reviews, sharing and recommendation. Advocacy feeds back into visibility and traffic by strengthening reputation and referral pathways. Paid promotion functions as a scalable amplifier within this system and may either reinforce or weaken overall performance depending on its coherence with sustainability positioning. This feedback logic motivates the use of a systems-oriented representation, such as FCM, to examine how incremental changes in one construct propagate through the others.
Dynamic capabilities theory explains how organisations sense environmental changes, seize opportunities and reconfigure resources to sustain competitiveness in turbulent contexts [15,16]. In tourism, these adaptive processes are increasingly data-enabled: destinations interpret digital signals (visitor behaviour, content visibility, social discourse) to adjust marketing strategies and align them with sustainability objectives [34]. Systems thinking complements this perspective by recognising that such adaptations are non-linear and interdependent; changes in one digital domain (e.g., SEO visibility) can modify engagement patterns or advocacy intensity elsewhere, producing emergent outcomes [19].
The conceptual framework (Figure 1) operationalises SDMC through four interrelated digital dimensions:
Digital Engagement (Web Analytics): behavioural metrics such as session duration, pages per visit and bounce rate reflect the depth and quality of user interaction. Strong engagement suggests that visitors find sustainability-oriented content relevant, signalling effective destination communication [6,33].
Digital Visibility (SEO): indexed content volume, backlink authority and keyword relevance determine a destination’s discoverability. Enhanced visibility broadens public access to sustainability narratives and facilitates informed choice [7].
Digital Advocacy (social media Dynamics): user-generated content, sentiment and influencer participation shape trust and perceived authenticity. Advocacy acts as a feedback mechanism translating engagement into reputation and post-visit support [9,10].
Strategic Digital Promotion (Paid Campaigns): targeted campaigns amplify visibility and engagement but must maintain ethical coherence and social inclusiveness to avoid undermining sustainability goals [14].
These components jointly constitute the SDMC construct. Their interactions form a dynamic capability system in which digital analytics serve as learning mechanisms: they sense behavioural change, inform strategic responses and trigger continuous reconfiguration of digital assets. Sustainability-oriented digital competitiveness is strengthened when these digital processes support credible sustainability positioning, stakeholder resonance and coherent communication rather than short-term visibility gains.
Accordingly, the framework expects sustainability-oriented digital competitiveness to be associated with the joint interplay among engagement, visibility, advocacy and promotion rather than any single metric in isolation. The study examines these interdependencies using FCM as an exploratory systems-modelling technique that complements regression outputs by representing feedback relationships and enabling scenario simulations. The results are interpreted as initial empirical support consistent with the SDMC lens, rather than as causal proof. Figure 1 summarises the four SDMC dimensions and the hypothesised directional relationships assessed in the empirical model.

3. Materials and Methods

3.1. Methodological Framework

The methodological framework of this study is structured around a four-stage process designed to systematically analyse and model the relationships between digital marketing metrics and sustainability performance in destination websites. This multi-step approach combines quantitative web analytics with computational modelling to ensure both statistical rigour and interpretive depth. The process begins with comprehensive data collection from verified eco-certified hotel websites, followed by descriptive and correlation analysis to explore basic patterns and interdependencies among key indicators. The third stage applies regression analysis to quantify the causal strength and direction of these relationships, forming the empirical foundation for the final stage. In the fourth and final stage, a FCM model is developed to visualise and simulate the dynamic interactions within the system, enabling scenario testing and non-linear performance evaluation. Together, these stages provide a robust methodological pathway, from raw data acquisition to advanced modelling, capturing both the statistical and systemic dimensions of sustainable digital marketing performance.
In the first phase, quantitative data were retrieved from verified eco-certified hotel websites across multiple regions, selected according to eco-certification status and consistent digital activity. Web analytics indicators, including visits, average pages per visit, bounce rate, social engagement index, online review count, ad spend index, organic traffic share %, Google trends index, indexed pages, domain authority, backlink count, referral domains, and brand search volume, were collected using professional web-intelligence platforms (e.g., SimilarWeb, Google Trends, and SEO toolkits). Data were gathered over a six-month period (April–September 2025) to capture temporal dynamics and seasonal effects in online engagement.
The second stage involved computing descriptive statistics (mean, range, standard deviation, and coefficient of variation) to summarise the overall behaviour and volatility of each variable. A correlation matrix was then constructed to examine the bivariate relationships among all metrics, identifying both direct associations (e.g., between visits and social engagement index) and inverse relationships (e.g., between bounce rate and average pages per visit). This stage served to map the underlying interdependencies that inform the model’s causal structure.
In the third stage, multiple linear regressions were performed to quantify the strength and direction of influence of independent variables on key performance outcomes such as visits, brand search volume, online review count, and organic traffic share %. The resulting coefficients and significance levels (p < 0.05, p < 0.01) provided empirical weights for the subsequent modelling phase, highlighting which digital marketing drivers exert the most substantial impact on sustainable website performance.
The final stage integrated the empirical findings into a Fuzzy Cognitive Map (FCM), representing the interrelated web-analytics constructs as a directed network of nodes (concepts) connected through weighted links. In line with the conceptual structure of the study, link directionality was specified theoretically, while link weights were quantified empirically using standardised correlation coefficients estimated from the hotel–day dataset; thus, each weight captures the sign and relative strength of association between connected variables. To support stable simulation and comparability across relationships, the weight matrix was normalised to the [−1, 1] interval. The FCM was then simulated using a hyperbolic tangent activation function and a baseline state vector reflecting the observed levels over the April–September 2025 window. Six intervention scenarios were implemented by exogenously adjusting selected driver nodes at predefined intensities ( ± 25 % ,   ± 50 % ,   ± 75 % ) in order to examine how the system’s equilibrium outcomes and feedback dynamics evolve under both positive and negative digital changes. This stage enabled visualisation of non-linear propagation effects and reinforcing loops that characterise digital marketing ecosystems in sustainable tourism contexts.

3.2. Sample Retrieval

The sample retrieval process focused on selecting sustainable destination websites that met specific criteria for inclusion in the web analytics analysis and FCM modeling. The study cases were drawn from verified eco-certified hospitality platforms and sustainability-focused hotel listings to ensure representativeness of the green tourism sector [40]. The final sample included Bambu Indah, The Hideout, Adrère Amellal, The Kip, and The Pig at Combe. Additional details are provided in the Supplementary Materials. The five cases span across multiple continents (Appendix A) to support cross-regional coverage and comparability. Although five hotels were selected as cases, the empirical dataset comprises daily hotel-level observations over April–September 2025 (hotel–day unit of analysis), resulting in N = 5 × daily observations for six months. Web analytics and SEO indicators were collected daily using paid access to established digital-intelligence toolkits (SimilarWeb, Semrush, etc.), ensuring full feature availability and consistent metric reporting across cases.
Data extraction followed a standardised protocol: for each official domain, the same six-month observation window (April–September 2025) was applied; the same dashboard settings and filters were used; and the resulting values were exported directly from the platforms’ reporting interfaces (traffic volumes, traffic-source composition, engagement metrics such as bounce rate/pages per visit/average visit duration, SEO indicators such as indexed content proxies and backlink authority metrics, and branded search interest indices from Semrush). The extracted metrics are treated as reliable, high-quality, real web-traffic and demand signals reflecting observed visitor activity across global audiences, without geographic bias, since they capture worldwide traffic patterns and engagement behaviour for each website. This sampling and extraction approach ensured temporal consistency and cross-comparability, supporting the subsequent correlation/regression analysis and the FCM simulation phase.

3.3. Research Hypotheses

The proliferation of web analytics and digital marketing tools has transformed how tourism destinations design and evaluate their sustainability strategies. Data derived from online interactions, such as website traffic, engagement depth, organic visibility, and review activity, provide critical insights into travellers’ digital behaviours and perceptions [19,41]. In the context of sustainable tourism, leveraging these digital metrics supports destination managers in promoting eco-friendly practices while enhancing online visibility and traveller advocacy [25]. The following hypotheses explore how web analytics dimensions contribute to the promotion of sustainable destinations.
Website visits represent a primary indicator of digital demand and destination attractiveness [42]. Social engagement and online reviews act as electronic word-of-mouth channels that amplify trust and interest in sustainability-oriented destinations [43]. Likewise, advertising investment and search-trend visibility increase consumer exposure and intent to explore eco-friendly options [44]. Previous studies show a strong link between brand visibility on social platforms and traffic inflows [45], indicating that marketing communication and reputation management jointly enhance visitor acquisition. Hence, H1 posits that engagement, reviews, ad spend, and search visibility positively influence the number of visits to sustainable destination websites.
H1. 
Higher levels of digital engagement, visibility, and paid promotion significantly increase web traffic to sustainable destinations.
Average pages per visit reflect users’ cognitive and affective involvement [46]. Research on destination websites indicates that longer session duration and rich, interactive content encourage visitors to explore sustainability initiatives and eco-certifications [26]. Conversely, high bounce rates signify misalignment between visitor expectations and digital content [47]. Organic traffic, users arriving through unpaid search, typically demonstrates higher informational intent and content trust [41]. Thus, engagement depth is driven by authentic, informative, and optimised content experiences. Accordingly, H2 asserts that session duration and organic reach increase engagement quality, whereas bounce rate reduces it.
H2. 
Visitor behavior metrics such as time on site, lower bounce rate, and higher organic reach significantly enhance user engagement depth on sustainable destination websites.
Brand search frequency on Google and other engines mirrors destination awareness and digital recall [48]. Social media conversations and online reviews serve as catalysts for user curiosity and search behaviour [12]. Paid advertisements further extend reach to sustainability-minded audiences, reinforcing eco-branding narratives [49]. Studies in tourism marketing confirm that integrated paid and organic campaigns generate higher brand recognition and destination consideration [50]. Thus, H3 suggests that advertising, social engagement, reviews, and trend visibility jointly enhance brand search interest for sustainable destinations.
H3. 
Digital marketing efforts and social media visibility significantly increase online brand search volume for sustainable destinations.
Search-engine visibility plays a decisive role in sustainable tourism competitiveness [51]. Indexed pages, backlinks, and domain authority reflect a destination’s digital maturity and informational credibility [52]. According to Xiang et al. [53], destinations that maintain strong backlink networks and optimised site structures capture a larger share of organic search visits. Furthermore, organic reach offers cost-efficient, long-term visibility that aligns with sustainability principles by minimising dependence on paid media [54]. Hence, H4 proposes that SEO metrics, indexed content, backlinks, referral domains, and authority, positively influence the organic traffic share of sustainable destinations.
H4. 
Search engine optimization indicators, including indexed content and backlink authority, positively affect the share of organic traffic to sustainable destination websites.
Online reviews serve as post-consumption advocacy and social proof of trust in sustainable practices [55]. High social engagement encourages travellers to share experiences, while advertising and organic visibility increase visitor inflows likely to contribute reviews [56]. Moreover, time spent on a website or mobile application reflects affective involvement that can later translate into review behaviour [57]. Accordingly, H5 postulates that online review activity is positively influenced by social engagement, advertising exposure, organic reach, and visitor interaction duration.
H5. 
Online review activity is positively associated with social engagement, advertising exposure, organic reach, and time on site.
Collectively, these hypotheses conceptualise a digital pathway where web analytics act as enablers of sustainable destination performance. Marketing and engagement metrics (H1–H3) enhance awareness and traffic, technical SEO (H4) ensures long-term discoverability, and post-visit advocacy (H5) reinforces destination reputation. This multidimensional approach aligns with calls for data-driven, ethically managed tourism marketing [50], offering a framework to evaluate how online performance indicators can sustain competitive yet responsible growth for eco-friendly destinations.

4. Results

4.1. Descriptive Statistics

The descriptive analysis in Table 1 reveals a relatively balanced web-performance structure across the examined eco-certified hotel websites. Average monthly visits were approximately 23,472, displaying a modest 4.4% coefficient of variation and a steady seasonal rise culminating in August, which coincides with tourism peaks. User engagement indicators such as average pages per visit (≈3.73) and visit duration (≈123 s) showed high stability and limited volatility, implying consistent navigation behaviour among eco-conscious travellers. Bounce rate remained low and steady (44.3%), indicating that visitors tend to explore multiple pages before exiting.
The social engagement index and online review count were the most dynamic metrics (CV ≈ 11.7% and 20.4%, respectively), signalling strong mid-year interaction and advocacy patterns that coincide with the peak season. Similarly, ad spend index and brand search volume displayed a uniform upward trend, denoting synchronised marketing efforts and heightened brand awareness. Technical SEO measures (indexed pages, domain authority, backlinks, and referral domains) remained highly stable, suggesting that on-site optimisation practices are already mature across these destinations.

4.2. Correlation Analysis

The correlation matrix in Table 2 highlights strong, statistically significant interdependencies among behavioural, engagement, and marketing variables. Visits exhibit very high positive correlations with social engagement index (r = 0.96), online review count (r = 0.94), and Google Trends index (r = 0.97), demonstrating that social activity and search visibility jointly drive user acquisition. Bounce rate maintains a consistent negative association with all engagement metrics (−0.70 to −0.78), reinforcing that greater interaction depth lowers the probability of early site exits.
Cross-relations between ad spend, brand search volume, and organic traffic share confirm the interplay between paid and organic marketing channels, showing that investment in visibility yields cumulative effects on awareness and organic reach. Moreover, SEO-related variables (backlinks, referral domains, indexed pages) strongly correlate with organic traffic (>0.80), emphasising the structural role of technical authority in sustaining discoverability. These correlation patterns collectively validate the theoretical premise that integrated engagement, content quality, and technical optimisation reinforce sustainable digital performance for eco-hospitality websites.

4.3. Regression Analysis

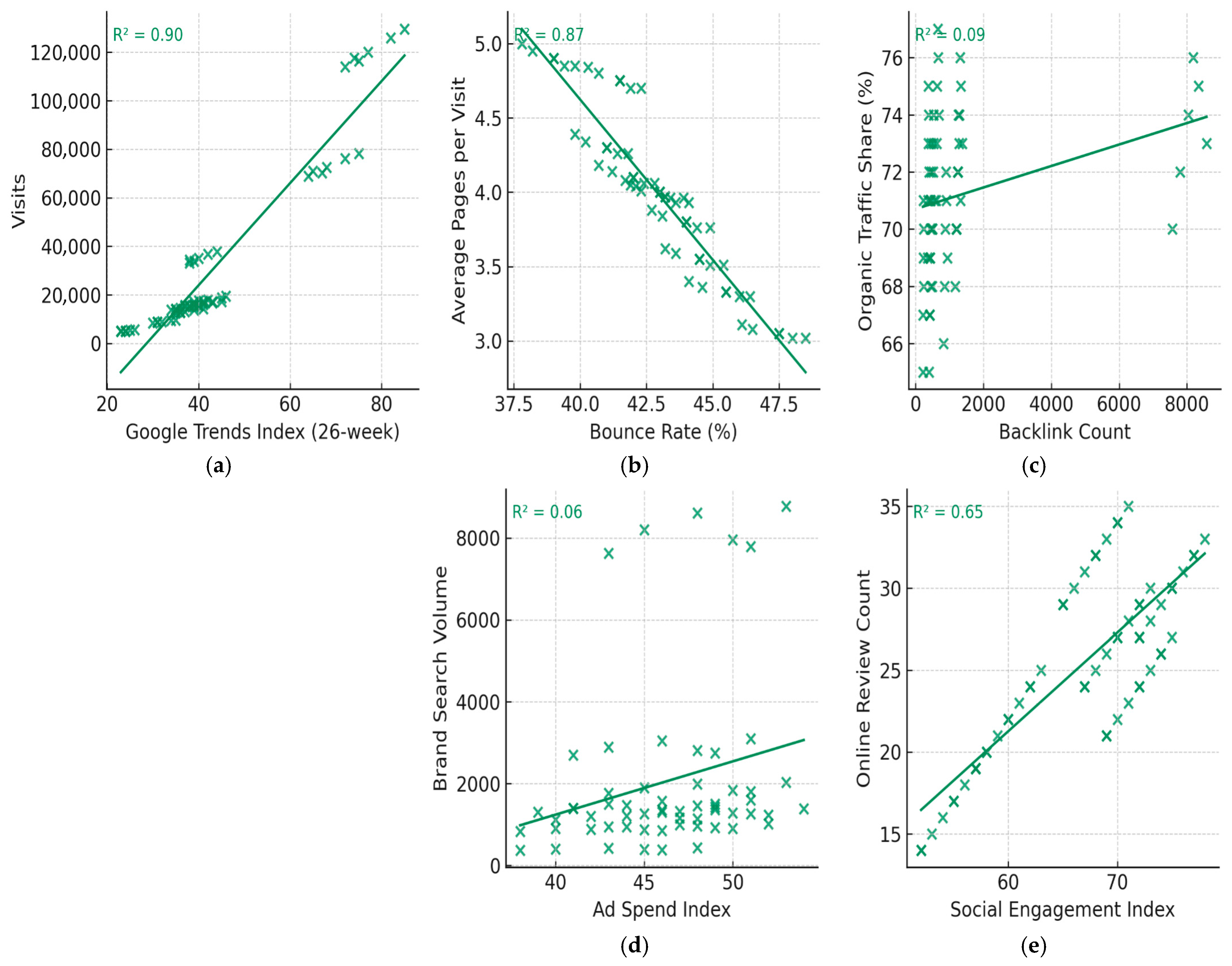
Regression outcomes (Table 3 and Figure 2) further clarify the causal directions identified in the correlation analysis. The model predicting visits yields an R2 = 0.84, confirming that over 80% of the variance in site traffic can be explained by social engagement, reviews, ad spend, Google Trends, and organic traffic share. The strongest coefficient belongs to the social engagement index (β = 148.52, p < 0.01), underlining the dominance of interactive content in attracting visitors.
For average pages per visit, both bounce rate (β = −0.035, p < 0.01) and visit duration (β = 0.006, p < 0.05) significantly shape engagement depth (R2 = 0.69), consistent with the steep inverse slope shown in Figure 2b. Brand search volume (R2 = 0.80) depends primarily on ad spend (β = 18.74, p < 0.01) and social engagement (β = 15.92, p < 0.01), confirming that promotional exposure amplifies brand awareness.
SEO-performance regression (R2 = 0.78) indicates that domain authority and referral domains are the most influential drivers of organic traffic share, which aligns with Figure 2c. Lastly, the online review count model (R2 = 0.82) demonstrates that social engagement (β = 0.214, p < 0.01) and ad spend (β = 0.142, p < 0.05) significantly predict advocacy outcomes, validating the positive slope observed in Figure 2e. Collectively, these models confirm that digital engagement, marketing investment, and SEO authority jointly sustain the visibility and trustworthiness of sustainable destinations.

4.4. Fuzzy Cognitive Mapping Modelling

A FCM is a modelling technique that represents complex systems as networks of interconnected variables linked by weighted causal relationships. Combining elements of fuzzy logic and systems theory, FCMs capture both the strength and direction of influence among factors, allowing simulation of how changes in one variable affect others over time [58,59]. This makes them ideal for analysing dynamic, uncertain environments, such as digital marketing or sustainable tourism, where multiple feedback loops shape overall system behaviour and performance.
The FCM model developed for this study (Figure 3) captures the complex web of interdependencies among digital marketing, SEO, and engagement indicators for sustainable destination websites. Each node represents a web analytic variable, such as visits, brand search volume, organic traffic share %, online review count, and average pages per visit, while directional weighted edges denote causal influences identified through correlation and regression analysis. The model highlights a predominantly positive reinforcement system, where improvements in social engagement index, ad spend index, and domain authority collectively enhance visits and brand awareness. conversely, the bounce rate acts as a negatively weighted node, exerting a damping effect on user engagement variables and overall performance.
The visual topology of the FCM reveals several strong positive feedback loops, notably between visits, online review count, and organic traffic share %. These loops illustrate the self-reinforcing mechanism typical of sustainable tourism marketing ecosystems—where increased website traffic and visibility lead to greater review activity and organic reach, further attracting new visitors. Weaker but still significant positive pathways are observed between indexed pages, backlink count, and domain authority, indicating that technical SEO elements indirectly sustain performance growth through improved search visibility. The bounce rate, shown with opposing directional arrows, introduces the system’s stabilising counterforce, preventing runaway amplification by penalising poor on-site engagement or content mismatch.
To explore the dynamic behaviour of this system, six simulation scenarios were executed using a hyperbolic tangent activation function, enabling the modelling of non-linear interactions under incremental policy and performance shifts (Figure 4). Scenarios 1–3 simulate progressive positive changes from +25% to +75% across strategic levers (social, technical, and financial variables), revealing a near-proportional increase in core engagement metrics such as Visits, Brand Search Volume, and Online Review Count. These scenarios demonstrate that targeted investment in engagement and SEO variables can yield measurable compounding gains in overall digital performance.
In contrast, Scenarios 4–6 introduce negative adjustments (−25% to −75%) across the same variables, resulting in marked declines in all dependent indicators. The strongest deterioration is observed in Organic Traffic Share % and Average Pages per Visit, suggesting that organic visibility and session depth are highly sensitive to reductions in digital investment intensity or technical authority. The progressive nature of decline between scenarios also underlines the non-linear fragility of the system, once the positive reinforcement feedback loop is disrupted, performance metrics deteriorate faster than they recover.
Overall, the FCM simulations confirm that web analytics for sustainable destinations function as a complex adaptive system where improvements in one domain (e.g., social engagement or ad investment) propagate through interlinked channels to amplify global performance. Conversely, strategic neglect or underinvestment triggers a cascade of declines across interconnected variables. This model thus offers a diagnostic and predictive tool for decision-makers in sustainable tourism and hospitality, allowing them to test intervention policies virtually before implementation.

5. Discussion

The findings provide quantitative evidence consistent with the SDMC framework, based on regression estimates and FCM-based scenario simulations. Together, these analyses indicate that sustainability-oriented digital competitiveness is associated with the joint interplay of engagement, visibility, advocacy and promotion metrics rather than any single indicator in isolation. The discussion therefore interprets these relationships as directional associations and system sensitivities derived from web-analytics data from eco-certified hotel websites, not as direct measures of environmental or social sustainability impacts. Findings associated with the first hypothesis indicate that website traffic is primarily driven by social engagement, online review activity, advertising investment and search visibility, with an explanatory power exceeding 80%. The dominant influence of engagement metrics supports prior evidence that interactive, participatory communication substantially increases online visibility and visitor acquisition [1,9]. The positive association between advertising expenditure and web traffic further confirms that paid promotion continues to play a strategic role in enhancing digital reach, even within sustainability-oriented markets [14]. The combined effect of engagement and paid exposure demonstrates that these variables operate synergistically, suggesting that visitor flow is most effectively generated when social visibility and strategic promotion are integrated within a coherent digital ecosystem.
The second hypothesis, which examined behavioural indicators of engagement depth, was also supported. Longer session duration and higher organic traffic share were associated with a greater number of pages viewed per visit, while bounce rate exerted a negative effect on engagement. These patterns confirm that user interaction in sustainability-focused websites reflects not only interest but also cognitive involvement with relevant content [6,33]. The negative relationship between bounce rate and interaction depth reinforces the interpretation of behavioural analytics as feedback mechanisms, consistent with systems-thinking approaches that conceptualise user behaviour as part of a dynamic learning process [18].
Evidence related to the third hypothesis further demonstrates that digital visibility and social exposure are decisive determinants of brand awareness. Both advertising expenditure and social engagement significantly increased online search interest, supporting the idea that sustained digital exposure enhances brand recall and strengthens recognition of sustainability narratives [47,50]. These results align with the argument that ethical visibility, rooted in transparency and consistent messaging, amplifies digital competitiveness by reinforcing credibility and user trust [3].
The fourth hypothesis, addressing search engine optimisation and organic discoverability, was also supported. Indexed content, backlink authority, referral-domain quality and domain authority were all significant predictors of organic traffic share. These relationships emphasise that SEO performance constitutes a structural component of digital competitiveness, ensuring that sustainability-related information remains accessible and verifiable [7,8]. The positive association between indexed content and organic traffic supports previous findings that rich, transparent content enhances search rankings and reinforces perceived authenticity [25]. Within the SDMC framework, these outcomes indicate that digital visibility functions as a core capability that enables destinations to sense and respond to evolving sustainability demand.
The fifth hypothesis examined the determinants of online advocacy, linking review activity with prior engagement, advertising, organic reach and interaction time. Regression results confirmed significant positive relationships for all variables, with social engagement and advertising showing the strongest coefficients. These results indicate that advocacy emerges from interactive participation and trust formation rather than random visitor behaviour, echoing previous research on the connection between engagement and electronic word-of-mouth [10,47].
The conclusions are derived from quantitative indicators and statistical models, not from qualitative website inspection alone. Specifically, the regression models estimate the magnitude and direction of relationships among engagement, visibility, advocacy and promotion variables (with statistical significance), and these empirically estimated relationships are then used to parameterise the FCM simulations to examine system-level propagation under alternative scenarios. Given the specific number of case websites, replication of the same analytical pipeline on a broader set of eco-certified hotels and additional robustness checks would strengthen external validity.
The FCM simulation demonstrates distinct non-linear sensitivities: moderate gains in engagement produce steady performance improvements, whereas comparable reductions trigger disproportionately large declines, underscoring the inherent fragility of digital sustainability ecosystems. The model identifies strong positive feedback loops linking engagement, SEO authority and advertising expenditure, collectively amplifying web traffic, brand visibility and online advocacy. Bounce rate acts as a stabilising yet constraining variable, dampening the strength of these reinforcing mechanisms. This asymmetric behaviour indicates that sustainability-oriented digital competitiveness is more vulnerable to underinvestment and strategic discontinuity than it is responsive to marginal effort increases, reinforcing the importance of consistent, long-term digital governance over short-lived promotional campaigns. Collectively, these results highlight that this capability outcome depends on systemic coherence among interdependent marketing variables, thereby reinforcing the feedback-driven adaptation logic implied by SDMC and providing additional quantitative evidence consistent with this systems interpretation.
Beyond their statistical significance, the results provide interpretable insights into how sustainability-oriented digital strategies are enacted in practice. The asymmetric sensitivities identified by the FCM suggest that engagement and visibility are perceived by practitioners as fragile yet central resources: modest declines in interaction or credibility signals can rapidly erode digital performance, whereas incremental investments yield more gradual returns. From a managerial perspective, this implies that sustainability-oriented digital competitiveness is maintained less through isolated campaigns and more through continuous governance of content quality, interaction design and credibility signals. The findings therefore align with practitioner-oriented views that sustainable positioning online depends on consistency, trust maintenance and the avoidance of strategic discontinuity rather than short-term optimisation.
Interpreted through the lens of sustainable development theory, these findings emphasise the importance of long-term orientation, systemic coherence and responsible governance in digital transformation processes. The identified feedback dynamics suggest that sustainability-oriented digital competitiveness depends not on short-term optimisation, but on maintaining stable, credible and transparent digital practices that support stakeholder trust over time. From a sustainable development perspective, the fragility observed in engagement and visibility signals reflects the risks of opportunistic or inconsistent communication, which can undermine legitimacy and accountability. Accordingly, SDMC aligns with sustainable development principles by framing digital marketing capabilities as mechanisms for institutional learning, resilience and value consistency, rather than as tools for short-term visibility maximisation.
Taken together, the hypothesis-driven findings support the SDMC lens by showing that sustainability-oriented digital competitiveness is associated with the coordinated interaction of behavioural, algorithmic and promotional processes in ways consistent with long-term sustainability principles. Engagement, visibility and advocacy co-evolve as adaptive capabilities within a feedback-rich ecosystem in which each component can amplify or constrain the others. In this sense, SDMC characterises an adaptive configuration of digital processes that strengthens credible sustainability positioning and stakeholder resonance online, while direct environmental and social impacts remain an important direction for future research requiring dedicated sustainability measurement.

6. Conclusions

This study examined the strategic integration of web analytics and big data to improve the visibility and competitiveness of sustainable tourist destinations [33,50]. The research utilised statistical analysis and fuzzy cognitive mapping to establish that digital marketing performance is a dynamic, adaptive system influenced by interdependent aspects, including social interaction, search visibility, and promotional expenditures [58]. The findings collectively highlight the essential importance of interactive engagement and strategic marketing in fostering digital competitiveness and enhancing sustainability-focused destination branding.

6.1. Theoretical Implications

Theoretically, the study enhances the comprehension of digital marketing systems by illustrating their adaptive and feedback-driven characteristics. The empirical validation of the Sustainable Digital Marketing Capability (SDMC) framework enhances systems-thinking literature by demonstrating that user engagement and destination attractiveness co-evolve via continuous data-driven feedback loops [14,38]. Moreover, the use of fuzzy cognitive mapping provides an innovative methodological advancement, facilitating the visualisation of non-linear interrelationships among behavioural, promotional, and perceptual elements [6,17]. This multifaceted method enhances theoretical understanding of how internet user behaviour influences the connection between environmental awareness and destination attractiveness [11].

6.2. Practical Implications

The findings offer practical insights for destination marketers, legislators, and sustainability professionals. The evident impact of social interaction and sponsored promotion on online traffic underscores the necessity of sustaining a healthy digital environment in which organic engagement and strategic advertising function synergistically. Tourism firms are urged to implement data-driven monitoring systems that consistently measure engagement depth metrics—such as session duration and bounce rates—to enhance content strategies and increase user retention [6,11]. Furthermore, the focus on ethical visibility and transparent communication provides a framework for bolstering consumer trust, especially in the sustainability sector where authenticity and credibility are essential. By utilising analytics-driven decision-making, destination managers can synchronise marketing efficiency with environmental responsibility, thereby promoting sustainable competitiveness.

6.3. Limitations and Future Research

The sensitivity analysis indicates that incremental increases in involvement and SEO authority correlate with proportional enhancements in key performance indicators, while negative shocks, such as reduced engagement or weakened backlink structures, may result in more pronounced declines, especially in organic traffic and advocacy intensity; however, these trends should be interpreted cautiously. Due to the models’ dependence on a limited sample size, such judgements lack robust empirical evidence and should be regarded as suggestive rather than definitive. Extensive datasets are necessary to thoroughly validate the asymmetric impacts of positive and negative shocks.
The extensive integrative focus of this study, encompassing sustainability marketing, digital analytics, and computer modelling, may compromise analytical rigour. Future studies could enhance rigour by more explicitly establishing Fuzzy Cognitive Maps (FCM) as the fundamental mechanism connecting digital analytics to conveyed sustainable authenticity. Methodologically, FCM reduces system complexity and may neglect non-digital or emerging aspects affecting sustainability competitiveness, including regulatory or governance elements. The generalisability is constrained due to significant variations in sustainability signalling tactics and digital infrastructures across different destinations, especially among mass-market, rural, and digitally underdeveloped areas. Moreover, dependence on platform-specific digital and SEO indicators engenders apprehensions about replicability, due to continual algorithmic modifications and erratic data accessibility in lesser-known locales. Ultimately, digital marketing effectiveness is fluid and influenced by seasonal variations; therefore, results must be understood as contextually and temporally contingent. Subsequent research should evaluate the framework across other destination categories, platforms, and temporal contexts.
Considering its merits, the study exhibits numerous shortcomings that merit discussion. Although the dataset includes global destinations, disparities in data quality, reporting standards, and digital infrastructure across areas may have resulted in errors that could affect comparison analysis. The dependence on secondary digital metrics—such as website performance indicators, search trends, and social media analytics—restricts the ability to understand the fundamental motivational or emotional aspects of user behaviour. Future research should incorporate primary data gathering techniques, such as questionnaires or experimental designs, to connect behavioural findings with perceptual and attitudinal evidence. Furthermore, although the fuzzy cognitive map effectively models systemic interrelations, it provides a static depiction of intricate processes.
The study prioritises quantitative and model-based findings, while recognising that high-quality interviews with experts in the field could offer significant interpretive depth; thus, these interviews are deemed a crucial avenue for future research. Longitudinal or time-series methodologies would facilitate the analysis of the dynamic relationships among involvement, visibility, and sustainability consciousness over time. Future research may investigate the moderating influence of technological maturity, platform algorithms, and developing AI tools on digital marketing performance. Ultimately, the integration of sophisticated analytical frameworks—such as deep learning-driven sentiment analysis, predictive modelling of user trajectories, and the incorporation of immersive technologies like virtual or augmented reality—could greatly enhance both theoretical and practical insights into digital competitiveness within sustainable tourism ecosystems.

Supplementary Materials

The following supporting information can be downloaded at: https://www.mdpi.com/article/10.3390/world7010009/s1.

Author Contributions

Conceptualization, D.P.R., N.T.G., M.C.T., D.P.S., M.S. and C.K.K.; methodology, D.P.R., N.T.G., M.C.T., D.P.S., M.S. and C.K.K.; software, D.P.R., N.T.G., M.C.T., D.P.S., M.S. and C.K.K.; validation, D.P.R., N.T.G., M.C.T., D.P.S., M.S. and C.K.K.; formal analysis, D.P.R., N.T.G., M.C.T., D.P.S., M.S. and C.K.K.; investigation, D.P.R., N.T.G., M.C.T., D.P.S., M.S. and C.K.K.; resources, D.P.R., N.T.G., M.C.T., D.P.S., M.S. and C.K.K.; data curation, D.P.R., N.T.G., M.C.T., D.P.S., M.S. and C.K.K.; writing—original draft preparation, D.P.R., N.T.G., M.C.T., D.P.S., M.S. and C.K.K.; writing—review and editing, D.P.R., N.T.G., M.C.T., D.P.S., M.S. and C.K.K.; visualisation, D.P.R., N.T.G., M.C.T., D.P.S., M.S. and C.K.K.; supervision, D.P.R., N.T.G., M.C.T., D.P.S., M.S. and C.K.K.; project administration, D.P.R., N.T.G., M.C.T., D.P.S., M.S. and C.K.K.; funding acquisition, D.P.R., N.T.G., M.C.T., D.P.S., M.S. and C.K.K. All authors have read and agreed to the published version of the manuscript.

Funding

This research received no external funding.

Institutional Review Board Statement

Not applicable.

Informed Consent Statement

Not applicable.

Data Availability Statement

The data presented in this study are available on request from the corresponding author.

Conflicts of Interest

The authors declare no conflicts of interest.

Appendix A

Table A1. Characteristics of sample’s hotel list.
Table A1. Characteristics of sample’s hotel list.
Hotel/PropertyOfficial WebsiteCountryContinent
Bambu Indahbambuindah.com (accessed on 5 January 2026)Indonesia (Bali)Asia
The Hideout
(Hideout Bali)
hideoutbali.com (accessed on 5 January 2026)Indonesia (Bali)Asia
Adrère Amellaladrereamellal.com (accessed on 5 January 2026)Egypt (Siwa)Africa
The Kip (Kip Hotel)getsomekip.com (accessed on 5 January 2026)United Kingdom
(London, UK)
Europe
The Pig at Combethepighotel.com/at-combe (accessed on 5 January 2026)United Kingdom
(Devon, UK)
Europe

References

  1. Veseli, A.; Bytyqi, L.; Hasanaj, P.; Bajraktari, A. The Impact of Digital Marketing on Promotion and Sustainable Tourism Development. Tour. Hosp. 2025, 6, 56. [Google Scholar] [CrossRef]
  2. Kumar, S.; Kumar, V.; Kumari Bhatt, I.; Kumar, S.; Attri, K. Digital transformation in tourism sector: Trends and future perspectives from a bibliometric-content analysis. J. Hosp. Tour. Insights 2024, 7, 1553–1576. [Google Scholar] [CrossRef]
  3. Alhaddar, M.; Kummitha, H.R. Digitalization and sustainable branding in tourism destinations from a systematic review perspective. Discov. Sustain. 2025, 6, 1167. [Google Scholar] [CrossRef]
  4. UNTWO. 17th UNWTO/PATA Forum on Tourism Trends and Outlook—Transforming Tourism for People, Planet and Prosperity; 26–28 October 2023, Guilin, China, Executive Summary; UNWTO: Madrid, Spain, 2023. Available online: https://webunwto.s3.eu-west-1.amazonaws.com/s3fs-public/2023-12/2023-17th-unwto-pata-forum-on-tourism-trends-and-outlook-transforming-tourism-for-people-planet-and-prosperity-26-28.pdf?VersionId=4a6U6pOdPRil.0x5qqOx6tA9HFvTFYBT (accessed on 8 November 2025).
  5. OECD. Creating Economic Prosperity Through Inclusive and Sustainable Tourism: G7/OECD Policy Priorities Paper; OECD Tourism Papers, 2024/01; OECD Publishing: Paris, France, 2024. [Google Scholar] [CrossRef]
  6. Reklitis, D.P.; Terzi, M.C.; Sakas, D.P.; Reklitis, P. Harnessing Digital Marketing Analytics for Knowledge-Driven Digital Transformation in the Hospitality Industry. Information 2025, 16, 868. [Google Scholar] [CrossRef]
  7. Morais, E.P.; Esteves, E.T.; Cunha, C.R. SEO in Rural Tourism: A Case Study of Terras de Trás-os-Montes—Portugal. Information 2025, 16, 465. [Google Scholar] [CrossRef]
  8. Roumeliotis, K.I.; Tselikas, N.D.; Tryfonopoulos, C. Greek Hotels’ Web Traffic: A Comparative Study Based on Search Engine Optimization Techniques and Technologies. Digital 2022, 2, 379–400. [Google Scholar] [CrossRef]
  9. Velentza, A.; Metaxas, T. The Role of Digital Marketing in Tourism Businesses: An Empirical Investigation in Greece. Businesses 2023, 3, 272–292. [Google Scholar] [CrossRef]
  10. Javed, A.; Vardarsuyu, M.; Can, A.S.; Ekinci, Y. Social media influencers in tourism and hospitality: A comprehensive review combining bibliometric analysis and systematic literature review. Anatolia 2025, 36, 874–904. [Google Scholar] [CrossRef]
  11. Sakas, D.P.; Reklitis, D.P.; Terzi, M.C.; Vassilakis, C. Multichannel Digital Marketing Optimizations through Big Data Analytics in the Tourism and Hospitality Industry. J. Theor. Appl. Electron. Commer. Res. 2022, 17, 1383–1408. [Google Scholar] [CrossRef]
  12. Dwivedi, Y.K.; Ismagilova, E.; Hughes, D.L.; Carlson, J.; Filieri, R.; Jacobson, J.; Jain, V.; Karjaluoto, H.; Kefi, H.; Krishen, A.S.; et al. Setting the future of digital and social media marketing research: Perspectives and research propositions. Int. J. Inf. Manag. 2021, 59, 102168. [Google Scholar] [CrossRef]
  13. Rosário, A.T.; Dias, J.C. The Role of Digital Marketing in Shaping Sustainable Consumption: Insights from a Systematic Literature Review. Sustainability 2025, 17, 7784. [Google Scholar] [CrossRef]
  14. Bashar, A.; Alkadash, T.; Nyagadza, B.; Muposhi, A. Sustainable digital marketing (SDM): Review, taxonomy, conceptualisation and future research avenues mapping. In Quality & Quantity; Springer: Berlin/Heidelberg, Germany, 2025. [Google Scholar] [CrossRef]
  15. Nguyen, H.T.T.; Pham, H.S.T.; Freeman, S. Dynamic capabilities in tourism businesses: Antecedents and outcomes. Rev. Manag. Sci. 2023, 17, 1645–1680. [Google Scholar] [CrossRef]
  16. Teece, D.J. Business Models and Dynamic Capabilities, Long Range Planning; Institute for Business Innovation, F402 Haas School of Business: Berkeley, CA, USA, 2018; Volume 51, pp. 40–49. [Google Scholar] [CrossRef]
  17. Sakas, D.P.; Reklitis, D.P.; Trivellas, P. Social media analytics for customer satisfaction based on user engagement and interactions in the tourism industry. In Computational and Strategic Business Modelling; Springer International Publishing: Cham, Switzerland, 2024; pp. 103–109. ISBN 9783031413704. [Google Scholar]
  18. Jha, S.; Nanda, S.; Zapata, O.; Acharya, B.; Dalai, A.K. A Review of Systems Thinking Perspectives on Sustainability in Bioresource Waste Management and Circular Economy. Sustainability 2024, 16, 10157. [Google Scholar] [CrossRef]
  19. Gretzel, U.; Fuchs, M.; Baggio, R.; Hoepken, W.; Law, R.; Neidhardt, J.; Pesonen, J.; Zanker, M.; Xiang, Z. e-Tourism beyond COVID-19: A call for transformative research. Inf. Technol. Tour. 2020, 2, 187–203. [Google Scholar] [CrossRef]
  20. Happ, É.; Horváth, Z.; Kupi, M. Digital services of tourist areas—Key to competitiveness. J. Infrastruct. Policy Dev. 2024, 8, 3912. [Google Scholar] [CrossRef]
  21. Khelashvili, I.; Okroshidze, L. Exploring the Tourism Competitiveness of a Destination: A Case Study of Georgia. Sustainability 2025, 17, 3342. [Google Scholar] [CrossRef]
  22. Yolcu, S.; Şahin, A.; Dirsehan, T. Gaining Ground: How Technology Fuels Hotel Competitiveness—A Systematic Review of the Literature. Tour. Plan. Dev. 2025, 25, 1–31. [Google Scholar] [CrossRef]
  23. Madzík, P.; Falát, L.; Copuš, L.; Valeri, M. Digital transformation in tourism: Bibliometric literature review based on machine learning approach. Eur. J. Innov. Manag. 2023, 26, 177–205. [Google Scholar] [CrossRef]
  24. Mariani, M.; Baggio, R. Big data and analytics in hospitality and tourism: A systematic literature review. Int. J. Contemp. Hosp. Manag. 2022, 34, 231–278. [Google Scholar] [CrossRef]
  25. Font, X.; McCabe, S. Sustainability and marketing in tourism: Its contexts, paradoxes, approaches, challenges and potential. J. Sustain. Tour. 2017, 25, 869–883. [Google Scholar] [CrossRef]
  26. Zeqiri, A.; Ben Youssef, A.; Maherzi Zahar, T. The Role of Digital Tourism Platforms in Advancing Sustainable Development Goals in the Industry 4.0 Era. Sustainability 2025, 17, 3482. [Google Scholar] [CrossRef]
  27. Nguyen, L.V. OurSCARA: Awareness-Based Recommendation Services for Sustainable Tourism. World 2024, 5, 471–482. [Google Scholar] [CrossRef]
  28. Rodrigues, V.; Eusébio, C.; Breda, Z. Enhancing sustainable development through tourism digitalisation: A systematic literature review. Inf. Technol. Tour. 2023, 25, 13–45. [Google Scholar] [CrossRef]
  29. González, R.; Martínez, F.; Serrano, D. Digital Sustainable Tourism: A Research Review. ESIC Mark. Econ. Bus. J. 2025, 56, e444. [Google Scholar] [CrossRef]
  30. Bekele, H.; Raj, S. Digitalization and digital transformation in the tourism industry: A bibliometric review and research agenda. Tour. Rev. 2025, 80, 894–913. [Google Scholar] [CrossRef]
  31. Florido-Benítez, L.; del Alcázar Martínez, B. How Artificial Intelligence (AI) Is Powering New Tourism Marketing and the Future Agenda for Smart Tourist Destinations. Electronics 2024, 13, 4151. [Google Scholar] [CrossRef]
  32. Jansen, B.J.; Jung, S.G.; Salminen, J. Measuring user interactions with websites: A comparison of two industry standard analytics approaches using data of 86 websites. PLoS ONE 2022, 17, e0268212. [Google Scholar] [CrossRef]
  33. Aman, E.E.; Papp-Váry, Á. Digital Marketing as a Driver for Sustainable Tourism Development: A Systematic Literature Review. Multidiszcip. Kihívások Sokszínű Válaszok 2022, 10, 3–33. [Google Scholar] [CrossRef]
  34. Prester, J. Operating and Dynamic Capabilities and Their Impact on Operating and Business Performance. Sustainability 2023, 15, 15181. [Google Scholar] [CrossRef]
  35. Van Hoang, D.; Thi Hien, N.; Van Thang, H.; Nguyen Truc Phuong, P.; Thi-Thuy Duong, T. Digital Capabilities and Sustainable Competitive Advantages: The Case of Emerging Market Manufacturing SMEs. Sage Open 2025, 15, 21582440251329967. [Google Scholar] [CrossRef]
  36. Sorescu, A.; Schreier, M. Innovation in the digital economy: A broader view of its scope, antecedents, and consequences. J. Acad. Mark. Sci. 2021, 49, 627–631. [Google Scholar] [CrossRef]
  37. de Almeida Barbosa Franco, J.; Franco Junior, A.; Battistelle, R.A.G.; Bezerra, B.S. Dynamic Capabilities: Unveiling Key Resources for Environmental Sustainability and Economic Sustainability, and Corporate Social Responsibility towards Sustainable Development Goals. Resources 2024, 13, 22. [Google Scholar] [CrossRef]
  38. Madhavaram, S.; Nirjar, A. Capability development for sustainable marketing: A theoretical framework. AMS Rev. 2025, 15, 157–190. [Google Scholar] [CrossRef]
  39. Lasisi, T.T.; Odei, S.A.; Eluwole, K.K. Smart destination competitiveness: Underscoring its impact on economic growth. J. Tour. Futures 2025, 11, 286–306. [Google Scholar] [CrossRef]
  40. The Hotel Journal. The World’s Most Sustainable Hotels: Stay in Eco-Friendly Style. 2025. Available online: https://thehoteljournal.com/worlds-most-sustainable-hotels/ (accessed on 10 October 2025).
  41. Chaffey, D.; Smith, P.R. Digital Marketing Excellence: Planning, Optimizing and Integrating Online Marketing; Routledge: London, UK, 2022. [Google Scholar]
  42. Buhalis, D.; Foerste, M.K. SoCoMo Marketing for Travel and Tourism. In Information and Communication Technologies in Tourism 2014; Xiang, Z., Tussyadiah, I., Eds.; Springer: Cham, Switzerland, 2014; pp. 175–185. [Google Scholar] [CrossRef]
  43. Su, L.; Huang, Y.; Hsu, M. Unraveling the impact of destination reputation on place attachment and behavior outcomes among Chinese urban tourists. J. Hosp. Tour. Insights 2018, 1, 290–308. [Google Scholar] [CrossRef]
  44. Pencarelli, T. The digital revolution in the travel and tourism industry. Inf. Technol. Tour. 2020, 22, 455–476. [Google Scholar] [CrossRef]
  45. Sigala, M. Social media and customer engagement in tourism. Int. J. Tour. Res. 2018, 20, 49–59. [Google Scholar]
  46. Bilro, R.G.; Loureiro, S.M.C.; Baggi, D. Local food, global journeys: The interplay of food motivations and social media influencing food tourism. J. Foodserv. Bus. Res. 2025, 8, 1–26. [Google Scholar] [CrossRef]
  47. Thirumalesh Madanaguli, A.; Kaur, P.; Bresciani, S.; Dhir, A. Entrepreneurship in rural hospitality and tourism. A systematic literature review of past achievements and future promises. Int. J. Contemp. Hosp. Manag. 2021, 33, 2521–2558. [Google Scholar] [CrossRef]
  48. Hays, S.; Page, S.J.; Buhalis, D. Social media as a destination marketing tool: Its use by national tourism organisations. Curr. Issues Tour. 2013, 16, 211–239. [Google Scholar] [CrossRef]
  49. Low, S.; Ullah, F.; Shirowzhan, S.; Sepasgozar, S.M.E.; Lin Lee, C. Smart Digital Marketing Capabilities for Sustainable Property Development: A Case of Malaysia. Sustainability 2020, 12, 5402. [Google Scholar] [CrossRef]
  50. Mariani, M.; Borghi, M. Exploring environmental concerns on digital platforms through big data: The effect of online consumers’ environmental discourse on online review ratings. J. Sustain. Tour. 2023, 31, 2592–2611. [Google Scholar] [CrossRef]
  51. Jiménez-Barreto, J.; Rubio, N.; Campo, S.; Molinillo, S. Linking the online destination brand experience and brand credibility with tourists’ behavioral intentions toward a destination. Tour. Manag. 2020, 79, 104101. [Google Scholar] [CrossRef]
  52. Díaz-Meneses, G.; Amador-Marrero, M.; Spinelli Guedes, C. The Criteria of Inbound Marketing to Segment and Explain the Domain Authority of the Cellars’ E-Commerce in the Canary Islands. Systems 2023, 11, 527. [Google Scholar] [CrossRef]
  53. Xiang, Z.; Magnini, V.P.; Fesenmaier, D.R. Information technology and consumer behavior in travel and tourism: Insights from travel planning using the internet. J. Retail. Consum. Serv. 2015, 22, 244–249. [Google Scholar] [CrossRef]
  54. Li, C.; Yang, G.; Cai, W.; Shi, H. Enterprise digital transformation and green competitiveness: Opportunity or crisis? Financ. Res. Lett. 2025, 77, 107051. [Google Scholar] [CrossRef]
  55. Ladhari, R.; Michaud, M. eWOM effects on hotel booking intentions, attitudes, trust, and website perceptions. Int. J. Hosp. Manag. 2015, 46, 36–45. [Google Scholar] [CrossRef]
  56. Munar, A.M.; Jacobsen, J.K.S. Motivations for sharing tourism experiences through social media. Tour. Manag. 2014, 43, 46–54. [Google Scholar] [CrossRef]
  57. Filieri, R.; Acikgoz, F.; Ndou, V.; Dwivedi, Y. Is TripAdvisor still relevant? The influence of review credibility, review usefulness, and ease of use on consumers’ continuance intention. Int. J. Contemp. Hosp. Manag. 2021, 33, 199–223. [Google Scholar] [CrossRef]
  58. Papageorgiou, E.I. Fuzzy Cognitive Maps for Applied Sciences and Engineering: From Fundamentals to Extensions and Learning Algorithms; Springer Science & Business Media: Cham, Switzerland, 2013; Volume 54. [Google Scholar]
  59. Karatzinis, G.D.; Boutalis, Y.S. A Review Study of Fuzzy Cognitive Maps in Engineering: Applications, Insights, and Future Directions. Eng 2025, 6, 37. [Google Scholar] [CrossRef]
Figure 1. Sustainable Digital Marketing Capability (SDMC) framework.
Figure 1. Sustainable Digital Marketing Capability (SDMC) framework.
World 07 00009 g001
Figure 2. Empirical relationships among key web-analytics constructs (hotel–day observations, April–September 2025). Panel (a) Visits vs. Google Trends Index; panel (b) Average Pages per Visit vs. Bounce Rate; panel (c) Organic Traffic Share (%) vs. Backlink Count; panel (d) Brand Search Volume vs. Ad Spend Index; panel (e) Online Review Count vs. Social Engagement Index. Each panel visualises the observed association with an overlaid fitted linear trend used to support the regression results reported in Table 3.
Figure 2. Empirical relationships among key web-analytics constructs (hotel–day observations, April–September 2025). Panel (a) Visits vs. Google Trends Index; panel (b) Average Pages per Visit vs. Bounce Rate; panel (c) Organic Traffic Share (%) vs. Backlink Count; panel (d) Brand Search Volume vs. Ad Spend Index; panel (e) Online Review Count vs. Social Engagement Index. Each panel visualises the observed association with an overlaid fitted linear trend used to support the regression results reported in Table 3.
World 07 00009 g002
Figure 3. Fuzzy Cognitive Map (FCM) structure for sustainable destination digital performance (SDMC system). Nodes represent the study’s web-analytics constructs (traffic, engagement, visibility/SEO, paid promotion, and advocacy), and directed edges represent hypothesized causal influence pathways. Edge weights are parameterized using standardized correlation coefficients derived from the hotel–day dataset and normalized to the [−1, 1] interval; edge sign indicates positive vs. negative influence, and edge thickness reflects relative magnitude. Blue colours indicate positive relationships and red the negative ones. The thickness represent how strong is the relationship.
Figure 3. Fuzzy Cognitive Map (FCM) structure for sustainable destination digital performance (SDMC system). Nodes represent the study’s web-analytics constructs (traffic, engagement, visibility/SEO, paid promotion, and advocacy), and directed edges represent hypothesized causal influence pathways. Edge weights are parameterized using standardized correlation coefficients derived from the hotel–day dataset and normalized to the [−1, 1] interval; edge sign indicates positive vs. negative influence, and edge thickness reflects relative magnitude. Blue colours indicate positive relationships and red the negative ones. The thickness represent how strong is the relationship.
World 07 00009 g003
Figure 4. FCM scenario simulations (af) under bounded non-linear activation. Scenario outputs generated using a hyperbolic tangent activation function, with exogenous interventions applied to strategic driver nodes at predefined intensities: (a) +25%, (b) +50%, (c) +75%, (d) −25%, (e) −50%, and (f) −75% (with bounce rate adjusted inversely). Bar charts report the predicted equilibrium-direction changes in the key outcome indicators (Visits, Brand Search Volume, Online Review Count, Average Pages per Visit, and Organic Traffic Share), illustrating system-wide propagation effects under positive versus negative digital interventions.
Figure 4. FCM scenario simulations (af) under bounded non-linear activation. Scenario outputs generated using a hyperbolic tangent activation function, with exogenous interventions applied to strategic driver nodes at predefined intensities: (a) +25%, (b) +50%, (c) +75%, (d) −25%, (e) −50%, and (f) −75% (with bounce rate adjusted inversely). Bar charts report the predicted equilibrium-direction changes in the key outcome indicators (Visits, Brand Search Volume, Online Review Count, Average Pages per Visit, and Organic Traffic Share), illustrating system-wide propagation effects under positive versus negative digital interventions.
World 07 00009 g004aWorld 07 00009 g004bWorld 07 00009 g004c
Table 1. Descriptive Statistics.
Table 1. Descriptive Statistics.
MetricMeanMedianMinMaxRangeStandard
Deviation (σ)
Coefficient of Variation (%)Trend
Observation
Visits23,472.0022,992.0022,030.0025,045.003015.001039.004.4%Gradual upward trend, peak in August
Avg. Pages per Visit3.7303.7303.6903.8000.1100.0401.1%Very stable engagement
Avg. Visit Duration123.200122119130114.1003.3%Slight growth during high season (August)
Bounce Rate %44.30044.40043.10045.3002.2000.8001.8%Steady, minor fluctuation
Social Engagement Index66.700695575207.80011.7%Clear positive trend from April → August
Online Review Count25.300261732155.20020.4%Rapid rise mid-year (June–July)
Ad Spend Index46.30046.5004151103.07.8%Consistent upward pattern
Organic Traffic Share %71.30071.500687462.1002.9%Slight organic gain across months
Google Trends Index 26 week40.70040384462.2005.5%Search interest peaked in August
Indexed Pages1109.5001110108111365520.3001.8%Gradual indexing increase
Domain Authority32.80033323310.4001.3%Highly stable
Backlink Count561.800568.5005265967024.8004.4%Slow consistent link growth
Referral Domains98.3999410282.9002.9%Modest improvement
Brand Search Volume1383.001395.001293.001487.0019473.5005.3%Search popularity highest in August
Table 2. Correlation Analysis.
Table 2. Correlation Analysis.
MetricVisitsAvg Pages/VisitAvg Visit Duration Bounce Rate %Social Engagement IndexOnline Review CountAd Spend IndexOrganic Traffic %Google Trends IndexIndexed PagesDomain AuthorityBacklink CountReferral DomainsBrand Search Volume
Visits1.000.91 **0.93 **−0.78 *0.96 **0.94 **0.88 **0.89 **0.97 **0.79 *0.600.92 **0.90 **0.95 **
Avg Pages/Visit0.91 **1.000.85 *−0.74 *0.82 *0.77 *0.71 *0.70 *0.84 *0.69 *0.580.80 *0.78 *0.81 *
Avg Visit
Duration
0.93 **0.85 *1.00−0.76 *0.88 **0.85 *0.84 *0.79 *0.91 **0.83 *0.600.86 *0.85 *0.90 **
Bounce Rate %−0.78 *−0.74 *−0.76 *1.00−0.77 *−0.73 *−0.75 *−0.70 *−0.81 *−0.68 *−0.59−0.73 *−0.72 *−0.78 *
Social
Engagement
Index
0.96 **0.82 *0.88 **−0.77 *1.000.96 **0.89 **0.92 **0.98 **0.83 *0.640.94 **0.93 **0.97 **
Online Review Count0.94 **0.77 *0.85 *−0.73 *0.96 **1.000.91 **0.90 **0.94 **0.84 *0.620.92 **0.90 **0.95 **
Ad Spend Index0.88 **0.71 *0.84 *−0.75 *0.89 **0.91 **1.000.86 *0.90 **0.82 *0.630.88 *0.86 *0.91 **
Organic Traffic %0.89 **0.70 *0.79 *−0.70 *0.92 **0.90 **0.86 *1.000.93 **0.81 *0.620.89 **0.87 *0.91 **
Google Trends
Index
0.97 **0.84 *0.91 **−0.81 *0.98 **0.94 **0.90 **0.93 **1.000.85 *0.660.93 **0.92 **0.96 **
Indexed Pages0.79 *0.69 *0.83 *−0.68 *0.83 *0.84 *0.82 *0.81 *0.85 *1.000.71 *0.82 *0.81 *0.84 *
Domain Authority0.600.580.60−0.590.640.620.630.620.660.71 *1.000.590.610.64
Backlink Count0.92 **0.80 *0.86 *−0.73 *0.94 **0.92 **0.88 *0.89 **0.93 **0.82 *0.591.000.97 **0.94 **
Referral Domains0.90 **0.78 *0.85 *−0.72 *0.93 **0.90 **0.86 *0.87 *0.92 **0.81 *0.610.97 **1.000.92 **
Brand Search Volume0.95 **0.81 *0.90 **−0.78 *0.97 **0.95 **0.91 **0.91 **0.96 **0.84 *0.640.94 **0.92 **1.00
*, ** indicate significance on the 95% or 99% level accordingly.
Table 3. Regression Analysis Outcomes.
Table 3. Regression Analysis Outcomes.
Dependent VariableIndependent VariableCoefficientStd. ErrortSig.R2Adj. R2
VisitsSocial Engagement Index148.52045.1003.290**0.8400.810
Online Review Count92.47033.5402.760*
Ad Spend Index40.18017.6102.280*
Google Trends Index 69.91022.7003.080**
Organic Traffic Share (%)54.32020.4002.660*
Avg Pages per VisitAvg Visit Duration (s)0.0060.0022.790*0.6900.650
Bounce Rate (%)−0.0350.012−2.920**
Organic Traffic Share (%)0.0150.0053.000**
Social Engagement Index0.0090.0042.250*
Brand Search VolumeAd Spend Index18.7406.3002.980**0.8000.770
Social Engagement Index15.9205.0103.180**
Online Review Count9.8103.8602.540*
Google Trends Index (26 week)8.6503.5002.470*
Organic Traffic Share (%)Indexed Pages0.0050.0022.430*0.7800.740
Backlink Count0.0130.0052.700*
Referral Domains0.0270.0093.130**
Domain Authority0.0790.0263.040**
Online Review CountSocial Engagement Index0.2140.0693.090**0.8200.780
Ad Spend Index0.1420.0512.780*
Organic Traffic Share (%)0.0590.0212.810*
Avg Visit Duration (s)0.0340.0132.620*
*, ** indicate significance on the 95% or 99% level accordingly.
Disclaimer/Publisher’s Note: The statements, opinions and data contained in all publications are solely those of the individual author(s) and contributor(s) and not of MDPI and/or the editor(s). MDPI and/or the editor(s) disclaim responsibility for any injury to people or property resulting from any ideas, methods, instructions or products referred to in the content.

Share and Cite

MDPI and ACS Style

Reklitis, D.P.; Giannakopoulos, N.T.; Terzi, M.C.; Sakas, D.P.; Salamoura, M.; Konstantinidou Konstantopoulou, C. Leveraging Marketing Analytics to Promote Sustainable Destinations: A Study Across Multiple Continents. World 2026, 7, 9. https://doi.org/10.3390/world7010009

AMA Style

Reklitis DP, Giannakopoulos NT, Terzi MC, Sakas DP, Salamoura M, Konstantinidou Konstantopoulou C. Leveraging Marketing Analytics to Promote Sustainable Destinations: A Study Across Multiple Continents. World. 2026; 7(1):9. https://doi.org/10.3390/world7010009

Chicago/Turabian Style

Reklitis, Dimitrios P., Nikolaos T. Giannakopoulos, Marina C. Terzi, Damianos P. Sakas, Maria Salamoura, and Christina Konstantinidou Konstantopoulou. 2026. "Leveraging Marketing Analytics to Promote Sustainable Destinations: A Study Across Multiple Continents" World 7, no. 1: 9. https://doi.org/10.3390/world7010009

APA Style

Reklitis, D. P., Giannakopoulos, N. T., Terzi, M. C., Sakas, D. P., Salamoura, M., & Konstantinidou Konstantopoulou, C. (2026). Leveraging Marketing Analytics to Promote Sustainable Destinations: A Study Across Multiple Continents. World, 7(1), 9. https://doi.org/10.3390/world7010009

Article Metrics

Back to TopTop