Effects of Bike Trails on Roe Deer and Wild Boar Habitat Use in Forested Landscapes
Abstract
1. Introduction
2. Materials and Methods
2.1. Study Sites
2.2. Data Collection
2.3. Data Analysis
3. Results
3.1. Number of Cyclists
3.2. Roe Deer Raking
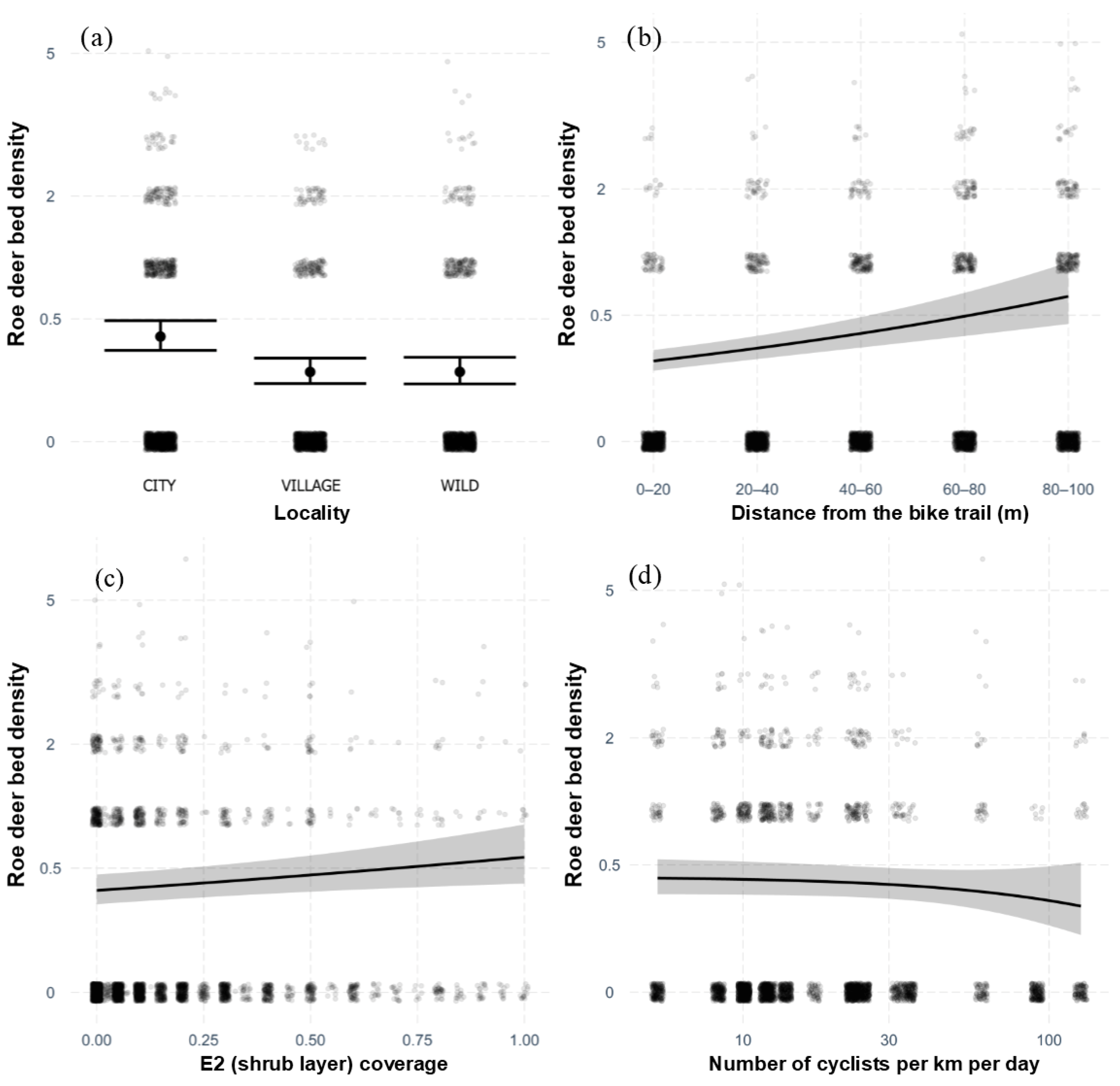
3.3. Roe Deer Beds
3.4. Beds and Raking
3.5. Wild Boar Rooting
4. Discussion
5. Conclusions
Author Contributions
Funding
Institutional Review Board Statement
Informed Consent Statement
Data Availability Statement
Acknowledgments
Conflicts of Interest
References
- Coventry, P.A.; Brown, J.V.E.; Pervin, J.; Brabyn, S.; Pateman, R.; Breedvelt, J.; Gilbody, S.; Stancliffe, R.; McEachan, R.; White, P.C.L. Nature-based outdoor activities for mental and physical health: Systematic review and meta-analysis. SSM—Popul. Health 2021, 16, 100934. [Google Scholar] [CrossRef]
- Bielska, A.; Borkowski, A.S.; Czarnecka, A.; Delnicki, M.; Kwiatkowska-Malina, J.; Piotrkowska, M. Evaluating the Potential of Suburban and Rural Areas for Tourism and Recreation. Sci. Rep. 2022, 12, 20369. [Google Scholar] [CrossRef] [PubMed]
- Weaver, D.B. Magnitude of Ecotourism in Costa Rica and Kenya. Ann. Tour. Res. 1999, 26, 792–816. [Google Scholar] [CrossRef]
- Weddell, M. The Green Rush—How Montana’s Outdoor Economy Fuels Sustainable Tourism. In Montana Economic Report; University of Montana: Missoula, Montana, 2024. [Google Scholar]
- Bell, S.; Tyrväinen, L.; Sievänen, T.; Pröbstl, U.; Simpson, M. Outdoor Recreation and Nature Tourism: A European Perspective. Living Rev. Landsc. Res. 2007, 1, 1–46. [Google Scholar] [CrossRef]
- Taylor, S.; Burrow, C.; Button, S. Challenging Hegemonic Velocipedic Modality in the Great Outdoors: The Seemingly Inexorable Rise of the Electric Mountain Bike. J. Outdoor Recreat. Tour. 2023, 43, 100684. [Google Scholar] [CrossRef]
- Calvén, A.; Beery, T.; Kristofers, H.; Johansson, M.; Carlbäck, M.; Wendin, K. Outdoor Recreation, Nature-Based Tourism and Food: COVID-19 Adaptations in Hospitality. Front. Sustain. Tour. 2025, 4, 1529233. [Google Scholar] [CrossRef]
- Urry, J. The Tourist Gaze and the Environment. Theory Cult. Soc. 1992, 9, 1–26. [Google Scholar] [CrossRef]
- Rota, N.; Canedoli, C.; Azzimonti, O.L.; Nagendra, H.; Padoa-Schioppa, E. Ecosystem Services in the Alps: Visitors’ Perceptions. Ecosyst. People 2025, 21, 2451274. [Google Scholar] [CrossRef]
- Hardiman, N.; Burgin, S. Mountain Biking: Downhill for the Environment or Chance to Up a Gear? Int. J. Environ. Stud. 2013, 70, 976–986. [Google Scholar] [CrossRef]
- Heer, C.; Rusterholz, H.P.; Baur, B. Forest Perception and Knowledge of Hikers and Mountain Bikers in Two Different Areas in Northwestern Switzerland. Environ. Manag. 2003, 31, 709–723. [Google Scholar] [CrossRef][Green Version]
- Schirpke, U. Ecosystem Services and Benefits of Nature to People: Pressures and Conflicts in Mountainscapes. In Montology Palimpsest; Springer: Cham, Switzerland, 2023; pp. 429–442. [Google Scholar] [CrossRef]
- UNEP. Report of the Fifth Meeting of the Conference of the Parties to the Convention on Biological Diversity; UNEP: Paris, France, 2000. [Google Scholar]
- Bezák, P.; Petrovič, F. Agriculture, Landscape, Biodiversity: Scenarios in Poloniny National Park. Ekológia 2006, 25, 82–93. [Google Scholar]
- Liddle, M. Recreation Ecology: The Ecological Impact of Outdoor Recreation and Ecotourism; Chapman & Hall: London, UK, 1997. [Google Scholar]
- Buckley, R. Environmental Impacts of Ecotourism; CABI Publishing: Wallingford, UK, 2004. [Google Scholar]
- Hammitt, W.E.; Cole, D.N.; Monz, C.A. Wildland Recreation: Ecology and Management, 3rd ed.; John Wiley & Sons: Hoboken, NJ, USA, 2015. [Google Scholar]
- Pickering, C.M. Ten Factors Affecting Severity of Visitor Impacts in Protected Areas. Ambio 2010, 39, 70–77. [Google Scholar] [CrossRef] [PubMed]
- Monz, C.A.; Gutzwiller, K.J.; Hausner, V.H.; Brunson, M.W.; Buckley, R.; Pickering, C.M. Managing Interactions of Recreation and Climate Change. Ambio 2021, 50, 631–643. [Google Scholar] [CrossRef] [PubMed]
- Forbes, B.C.; Ebersole, J.J.; Strandberg, B. Anthropogenic Disturbance and Patch Dynamics in Circumpolar Arctic Ecosystems. Conserv. Biol. 2001, 15, 954–969. [Google Scholar] [CrossRef]
- Williams, F.; Eschen, R.; Harris, A.; Djeddour, D.; Pratt, C.; Shaw, R.S.; Varia, S.; Lamontagne-Godwin, J.; Thomas, S.E.; Murphy, S.T. The Economic Cost of Invasive Non-Native Species on Great Britain; CABI: Wallingford, UK, 2010; p. 199. [Google Scholar]
- Cadotte, M.W.; Alabbasi, M.; Akib, S.; Chandradhas, P.; Gui, J.; Huang, K.; Li, A.; Richardson, D.M.; Shackleton, R.T. Gauging the threat of invasive species to UNESCO world heritage sites relative to other anthropogenic threats. Biol. Invasions 2024, 26, 3959–3973. [Google Scholar] [CrossRef]
- Ballantyne, M.; Pickering, C.M. Tourism and Recreation: A Common Threat to IUCN Red-Listed Vascular Plants in Europe. Biodivers. Conserv. 2013, 22, 3027–3044. [Google Scholar] [CrossRef]
- Rankin, B.L.; Ballantyne, M.; Pickering, C.M. Tourism and Recreation Listed as a Threat for a Wide Diversity of Vascular Plants: A Continental Scale Review. J. Environ. Manag. 2015, 154, 293–298. [Google Scholar] [CrossRef]
- Marzano, M.; Dandy, N. Recreationist Behaviour in Forests and the Disturbance of Wildlife. Biodivers. Conserv. 2012, 21, 2967–2986. [Google Scholar] [CrossRef]
- Kuwaczka, L.F.; Mitterwallner, V.; Audorff, V.; Steinbauer, M.J. Ecological Impacts of (Electrically Assisted) Mountain Biking. Glob. Ecol. Conserv. 2023, 44, e02475. [Google Scholar] [CrossRef]
- Lathrop, J. Ecological Impacts of Mountain Biking: A Critical Literature Review. Bachelor’s Thesis, University of Montana, Missoula, MT, USA, 2003. [Google Scholar]
- Cole, D.N. Impacts of Hiking and Camping on Soils and Vegetation: A Review. In Environmental Impacts of Ecotourism; Buckley, R., Ed.; CABI Publishing: Wallingford, UK, 2004; pp. 41–60. [Google Scholar]
- Newsome, D.; Cole, D.N.; Marion, J.L. Environmental Impacts Associated with Recreational Horse-Riding. In Environmental Impacts of Ecotourism; Buckley, R., Ed.; CABI Publishing: Wallingford, UK, 2004; pp. 61–82. [Google Scholar]
- Pickering, C.M.; Hill, W. Impacts of Recreation and Tourism on Plant Biodiversity and Vegetation in Protected Areas in Australia. J. Environ. Manag. 2007, 85, 791–800. [Google Scholar] [CrossRef]
- Marion, J.; Wimpey, J. Environmental Impacts of Mountain Biking: Science Review and Best Practices. In Managing Mountain Biking: IMBA’s Guide to Providing Great Riding; Webber, P., Ed.; International Mountain Bicycling Association: Boulder, CO, USA, 2007; pp. 94–111. [Google Scholar]
- George, S.L.; Crooks, K.R. Recreation and Large Mammal Activity in an Urban Nature Reserve. Biol. Conserv. 2006, 133, 107–117. [Google Scholar] [CrossRef]
- Lamorski, T.; Dabrowski, P. Tourism and Its Impacts on Biodiversity: The Case of Babia Góra National Park/Biosphere Reserve, Poland. In Case Study on Guidelines for the Preparation of Case Studies: International Workshop “Tourism in Mountain Areas”; Ecological Tourism in Europe: Bonn, Germany, 1997. [Google Scholar]
- Naylor, L.M.; Wisdom, M.J.; Anthony, R.G. Behavioral Responses of North American Elk to Recreational Activity. J. Wildl. Manag. 2009, 73, 328–338. [Google Scholar] [CrossRef]
- Blanc, R.; Guillemain, M.; Mouronval, J.B.; Desmonts, D.; Fritz, H. Effects of non-consumptive leisure disturbance to wildlife. Revue d’Écologie 2006, 61, 117–133. [Google Scholar] [CrossRef]
- Lemelin, R.H.; Wiersma, E.C. Perceptions of Polar Bear Tourists: A Qualitative Analysis. Hum. Dimens. Wildl. 2007, 12, 45–52. [Google Scholar] [CrossRef]
- Cole, D.W.; Rapp, M. Elemental Cycling in Forest Ecosystems. In Dynamic Properties of Forest Ecosystems; Reichle, D.E., Ed.; Cambridge University Press: Cambridge, UK, 1981; pp. 341–409. [Google Scholar]
- Davies, C.; Newsome, D. Mountain Bike Activity in Natural Areas: Impacts, Assessment and Implications for Management—A Case Study from John Forrest National Park, Western Australia. Cooperative Research Centre for Sustainable Tourism: Gold Coast, Australia, 2009; pp. 237–253. [Google Scholar]
- Ballantyne, M.; Pickering, C.; Gudes, O. Impact of Formal and Informal MTB Trails on Urban Forest Remnants. In Proceedings of the 7th International Conference on Monitoring & Management of Visitors, Tallinn, Estonia, 20–23 August 2014; Tallinn University: Tallinn, Estonia; pp. 155–157.
- Stevenson, L.C.; Pabel, A.; MacGregor, C.; Law, L.; Judd, J.A. Trail Design and Its Influence on Trail User Impacts. J. Responsible Tour. Manag. 2022, 2, 31–54. [Google Scholar]
- Lucas, E. Recreation-Related Disturbance to Wildlife in California. Calif. Fish. Wildl. J. 2020, 29, 29–51. [Google Scholar]
- van Beeck Calkoen, S.T.S.; Mühlbauer, L.; Andrén, H.; Apollonio, M.; Balčiauskas, L.; Belotti, E.; Carranza, J.; Cottam, J.; Filli, F.; Gatiso, T.T.; et al. Ungulate management in European national parks: Why a more integrated European policy is needed. J. Environ. Manag. 2020, 260, 110068. [Google Scholar] [CrossRef]
- R Core Team. R: A Language and Environment for Statistical Computing; R Foundation for Statistical Computing: Vienna, Austria, 2022. [Google Scholar]
- Bates, D.; Maechler, M.; Bolker, B.; Walker, S. Fitting Linear Mixed-Effects Models Using lme4. J. Stat. Softw. 2015, 67, 1–48. [Google Scholar] [CrossRef]
- Venables, W.N.; Ripley, B.D. Modern Applied Statistics with S, 4th ed.; Springer: New York, NY, USA, 2002. [Google Scholar]
- Voeten, C.C. Buildmer: Stepwise Elimination and Term Reordering for Mixed-Effects Regression, R package version 2.11; CRAN: Vienna, Australia, 2023. Available online: https://CRAN.R-project.org/package=buildmer (accessed on 15 January 2026).
- Fox, J.; Weisberg, S. An R Companion to Applied Regression, 3rd ed.; SAGE Publications: Thousand Oaks, CA, USA, 2019. [Google Scholar]
- Long, J.A. Jtools: Analysis and Presentation of Social Scientific Data, R Package Version 2.3.0; CRAN: Vienna, Australia, 2022. Available online: https://CRAN.R-project.org/package=jtools (accessed on 15 January 2026).
- Long, J.A. Interactions: Comprehensive, User-Friendly Toolkit for Probing Interactions, R Package Version 1.2.0; CRAN: Vienna, Australia, 2019. [CrossRef]
- Wickham, H. ggplot2: Elegant Graphics for Data Analysis; Springer: New York, NY, USA, 2016. [Google Scholar]
- Mols, B. Space Use and Behavioral Responses of Large Herbivores to Predation Risk and Human Disturbance. Ph.D. Thesis, Wageningen University & Research, Wageningen, The Netherlands, 2024. Available online: https://research.wur.nl/en/publications/ (accessed on 11 November 2025).
- Massei, G.; Kindberg, J.; Licoppe, A.; Gačić, D.; Šprem, N.; Kamler, J.; Baubet, E.; Hohmann, U.; Monaco, A.; Ozoliņš, J.; et al. Wild boar populations up, numbers of hunters down? A review of trends and implications for Europe. Pest. Manag. Sci. 2015, 71, 492–500. [Google Scholar] [CrossRef]
- Carpio, A.J.; Álvarez, Y.; Oteros, J.; León, F.; Tortosa, F.S. Intentional introduction pathways of alien birds and mammals in Latin America. Glob. Ecol. Conserv. 2020, 22, e00949. [Google Scholar] [CrossRef]
- Apollonio, M.; Ciuti, S.; Luccarini, S. Long-Term Influence of Human Presence on Spatial Sexual Segregation in Fallow Deer (Dama dama). J. Mammal. 2005, 86, 937–946. [Google Scholar] [CrossRef]
- Padié, S.; Morellet, N.; Cargnelutti, B.; Hewison, A.M.; Martin, J.L.; Chamaillé-Jammes, S. Time to leave? Immediate response of roe deer to experimental disturbances using playbacks. Eur. J. Wildl. Res. 2015, 61, 871–879. [Google Scholar] [CrossRef]
- Lamb, C.T.; Ford, A.T.; McLellan, B.N.; Proctor, M.F.; Mowat, G.; Ciarniello, L.; Nielsen, S.E.; Boutin, S. The Ecology of Human–Carnivore Coexistence. Proc. Natl. Acad. Sci. USA 2020, 117, 17876–17883. [Google Scholar] [CrossRef]
- Burton, A.C.; Beirne, C.; Gaynor, K.M.; Sun, C.; Granados, A.; Allen, M.L.; Alston, J.M.; Alvarenga, G.C.; Álvarez Calderón, F.S.; Amir, Z.; et al. Mammal Responses to Global Changes in Human Activity Vary by Trophic Group and Landscape. Nat. Ecol. Evol. 2024, 8, 924–935. [Google Scholar] [CrossRef]
- Marion, J.L.; Leung, Y.F. Trail Resource Impacts and Assessment Techniques. J. Park. Recreat. Admin. 2001, 19, 17–37. [Google Scholar]
- Prokešová, J.; Barančeková, M.; Homolka, M. Density of Red Deer and Roe Deer and Their Distribution in Relation to Different Habitat Characteristics in a Floodplain Forest. Folia Zool. 2006, 55, 1–14. [Google Scholar]
- Kamler, J.; Dobrovolný, L.; Drimaj, J.; Kadavý, J.; Kneifl, M.; Adamec, Z.; Knott, R.; Martiník, A.; Plhal, R.; Zeman, J.; et al. The impact of seed predation and browsing on natural sessile oak regeneration under different light conditions in an over-aged coppice stand. iForest 2016, 9, 569–576. [Google Scholar] [CrossRef]
- Massei, G.; Genov, P.V. The Environmental Impact of Wild Boar. Galemys 2004, 16, 135–145. [Google Scholar] [CrossRef]
- Cuevas, M.F.; Novillo, A.; Campos, C.; Dacar, M.A.; Ojeda, R.A. Food habits and impact of rooting behaviour of the invasive wild boar, Sus scrofa, in a protected area of the Monte Desert, Argentina. J. Arid. Environ. 2010, 74, 1582–1585. [Google Scholar] [CrossRef]
- Kenyeres, Z.; Szabo, S.; Bauer, N. Conservation Possibilities of the Rare Grasshopper Stenobothrus eurasius Zubovski, 1898 Are Hampered by Wild Game in Its Fragmented Western Outposts. J. Insect Conserv. 2020, 24, 115–124. [Google Scholar] [CrossRef]
- Abrantes, A.; Vieira-Pinto, M. 15 Years Overview of European Zoonotic Surveys in Wild Boar and Red Deer: A Systematic Review. One Health 2023, 16, 100519. [Google Scholar] [CrossRef] [PubMed]
- Meisingset, E.L.; Loe, L.E.; Brekkum, Ø.; Van Moorter, B.; Mysterud, A. Red deer habitat selection and movements in relation to roads. J. Wildl. Manag. 2013, 77, 181–191. [Google Scholar] [CrossRef]
- Gaynor, K.M.; Brown, J.S.; Middleton, A.D.; Power, M.E.; Brashares, J.S. Landscapes of fear: Spatial patterns of risk perception and response. Trends Ecol. Evol. 2019, 34, 355–368. [Google Scholar] [CrossRef]
- Carter, N.H.; Shrestha, B.K.; Karki, J.B.; Pradhan, N.M.B.; Liu, J. Coexistence between wildlife and humans at fine spatial scales. Proc. Natl. Acad. Sci. USA 2012, 109, 15360–15365. [Google Scholar] [CrossRef]
- Drimaj, J.; Kamler, J.; Plhal, R.; Janata, P.; Adamec, Z.; Homolka, M. Intensive Hunting Pressure Changes the Distribution of Wild Boar. Hum.–Wildl. Interact. 2021, 15, 22–31. [Google Scholar] [CrossRef]
- Leote, P.; Cajaiba, R.L.; Moreira, H.; Gabriel, R.; Santos, M. The importance of invertebrates in assessing the ecological impacts of hiking trails: A review of its role as indicators and recommendations for future research. Ecol. Indic. 2022, 137, 108741. [Google Scholar] [CrossRef]
- Scholten, J.; Moe, S.R.; Hegland, S.J. Red Deer (Cervus elaphus) Avoid Mountain Biking Trails. Eur. J. Wildl. Res. 2018, 64, 8. [Google Scholar] [CrossRef]
- Licoppe, A.M.; De Crombrugghe, S.A. Assessment of Spring Habitat Selection of Red Deer (Cervus elaphus L.) Based on Census Data. Z. Jagdwiss. 2003, 49, 1–13. [Google Scholar] [CrossRef]
- Taylor, A.R.; Knight, R.L. Wildlife Responses to Recreation and Associated Visitor Perceptions. Ecol. Appl. 2003, 13, 951–972. [Google Scholar] [CrossRef]
- Thiel, D.; Ménoni, E.; Brenot, J.F.; Jenni, L. Effects of recreation and hunting on flushing distance of capercaillie. J. Wildl. Manag. 2007, 71, 1784–1792. [Google Scholar] [CrossRef]





| Category | CITY | VILLAGE | WILD |
|---|---|---|---|
| Elevation (m a.s.l.) | 360 | 565 | 690 |
| Area (ha) | 5.78 | 7.99 | 13.31 |
| GPS coordinates | 49.210 N, 16.707 E | 49.319 N, 16.781 E | 50.281 N, 17.178 E |
| Length of bike trail (km/km2) | 3.6 | 2.7 | 2.3 |
| Length of hiking patch (km/km2) | 3.6 | 1.5 | 0.5 |
| Human density (Ind/km2) | ˃1500 | 100–250 | ˂25 |
| Wild boar density (Ind/km2) * | 30.0 | 9.6 | 4.8 |
| Roe deer density (Ind/km2) * | 7.5 | 7.1 | 3.5 |
| Wild boar hunting bag (Ind/km2) * | 2.9 | 4.6 | 3.9 |
| Roe deer hunting bag (Ind/km2) * | 0.0 | 3.5 | 3.0 |
| Locality | Total Number of Cyclists | Roe Deer Raking (Number) | Roe Deer Beds (Number) | Total Wild Boar Rooting Area (m2) | Total Plots with the Presence of Wild Boar Rooting |
|---|---|---|---|---|---|
| CITY | 90,316 | 960 | 530 | 1232 | 488 |
| VILLAGE | 263,701 | 693 | 239 | 1464 | 339 |
| WILD | 72,340 | 237 | 268 | 203 | 53 |
Disclaimer/Publisher’s Note: The statements, opinions and data contained in all publications are solely those of the individual author(s) and contributor(s) and not of MDPI and/or the editor(s). MDPI and/or the editor(s) disclaim responsibility for any injury to people or property resulting from any ideas, methods, instructions or products referred to in the content. |
© 2026 by the authors. Licensee MDPI, Basel, Switzerland. This article is an open access article distributed under the terms and conditions of the Creative Commons Attribution (CC BY) license.
Share and Cite
Mikulka, O.; Pyszko, P.; Kamler, J.; Drimaj, J.; Plhal, R.; Homolka, M. Effects of Bike Trails on Roe Deer and Wild Boar Habitat Use in Forested Landscapes. Sustainability 2026, 18, 1030. https://doi.org/10.3390/su18021030
Mikulka O, Pyszko P, Kamler J, Drimaj J, Plhal R, Homolka M. Effects of Bike Trails on Roe Deer and Wild Boar Habitat Use in Forested Landscapes. Sustainability. 2026; 18(2):1030. https://doi.org/10.3390/su18021030
Chicago/Turabian StyleMikulka, Ondřej, Petr Pyszko, Jiří Kamler, Jakub Drimaj, Radim Plhal, and Miloslav Homolka. 2026. "Effects of Bike Trails on Roe Deer and Wild Boar Habitat Use in Forested Landscapes" Sustainability 18, no. 2: 1030. https://doi.org/10.3390/su18021030
APA StyleMikulka, O., Pyszko, P., Kamler, J., Drimaj, J., Plhal, R., & Homolka, M. (2026). Effects of Bike Trails on Roe Deer and Wild Boar Habitat Use in Forested Landscapes. Sustainability, 18(2), 1030. https://doi.org/10.3390/su18021030

