Sign in to use this feature.

Years

Between: -

Subjects

remove_circle_outline
remove_circle_outline
remove_circle_outline
remove_circle_outline
remove_circle_outline

Journals

Article Types

Countries / Regions

Search Results (21)

Search Parameters:
Keywords = drimane sesquiterpenes

Order results
Result details
Results per page
Select all
Export citation of selected articles as:
14 pages, 3503 KB  
Article
Inhibitory Potential of the Drimane Sesquiterpenoids Isotadeonal and Polygodial in the NF-kB Pathway
by Víctor Marín, Cecilia Villegas, Ayorinde Víctor Ogundele, Jaime R. Cabrera-Pardo, Bernd Schmidt, Cristian Paz and Viviana Burgos
Molecules 2025, 30(7), 1555; https://doi.org/10.3390/molecules30071555 - 31 Mar 2025
Cited by 2 | Viewed by 1550
Abstract
Inflammation contributes to the onset and development of many diseases, including neurodegenerative diseases, caused by the activation of microglia, leading to neurological deterioration. Nuclear factor-κB (NF-κB) is one of the most relevant pathways for identifying anti-inflammatory molecules. In this study, polygodial and isotadeonal, [...] Read more.
Inflammation contributes to the onset and development of many diseases, including neurodegenerative diseases, caused by the activation of microglia, leading to neurological deterioration. Nuclear factor-κB (NF-κB) is one of the most relevant pathways for identifying anti-inflammatory molecules. In this study, polygodial and isotadeonal, two drimane sesquiterpene dialdehydes, were isolated from Drimys winteri, a medicinal tree of the Mapuche people in Chile. Isotadeonal, or epi-polygodial, was obtained from polygodial by epimerization in basic media (60% yield, Na2CO3, r/t, 24 h). Both sesquiterpenoids were evaluated on the NF-κB pathway, with the result that isotadeonal inhibited the phosphorylation of IκB-α at 10 μM with higher potency by Western blotting. The final inhibition of the pathway was evaluated using a SEAP reporter (secreted alkaline phosphatase) on THP-1 cells. Isotadeonal inhibited SEAP with higher potency than polygodial, quercetin, and CAPE (phenethyl ester of caffeic acid). In silico analysis suggests that the α-aldehyde of isotadeonal adopts a more stable conformation in the active pocket of IκB-α than polygodial. Full article
(This article belongs to the Special Issue Chemical and Biological Research on Bioactive Natural Products)
Show Figures

Graphical abstract

11 pages, 1201 KB  
Article
In Vitro and In Vivo Evaluation of the Antischistosomal Activity of Polygodial and 9-Deoxymuzigadial Isolated from Drimys brasiliensis Branches
by Eric Umehara, Rayssa A. Cajas, Gabriel B. Conceição, Guilherme M. Antar, Adriano D. Andricopulo, Josué de Moraes and João Henrique G. Lago
Molecules 2025, 30(2), 267; https://doi.org/10.3390/molecules30020267 - 11 Jan 2025
Cited by 4 | Viewed by 1667
Abstract
In the present study, the hexane extract from branches of Drimys brasiliensis (Winteraceae) displayed potent activity against Schistosoma mansoni parasites (100% mortality of the worms at 200 μg/mL). Bioactivity-guided fractionation afforded, in addition to the previously reported bioactive sesquiterpene 3,6-epidioxy-bisabola-1,10-diene, two chemically related [...] Read more.
In the present study, the hexane extract from branches of Drimys brasiliensis (Winteraceae) displayed potent activity against Schistosoma mansoni parasites (100% mortality of the worms at 200 μg/mL). Bioactivity-guided fractionation afforded, in addition to the previously reported bioactive sesquiterpene 3,6-epidioxy-bisabola-1,10-diene, two chemically related drimane sesquiterpenes—polygodial (1) and 9-deoxymuzigadial (2). The anti-S. mansoni effects for compounds 1 and 2 were determined in vitro, with compound 1 demonstrating significant potency (EC50 value of 10 μM for both male and female worms), while 2 was inactive. Cytotoxicity assays against Vero cells revealed no toxicity for either compound (CC50 > 200 μM). Additionally, an in silico analysis was conducted using the SwissADME platform for 1, revealing that this natural sesquiterpene exhibited adherence to several ADME parameters and no PAINS violations. Finally, in vivo studies with S. mansoni-infected mice treated with compound 1 demonstrated a 44.0% reduction in worm burden, accompanied by decreases in egg production of 71.8% in feces and 69.5% in intestines. These findings highlight the potential of polygodial (1) as a promising prototype for schistosomiasis treatment. Full article
Show Figures

Figure 1

13 pages, 2719 KB  
Communication
Antimicrobial Activity of Drimanic Sesquiterpene Compounds from Drimys winteri against Multiresistant Microorganisms
by Iván Montenegro, Rolando Pazmiño, Ileana Araque, Alejandro Madrid, Ximena Besoain, Enrique Werner, Luis Espinoza-Catalán, Andrés F. Olea, Claudio Parra, Valentina Navarrete Molina, Patricio Godoy, Yusser Olguín and Mauricio A. Cuellar
Molecules 2024, 29(12), 2844; https://doi.org/10.3390/molecules29122844 - 14 Jun 2024
Cited by 2 | Viewed by 2348
Abstract
In this work, a group of ten sesquiterpene drimanes, including polygodial (1), isopolygodial (2), and drimenol (3) obtained from the bark of Drimys winteri F. and seven synthetic derivatives, were tested in vitro against a unique panel [...] Read more.
In this work, a group of ten sesquiterpene drimanes, including polygodial (1), isopolygodial (2), and drimenol (3) obtained from the bark of Drimys winteri F. and seven synthetic derivatives, were tested in vitro against a unique panel of bacteria, fungi, and oomycetes with standardized procedures against bacterial strains K. pneumoniae, S. tiphy, E. avium, and E. coli. The minimum inhibitory concentrations and bactericidal activities were evaluated using standardized protocols. Polygodial (1) was the most active compound, with MBC 8 μg/mL and MIC 16 μg/mL in E. avium; MBC 16 μg/mL and MIC 32 μg/mL in K. pneumoniae; MBC 64 μg/mL and MIC 64 μg/mL in S. typhi; and MBC 8 μg/mL and MIC 16 μg/mL and MBC 32 μg/mL and MIC 64 μg/mL in E. coli, respectively. The observed high potency could be attributed to the presence of an aldehyde group at the C8–C9 position. The antifungal activity of 1 from different microbial isolates has been evaluated. The results show that polygodial affects the growth of normal isolates and against filamentous fungi and oomycetes with MFC values ranging from 8 to 64 μg/mL. Sesquiterpene drimanes isolated from this plant have shown interesting antimicrobial properties. Full article
(This article belongs to the Section Natural Products Chemistry)
Show Figures

Figure 1

19 pages, 30528 KB  
Article
Cytotoxic Activity, Topoisomerase I Inhibition and In Silico Studies of New Sesquiterpene-aryl Ester Derivatives of (-) Drimenol
by Ileana Araque, Javiera Ramírez, Rut Vergara, Jaime Mella, Pablo Aránguiz, Luis Espinoza, Waleska Vera, Iván Montenegro, Cristian O. Salas, Joan Villena and Mauricio A. Cuellar
Molecules 2023, 28(9), 3959; https://doi.org/10.3390/molecules28093959 - 8 May 2023
Cited by 3 | Viewed by 2979
Abstract
In this study, we aimed to evaluate two sets of sesquiterpene-aryl derivatives linked by an ester bond, their cytotoxic activities, and their capacity to activate caspases 3/7 and inhibit human topoisomerase I (TOP1). A total of 13 compounds were synthesized from the natural [...] Read more.
In this study, we aimed to evaluate two sets of sesquiterpene-aryl derivatives linked by an ester bond, their cytotoxic activities, and their capacity to activate caspases 3/7 and inhibit human topoisomerase I (TOP1). A total of 13 compounds were synthesized from the natural sesquiterpene (-)-drimenol and their cytotoxic activity was evaluated in vitro against three cancer cell lines: PC-3 (prostate cancer), HT-29 (colon cancer), MCF-7 (breast cancer), and an immortalized non-tumoral cell line (MCF-10). From the results, it was observed that 6a was the most promising compound due to its cytotoxic effect on three cancer cell lines and its selectivity, 6a was 100-fold more selective than 5-FU in MCF-7 and 20-fold in PC-3. It was observed that 6a also induced apoptosis by caspases 3/7 activity using a Capsase-Glo-3/7 assay kit and inhibited TOP1. A possible binding mode of 6a in a complex with TOP1-DNA was proposed by docking and molecular dynamics studies. In addition, 6a was predicted to have a good pharmacokinetic profile for oral administration. Therefore, through this study, it was demonstrated that the drimane scaffold should be considered in the search of new antitumoral agents. Full article
Show Figures

Graphical abstract

12 pages, 3539 KB  
Article
Drimane Sesquiterpene Alcohols with Activity against Candida Yeast Obtained by Biotransformation with Cladosporium antarcticum
by Nicole Cortez, Víctor Marín, Verónica A. Jiménez, Víctor Silva, Oscar Leyton, Jaime R. Cabrera-Pardo, Bernd Schmidt, Matthias Heydenreich, Viviana Burgos, Paola Duran and Cristian Paz
Int. J. Mol. Sci. 2022, 23(21), 12995; https://doi.org/10.3390/ijms232112995 - 27 Oct 2022
Viewed by 2752
Abstract
Fungal biotransformation is an attractive synthetic strategy to produce highly specific compounds with chemical functionality in regions of the carbon skeleton that are not easily activated by conventional organic chemistry methods. In this work, Cladosporium antarcticum isolated from sediments of Glacier Collins in [...] Read more.
Fungal biotransformation is an attractive synthetic strategy to produce highly specific compounds with chemical functionality in regions of the carbon skeleton that are not easily activated by conventional organic chemistry methods. In this work, Cladosporium antarcticum isolated from sediments of Glacier Collins in Antarctica was used to obtain novel drimane sesquiterpenoids alcohols with activity against Candida yeast from drimendiol and epidrimendiol. These compounds were produced by the high-yield reduction of polygodial and isotadeonal with NaBH4 in methanol. Cladosporium antarcticum produced two major products from drimendiol, identified as 9α-hydroxydrimendiol (1, 41.4 mg, 19.4% yield) and 3β-hydroxydrimendiol (2, 74.8 mg, 35% yield), whereas the biotransformation of epidrimendiol yielded only one product, 9β-hydroxyepidrimendiol (3, 86.6 mg, 41.6% yield). The products were purified by column chromatography and their structure elucidated by NMR and MS. The antifungal activity of compounds 13 was analyzed against Candida albicans, C. krusei and C. parapsilosis, showing that compound 2 has a MIC lower than 15 µg/mL against the three-pathogenic yeast. In silico studies suggest that a possible mechanism of action for the novel compounds is the inhibition of the enzyme lanosterol 14α-demethylase, affecting the ergosterol synthesis. Full article
(This article belongs to the Special Issue Molecular Mechanisms of Fungal Pathogenesis and Antifungal Resistance)
Show Figures

Figure 1

12 pages, 1592 KB  
Article
Drimane Sesquiterpene Aldehydes Control Candida Yeast Isolated from Candidemia in Chilean Patients
by Víctor Marín, Bryan Bart, Nicole Cortez, Verónica A. Jiménez, Víctor Silva, Oscar Leyton, Jaime R. Cabrera-Pardo, Bernd Schmidt, Matthias Heydenreich, Viviana Burgos and Cristian Paz
Int. J. Mol. Sci. 2022, 23(19), 11753; https://doi.org/10.3390/ijms231911753 - 4 Oct 2022
Cited by 4 | Viewed by 2907
Abstract
Drimys winteri J.R. (Winteraceae) produce drimane sesquiterpenoids with activity against Candida yeast. In this work, drimenol, polygodial (1), isotadeonal (2), and a new drimane α,β-unsaturated 1,4-dialdehyde, named winterdial (4), were purified from barks of D. winteri. [...] Read more.
Drimys winteri J.R. (Winteraceae) produce drimane sesquiterpenoids with activity against Candida yeast. In this work, drimenol, polygodial (1), isotadeonal (2), and a new drimane α,β-unsaturated 1,4-dialdehyde, named winterdial (4), were purified from barks of D. winteri. The oxidation of drimenol produced the monoaldehyde drimenal (3). These four aldehyde sesquiterpenoids were evaluated against six Candida species isolated from candidemia patients in Chilean hospitals. Results showed that 1 displays fungistatic activity against all yeasts (3.75 to 15.0 µg/mL), but irritant effects on eyes and skin, whereas its non-pungent epimer 2 has fungistatic and fungicide activities at 1.9 and 15.0 µg/mL, respectively. On the other hand, compounds 3 and 4 were less active. Molecular dynamics simulations suggested that compounds 14 are capable of binding to the catalytic pocket of lanosterol 14-alpha demethylase with similar binding free energies, thus suggesting a potential mechanism of action through the inhibition of ergosterol synthesis. According to our findings, compound 2 appears as a valuable molecular scaffold to pursue the future development of more potent drugs against candidiasis with fewer side effects than polygodial. These outcomes are significant to broaden the alternatives to treat fungal infections with increasing prevalence worldwide using natural compounds as a primary source for active compounds. Full article
(This article belongs to the Special Issue Molecular Mechanisms of Fungal Pathogenesis and Antifungal Resistance)
Show Figures

Figure 1

17 pages, 2969 KB  
Article
Cytotoxic Drimane-Type Sesquiterpenes from Co-Culture of the Marine-Derived Fungi Aspergillus carneus KMM 4638 and Beauveria felina (=Isaria felina) KMM 4639
by Olesya I. Zhuravleva, Elena B. Belousova, Galina K. Oleinikova, Alexandr S. Antonov, Yuliya V. Khudyakova, Anton B. Rasin, Roman S. Popov, Ekaterina S. Menchinskaya, Phan Thi Hoai Trinh, Anton N. Yurchenko and Ekaterina A. Yurchenko
Mar. Drugs 2022, 20(9), 584; https://doi.org/10.3390/md20090584 - 19 Sep 2022
Cited by 16 | Viewed by 3562
Abstract
Chemical investigation of a coculture of the marine-derived fungi Beauveria felina KMM 4639 and Aspergillus carneus KMM 4638 led to the identification of three new drimane-type sesquiterpenes, asperflavinoids B, D and E (2, 4, 5), and nine previously reported [...] Read more.
Chemical investigation of a coculture of the marine-derived fungi Beauveria felina KMM 4639 and Aspergillus carneus KMM 4638 led to the identification of three new drimane-type sesquiterpenes, asperflavinoids B, D and E (2, 4, 5), and nine previously reported related compounds. The structures of these compounds were established using spectroscopic methods and by comparison with known analogues. We also investigated the cytotoxic activity of the isolated compounds against several cancer and normal cell lines. Asperflavinoid C (3) and ustusolate E (9) exerted a significant effect on human breast cancer MCF-7 cell viability, with IC50 values of 10 µM, and induced in caspase-dependent apoptosis and arrest of the MCF-7 cell cycle in the G2/M phase in these cells. Full article
Show Figures

Figure 1

13 pages, 519 KB  
Article
Drimane-Type Sesquiterpenoids Derived from the Tropical Basidiomycetes Perenniporia centrali-africana and Cerrena sp. nov
by Paomephan Pathompong, Sebastian Pfütze, Frank Surup, Thitiya Boonpratuang, Rattaket Choeyklin, Josphat C. Matasyoh, Cony Decock, Marc Stadler and Chuenchit Boonchird
Molecules 2022, 27(18), 5968; https://doi.org/10.3390/molecules27185968 - 14 Sep 2022
Cited by 10 | Viewed by 3275
Abstract
Five new drimane-type sesquiterpenoids were isolated from cultures of the tropical basidiomycetes, Perenniporia centrali-africana (originating from Kenya) and Cerrena sp. nov. (originating from Thailand). A new pereniporin A derivative (1), a new drimane-type sesquiterpene lactam (2), and the new [...] Read more.
Five new drimane-type sesquiterpenoids were isolated from cultures of the tropical basidiomycetes, Perenniporia centrali-africana (originating from Kenya) and Cerrena sp. nov. (originating from Thailand). A new pereniporin A derivative (1), a new drimane-type sesquiterpene lactam (2), and the new 6,7-Dehydro-isodrimenediol (3) were isolated from P. centrali-africana. In parallel, the two new drimane-type sesquiterpene lactams 5 and 6 were isolated together with known isodrimenediol (4) from Cerrena sp. This is the first report of drimane-type sesquiterpene lactams from basidiomycetes. The structures were elucidated based on 1D and 2D nuclear magnetic resonance (NMR) spectroscopic data, in combination with high-resolution electrospray mass spectrometric (HR-ESIMS) data. The compounds were devoid of significant antimicrobial and cytotoxic activities. Full article
Show Figures

Graphical abstract

13 pages, 1966 KB  
Article
Characterization of the Fungitoxic Activity on Botrytis cinerea of N-phenyl-driman-9-carboxamides
by Ricardo Melo, Verónica Armstrong, Freddy Navarro, Paulo Castro, Leonora Mendoza and Milena Cotoras
J. Fungi 2021, 7(11), 902; https://doi.org/10.3390/jof7110902 - 26 Oct 2021
Cited by 5 | Viewed by 2642
Abstract
A total of 12 compounds were synthesized from the natural sesquiterpene (-) drimenol (compounds 4 to 15). The synthesized compounds corresponded to N-phenyl-driman-9-carboxamide derivatives, similar to some fungicides that inhibit the electron-transport chain. Their structures were characterized and confirmed by 1H [...] Read more.
A total of 12 compounds were synthesized from the natural sesquiterpene (-) drimenol (compounds 4 to 15). The synthesized compounds corresponded to N-phenyl-driman-9-carboxamide derivatives, similar to some fungicides that inhibit the electron-transport chain. Their structures were characterized and confirmed by 1H NMR, 13C NMR spectroscopy, and mass spectrometry. Compounds 5 to 15 corresponded to novel compounds. The effect of the compounds on the mycelial growth of Botrytis cinerea was evaluated. Methoxylated and chlorinated compounds in the aromatic ring (compounds 6, 7, 12, and 13) exhibited the highest antifungal activity with IC50 values between 0.20 and 0.26 mM. On the other hand, the effect on conidial germination of B. cinerea of one methoxylated compound (6) and one chlorinated compound (7) was analyzed, and no inhibition was observed. Additionally, compound 7 decreased 36% the rate of oxygen consumption by germinating conidia. Full article
Show Figures

Figure 1

15 pages, 3137 KB  
Article
New Drimane Sesquiterpenes and Polyketides from Marine-Derived Fungus Penicillium sp. TW58-16 and Their Anti-Inflammatory and α-Glucosidase Inhibitory Effects
by Xiaoshuang Gou, Danmei Tian, Jihua Wei, Yihan Ma, Yixue Zhang, Mei Chen, Wenjuan Ding, Bin Wu and Jinshan Tang
Mar. Drugs 2021, 19(8), 416; https://doi.org/10.3390/md19080416 - 26 Jul 2021
Cited by 24 | Viewed by 4649
Abstract
Marine fungi-derived natural products represent an excellent reservoir for the discovery of novel lead compounds with biological activities. Here, we report the identification of two new drimane sesquiterpenes (1 and 2) and six new polyketides (38), together [...] Read more.
Marine fungi-derived natural products represent an excellent reservoir for the discovery of novel lead compounds with biological activities. Here, we report the identification of two new drimane sesquiterpenes (1 and 2) and six new polyketides (38), together with 10 known compounds (918), from a marine-derived fungus Penicillium sp. TW58-16. The planar structures of these compounds were elucidated by extensive 1D and 2D NMR, which was supported by HR-ESI-MS data. The absolute configurations of these compounds were determined by experimental and calculated electronic circular dichroism (ECD), and their optical rotations compared with those reported. Evaluation of the anti-inflammatory activity of compounds 118 revealed that compound 5 significantly inhibited the release of nitric oxide (NO) induced by lipopolysaccharide (LPS) in RAW264.7 cells, correlating with the inhibition of expression of inducible nitric oxide synthase (iNOS). In addition, we revealed that compounds 1, 36, 14, 16, and 18 showed strong α-glucosidase inhibitory effects with inhibition rates of 35.4%, 73.2%, 55.6%, 74.4%, 32.0%, 36.9%, 88.0%, and 91.1%, respectively, which were comparable with or even better than that of the positive control, acarbose. Together, our results illustrate the potential of discovering new marine-based therapeutic agents against inflammation and diabetes mellitus. Full article
(This article belongs to the Special Issue Marine Fungal Metabolites: Structures, Activities and Biosynthesis)
Show Figures

Graphical abstract

12 pages, 5010 KB  
Article
α-Glucosidase and Pancreatic Lipase Inhibitory Activities of Diterpenes from Indian Mango Ginger (Curcuma amada Roxb.) and Its Derivatives
by Yuri Yoshioka, Naori Yoshimura, Shinichi Matsumura, Hiroto Wada, Maya Hoshino, Shouhei Makino and Masanori Morimoto
Molecules 2019, 24(22), 4071; https://doi.org/10.3390/molecules24224071 - 10 Nov 2019
Cited by 19 | Viewed by 5123
Abstract
Enzymatic inhibitions of crude extracts and their constituents from Zingiberaceae against both rat intestinal α-glucosidase and porcine pancreatic lipase were investigated. Structure–activity relationships using their derivatives were also investigated. The rhizomes extract of mango ginger, Curcuma amada showed remarkable inhibitory activity in the [...] Read more.
Enzymatic inhibitions of crude extracts and their constituents from Zingiberaceae against both rat intestinal α-glucosidase and porcine pancreatic lipase were investigated. Structure–activity relationships using their derivatives were also investigated. The rhizomes extract of mango ginger, Curcuma amada showed remarkable inhibitory activity in the screening test. Two natural labdane diterpenes 1 and 2 and a drimane sesquiterpene 3 were major constituents isolated from this hexane extract. Among them, (E)-labda-8(17),12-diene-15,16-dial (1) was the most prominent compound and showed inhibitory activity against both α-glucosidase and lipase. Derivatives 410 from compound 1 were prepared and evaluated using inhibitory assays with these enzymes. The reduced derivative 4 maintained α-glucosidase inhibitory activity, but had decreased pancreatic lipase inhibitory activity compared with parent compound 1. Other tested derivatives of compound 1, including acetates 57 and oxidative derivatives 8–10, had very weak α-glucosidase inhibitory activity. Most of these compounds showed moderate pancreatic lipase inhibitory activity. However, only sesquiterpene albicanal (3) showed drastically decreased pancreatic lipase activity compared with 1. These findings suggested that molecular size was essential for enzymatic inhibitory activities of these compounds. These results demonstrated that mango ginger may be useful for the prevention of obesity and being overweight. Full article
(This article belongs to the Special Issue Discovery of Active Ingredients from Natural Products)
Show Figures

Figure 1

16 pages, 2132 KB  
Article
Insecticidal and Antifeedant Activities of Malagasy Medicinal Plant (Cinnamosma sp.) Extracts and Drimane-Type Sesquiterpenes against Aedes aegypti Mosquitoes
by Edna Alfaro Inocente, Bao Nguyen, Preston K. Manwill, Annecie Benatrehina, Eliningaya Kweka, Sijin Wu, Xiaolin Cheng, L. Harinantenaina Rakotondraibe and Peter M. Piermarini
Insects 2019, 10(11), 373; https://doi.org/10.3390/insects10110373 - 25 Oct 2019
Cited by 18 | Viewed by 6647
Abstract
The overuse of insecticides with limited modes of action has led to resistance in mosquito vectors. Thus, insecticides with novel modes of action are needed. Secondary metabolites in Madagascan plants of the genus Cinnamosma (Canellaceae) are commonly used in traditional remedies and known [...] Read more.
The overuse of insecticides with limited modes of action has led to resistance in mosquito vectors. Thus, insecticides with novel modes of action are needed. Secondary metabolites in Madagascan plants of the genus Cinnamosma (Canellaceae) are commonly used in traditional remedies and known to elicit antifeedant and toxic effects in insect pests. Here we test the hypothesis that extracts of Cinnamosma sp. enriched in drimane sesquiterpenes are toxic and/or antifeedant to the yellow fever mosquito Aedes aegypti. We show that the bark and root extracts, which contain a higher abundance of drimane sesquiterpenes compared to leaves, were the most efficacious. Screening isolated compounds revealed cinnamodial to be the primary driver of adulticidal activity, whereas cinnamodial, polygodial, cinnafragrin A, and capsicodendrin contributed to the larvicidal activity. Moreover, an abundant lactone (cinnamosmolide) in the root extract synergized the larvicidal effects of cinnamodial. The antifeedant activity of the extracts was primarily contributed to cinnamodial, polygodial, and cinnamolide. Parallel experiments with warburganal isolated from Warburgia ugandensis (Canellaceae) revealed that aldehydes are critical for—and a hydroxyl modulates—insecticidal activity. Our results indicate that plant drimane sesquiterpenes provide valuable chemical platforms for developing insecticides and repellents to control mosquito vectors. Full article
(This article belongs to the Special Issue Vectors and Vector-borne Diseases)
Show Figures

Figure 1

10 pages, 1381 KB  
Article
Asperienes A–D, Bioactive Sesquiterpenes from the Marine-Derived Fungus Aspergillus flavus
by Yun-Feng Liu, Yu-Fei Yue, Li-Xi Feng, Hua-Jie Zhu and Fei Cao
Mar. Drugs 2019, 17(10), 550; https://doi.org/10.3390/md17100550 - 26 Sep 2019
Cited by 34 | Viewed by 4493
Abstract
Marine-derived fungi of the genera Aspergillus could produce novel compounds with significant bioactivities. Among these fungi, the strain Aspergillus flavus is notorious for its mutagenic mycotoxins production. However, some minor components with certain toxicities from A. flavus have not been specifically surveyed and [...] Read more.
Marine-derived fungi of the genera Aspergillus could produce novel compounds with significant bioactivities. Among these fungi, the strain Aspergillus flavus is notorious for its mutagenic mycotoxins production. However, some minor components with certain toxicities from A. flavus have not been specifically surveyed and might have potent biological activities. Our investigation of the marine-derived fungus Aspergillus flavus CF13-11 cultured in solid medium led to the isolation of four C-6′/C-7′ epimeric drimane sesquiterpene esters, asperienes A–D (14). Their absolute configurations were assigned by electronic circular dichroism (ECD) and Snatzke’s methods. This is the first time that two pairs of C-6′/C-7′ epimeric drimane sesquiterpene esters have successfully been separated. Aperienes A–D (14) displayed potent bioactivities towards four cell lines with the IC50 values ranging from 1.4 to 8.3 μM. Interestingly, compounds 1 and 4 exhibited lower toxicities than 2 and 3 toward normal GES-1 cells, indicating more potential for development as an antitumor agent in the future. Full article
Show Figures

Graphical abstract

12 pages, 1999 KB  
Article
Iso-Mukaadial Acetate from Warburgia salutaris Enhances Glucose Uptake in the L6 Rat Myoblast Cell Line
by Nontokozo Z. Msomi, Francis O. Shode, Ofentse J. Pooe, Sithandiwe Mazibuko-Mbeje and Mthokozisi B. C. Simelane
Biomolecules 2019, 9(10), 520; https://doi.org/10.3390/biom9100520 - 22 Sep 2019
Cited by 27 | Viewed by 4392
Abstract
Diabetes mellitus (DM) is a chronic metabolic disorder which has become a major risk to the health of humankind, as its global prevalence is increasing rapidly. Currently available treatment options in modern medicine have several adverse effects. Thus, there is an urgent need [...] Read more.
Diabetes mellitus (DM) is a chronic metabolic disorder which has become a major risk to the health of humankind, as its global prevalence is increasing rapidly. Currently available treatment options in modern medicine have several adverse effects. Thus, there is an urgent need to develop alternative cost-effective, safe, and active treatments for diabetes. In this regard, medicinal plants provide the best option for new therapeutic remedies desired to be effective and safe. Recently, we focused our attention on drimane sesquiterpenes as potential sources of antimalarial and antidiabetic agents. In this study, iso-mukaadial acetate (Iso) (1), a drimane-type sesquiterpenoid from the ground stem bark of Warburgia salutaris, was investigated for glucose uptake enhancement in the L6 rat myoblast cell line. In vitro assays with L6 skeletal muscle cells were used to test for cytotoxicity, glucose utilisation, and western blot analysis. Additionally, the inhibition of carbohydrate digestive enzymes and 1,1-diphenyl-2- picrylhydrazyl (DPPH) scavenging activity were analysed in vitro. The cell viability effect of iso-mukaadial acetate was the highest at 3 µg/mL with a percentage of 98.4. Iso-mukaadial acetate also significantly and dose-dependently increased glucose utilisation up to 215.18% (12.5 µg/mL). The increase in glucose utilisation was accompanied by enhanced 5’ adenosine monophosphate-activated protein kinase (AMPK)and protein kinase B (AKT) in dose-dependent manner. Furthermore, iso-mukaadial acetate dose-dependently inhibited the enzymes α-amylase and α-glucosidase. Scavenging activity against DPPH was displayed by iso-mukaadial acetate in a concentration-dependent manner. The findings indicate the apparent therapeutic efficacy of iso-mukaadial acetate isolated from W. salutaris as a potential new antidiabetic agent. Full article
Show Figures

Figure 1

8 pages, 1111 KB  
Article
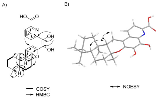
Saccharoquinoline, a Cytotoxic Alkaloidal Meroterpenoid from Marine-Derived Bacterium Saccharomonospora sp.
by Tu Cam Le, Eun Ju Lee, Jihye Lee, Ahreum Hong, Chae-Yoon Yim, Inho Yang, Hyukjae Choi, Jungwook Chin, Sung Jin Cho, Jaeyoung Ko, Hayoung Hwang, Sang-Jip Nam and William Fenical
Mar. Drugs 2019, 17(2), 98; https://doi.org/10.3390/md17020098 - 2 Feb 2019
Cited by 23 | Viewed by 4700
Abstract
A cytotoxic alkaloidal meroterpenoid, saccharoquinoline (1), has been isolated from the fermentation broth of the marine-derived bacterium Saccharomonospora sp. CNQ-490. The planar structure of 1 was elucidated by 1D, 2D NMR, and MS spectroscopic data analyzes, while the relative configuration of [...] Read more.
A cytotoxic alkaloidal meroterpenoid, saccharoquinoline (1), has been isolated from the fermentation broth of the marine-derived bacterium Saccharomonospora sp. CNQ-490. The planar structure of 1 was elucidated by 1D, 2D NMR, and MS spectroscopic data analyzes, while the relative configuration of 1 was defined through the interpretation of NOE spectroscopic data. Saccharoquinoline (1) is composed of a drimane-type sesquiterpene unit in combination with an apparent 6,7,8-trihydroxyquinoline-2-carboxylic acid. This combination of biosynthetic pathways was observed for the first time in natural microbial products. Saccharoquinoline (1) was found to have cytotoxicity against the HCT-116 cancer cell line by inducing G1 arrest, which leads to cell growth inhibition. Full article
Show Figures

Graphical abstract

Back to TopTop