Abstract
In the present study, the hexane extract from branches of Drimys brasiliensis (Winteraceae) displayed potent activity against Schistosoma mansoni parasites (100% mortality of the worms at 200 μg/mL). Bioactivity-guided fractionation afforded, in addition to the previously reported bioactive sesquiterpene 3,6-epidioxy-bisabola-1,10-diene, two chemically related drimane sesquiterpenes—polygodial (1) and 9-deoxymuzigadial (2). The anti-S. mansoni effects for compounds 1 and 2 were determined in vitro, with compound 1 demonstrating significant potency (EC50 value of 10 μM for both male and female worms), while 2 was inactive. Cytotoxicity assays against Vero cells revealed no toxicity for either compound (CC50 > 200 μM). Additionally, an in silico analysis was conducted using the SwissADME platform for 1, revealing that this natural sesquiterpene exhibited adherence to several ADME parameters and no PAINS violations. Finally, in vivo studies with S. mansoni-infected mice treated with compound 1 demonstrated a 44.0% reduction in worm burden, accompanied by decreases in egg production of 71.8% in feces and 69.5% in intestines. These findings highlight the potential of polygodial (1) as a promising prototype for schistosomiasis treatment.
1. Introduction
Neglected tropical diseases (NTDs), as defined by the World Health Organization (WHO), comprise a group of illnesses that predominantly impact populations in low- and middle-income countries, particularly in tropical and subtropical regions. These diseases often receive insufficient attention in terms of research and new treatment development, especially when compared to diseases more prevalent in high-income countries [1]. Among NTDs, schistosomiasis stands out as a significant public health challenge. This parasitic disease, caused by worms of the genus Schistosoma, can lead to severe damage to internal organs, particularly the liver and intestines, resulting in chronic morbidity and a diminished quality of life [2].
Aligned with Sustainable Development Goal (SDG) target 3, the elimination of NTDs, including schistosomiasis, has been prioritized globally. To this end, the WHO has outlined an ambitious roadmap to eliminate schistosomiasis as a public health problem by 2030 [3]. A key strategy in achieving this target is the development of novel antischistosomal agents [4]. Currently, schistosomiasis treatment relies almost exclusively on praziquantel, a therapy that has remained the cornerstone of treatment for decades. However, concerns regarding its long-term efficacy and the potential emergence of praziquantel-resistant Schistosoma strains highlight the pressing need to explore alternative therapeutic options [4,5].
Drimys brasiliensis Miers. (Winteraceae), commonly known in Brazil as “casca-d’anta”, has frequently been used in traditional medicine as an analgesic and anti-inflammatory agent [6]. Previous studies on D. brasiliensis described the isolation of several terpenoids including polygodial, 1β-(p-methoxy-cinnamoyl)-polygodial, 1β-coumaroyl-polygodial, and drimanial, which have been evaluated for their antifungal, anti-inflammatory, and cytotoxic effects [6,7,8,9]. Additionally, other studies have described the antiparasitic activity of polygodial and related compounds, particularly against the protozoans Leishmania infantum, Plasmodium falciparum, and Trypanosoma cruzi [10]. More recently, our group reported the anti-S. mansoni effects of 3,6-epidioxy-bisabola-1,10-diene, isolated from D. brasiliensis branches [11]. In continuation with this study, the effects of isolated sesquiterpenes polygodial (1) and 9-deoxymuzigadial (2) against S. mansoni were evaluated in vitro. Considering the potent antiparasitic activity of 1 and its adherence to several ADME parameters using in silico analysis (SwissADME platform), this compound was further assessed using an in vivo model.
2. Results
2.1. Chemical Characterization of Polygodial (1) and 9-Deoxymuzigadial (2)
The hexane extract from the branches of D. brasiliensis initially demonstrated 100% mortality against Schistosoma mansoni parasites and bioactivity-guided fractionation of the extract led to the isolation of, in addition to the previously reported bioactive sesquiterpene 3,6-epidioxy-bisabola-1,10-diene [11], compounds 1 and 2.
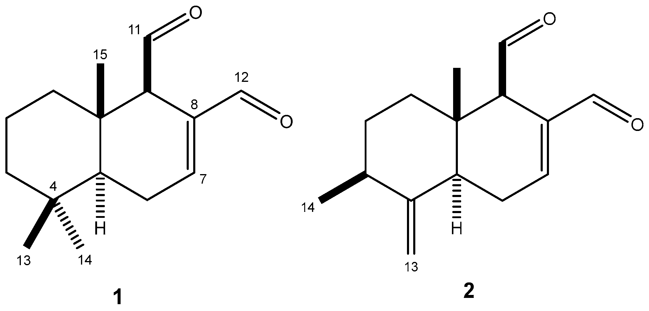
ESI-HRMS spectrum of 1 showed the [M + H]+ ion peak at m/z 235.1679, compatible with molecular formula C15H22O2. The 1H NMR spectrum displayed three singlets from methyl hydrogens at δ 0.96 (H-13), 0.92 (H-14), and 0.94 (H-15). Additionally, two characteristic aldehyde signals were observed at δ 9.53 (d, J = 4.4 Hz, H-11) and δ 9.45 (s, H-12), along with a double bond signal at δ 7.14 (t, J = 2.8 Hz, H-7), suggesting an α,β-unsaturated system. In the 13C NMR spectrum, 15 peaks of a sesquiterpene were observed, including two carbonyl carbon signals at δ 202.0 (C-11) and 193.2 (C-12), this being the last part of an α,β-unsaturated system due to the signals attributed to sp2 carbons at δ 154.3 (C-7) and 138.4 (C-8). Therefore, the structure of polygodial (1—Figure 1) was confirmed by a comparison of NMR data with those previously reported in the literature [9].
Figure 1.
Structures of sesquiterpenes polygodial (1) and 9-deoxymuzigadial (2).
To compound 2, ESI-HRMS spectrum showed the [M + H]+ ion peak at m/z 233.1557, compatible with molecular formula as C15H20O2. The 1H NMR of 2 showed similarities with that of 1 except for the presence of two singlets of an exocyclic double bond at δ 4.91 (H-13a) and 4.72 (H-13b), and one doublet at δ 1.08 (J = 6.5 Hz, H-14). Analysis of the 13C NMR spectrum confirmed the presence of one exocyclic double bond due to the peaks at δ 106.1 (C-13) and 151.4 (C-4) whereas those at δ 201.2 (C-11) and δ 193.4 (C-12) were assigned to the aldehyde carbons C-11 and C-12, respectively. Considering that the peaks assigned to C-7 and C-8 were observed, respectively, at δ 153.0 and δ 138.0, similarly to those of 1, the differences between these sesquiterpenes are in the substituents at C-3 and C-4 positions. Therefore, the structure of 9-deoxymuzigadial (2—Figure 1) was confirmed by comparison of NMR data with those previously reported in the literature [12], this being the first occurrence of 2 in the genus Drimys.
2.2. In Vitro Evaluation of Polygodial (1) and 9-Deoxymuzigadial (2)
Following molecular characterization, compounds 1 and 2 were subjected to in vitro evaluation against S. mansoni. Adult worm pairs were analyzed separately as male and female parasites, given the known biological and physiological differences between sexes that can influence drug susceptibility. Cytotoxicity (CC50) was assessed using Vero mammalian cells, and the selectivity index (SI) was subsequently calculated. Praziquantel served as the positive control, while DMSO was used as the negative control (Table 1).
Table 1.
Antischistosomal activity of natural sesquiterpenes polygodial (1) and 9-deoxymuzigadial (2) compared to the positive control praziquantel.
Polygodial (1) exhibited an EC50 value of approximately 10 μM for both male and female S. mansoni worms, demonstrating significant antischistosomal activity. In contrast, 9-deoxymuzigadial (2) showed no detectable activity against either sex of the parasite within the tested concentration range, classifying it as “not active”.
Cytotoxicity assays revealed no significant toxicity for either compound, with CC50 values exceeding 200 μM against Vero cells. The selective index (SI), calculated as the ratio of CC50 to EC50, was greater than 21 for polygodial (1), highlighting its favorable therapeutic profile. In comparison, praziquantel exhibited superior potency, with EC50 values of approximately 1 μM for S. mansoni and an SI greater than 150.
2.3. In Silico Evaluation of Polygodial (1)
To support the subsequent in vivo evaluation of polygodial (1), an in silico analysis was performed using the SwissADME platform to assess its pharmacokinetic and pharmacodynamic characteristics [13]. A key tool for interpreting these data is the bioavailability radar, which evaluates a drug’s absorption into the bloodstream and its biotransformation for excretion. As observed in Figure 2, polygodial (1) demonstrated good adherence to all evaluated parameters, similar to the drug praziquantel, used for the treatment of schistosomiasis.
Figure 2.
Bioavailability radar of polygodial (1, (left)) and positive control praziquantel (right).
Table 2 displays the in silico physicochemical properties and ADME parameters of polygodial (1) compared to praziquantel. As observed, tested compound 1 does not violate any of the drug-likeness rules set forth by Lipinski, Ghose, Veber, Egan, or Muegge, log Po/w < 5, molecular weight (MW) < 400 Da, and a topological polar surface area (TPSA) < 140 Å. These values indicate high absorption potential and favorable oral bioavailability, making polygodial (1) a promising lead-like compound. Additionally, no PAINS (Pan Assay Interference Compounds) alerts were identified, further supporting its potential as a drug candidate.
Table 2.
In silico and ADME properties of polygodial (1) compared to the positive control praziquantel.
2.4. In Vivo Evaluation
Building on the promising in vitro and in silico results, the in vivo efficacy of polygodial (1) was assessed in S. mansoni-infected mice. Animals were treated with a single oral dose of 400 mg/kg of either polygodial (1) or praziquantel, following a standardized protocol for evaluating antischistosomal drugs in murine models [14]. The results were compared to an infected, untreated control group.
Polygodial (1) treatment led to a significant reduction in worm burden, achieving a 44.09% (p < 0.05) decrease, while the reference drug praziquantel reduced worm burden by 87% (p < 0.001) (Figure 3). Additionally, compound 1 substantially reduced egg production, with decreases of 71.80% (p < 0.001) in fecal samples and 69.49% (p < 0.05) in intestinal tissues. In comparison, praziquantel reduced egg counts by 88–92% in both feces and intestinal tissues (Figure 4).
Figure 3.
Effect of polygodial (1) and praziquantel (PZQ) on worm burden in S. mansoni-infected mice. Forty-two days post-infection, animals received a single oral dose of either the test compound (400 mg/kg) or the vehicle (control). At 56 days post-infection, animals were euthanized and dissected, and schistosomes were removed, sexed, and counted. Data points represent individual animals (n = 5 per group), with horizontal bars indicating median values. * p < 0.05; *** p < 0.001 compared to the infected vehicle-treated control group.
Figure 4.
Effect of polygodial (1) and praziquantel (PZQ) on egg burden in S. mansoni-infected mice. Forty-two days post-infection, animals received a single oral dose of either the test compound (400 mg/kg) or the vehicle (control). At 56 days post-infection, mice were euthanized, and egg burden was assessed in both feces and intestinal tissue. Egg counts in intestinal tissue reflect the number of immature eggs. Data points represent individual animals (n = 5 per group), with horizontal bars indicating median values. *** p < 0.001 compared to the infected vehicle-treated control group.
These findings highlight the potential of polygodial (1) to not only reduce the adult parasite load but also disrupt egg production, a critical factor in controlling disease transmission and pathology.
3. Discussion
Bioactivity-guided fractionation of hexane extract from branches of D. brasiliensis afforded two fractions—the first one composed exclusive of 3,6-epidioxy-bisabola-1,10-diene [11] and the second composed of sesquiterpenes 1 and 2, which were purified by SiO2/AgNO3 column chromatography and characterized as polygodial and 9-deoxymuzigadial, respectively, by analysis of NMR and HR-ESIMS data (see Supplementary Materials).
The antischistosomal potential of polygodial (1) and 9-deoxymuzigadial (2), revealed significant in vitro activity for 1, while 2 was inactive. In vitro, polygodial (1) exhibited notable activity against both male and female S. mansoni worms, with no cytotoxicity observed in mammalian Vero cells, yielding a high selectivity index (SI > 20). While praziquantel remains the gold standard for schistosomiasis treatment, with superior potency (EC50 ~ 1 μM; SI > 150), the activity of polygodial (1) positions it as a potential alternative or adjunct therapy. Otherwise, the inactivity of 9-deoxymuzigadial (2) underscores the importance of specific structural features for antischistosomal activity, especially two geminal methyl groups at the C-4 position that can affect its metabolization and pharmacokinetics [15,16]. The contrasting results between polygodial (1) and 9-deoxymuzigadial (2) further support this hypothesis.
Building upon the in vitro findings, in silico analysis evaluated the drug-likeness of polygodial (1). Observing the bioavailability radar, it is noted that polygodial (1) shows properties comparable to those of the positive control, praziquantel, that includes data on liposolubility (LIPO), molecular flexibility (FLEX), number of unsaturation (UNSAT), solubility (SOLUB), polarity (POLAR), and molecular size (SIZE) [13]. Polygodial (1), falls within the radar, suggesting it to be a promising compound for progression to in vivo testing. As observed, polygodial (1) does not violate any of the drug-likeness rules established by Lipinski, Ghose, Veber, Egan, or Muegge. This compound displayed a log Po/w < 5, a molecular weight (MW) < 400 Da, and a topological polar surface area (TPSA) < 140 Å, suggesting a high absorption and good oral availability [13]. Furthermore, no alerts for PAINS were detected for polygodial (1).
In vivo studies validated the antiparasitic potential of polygodial (1). A single oral dose of 400 mg/kg administered to S. mansoni-infected mice resulted in an approximately 44% reduction in worm burden. Notably, egg production was significantly suppressed, with reductions of around 70% in both fecal and intestinal samples. This finding is particularly important, as egg deposition is the primary driver of schistosomiasis-associated morbidity and transmission. In comparison, other natural products, such as dehydrodieugenol B [17] and the sesquiterpene nerolidol [18], have demonstrated more modest reductions in parasite burden and egg counts, further highlighting the superior efficacy of polygodial (1).
The exact mechanism by which polygodial (1) exerts its antiparasitic effects on schistosomes remains unclear. However, similar to other terpenes, its high hydrophobicity likely facilitates penetration across cellular membranes, enabling interactions with intracellular proteins and/or intra-organelle targets [19]. This property may contribute to its broad-spectrum activity and ability to disrupt critical biological processes in the parasite. The promising results obtained for polygodial (1) align with other studies that have highlighted the antiprotozoal and anthelmintic properties of natural drimane sesquiterpenes.
Despite these encouraging findings, additional studies are required to address some limitations. Detailed pharmacokinetic and toxicity assessments are essential to confirm the compound’s safety profile. Molecular similarity analyses using quantum mechanical descriptors could provide valuable insights into the compound’s biological activity [20,21]. Investigating its mechanism of action and exploring structural modifications could further enhance its therapeutic potential. Therefore, polygodial (1) demonstrates significant promise as a lead compound for schistosomiasis treatment, combining notable in vitro activity, high selectivity, and in vivo efficacy. These findings pave the way for the development of novel therapeutic agents to combat schistosomiasis, addressing a critical unmet need in global health.
4. Materials and Methods
4.1. General Procedures
NMR spectra were recorded using a Varian INOVA spectrometer (Santo André, SP, BR) operating at 500 and 125 MHz for 1H for 13C nuclei, respectively, using CDCl3 as the solvent and TMS as the internal standard. HR-ESIMS spectra were recorded using Bruker Daltonics MicroTOF QII spectrometer (Santo André, Brazil) operating in positive electron spray ionization mode. Silica gel (230−400 mesh, Merck, Darmstadt, Germany) was used for column chromatography procedures while silica gel 60 PF254 (Merck, Darmstadt, Germany) was employed for analytical TLC separations.
4.2. Plant Material
D. brasiliensis was collected on 3 December 2021, in Serra do Cipó National Park, Minas Gerais, Brazil. The species was identified by the botanist Dr. Guilherme M. Antar from Federal University of Espírito Santo, Brazil. The voucher specimen, registered as number 4105, was deposited at the herbarium of the University of São Paulo (SPF), Brazil.
4.3. Extraction
As previously reported [11], fresh branches of D. brasiliensis were dried at 30 °C and powdered to afford 316 g of plant material, which was extracted with hexane (10 × 500 mL) at room temperature. Combined extracts were concentrated under reduced pressure to afford 17 g of hexane extract.
4.4. Isolation of Polygodial (1) and 9-Deoxymuzigadial (2)
Part of the bioactive hexane extract from branches of D. brasiliensis (16 g) was chromatographed over silica gel eluted with increasing amounts of EtOAc in hexane (9:1; 8:2; 7:3; 6:4; 3:7) and pure EtOAc to afford five groups (A–E). After in vitro anti-S. mansoni evaluation, groups C and E displayed activity (100% mortality of the worms at 200 μg/mL). Group C was shown to be composed of 3,6-epidioxy-bisabola-1,10-diene, as previously reported [11]. Part of group E (200 mg) was subjected to further fractionation using silica gel soaked with AgNO3 eluted with hexane: Et2O 7:3 and 1:1 to give seven groups (E-1 to E-7). Polygodial (1) and 9-deoxymuzigadial (2) were isolated from groups E-3 (90 mg) and E-7 (22 mg), respectively.
Polygodial (1): White amorphous solid. HR-ESIMS: m/z 235.1679 [M + H]+ calculated for C15H23O2, 235.1698. 1H NMR (CDCl3, 500 MHz): δ 9.53 (d, J = 4.5 Hz, H-11), 9.45 (s, H-12), 7.14 (t, J = 2.8 Hz, H-7), 2.82 (br s, H-9), 2.49 (m, H-6ax), 2.33 (m, H-6eq), 1.82 (dd, J = 2.7 and 2.3 Hz, H-1eq), 1.50 (m, H-3ax and H-2), 1.37 (td, J = 13.5 and 4.0 Hz, H-1ax), 1.28 (m, H-5) 1.24 (m, H-3), 0.96 (s, H-13), 0.94 (s, H-15), 0.93 (s, H-14). 13C NMR (CDCl3, 125 MHz): δ 202.0 (C-11), 193.2 (C-12), 154.2 (C-7), 138.2 (C-8), 60.3 (C-9), 48.9 (C-5), 41.7 (C-3), 39.5 (C-1), 36.8 (C-10), 33.1 (C-4), 33.0 (C-14), 25.2 (C-6), 21.9 (C-13), 18.0 (C-2), 15.2 (C-15).
9-Deoxymuzigadial (2): White amorphous solid. HR-ESIMS: m/z 233.1557 [M + H]+ calculated for C15H21O2 233.1541. 1H NMR (CDCl3, 500 MHz): δ 9.53 (d, J = 4.2 Hz, H-11), 9.50 (s, H-12), 7.14 (m, H-7), 4.91 (br s, H-13eq), 4.72 (br s, H-13ax), 3.01 (br s, H-9), 2.44 (m, H-6), 2.11 (m, H-5), 2.02 (m, H-3), 1.91 (dt, J = 13.5 and 3.1 Hz, H-1eq), 1.70 (m, H-2eq), 1.62 (m, H-1ax), 1.08 (d, J = 6.5 Hz, H-14), 0.73 (s, H-15). 13C NMR (CDCl3, 125 MHz): δ 201.2 (C-11), 193.4 (C-12), 153.0 (C-7), 151.4 (C-4), 138.0 (C-8), 106.1 (C-13), 58.4 (C-9), 45.9 (C-5), 39.5 (C-1), 38.6 (C-3), 38.3 (C-10), 31.6 (C-2), 27.1 (C-6), 18.5 (C-14), 13.6 (C-15).
4.5. In Silico Analysis
In silico parameters were evaluated using the SwissADME platform developed and maintained by the Swiss Institute of Bioinformatics®, Lausanne, Switzerland [13]. On this website, 2D structural models of analyzed compounds were drawn in the molecular sketcher into ChemAxon’s Marvin JS window and transferred into a SMILES (simplified molecular-input line-entry system) format to predict suitable properties. Different pharmacokinetic parameters were assessed, including absorption, distribution, metabolism, and excretion (ADME). Additionally, drug-likeness criteria were analyzed based on the Lipinski (Pfizer, Hong Kong), Veber (GlaxoSmithKline, Hong Kong), and Muegge (Bayer, Leverkusen, Germany) filters. The identification of pan-assay interference compounds (PAINS) was also included in the evaluation.
4.6. Animals, Parasites, and Cells
The Schistosoma mansoni life cycle (BH strain) was maintained at Guarulhos University (Guarulhos, SP, Brazil), utilizing Biomphalaria glabrata snails as intermediate hosts and Swiss mice as definitive hosts. Both snails and mice were kept in a controlled environment at 25 °C with 50% relative humidity, a 12-h light/dark cycle, and free access to food and water. Swiss mice (four weeks old) were subcutaneously infected with S. mansoni cercariae harvested from infected snails.
Vero cells (monkey kidney epithelial cells; ATCC CCL-81) were sourced from the American Type Culture Collection (Manassas, VA, USA). The cells were cultured in Dulbecco’s Modified Eagle Medium (DMEM) supplemented with 2 mM L-glutamine, 10% heat-inactivated fetal bovine serum, and antibiotics (100 U/mL penicillin and 100 µg/mL streptomycin). Cultures were maintained in 25 cm2 flasks (Corning, Tewksbury, MA, USA) at 37 °C in a humidified incubator with 5% CO2. Subculturing was performed using a 0.25% trypsin-EDTA solution [22].
4.7. In Vitro Antiparasitic Assay
Adult S. mansoni worms were harvested from infected mice via dissection 49 days post-infection and maintained in RPMI 1640 medium supplemented with 5% fetal calf serum, 100 U/mL penicillin, and 100 µg/mL streptomycin. Test compounds 1 and 2 were prepared in RPMI medium at an initial concentration of 50 µM and placed into 24-well plates (Corning, New York, NY, USA). Six concentrations were tested in a serial dilution format over 72 h at 37 °C in a 5% CO2 atmosphere. Each well contained one male and one female worm. Controls included 0.5% DMSO as the negative control and praziquantel as the positive control [23].
Worm viability was assessed under an inverted microscope at intervals of 0, 24, 48, and 72 h. Mortality was defined as the complete absence of movement observed for at least one minute [24]. All experiments were performed in triplicate, and results were expressed as the percentage of surviving worms compared to the controls.
4.8. In Vitro Cytotoxicity Assay
Cytotoxicity was evaluated using the MTT assay. Vero cells were seeded at a density of 2 × 103 cells per well in 96-well plates and exposed to serial dilutions of sesquiterpenes, starting at a concentration of 200 µM. Six concentrations were tested in a serial dilution format over 72 h at 37 °C in a 5% CO2 atmosphere [23,25]. After the incubation period, MTT solution was added, and the plates were incubated for an additional 4 h. Absorbance was measured at 595 nm using an Epoch spectrophotometer (BioTek Instruments, Winooski, VT, USA).
Cell viability was calculated as a percentage relative to untreated controls. The selectivity index (SI) was determined as the ratio of the compound’s CC50 in Vero cells to its EC50 against S. mansoni. Each experiment was conducted in triplicate to ensure reproducibility [26].
4.9. In Vivo Efficacy in Mice Infected with S. mansoni
The in vivo efficacy of compound 1 was tested using a murine model of schistosomiasis. Three-week-old Swiss mice were subcutaneously infected with 80 cercariae of S. mansoni per animal [27]. On day 42 post-infection, the mice were divided into three groups (n = 5 per group) and treated via oral gavage with a single dose of compound 1 (400 mg/kg), praziquantel (400 mg/kg) or vehicle (water).
Mice were euthanized on day 56 post-infection using CO2 inhalation. The worms were then recovered, sexed (separated into male and female), and counted to assess worm burden reduction. Egg burden reduction was evaluated using the oogram method for intestinal eggs and the Kato–Katz technique for fecal eggs. To minimize bias, all analyses were performed by investigators blinded to the treatment groups [28].
4.10. Data Analysis
Statistical analyses were conducted using GraphPad Prism 8.0 (San Diego, CA, USA). EC50 and CC50 values were calculated from sigmoidal dose–response curves. Comparisons of worm burden and egg counts between control and treatment groups were performed using the non-parametric Kruskal–Wallis test. A p-value of less than 0.05 was considered statistically significant [23].
5. Conclusions
In conclusion, the results of the present study demonstrated the in vitro and in vivo antischistosomal activities of chemically related drimane sesquiterpene polygodial (1) and 9-deoxymuzigadial (2), both isolated from the hexane extracts from branches of D. brasiliensis (Winteraceae). In vitro assays showed compound 1 worm mortality with an EC50 value of 12.5 μM, whereas 2 showed to be inactive. Additionally, both 1 and 2 were not cytotoxic to mammalian cells and displayed good absorption and oral bioavailability when evaluated in silico. Based on these results, the effects of polygodial (1) in vivo using a murine infection model were evaluated, where there was a reduction in worm burden (44.09%) and in egg production in feces (71.80%) and intestines (69.49%), indicating a similar efficacy to the positive control praziquantel. Therefore, polygodial represents a promising candidate for the development of new drugs for the treatment of schistosomiasis.
Supplementary Materials
The following supporting information can be downloaded at: https://www.mdpi.com/article/10.3390/molecules30020267/s1, Figure S1: ESI-HRMS of polygodial (1), Figure S2: 1H NMR spectrum of polygodial (1—δ, CDCl3, 500 MHz); Figure S3: 13C NMR spectrum of polygodial (1—δ, CDCl3, 125 MHz); Figure S4: ESI-HRMS of 9-deoxymuzigadial (2); Figure S5: 1H NMR spectrum of 9-deoxymuzigadial (2—δ, CDCl3, 500 MHz); Figure S6: 13C NMR spectrum of 9-deoxymuzigadial (2—δ, CDCl3, 125 MHz); Table S1: Molecular structure and assignment data for compounds 1 and 2 respectively.
Author Contributions
E.U., R.A.C., G.B.C., G.M.A., A.D.A., J.d.M. and J.H.G.L., data curation, visualization, investigation, writing original draft preparation; J.d.M. and J.H.G.L., conceptualization, methodology, writing, reviewing, and editing the final version. All authors have read and agreed to the published version of the manuscript.
Funding
This work was supported by the Fundação de Amparo à Pesquisa do Estado de São Paulo—FAPESP (grants 13/07600-3, 23/08418-6 and 23/12447-1). A.D.A., J.d.M. and J.H.G.L. also received the Established Investigator Fellowship from Conselho Nacional de Desenvolvimento Científico e Tecnológico—CNPq (Brazil). E.U. and R.A.C. received a post-graduate fellowship from the Coordenação de Aperfeiçoamento de Pessoal de Nível Superior—CAPES (Finance Code 001, Brazil).
Institutional Review Board Statement
The animal studies are reported in compliance with the National Centre for the Replacement and Refinement & Reduction of Animals in Research (NC3Rs) ARRIVE guidelines. All experiments were conducted in conformity with the Brazilian law for Guidelines for Care and Use of Laboratory Animals [Law 11790/2008]. The protocol for the experimental design was approved by the Comissão de Ética no Uso de Animais (CEUA) at Universidade Guarulhos (São Paulo, Brazil—protocol ID 47/20 on June 2020).
Informed Consent Statement
Not applicable.
Data Availability Statement
The data that support the findings of this study are available from the corresponding author upon reasonable request.
Acknowledgments
The authors thank the multiuser central facilities (UFABC) for the experimental support. Special thanks to Mariana B. Silva for her technical support at the Núcleo de Pesquisa em Doenças Negligenciadas, Guarulhos University, Brazil.
Conflicts of Interest
The authors declare no conflicts of interest.
References
- Cheuka, P.M.; Mayoka, G.; Mutai, P.; Chibale, K. The Role of Natural Products in Drug Discovery and Development Against Neglected Tropical Diseases. Molecules 2016, 22, 58. [Google Scholar] [CrossRef] [PubMed]
- McManus, D.P.; Dunne, D.W.; Sacko, M.; Utzinger, J.; Vennervald, B.J.; Zhou, X.N. Schistosomiasis. Nat. Rev. Dis. Primers 2018, 4, 13. [Google Scholar] [CrossRef] [PubMed]
- World Health Organization (WHO). Ending the Neglect to Attain the Sustainable Development Goals: A Road Map for Neglected Tropical Diseases 2021–2030; World Health Organization: Geneva, Switzerland, 2020. [Google Scholar]
- LoVerde, P.T.; Alwan, S.N.; Taylor, A.B.; Rhodes, J.; Chevalier, F.D.; Anderson, T.J.; McHardy, S.F. Rational approach to drug discovery for human schistosomiasis. Int. J. Parasitol. Drugs Drug. Resist. 2021, 16, 140–147. [Google Scholar] [CrossRef] [PubMed]
- Moreira-Filho, J.T.; Silva, A.C.; Dantas, R.F.; Gomes, B.F.; Souza-Neto, L.R.; Brandao-Neto, J.; Owens, R.J.; Furnham, N.; Neves, B.J.; Silva-Junior, F.P.; et al. Schistosomiasis Drug Discovery in the Era of Automation and Artificial Intelligence. Front. Immunol. 2021, 12, 642383. [Google Scholar] [CrossRef] [PubMed]
- Fratoni, E.; Claudino, V.D.; Yunes, R.A.; Franchi, G.C., Jr.; Nowill, A.E.; Filho, V.C.; Monache, F.D.; Malheiros, A. Further Drimane Sesquiterpenes from Drimys brasiliensis Stem Barks with Cytotoxic Potential. Naunyn-Schmiedeberg’s Arch. Pharmacol. 2016, 389, 791–797. [Google Scholar] [CrossRef] [PubMed]
- Malheiros, A.; Cechinel Filho, V.; Schmitt, C.B.; Yunes, R.A.; Escalante, A.; Svetaz, L.; Zacchino, S.; Delle Monache, F. Antifungal Activity of Drimane Sesquiterpenes from Drimys brasiliensis using Bioassay-guided Fractionation. J. Pharm. Sci. 2005, 8, 335–339. [Google Scholar]
- Ferreira, B.A.; Norton Filho, A.F.; Deconte, S.R.; Tomiosso, T.C.; Thevenard, F.; Andrade, S.P.; Lago, J.H.G.; Araújo, F.A. Sesquiterpene Polygodial from Drimys brasiliensis (Winteraceae) Down-Regulates Implant-Induced Inflammation and Fibrogenesis in Mice. J. Nat. Prod. 2020, 83, 3698–3705. [Google Scholar] [CrossRef] [PubMed]
- Lago, J.H.G.; Carvalho, L.A.C.; da Silva, F.S.; Toyama, D.O.; Fávero, O.A.; Romoff, P. Chemical Composition and Anti-Inflammatory Evaluation of Essential Oils from Leaves and Steam Barks from Drimys brasiliensis Miers (Winteraceae). J. Braz. Chem. Soc. 2010, 21, 1760–1765. [Google Scholar] [CrossRef]
- Claudino, V.D.; da Silva, K.C.; Cechinel Filho, V.; Yunes, R.A.; Delle Monache, F.; Giménez, A.; Salamanca, E.; Gutierrez-Yapu, D.; Malheiros, A. Drimanes from Drimys brasiliensis with Leishmanicidal and Antimalarial Activity. Mem. Inst. Oswaldo Cruz. 2013, 108, 140–144. [Google Scholar] [CrossRef]
- Umehara, E.; Teixeira, T.R.; Cajás, R.A.; Amaro, M.C.; de Moraes, J.; Lago, J.H.G. EDBD-3,6-Epidioxy-1,10-Bisaboladiene-An Endoperoxide Sesquiterpene Obtained from Drimys brasiliensis (Winteraceae) Exhibited Potent Preclinical Efficacy against Schistosoma mansoni Infection. Antibiotics 2024, 13, 779. [Google Scholar] [CrossRef] [PubMed]
- Al-Said, M.S.; El-Khawaja, S.M.; El-Feraly, F.S.; Hufford, C.D. 9-Deoxy Drimane Sesquiterpenes from Canella winterana. Phytochemistry 1990, 29, 975–977. [Google Scholar] [CrossRef]
- Daina, A.; Michielin, O.; Zoete, V. SwissADME: A Free Web Tool to Evaluate Pharmacokinetics, Drug-Likeness and Medicinal Chemistry Friendliness of Small Molecules. Sci. Rep. 2017, 7, 42717. [Google Scholar] [CrossRef]
- Vale, N.; Gouveia, M.J.; Rinaldi, G.; Brindley, P.J.; Gärtner, F.; Costa, J.M.C. Praziquantel for Schistosomiasis: Single-Drug Metabolism Revisited, Mode of Action, and Resistance. Antimicrob. Agents Chemother. 2017, 61, e02582. [Google Scholar] [CrossRef]
- Talele, T.T. Natural-Products-Inspired Use of the gem-Dimethyl Group in Medicinal Chemistry. J. Med. Chem. 2018, 61, 2166–2210. [Google Scholar] [CrossRef] [PubMed]
- Huang, Y.; Valiante, V. Chemical Diversity and Biosynthesis of Drimane-Type Sesquiterpenes in the Fungal Kingdom. Chembiochem 2022, 23, 202200173. [Google Scholar] [CrossRef] [PubMed]
- Rocha, V.C.; Cajas, R.A.; Andrade-De-Siqueira, A.I.; Almeida, R.B.P.; Godoy-Silva, J.; Gonçalves, M.M.; Lago, J.H.G.; de Moraes, J. Evaluating the Antischistosomal Activity of Dehydrodieugenol B and Its Methyl Ether Isolated from Nectandra leucantha—A Preclinical Study against Schistosoma mansoni Infection. ACS Omega 2023, 8, 40890–40897. [Google Scholar] [CrossRef]
- Silva, M.P.; Oliveira, G.L.; de Carvalho, R.B.; de Sousa, D.P.; Freitas, R.M.; Pinto, P.L.; de Moraes, J. Antischistosomal Activity of the Terpene Nerolidol. Molecules 2014, 19, 3793–3803. [Google Scholar] [CrossRef]
- Mogre, S.S.; Brown, A.I.; Koslover, E.F. Getting Around the Cell: Physical Transport in the Intracellular World. Phys. Biol. 2020, 17, 61003. [Google Scholar] [CrossRef] [PubMed]
- Lopéz-Lopéz, D.; Razo-Hernández, R.S.; Millán-Pacheco, C.; Levya-Peralta, M.A.; Peña-Morán, O.A.; Sánchez-Carranza, J.N.; Rodríguez-López, V. Ligand-Based Drug Design of Genipin Derivatives with Cytotoxic Activity against HeLa Cell Line: A Structural and Theoretical Study. Pharmaceuticals 2023, 16, 1647. [Google Scholar] [CrossRef] [PubMed]
- Ariza-Roldán, A.O.; López-Cardoso, E.M.; Rosas-Valdez, M.E.; Roman-Bravo, P.P.; Vargas-Pineda, D.G.; Cea-Olivares, R.; Acevedo-Quiroz, M.; Razo-Hernández, R.S.; Alvarez-Fitz, P.; Jancik, V. Synthesis, characterization, antimicrobial and theoretical studies of the first main group tris(ephedrinedithiocarbamate) complexes of As(III), Sb(III), Bi(III), Ga(III) and In(III). Polyhedron 2017, 134, 221–229. [Google Scholar] [CrossRef]
- Morais, C.S.; Mengarda, A.C.; Miguel, F.B.; Enes, K.B.; Rodrigues, V.C.; Espírito-Santo, M.C.C.; Siyadatpanah, A.; Wilairatana, P.; Couri, M.R.C.; de Moraes, J. Pyrazoline Derivatives as Promising Novel Antischistosomal Agents. Sci. Rep. 2021, 11, 23437. [Google Scholar] [CrossRef] [PubMed]
- Souza, D.C.S.; Totini, C.H.; Cajás, R.A.; Teixeira, T.R.; Oliveira, E.A.; Cirino, M.E.; Souza, M.C.; Salvadori, M.C.; Teixeira, F.S.; de Moraes, J.; et al. In Vivo Antischistosomal Efficacy of Porcelia ponderosa γ-lactones. Phytomedicine 2024, 135, 156045. [Google Scholar] [CrossRef] [PubMed]
- Silva, M.P.; Silva, T.M.; Mengarda, A.C.; Salvadori, M.C.; Teixeira, F.S.; Alencar, S.M.; Luz Filho, G.C.; Bueno-Silva, B.; de Moraes, J. Brazilian red propolis exhibits antiparasitic properties in vitro and reduces worm burden and egg production in an mouse model harboring either early or chronic Schistosoma mansoni infection. J. Ethnopharmacol. 2021, 264, 113387. [Google Scholar] [CrossRef] [PubMed]
- Sessa, D.P.; Mengarda, A.C.; Simplicio, P.E.; Antar, G.M.; Lago, J.H.G.; de Moraes, J. 15β-Senecioyl-oxy-ent-kaur-16-en-19-oic Acid, a Diterpene Isolated from Baccharis lateralis, as Promising Oral Compound for the Treatment of Schistosomiasis. J. Nat. Prod. 2020, 83, 3744–3750. [Google Scholar] [CrossRef]
- Roquini, V.; Mengarda, A.C.; Cajas, R.A.; Martins-da-Silva, M.F.; Godoy-Silva, J.; Santos, G.A.; Espírito-Santo, M.C.C.; Pavani, T.F.A.; Melo, V.A.; Salvadori, M.C.; et al. The existing drug nifuroxazide as an antischistosomal agent: In vitro, in vivo, and in silico studies of macromolecular targets. Microbiol. Spectr. 2023, 11, e0139323. [Google Scholar] [CrossRef]
- Mengarda, A.C.; Silva, M.P.; Cirino, M.E.; Morais, T.R.; Conserva, G.A.A.; Lago, J.H.G.; de Moraes, J. Licarin A, a neolignan isolated from Nectandra oppositifolia Nees & Mart. (Lauraceae), exhibited moderate preclinical efficacy against Schistosoma mansoni infection. Phytother. Res. 2021, 35, 5154–5162. [Google Scholar] [PubMed]
- Roquini, D.B.; Cogo, R.M.; Mengarda, A.C.; Mazloum, S.F.; Morais, C.S.; Xavier, R.P.; Salvadori, M.C.; Teixeira, F.S.; Ferreira, L.E.; Pinto, P.L.; et al. Promethazine exhibits antiparasitic properties in vitro and reduces worm burden, egg production, hepato- and splenomegaly in a schistosomiasis animal model. Antimicrob. Agents Chemother. 2019, 63, e01208-19. [Google Scholar] [CrossRef] [PubMed]
Disclaimer/Publisher’s Note: The statements, opinions and data contained in all publications are solely those of the individual author(s) and contributor(s) and not of MDPI and/or the editor(s). MDPI and/or the editor(s) disclaim responsibility for any injury to people or property resulting from any ideas, methods, instructions or products referred to in the content. |
© 2025 by the authors. Licensee MDPI, Basel, Switzerland. This article is an open access article distributed under the terms and conditions of the Creative Commons Attribution (CC BY) license (https://creativecommons.org/licenses/by/4.0/).



