Cytotoxic Drimane-Type Sesquiterpenes from Co-Culture of the Marine-Derived Fungi Aspergillus carneus KMM 4638 and Beauveria felina (=Isaria felina) KMM 4639
Abstract
1. Introduction
2. Results
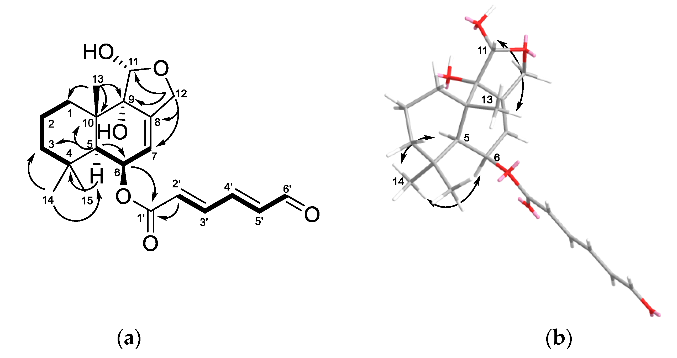
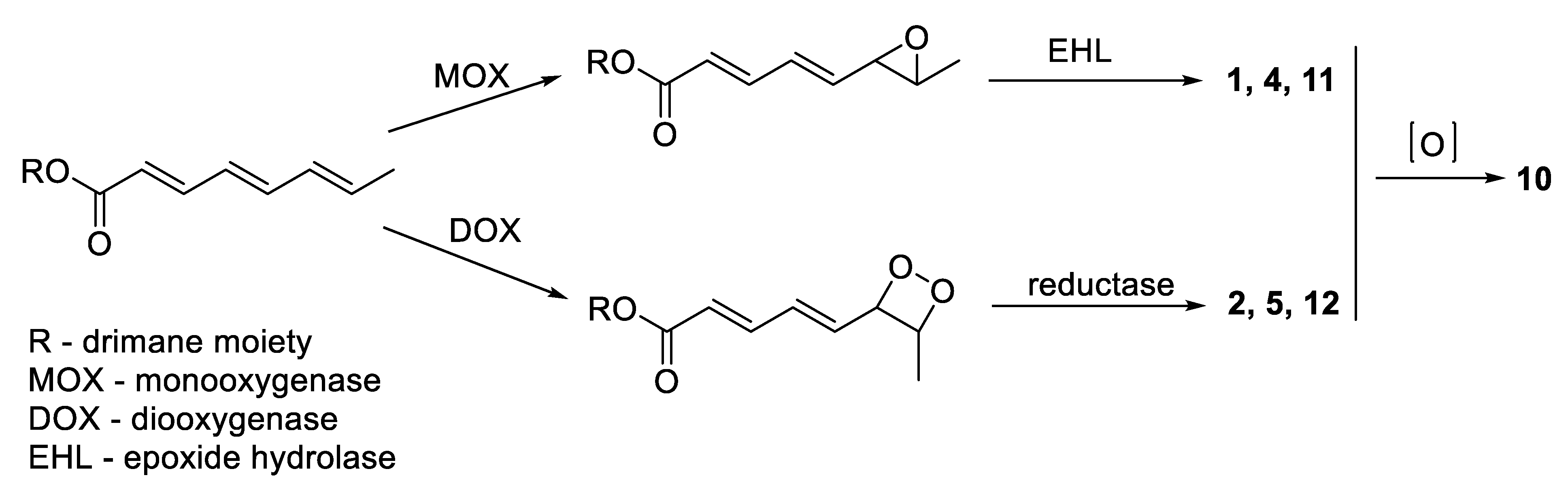
2.1. Isolation and Identification of Compounds
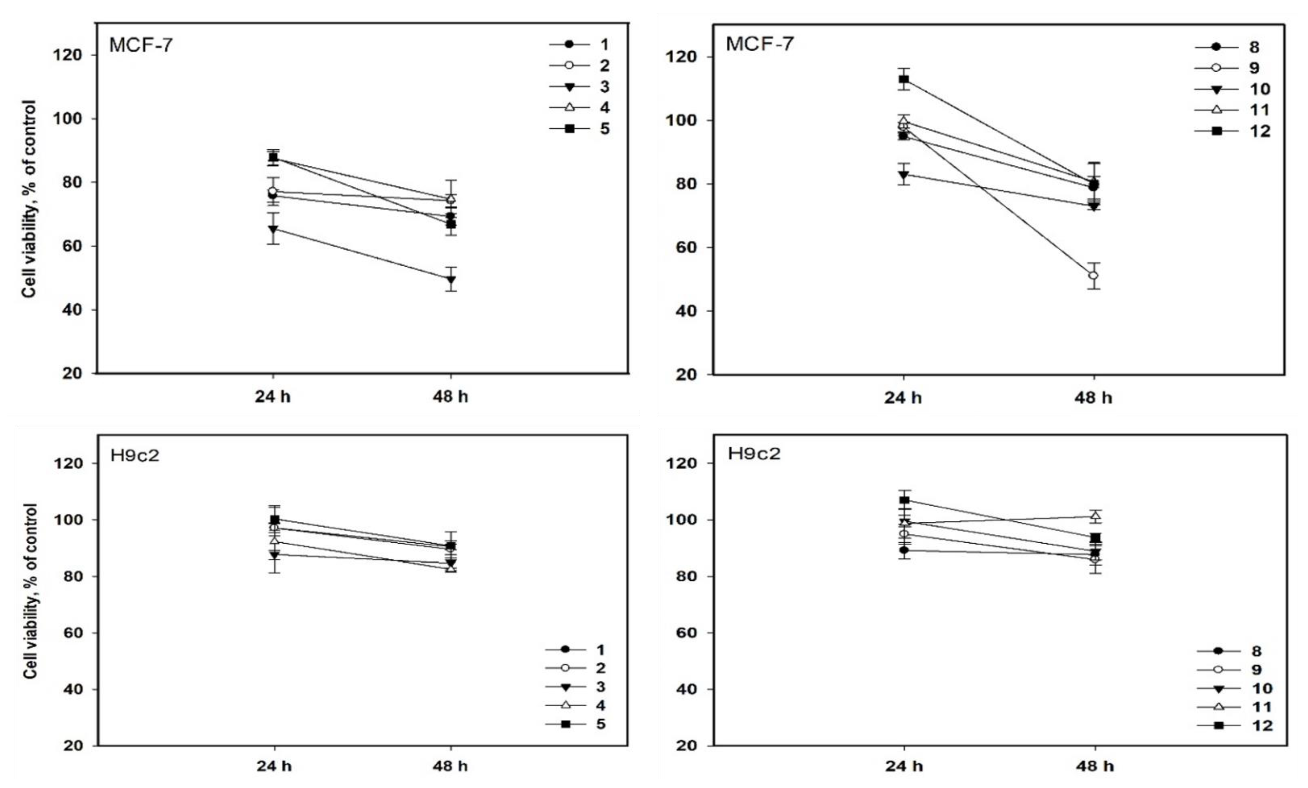
2.2. Biological Activity of Compounds
3. Materials and Methods
3.1. General Experimental Procedures
3.2. Fungal Strain
3.3. Cultivation of Fungus
3.4. Extraction and Isolation
3.5. Spectral Data
3.6. Cell Lines and Culture Conditions
3.7. In Vitro MTT-Based Cytotoxicity Assay
3.8. Flow Cytometry
3.8.1. Apoptosis
3.8.2. Total Caspase Activity
3.8.3. Cell Cycle
3.9. Statistical Data Evaluation
4. Conclusions
Supplementary Materials
Author Contributions
Funding
Institutional Review Board Statement
Data Availability Statement
Acknowledgments
Conflicts of Interest
References
- Chen, J.; Zhang, P.; Ye, X.; Wei, B.; Emam, M.; Zhang, H.; Wang, H. The Structural Diversity of Marine Microbial Secondary Metabolites Based on Co-Culture Strategy: 2009–2019. Mar. Drugs 2020, 18, 449. [Google Scholar] [CrossRef] [PubMed]
- Romano, S.; Stephen, J.; Sloane, P.; Alan, D. Extending the “One Strain Many Compounds” Principle to Marine Microorganisms. Mar. Drugs 2018, 16, 244. [Google Scholar] [CrossRef] [PubMed]
- Meng, L.H.; Li, X.M.; Li, H.L.; Wang, B.G. Chermebilaenes A and B, New Bioactive Meroterpenoids from Co-Cultures of Marine-Derived Isolates of Penicillium bilaiae MA-267 and Penicillium chermesinum EN-480. Mar. Drugs 2020, 18, 339. [Google Scholar] [CrossRef] [PubMed]
- Bao, J.; Wang, J.; Zhang, X.Y.; Nong, X.H.; Qi, S.H. New Furanone Derivatives and Alkaloids from the Co-Culture of Marine-Derived Fungi Aspergillus sclerotiorum and Penicillium citrinum. Chem. Biodivers. 2017, 14, e1600327. [Google Scholar] [CrossRef] [PubMed]
- Smetanina, O.F.; Yurchenko, A.N.; Afiyatullov, S.S.; Kalinovsky, A.I.; Pushilin, M.A.; Khudyakova, Y.V.; Slinkina, N.N.; Ermakova, S.P.; Yurchenko, E.A. Oxirapentyns B-D produced by a marine sediment-derived fungus Isaria felina (DC.) Fr. Phytochem. Lett. 2012, 5, 165–169. [Google Scholar] [CrossRef]
- Yurchenko, A.N.; Smetanina, O.F.; Khudyakova, Y.V.; Kirichuk, N.N.; Chaikina, E.L.; Anisimov, M.M.; Afiyatullov, S.S. New Oxirapentyn E from Marine Isolate of the Fungus Isaria felina. Chem. Nat. Compd. 2013, 49, 857–860. [Google Scholar] [CrossRef]
- Yurchenko, A.N.; Smetanina, O.F.; Kalinovsky, A.I.; Pushilin, M.A.; Glazunov, V.P.; Khudyakova, Y.V.; Kirichuk, N.N.; Ermakova, S.P.; Dyshlovoy, S.A.; Yurchenko, E.A.; et al. Oxirapentyns F-K from the marine-sediment-derived fungus Isaria felina KMM 4639. J. Nat. Prod. 2014, 77, 1321–1328. [Google Scholar] [CrossRef]
- Afiyatullov, S.S.; Zhuravleva, O.I.; Antonov, A.S.; Berdyshev, D.V.; Pivkin, M.V.; Denisenko, V.A.; Popov, R.S.; Gerasimenko, A.V.; von Amsberg, G.; Dyshlovoy, S.A.; et al. Prenylated indole alkaloids from co-culture of marine-derived fungi Aspergillus sulphureus and Isaria felina. J. Antibiot. 2018, 71, 846–853. [Google Scholar] [CrossRef]
- Zhuravleva, O.I.; Kirichuk, N.N.; Denisenko, V.A.; Dmitrenok, P.S.; Yurchenko, E.A.; Min′ko, E.M.; Ivanets, E.V.; Afiyatullov, S.S. New Diorcinol J Produced by Co-Cultivation of Marine Fungi Aspergillus sulphureus and Isaria felina. Chem. Nat. Compd. 2016, 52, 227–230. [Google Scholar] [CrossRef]
- Zhuravleva, O.I.; Afiyatullov, S.S.; Denisenko, V.A.; Ermakova, S.P.; Slinkina, N.N.; Dmitrenok, P.S.; Kim, N.Y. Secondary metabolites from a marine-derived fungus Aspergillus carneus Blochwitz. Phytochemistry 2012, 80, 123–131. [Google Scholar] [CrossRef]
- Zhuravleva, O.I.; Afiyatullov, S.S.; Yurchenko, E.A.; Denisenko, V.A.; Kirichuk, N.N.; Dmitrenok, P.S. New Metabolites from the Algal Associated Marine-derived Fungus Aspergillus carneus. Nat. Prod. Commun. 2013, 8, 1071–1074. [Google Scholar] [CrossRef] [PubMed]
- Xu, L.; Liu, G.; Chen, Y.; Liu, S.; Luo, W.; Hu, P.; Huang, C.; Ji, X.; Wang, S.; Cao, G. Cytotoxic Drimane-type Sesquiterpenoids from the Fungus Aspergillus flavipes 297. Rec. Nat. Prod. 2022, 16, 488–492. [Google Scholar] [CrossRef]
- Lu, X.; Zheng, Z.; Zhu, X.; Ke, A.; Li, Y.; Ma, Y.; Zheng, H.; Shi, Y.; Cui, X.; Ren, X.; et al. Sesquiterpenes ester compound, as well as preparation method and use. CN Patent CN201210590853.6, 29 December 2012. [Google Scholar]
- Ding, J.H.; Ding, Z.G.; Chunyu, W.X.; Zhao, J.Y.; Wang, H.B.; Liu, S.W.; Wang, F. Three new drimane sesquiterpenoids from cultures of the fungus Penicillium sp. J. Asian Nat. Prod. Res. 2017, 19, 780–785. [Google Scholar] [CrossRef] [PubMed]
- Kida, T.; Shibai, H.; Seto, H. Structure of new antibiotics, pereniporins A and B, from a basidiomycete. J. Antibiot. 1986, 39, 613–615. [Google Scholar] [CrossRef] [PubMed][Green Version]
- Shiono, Y.; Hiramatsu, F.; Murayama, T.; Koseki, T.; Funakoshi, T.; Ueda, K.; Yasuda, H. Two drimane-type sesquiterpenes, strobilactones A and B, from the liquid culture of the edible mushroom Strobilurus ohshimae. Z. Nat. B 2007, 62, 1585–1589. [Google Scholar] [CrossRef]
- Liu, H.; Edrada-Ebel, R.; Ebel, R.; Wang, Y.; Schulz, B.; Draeger, S.; Müller, W.E.G.; Wray, V.; Lin, W.; Proksch, P. Drimane sesquiterpenoids from the fungus Aspergillus ustus isolated from the marine sponge Suberites domuncula. J. Nat. Prod. 2009, 72, 1585–1588. [Google Scholar] [CrossRef]
- Zhou, H.; Zhu, T.; Cai, S.; Gu, Q.; Li, D. Drimane sesquiterpenoids from the mangrove-derived fungus Aspergillus ustus. Chem. Pharm. Bull. 2011, 59, 762–766. [Google Scholar] [CrossRef]
- Nagle, D.G.; Gerwick, W.H. Structure and stereochemistry of constanolactones A-G, lactonized cyclopropyl oxylipins from the red marine alga Constantinea simplex. J. Org. Chem. 1994, 59, 7227–7237. [Google Scholar] [CrossRef]
- Lacey, H.J.; Gilchrist, C.L.M.; Crombie, A.; Kalaitzis, J.A.; Vuong, D.; Rutledge, P.J.; Turner, P.; Pitt, J.I.; Lacey, E.; Chooi, Y.H.; et al. Nanangenines: Drimane sesquiterpenoids as the dominant metabolite cohort of a novel Australian fungus, Aspergillus nanangensis. Beilstein J. Org. Chem. 2019, 15, 2631–2643. [Google Scholar] [CrossRef]
- Neuhaus, G.F.; Loesgen, S. Antibacterial drimane sesquiterpenes from Aspergillus ustus. J. Nat. Prod. 2021, 84, 37–45. [Google Scholar] [CrossRef]
- Liu, Y.F.; Yue, Y.F.; Feng, L.X.; Zhu, H.J.; Cao, F. Asperienes A–D, bioactive sesquiterpenes from the marine-derived fungus Aspergillus flavus. Mar. Drugs 2019, 17, 550. [Google Scholar] [CrossRef] [PubMed]
- Gui, P.; Fan, J.; Zhu, T.; Fu, P.; Hong, K.; Zhu, W. Sesquiterpenoids from the Mangrove-Derived Aspergillus ustus 094102. Mar. Drugs 2022, 20, 408. [Google Scholar] [CrossRef] [PubMed]
- Bedner, E.; Smolewski, P.; Amstad, P.; Darzynkiewicz, Z. Activation of Caspases Measured In Situ by Binding of Fluorochrome-Labeled Inhibitors of Caspases (FLICA): Correlation with DNA Fragmentation. Exp. Cell Res. 2000, 259, 308–313. [Google Scholar] [CrossRef] [PubMed]
- Cohen, E.; Koch, L.; Thu, K.M.; Rahamim, Y.; Aluma, Y.; Ilan, M.; Yarden, O.; Carmeli, S. Novel terpenoids of the fungus Aspergillus insuetus isolated from the Mediterranean sponge Psammocinia sp. collected along the coast of Israel. Bioorg. Med. Chem. 2011, 19, 6587–6593. [Google Scholar] [CrossRef]
- Lu, Z.; Wang, Y.; Miao, C.; Liu, P.; Hong, K.; Zhu, W. Sesquiterpenoids and benzofuranoids from the marine-derived fungus Aspergillus ustus 094102. J. Nat. Prod. 2009, 72, 1761–1767. [Google Scholar] [CrossRef]
- Villamar-Cruz, O.; Loza-Mejia, M.A.; Arias-Romero, L.E.; Camacho-Arroyo, I. Recent advances in PTP1B signaling in metabolism and cancer. Biosci. Rep. 2021, 41, BSR20211994. [Google Scholar] [CrossRef]
- Uprety, B.; Abrahamse, H. Targeting Breast Cancer and Their Stem Cell Population through AMPK Activation: Novel Insights. Cells 2022, 11, 576. [Google Scholar] [CrossRef]
- Kostrzewa, T.; Przychodzen, P.; Gorska-Ponikowska, M.; Kuban-Jankowska, A. Curcumin and cinnamaldehyde as PTP1B inhibitors with antidiabetic and anticancer potential. Anticancer Res. 2019, 39, 745–749. [Google Scholar] [CrossRef]








| Position | 1 a | 2 a | 3 b | 4 c | 5 c |
|---|---|---|---|---|---|
| 1 | a: 1.48, d (14.5) b: 2.05, m | a: 1.48, d (14.5) b: 2.05, m | a: 1.41, m b: 1.92, td (13.1, 4.3) | a: 1.39, dt (13.1, 3.0) b: 1.92, td (13.4, 3.7) | a: 1.40, dt (13.4, 3.6) b: 1.91, td (13.2, 3.0) |
| 2 | a: 1.51, m b: 1.69, dt (13.5, 2.8) | a: 1.50, m b: 1.69, m | a: 1.53, m b: 1.66, m | a: 1.52, dt (13.6, 3.3) b: 1.66, qt (13.5, 2.6) | a: 1.53, dt (13.6, 3.6) b: 1.66, qt (13.6, 3.0) |
| 3 | a: 1.25, m b: 1.34, d (13.0) | a: 1.28, m b: 1.34, d (12.8) | a: 1.32, m b: 1.41, m | a: 1.30, td (13.3, 2.3) b: 1.39, brd (13.0) | a: 1.29, td (13.0, 2.5) b: 1.39, dt (13.4, 3.6) |
| 5 | 2.09, d (4.3) | 2.09, d (4.3) | 2.11, d (4.4) | 2.07, d (4.3) | 2.07, d (4.3) |
| 6 | 5.64, t (4.7) | 5.64, t (4.8) | 5.75, m | 5.72, brs | 5.72, m |
| 7 | 5.86, d (5.3) | 5.86, d (5.3) | 5.72, m | 5.71, brs | 5.71, m |
| 11 | a: 3.71, d (11.7) b: 3.76, d (11.6) | a: 3.70, d (11.6) b: 3.75, d (11.6) | 5.38, brs | 5.37, s | 5.37, s |
| 12 | a: 4.23, d (13.5) b: 4.29, d (13.4) | a: 4.23, d (13.6) b: 4.29, d (13.4) | a: 4.25, d (13.4) b: 4.62, d (13.4) | a: 4.25, m b: 4.61, d (13.3) | a: 4.24, d (13.4) b: 4.61, dt (13.3, 1.9) |
| 13 | 1.23, s | 1.23, s | 1.24, s | 1.24, s | 1.23, s |
| 14 | 0.97, s | 0.97, s | 1.01, s | 1.00, s | 1.00, s |
| 15 | 1.13, s | 1.13, s | 1.14, s | 1.14, s | 1.14, brs |
| 1′ | |||||
| 2′ | 5.92, d (15.3) | 5.93, d (15.3) | 6.29, d (15.2) | 5.90, d (15.3) | 5.91, d (15.3) |
| 3′ | 7.28, dd (15.2, 11.0)/7.27, dd (15.2, 11.0) | 7.28, dd (14.7, 11.1)/7.26, dd (14.6, 11.1) | 7.38, dd (15.2, 11.3) | 7.24, dd (15.3, 11.2)/7.23, dd (15.3, 11.1) | 7.24, dd (15.4, 10.7)/7.22, dd (15.7, 11.0) |
| 4′ | 6.52, m/6.51, m | 6.55, m/6.54 m | 7.17, dd (15.4, 11.2) | 6.47, dd (15.2, 11.0)/6.46, dd (15.4, 10.6) | 6.48, ddd (15.6, 11.0, 8.1) |
| 5′ | 6.34, dd (9.1, 5.4)/6.31, dd (9.1, 5.4) | 6.29, dd (15.6, 10.3)/6.26, dd (15.6, 10.6) | 6.43, dd (15.4, 7.6) | 6.15, dd (15.3, 5.6)/6.13, dd (15.3, 6.4) | 6.10, m |
| 6′ | 4.09, t (5.2)/4.07, t (5.2) | 4.02, t (5.2)/4.00, t (5.6), m | 9.68, d (7.6) | 4.23, m | 4.01, d (6.5)/3.99, d (6.5) |
| 7′ | 3.71, m | 3.65, m/3.64, m | 3.94, m | 3.70, quint (6.3) | |
| 8′ | 1.12, d (6.3) | 1.11, d (6.4)/1.10, d (6.4) | 1.16, d (6.5) | 1.221, d (6.3)/1.219, d (6.3) |
| Position | 1 a | 2 a | 3 b | 4 c | 5 c |
|---|---|---|---|---|---|
| 1 | 32.9, CH2 | 32.9, CH2 | 32.0, CH2 | 32.0, CH2 | 32.0, CH2 |
| 2 | 19.4, CH2 | 19.4, CH2 | 18.1, CH2 | 18.1, CH2 | 18.1, CH2 |
| 3 | 45.3, CH2 | 45.3, CH2 | 44.8, CH2 | 44.8, CH2 | 44.8, CH2 |
| 4 | 34.4, C | 34.4, C | 33.9, C | 33.5, C | 33.8, C |
| 5 | 46.1, CH | 46.1, CH | 45.8, CH | 45.9, CH | 45.9, CH |
| 6 | 67.4, CH | 67.4, CH | 68.1, CH | 67.3, CH | 67.2, CH |
| 7 | 124.6, CH | 124.6, CH | 119.6, CH | 120.2, CH | 120.0, CH |
| 8 | 144.61/144.58, C | 144.5, C | 142.2, C | 141.6, C | 141.6, C |
| 9 | 76.3, C | 76.5, C | 77.4, C | 75.6 C | 78.0, C |
| 10 | 41.4, C | 41.4, C | 38.6, C | 38.5, C | 38.5, C |
| 11 | 63.0, CH2 | 63.0, CH2 | 98.2, CH | 98.3, CH | 98.3, CH |
| 12 | 64.4, CH2 | 64.4, CH2 | 66.7, CH2 | 66.7, CH2 | 66.7, CH2 |
| 13 | 19.2, CH3 | 19.2, CH3 | 19.0, CH3 | 19.0, CH3 | 18.9, CH3 |
| 14 | 33.3, CH3 | 33.3, CH3 | 33.0, CH3 | 33.0, CH3 | 33.0, CH3 |
| 15 | 25.2, CH3 | 25.2, CH3 | 24.9, CH3 | 24.8, CH3 | 24.8, CH3 |
| 1′ | 166.63/166.62, C | 166.6, C | 164.9, C | 166.2, C | 166.14/166.12, C |
| 2′ | 122.21/122.15, CH | 122.4/122.3, CH | 130.1, CH | 122.43/122.38, CH | 122.62/122.56, CH |
| 3′ | 145.40/145.38, CH | 145.3/145.2, CH | 141.1, CH | 144.1, CH | 144.02/143.99, CH |
| 4′ | 129.0/128.8, CH | 129.3/129.2, CH | 147.0, CH | 130.1/129.9, CH | 130.0/129.8, CH |
| 5′ | 144.61/144.58, CH | 144.32/144.26, CH | 137.4, CH | 140.2, CH | 141.3/141.2, CH |
| 6′ | 76.4, CH | 76.7, CH | 192.9, CH | 75.5, C | 77.3, C |
| 7′ | 70.96/70.92, CH | 70.9, CH | 70.3, CH | 70.8, CH | |
| 8′ | 18.90/18.87, CH3 | 19.0, CH3 | 17.8, CH3 | 19.3, CH3 |
| Compound | Cell Lines | ||||
|---|---|---|---|---|---|
| H9c2 | C6 | PC-3 | Raji | MCF-7 | |
| IC50, µM | |||||
| 1 | 84.2 ± 3.3 | 102.2 ± 1.7 | 85.3 ± 2.9 | >100 | 59.0 ± 4.4 |
| 2 | 74.4 ± 4.4 | >100 | 75.2 ± 3.8 | >100 | 54.1 ± 2.4 |
| 3 | 55.6 ± 2.6 | 56.0 ± 1.2 | 50.8 ± 1.6 | 82.3 ± 2.9 | 33.8 ± 2.2 |
| 4 | 59.3 ± 1.7 | >100 | 57.4 ± 2.4 | 85.7 ± 6.0 | 75.0 ± 6.2 |
| 5 | 63.9 ± 1.6 | >100 | 59.1 ± 0.8 | 94.4 ± 2.3 | 80.6 ± 3.5 |
| 8 | >100 | >100 | >100 | >100 | >100 |
| 9 | 66.9 ± 3.0 | 54.3 ± 3.3 | 50.1 ± 1.8 | 88.1 ± 1.3 | 57.8 ± 0.5 |
| 10 | 61.9 ± 0.5 | >100 | 57.8 ± 1.1 | 95.3 ± 0.8 | 55.1 ± 1.4 |
| 11 | >100 | >100 | >100 | 96.9 ± 1.6 | 83.5 ± 1.7 |
| 12 | >100 | >100 | >100 | 97.5 ± 0.9 | 81.7 ± 0.9 |
Publisher’s Note: MDPI stays neutral with regard to jurisdictional claims in published maps and institutional affiliations. |
© 2022 by the authors. Licensee MDPI, Basel, Switzerland. This article is an open access article distributed under the terms and conditions of the Creative Commons Attribution (CC BY) license (https://creativecommons.org/licenses/by/4.0/).
Share and Cite
Zhuravleva, O.I.; Belousova, E.B.; Oleinikova, G.K.; Antonov, A.S.; Khudyakova, Y.V.; Rasin, A.B.; Popov, R.S.; Menchinskaya, E.S.; Trinh, P.T.H.; Yurchenko, A.N.; et al. Cytotoxic Drimane-Type Sesquiterpenes from Co-Culture of the Marine-Derived Fungi Aspergillus carneus KMM 4638 and Beauveria felina (=Isaria felina) KMM 4639. Mar. Drugs 2022, 20, 584. https://doi.org/10.3390/md20090584
Zhuravleva OI, Belousova EB, Oleinikova GK, Antonov AS, Khudyakova YV, Rasin AB, Popov RS, Menchinskaya ES, Trinh PTH, Yurchenko AN, et al. Cytotoxic Drimane-Type Sesquiterpenes from Co-Culture of the Marine-Derived Fungi Aspergillus carneus KMM 4638 and Beauveria felina (=Isaria felina) KMM 4639. Marine Drugs. 2022; 20(9):584. https://doi.org/10.3390/md20090584
Chicago/Turabian StyleZhuravleva, Olesya I., Elena B. Belousova, Galina K. Oleinikova, Alexandr S. Antonov, Yuliya V. Khudyakova, Anton B. Rasin, Roman S. Popov, Ekaterina S. Menchinskaya, Phan Thi Hoai Trinh, Anton N. Yurchenko, and et al. 2022. "Cytotoxic Drimane-Type Sesquiterpenes from Co-Culture of the Marine-Derived Fungi Aspergillus carneus KMM 4638 and Beauveria felina (=Isaria felina) KMM 4639" Marine Drugs 20, no. 9: 584. https://doi.org/10.3390/md20090584
APA StyleZhuravleva, O. I., Belousova, E. B., Oleinikova, G. K., Antonov, A. S., Khudyakova, Y. V., Rasin, A. B., Popov, R. S., Menchinskaya, E. S., Trinh, P. T. H., Yurchenko, A. N., & Yurchenko, E. A. (2022). Cytotoxic Drimane-Type Sesquiterpenes from Co-Culture of the Marine-Derived Fungi Aspergillus carneus KMM 4638 and Beauveria felina (=Isaria felina) KMM 4639. Marine Drugs, 20(9), 584. https://doi.org/10.3390/md20090584

