Characterization of the Fungitoxic Activity on Botrytis cinerea of N-phenyl-driman-9-carboxamides
Abstract
:1. Introduction
2. Materials and Methods
2.1. General Conditions
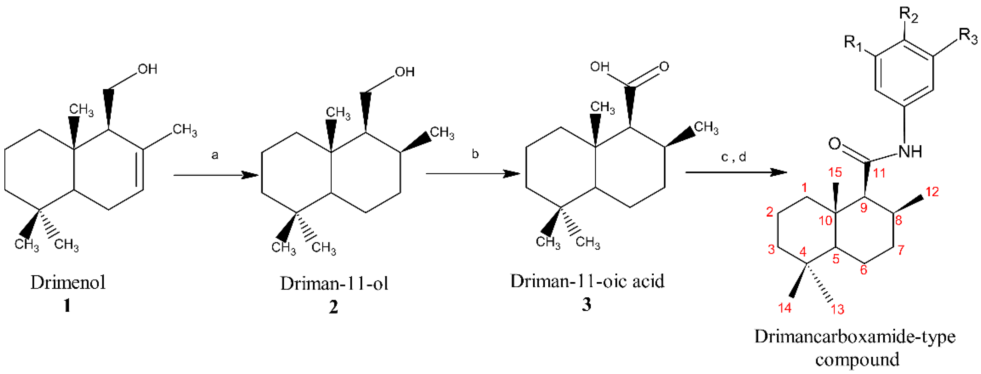
2.2. Synthesis of Compounds
2.2.1. Synthesis of Driman-11-ol (2)
2.2.2. Synthesis of Driman-11-oic Acid (3)
2.2.3. Synthesis of Drimancarboxamide Derivatives
2.2.4. Spectroscopic Data of Compounds 4–15
2.3. Fungal Isolate and Culture Conditions
2.4. Determination of the Antifungal Activity of Compounds against B. cinerea
2.5. Evaluation of Possible Mode of Action on B. cinerea of the Most Active Synthesized Compounds
2.5.1. Effect of Salicylhydroxamic Acid (SHAM) on Mycelial Growth of B. cinerea
2.5.2. Effect of Compounds on Oxygen Consumption
3. Results and Discussion
3.1. Synthesis and Structural Determination
3.2. Determination of the Antifungal Activity of Compounds against B. cinerea
3.2.1. The Effect on Mycelial Growth
3.2.2. The Effect on Conidia Germination
3.3. Evaluation of Possible Mode of Action on B. cinerea
3.3.1. Effect of SHAM on Mycelial Growth of B. cinerea
3.3.2. Effect of Compounds on Oxygen Consumption
4. Conclusions
Supplementary Materials
Author Contributions
Funding
Institutional Review Board Statement
Informed Consent Statement
Data Availability Statement
Conflicts of Interest
Appendix A
References
- Elad, Y.; Vivier, M.; Fillinger, S. Botrytis, the Good, the Bad and the Ugly. In Botrytis—The Fungus, the Pathogen and Its Management in Agricultural Systems; Fillinger, S., Elad, Y., Eds.; Springer International Publishing: Cham, Switzerland, 2016; pp. 1–15. [Google Scholar]
- Williamson, B.; Tudzynski, B.; Tudzynski, P.; van Kan, J.A.L. Botrytis cinerea: The cause of grey mould disease. Mol. Plant Pathol. 2007, 8, 561–580. [Google Scholar] [CrossRef]
- Dean, R.; van Kan, J.A.L.; Pretorius, Z.A.; Hammond-Kosack, K.E.; Di Pietro, A.; Spanu, P.D.; Rudd, J.J.; Dickman, M.; Kahmann, R.; Ellis, J.; et al. The Top 10 fungal pathogens in molecular plant pathology. Mol. Plant Pathol. 2012, 13, 414–430. [Google Scholar] [CrossRef] [PubMed] [Green Version]
- Castro, P.; Mendoza, L.; Vásquez, C.; Pereira, P.C.; Navarro, F.; Lizama, K.; Santander, R.; Cotoras, M. Antifungal Activity against Botrytis cinerea of 2,6-Dimethoxy-4-(phenylimino)cyclohexa-2,5-dienone Derivatives. Molecules 2019, 24, 706. [Google Scholar] [CrossRef] [Green Version]
- Leroux, P.; Gredt, M.; Leroch, M.; Walker, A.-S. Exploring Mechanisms of Resistance to Respiratory Inhibitors in Field Strains of Botrytis cinerea, the Causal Agent of Gray Mold. Appl. Environ. Microbiol. 2010, 76, 6615–6630. [Google Scholar] [CrossRef] [PubMed] [Green Version]
- Avenot, H.F.; Michailides, T.J. Progress in understanding molecular mechanisms and evolution of resistance to succinate dehydrogenase inhibiting (SDHI) fungicides in phytopathogenic fungi. Crop. Prot. 2010, 29, 643–651. [Google Scholar] [CrossRef]
- Yankovskaya, V.; Horsefield, R.; Törnroth, S.; Luna-Chavez, C.; Miyoshi, H.; Léger, C.; Byrne, B.; Cecchini, G.; Iwata, S. Architecture of Succinate Dehydrogenase and Reactive Oxygen Species Generation. Science 2003, 299, 700–704. [Google Scholar] [CrossRef] [PubMed] [Green Version]
- Bertetti, D.; Garibaldi, A.; Gullino, M.L. Resistance of Botrytis cinerea to fungicides in Italian vineyards. Commun. Agric. Appl. Biol. Sci. 2008, 73, 273–282. [Google Scholar] [PubMed]
- Yourman, L.F.; Jeffers, S.N. Resistance to Benzimidazole and Dicarboximide Fungicides in Greenhouse Isolates of Botrytis cinerea. Plant Dis. 1999, 83, 569–575. [Google Scholar] [CrossRef] [PubMed] [Green Version]
- Zhang, C.Q.; Liu, Y.H.; Zhu, G.N. Detection and characterization of benzimidazole resistance of Botrytis cinerea in greenhouse vegetables. Eur. J. Plant Pathol. 2009, 126, 509–515. [Google Scholar] [CrossRef]
- Liu, S.; Che, Z.; Chen, G. Multiple-fungicide resistance to carbendazim, diethofencarb, procymidone, and pyrimethanil in field isolates of Botrytis cinerea from tomato in Henan Province, China. Crop. Prot. 2016, 84, 56–61. [Google Scholar] [CrossRef]
- Esterio, M.; Auger, J.; Ramos, C.; García, H. First Report of Fenhexamid Resistant Isolates of Botrytis cinerea on Grapevine in Chile. Plant Dis. 2007, 91, 768. [Google Scholar] [CrossRef]
- Latorre, B.A.; Torres, R. Prevalence of isolates of Botrytis cinerea resistant to multiple fungicides in Chilean vineyards. Crop. Prot. 2012, 40, 49–52. [Google Scholar] [CrossRef]
- Fillinger, S.; Walker, A.-S. Chemical Control and Resistance Management of Botrytis Diseases. In Botrytis—The Fungus, the Pathogen and Its Management in Agricultural Systems; Fillinger, S., Elad, Y., Eds.; Springer: Cham, Switzerland, 2016; pp. 189–216. [Google Scholar]
- Aqil, F.; Zahin, M.; Ahmad, I.; Owais, M.; Khan, M.S.A.; Bansal, S.S.; Farooq, S. Antifungal Activity of Medicinal Plant Extracts and Phytocompounds: A Review. In Combating Fungal Infections; Springer: Berlin, Germany, 2010; pp. 449–484. [Google Scholar]
- Jacometti, M.A.; Wratten, S.D.; Walter, M. Review: Alternatives to synthetic fungicides forBotrytis cinereamanagement in vineyards. Aust. J. Grape Wine Res. 2010, 16, 154–172. [Google Scholar] [CrossRef]
- Tripathi, P.; Dubey, N. Exploitation of natural products as an alternative strategy to control postharvest fungal rotting of fruit and vegetables. Postharvest Biol. Technol. 2004, 32, 235–245. [Google Scholar] [CrossRef]
- Wilson, C.L.; Solar, J.M.; El Ghaouth, A.; Wisniewski, M.E. Rapid Evaluation of Plant Extracts and Essential Oils for Antifungal Activity Against Botrytis cinerea. Plant Dis. 1997, 81, 204–210. [Google Scholar] [CrossRef] [Green Version]
- Aleu, J.; Hanson, J.R.; Galán, R.H.; Collado, I.G. Biotransformation of the fungistatic sesquiterpenoids patchoulol, ginsenol, cedrol and globulol by Botrytis cinerea. J. Mol. Catal. B Enzym. 2001, 11, 329–334. [Google Scholar] [CrossRef]
- Aleu, J.; Galán, R.H.; Collado, I.G. Biotransformation of the fungistatic sesquiterpenoid isoprobotryan-9α-ol by Botrytis cinerea. J. Mol. Catal. B Enzym. 2002, 16, 249–253. [Google Scholar] [CrossRef]
- Cotoras, M.; Folch, C.; Mendoza, L. Characterization of the Antifungal Activity on Botrytis cinerea of the Natural Diterpenoids Kaurenoic Acid and 3β-Hydroxy-kaurenoic Acid. J. Agric. Food Chem. 2004, 52, 2821–2826. [Google Scholar] [CrossRef] [PubMed]
- Mendoza, L.; Sepúlveda, C.; Melo, R.; Cotoras, M. Characterization of the Antifungal Activity Against Botrytis Cinerea of Sclareol and 13-Epi-Sclareol, Two Labdane-Type Diterpenoids. J. Chil. Chem. Soc. 2015, 60, 3024–3028. [Google Scholar] [CrossRef] [Green Version]
- Melo, R.; Sanhueza, L.; Mendoza, L.; Cotoras, M. Characterization of the fungitoxic activity onBotrytis cinereaof the aristolochic acids I andII. Lett. Appl. Microbiol. 2019, 68, 48–55. [Google Scholar] [CrossRef] [PubMed] [Green Version]
- Jansen, B.J.M.; de Groot, A. Occurrence, biological activity and synthesis of drimane sesquiterpenoids. Nat. Prod. Rep. 2004, 21, 449–477. [Google Scholar] [CrossRef] [PubMed]
- Scher, J.M.; Speakman, J.-B.; Zapp, J.; Becker, H. Bioactivity guided isolation of antifungal compounds from the liverwort Bazzania trilobata (L.) S.F. Gray. Phytochemistry 2004, 65, 2583–2588. [Google Scholar] [CrossRef]
- Robles-Kelly, C.; Rubio, J.; Thomas, M.; Sedán, C.; Martinez, R.; Olea, A.F.; Carrasco, H.; Taborga, L.; Silva-Moreno, E. Effect of drimenol and synthetic derivatives on growth and germination of Botrytis cinerea: Evaluation of possible mechanism of action. Pestic. Biochem. Physiol. 2017, 141, 50–56. [Google Scholar] [CrossRef] [PubMed]
- Muñoz-Concha, D.; Vogel, H.; Yunes, R.; Razmilic, I.; Bresciani, L.; Malheiros, A. Presence of polygodial and drimenol in Drimys populations from Chile. Biochem. Syst. Ecol. 2007, 35, 434–438. [Google Scholar] [CrossRef]
- Mori, K.; Takaishi, H. Synthesis of Mono- and Sesquiterpenoids, XV Synthesis of (-)-Warburganal, an Insect Antifeedant. Eur. J. Org. Chem. 1989, 1989, 695–697. [Google Scholar] [CrossRef]
- Moreno-Osorio, L.; Espinoza, L.; Cuellar, M.; Preite, M. LTA-mediated synthesis and complete assignment of1H and13C NMR data of two natural 11-nordrimanes: Isonordrimenone and polygonone. Magn. Reson. Chem. 2007, 45, 993–996. [Google Scholar] [CrossRef]
- Derita, M.; Montenegro, I.; Garibotto, F.; Enriz, R.D.; Fritis, M.C.; Zacchino, S.A. Structural Requirements for the Antifungal Activities of Natural Drimane Sesquiterpenes and Analogues, Supported by Conformational and Electronic Studies. Molecules 2013, 18, 2029–2051. [Google Scholar] [CrossRef] [PubMed]
- Göhl, M.; Seifert, K. Synthesis of the Sesquiterpenes Albicanol, Drimanol, and Drimanic Acid, and the Marine Sesquiterpene Hydroquinone Deoxyspongiaquinol. Eur. J. Org. Chem. 2014, 2014, 6975–6982. [Google Scholar] [CrossRef]
- Muñoz, G.; Hinrichsen, P.; Brygoo, Y.; Giraud, T. Genetic characterisation of Botrytis cinerea populations in Chile. Mycol. Res. 2002, 106, 594–601. [Google Scholar] [CrossRef]
- Mitani, S.; Araki, S.; Takii, Y.; Ohshima, T.; Matsuo, N.; Miyoshi, H. The Biochemical Mode of Action of the Novel Selective Fungicide Cyazofamid: Specific Inhibition of Mitochondrial Complex III in Phythium spinosum. Pestic. Biochem. Physiol. 2001, 71, 107–115. [Google Scholar] [CrossRef] [Green Version]
- Diepart, C.; Verrax, J.; Calderon, P.B.; Feron, O.; Jordan, B.F.; Gallez, B. Comparison of methods for measuring oxygen consumption in tumor cells in vitro. Anal. Biochem. 2010, 396, 250–256. [Google Scholar] [CrossRef]
- Hansch, C.; Fujita, T. p-σ-π Analysis. A Method for the Correlation of Biological Activity and Chemical Structure. J. Am. Chem. Soc. 1964, 86, 1616–1626. [Google Scholar] [CrossRef]
- Charton, M. Electrical Effect Substituent Constants for Correlation Analysis. In Progress in Physical Organic Chemistry; Taft, R.W., Ed.; John Wiley & Sons, Inc.: New York, NY, USA, 1981; pp. 119–251. [Google Scholar]
- Meadows, D.C.; Sanchez, T.; Neamati, N.; North, T.W.; Gervay-Hague, J. Ring substituent effects on biological activity of vinyl sulfones as inhibitors of HIV-1. Bioorg. Med. Chem. 2007, 15, 1127–1137. [Google Scholar] [CrossRef] [PubMed] [Green Version]
- Zhu, D.; Rios, B.E.; Rozzell, J.D.; Hua, L. Evaluation of substituent effects on activity and enantioselectivity in the enzymatic reduction of aryl ketones. Tetrahedron Asymmetry 2005, 16, 1541–1546. [Google Scholar] [CrossRef]
- Leroux, P. Recent Developments in the mode of action of fungicides. Pestic. Sci. 1996, 47, 191–197. [Google Scholar] [CrossRef]
- Hollomon, D.W. New Fungicide Modes of Action Strengthen Disease Control Strategies. Outlooks Pest Manag. 2010, 21, 108–112. [Google Scholar] [CrossRef]
- Kataoka, S.; Takagaki, M.; Kaku, K.; Shimizu, T. Mechanism of action and selectivity of a novel fungicide, pyribencarb. J. Pestic. Sci. 2010, 35, 99–106. [Google Scholar] [CrossRef] [Green Version]
- Aleu, J.; Hanson, J.R.; Galán, A.R.H.; Collado, I.G. Biotransformation of the Fungistatic Sesquiterpenoid Patchoulol by Botrytis cinerea. J. Nat. Prod. 1999, 62, 437–440. [Google Scholar] [CrossRef] [PubMed]
- Mendoza, L.; Ribera, A.; Saavedra, A.; Silva, E.; Araya-Maturana, R.; Cotoras, M. Action mechanism for 3β-hydroxykaurenoic acid and 4,4-dimethylanthracene-1,9,10(4H)-trione onBotrytis cinerea. Mycologia 2015, 107, 661–666. [Google Scholar] [CrossRef]
- Adrian, M.; Jeandet, P.; Veneau, J.; Weston, L.A.; Bessis, R. Biological Activity of Resveratrol, a Stilbenic Compound from Grapevines, Against Botrytis cinerea, the Causal Agent for Gray Mold. J. Chem. Ecol. 1997, 23, 1689–1702. [Google Scholar] [CrossRef]
- Vanlerberghe, G.C.; McIntosh, L. ALTERNATIVE OXIDASE: From Gene to Function. Annu. Rev. Plant Biol. 1997, 48, 703–734. [Google Scholar] [CrossRef]
- Wood, P.M.; Hollomon, D.W. A critical evaluation of the role of alternative oxidase in the performance of strobilurin and related fungicides acting at the Qo site of Complex III. Pest Manag. Sci. 2003, 59, 499–511. [Google Scholar] [CrossRef] [PubMed]
- Van Aken, O.; Giraud, E.; Clifton, R.; Whelan, J. Alternative oxidase: A target and regulator of stress responses. Physiol. Plant. 2009, 137, 354–361. [Google Scholar] [CrossRef] [PubMed]
- Gong, S.; Hao, J.; Xia, Y.; Liu, X.; Li, J. Inhibitory effect of bionic fungicide 2-allylphenol on Botrytis cinerea (Pers. ex Fr.) in vitro. Pest Manag. Sci. 2009, 65, 1337–1343. [Google Scholar] [CrossRef]
- Inoue, K.; Tsurumi, T.; Ishii, H.; Park, P.; Ikeda, K. Cytological evaluation of the effect of azoxystrobin and alternative oxidase inhibitors in Botrytis cinerea. FEMS Microbiol. Lett. 2011, 326, 83–90. [Google Scholar] [CrossRef] [PubMed]
- Hynes, J.; Hill, R.; Papkovsky, D.B. The use of a fluorescence-based oxygen uptake assay in the analysis of cytotoxicity. Toxicol. Vitr. 2006, 20, 785–792. [Google Scholar] [CrossRef]
- Cotoras, M.; Mendoza, L.; Muñoz, A.; Yáñez, K.; Castro, P.; Aguirre, M.J. Fungitoxicity against Botrytis cinerea of a Flavonoid Isolated from Pseudognaphalium robustum. Molecules 2011, 16, 3885–3895. [Google Scholar] [CrossRef] [Green Version]





| Compounds | IC50 (mmol/L) |
|---|---|
| drimenol | - |
| 4 | 69.90 ± 4.60 |
| 5 | 5.18 ± 0.41 |
| 6 | 0.26 ± 0.04 |
| 7 | 0.20 ± 0.02 |
| 8 | 1.31 ± 0.13 |
| 9 | 8.17 ± 0.37 |
| 10 | 4.59 ± 0.32 |
| 11 | 6.04 ± 0.17 |
| 12 | 0.23 ± 0.03 |
| 13 | 0.26 ± 0.06 |
| 14 | 0.32 ± 0.03 |
| 15 | 3.53 ± 0.16 |
Publisher’s Note: MDPI stays neutral with regard to jurisdictional claims in published maps and institutional affiliations. |
© 2021 by the authors. Licensee MDPI, Basel, Switzerland. This article is an open access article distributed under the terms and conditions of the Creative Commons Attribution (CC BY) license (https://creativecommons.org/licenses/by/4.0/).
Share and Cite
Melo, R.; Armstrong, V.; Navarro, F.; Castro, P.; Mendoza, L.; Cotoras, M. Characterization of the Fungitoxic Activity on Botrytis cinerea of N-phenyl-driman-9-carboxamides. J. Fungi 2021, 7, 902. https://doi.org/10.3390/jof7110902
Melo R, Armstrong V, Navarro F, Castro P, Mendoza L, Cotoras M. Characterization of the Fungitoxic Activity on Botrytis cinerea of N-phenyl-driman-9-carboxamides. Journal of Fungi. 2021; 7(11):902. https://doi.org/10.3390/jof7110902
Chicago/Turabian StyleMelo, Ricardo, Verónica Armstrong, Freddy Navarro, Paulo Castro, Leonora Mendoza, and Milena Cotoras. 2021. "Characterization of the Fungitoxic Activity on Botrytis cinerea of N-phenyl-driman-9-carboxamides" Journal of Fungi 7, no. 11: 902. https://doi.org/10.3390/jof7110902
APA StyleMelo, R., Armstrong, V., Navarro, F., Castro, P., Mendoza, L., & Cotoras, M. (2021). Characterization of the Fungitoxic Activity on Botrytis cinerea of N-phenyl-driman-9-carboxamides. Journal of Fungi, 7(11), 902. https://doi.org/10.3390/jof7110902

